Abstract
To adapt to frequent charge and discharge and improve the accuracy in the DC microgrid with independent photovoltaics and distributed energy storage systems, an energy-coordinated control strategy based on increased droop control is proposed in this paper. The overall power supply quality of the DC microgrid is improved by optimizing the output priority of the multi-energy storage system. When photovoltaic and energy storage work simultaneously, the proposed method can dynamically adjust their working state and the energy storage unit’s droop coefficient to meet the system’s requirements. In DC microgrids with energy storage units of different capacities, the proposed strategy can be used to maintain the stability of bus voltage, improve the equalization speed and accuracy of the energy storage state of charge, and avoid the shutdown of energy storage units due to overcharge or discharge. Verification of the proposed strategy is implemented with MATLAB/Simulink. The simulation results show the proposed control strategy’s effectiveness in balancing energy supply and demand and reducing the time of charging and discharging energy storage units.
1. Introduction
With the decreasing number of fossil fuel reserves, renewable energy has become one of the leading research directions for the energy supply of future power systems, namely, the new energy power systems. Among all renewable energy sources, distributed photovoltaic (PV) power generation has been well recognized and applied in many fields, especially for the microgrid for its high efficiency and convenience for deployment. Generally, the microgrid is classified into DC and AC microgrids according to the different bus current forms. In recent years, the DC microgrid has gained considerable attention among scholars due to its ease to control and high energy utilization for PV and wind power. However, because of the randomness and intermittent nature of renewable power generation (e.g., wind and PV power), the microgrid must deploy a distributed energy storage system (DESS) consisting of multiple energy storage units (ESUs) to smooth the power fluctuation. However, balancing the state of charge (SOC) of the ESU may partly shorten its life, resulting in instability of the entire system. Therefore, developing an effective DESS control strategy has become a main task for researchers exploring DC microgrid systems containing DESS [1,2].
Some progress has been made to fulfill such a goal, and research on this topic has been reported. In [3], the authors proposed a vertical self-adaptive control strategy based on the SOC of the DESS, where the sag coefficient of the DESS was proportional to the n-th order of the SOC, which means the DESS with a higher SOC provided more power by comparison. Moreover, some researchers also considered increasing the SOC equalization speed by adjusting the distribution of load power. The authors of references [4,5,6] applied a fuzzy algorithm to equalize SOC by analyzing the SOC deviation of ESUs and the sag coefficient of the output voltage. While in [5], the authors monitored the SOC of a DESS in real time.
Additionally, by using a fixed sag coefficient, the authors synchronously adjusted the operating mode of the micro-source, output power, and working situation of the distributed controllable load to achieve SOC equalization. The authors of reference [7] performed the SOC equalization of a DESS via an enhanced power exponential control strategy, which can quickly find the optimal sag curve. Based on sag control, the authors in [8] proposed a sag control strategy for realizing SOC equalization of a DESS. Furthermore, by considering the charging and discharging transient situation of the ESUs, they proposed a system-level coordinated control strategy. To achieve a quick SOC equalization of the DESS, the authors of reference [9,10,11] created an enhanced dynamic sag control strategy to accelerate the power equalization speed among the ESUs. Although improving SOC equalization speed has certain advantages, it ignores the accuracy of load-side shunting affected by sag control. The authors of reference [12] created a SOC-managing strategy for energy storage units based on deep learning. In references [13,14,15], the authors proposed a model predictive control strategy for DC microgrids with an isolating operation, which calculates the deviation prediction value based on multistep prediction and selects different strategies for SOC equalization control according to the size of the predicted deviation value.
To sum up, the above control strategies only consider an ESU with a similar or equal SOC. Still, if multiple ESUs with unequal SOCs and considerable differences exist, the control effect will be regarded as poor, and the accuracy will be much lower. Moreover, frequent charging and discharging problems exist during operation for the DESS of DC microgrid coupling PVs and batteries, which inevitably slows SOC equalization and may yield poor accuracy.
Therefore, this study proposes an enhanced multi-layer sag control strategy to deal with the problems regarding ESUs with different initial capacities or SOC. In the first control layer, the power output and working modes of the distributed microsource and DESS are adjusted to adapt to the power demand from the load. In the second layer, to solve the imbalance SOC issue of DESS, the charging and discharging state are monitored to generate a precise SOC of the ESU. After that, the droop coefficient is obtained using the power exponential sag control method, which fulfilled all the requirements needed to realize a quick equalization of SOC. Furthermore, the acceleration factor with the consistency control algorithm is adjusted to be adaptable to obtain the secondary voltage compensation level. By doing so, the SOC deviation in all the ESU units is significantly reduced, and the bus voltage is prevented from rapidly decreasing. As a result, the SOC in the ESU units is quickly and precisely balanced simultaneously.
2. Structure and Control Scheme of the DC Microgrid
2.1. Structure of DC Microgrid and Hierarchical Control Scheme of Bus Voltage
The DC microgrid structure that is under investigation in this paper is shown in Figure 1. As can be seen, the system mainly contains PV generation units, an ESU, load units (including critical load and uncritical load [16,17]), and interface circuits. When the system operates in isolation environments, all the loads must be appropriately distributed to ensure that the bus voltage is smooth for the DC microgrid. Moreover, as the power output of the microsources and storage is optimized, the stability and economic can also be enhanced.
Figure 1.
DC microgrid structure under investigation.
For microgrids, a layered bus voltage control is a commonly used control strategy. Based on this, a layered control strategy that utilizes the bus voltage fluctuation amplitude as a control signal is proposed. The principle of this method is shown in Figure 2. The primary control mainly manipulates interface circuits; it adjusts the operation mode of the interface circuits according to the change in the distributed microsource and load demand. The secondary control mainly undertakes the operation mode of the DESS according to the given operation regulations, which can adjust the working modes of the DESS among the ESU to smooth the bus voltage once fluctuation occurs.
Figure 2.
Hierarchical control strategy of DC microgrid.
In the microgrid control system, switching the working modes of the PV units and ESU according to the voltage fluctuation of the DC bus is necessary. Generally, the threshold is set at 2–5% higher or lower than the base value. If the bus voltage fluctuates too rapidly, the microgrid system will be automatically shut down to avoid equipment damage caused by voltage instability [18,19,20].
2.2. Components of DC Microgrid and its Control
2.2.1. PV Power Generation
The PV generation units are mainly controlled by the maximum power point tracking (MPPT) method, and the power output is adjusted under a constant voltage condition. The control scheme for the PV generation units is shown in Figure 3. In the figure, UPV stands for the PV output voltage, IPV is the PV output current, IS is the interface circuit current, and UDC is the DC bus voltage.
Figure 3.
Structure and control scheme of PV power generation.
In MPPT mode, the PV generation units keep the maximum power output under the current temperature and sunlight conditions. The details of the control methods, which include the constant voltage and hill-climbing search method, can be found in [21,22]. In addition, the constant voltage is achieved by the double closed-loop control structure, which can maintain the output voltage of the PV units always synchronized with the reference voltage.
2.2.2. Energy Storage Units
The ESU and its interface circuit are shown in Figure 4. The inductor L, switches S1 and S2, diodes D1 and D2, and filter capacitors C1 and C2, are connected in parallel to form a DC–DC double-direction converter, where the switching signals of the switches S1 and S2 are complementary. When the ESU works in Buck mode, IL < 0: (1) the current direction will become L-C1-C2-S1-L once S1 is open and S2 is closed; (2) if D2 is open, the current direction becomes D1-L2-C1-D2 if S1 is closed and S2 is open. Once the circuit works in Boost mode, IL > 0: (1) the current direction will become L-D1-C2-C1-L if S1 is closed and S2 is open; (2) if D1 is open, the current direction becomes L-D1-C2-S1-L. Therefore, a double-direction operation of the DC–DC circuit can be realized by controlling the switch signal of S1 and S2 [23,24,25].
Figure 4.
Working principle of ESU and DC–DC converter.
2.2.3. Loads of the DC Microgrid
Considering the voltage level of the load is relatively low, it is generally connected with the DC bus via a Buck circuit to lower the voltage [26]. The Buck circuit works at a high frequency; Thus, though the capacitors release energy, it will not result in the voltage rapidly fluctuating within a cycle, and the voltage can be regarded as a constant. Figure 5 shows the working principle of the Buck circuit, where Udc is the voltage of the DC bus, iD(t) is the diode current, iL(t) is the inductor current, uL(t) is the inductor voltage, and uR(t) is the load voltage. The output voltage of this circuit is equal to the rated load voltage after the voltage step-down.
Figure 5.
Load working principle and the Buck circuit.
3. SOC Equalization Strategy of DESS in the DC Microgrid
3.1. Overall Control Architecture
Traditional DESS droop control may cause the bus voltage to drop rapidly. As a result, the fixed droop coefficient will be affected by low response speed, overcharging, and discharge of some ESU units when balancing multiple ESU and SOC factors. An enhanced droop control strategy is proposed to deal with such issues, which can satisfy the different initial SOC values and simultaneously enhance the SOC equalizing speed. Therefore, in this paper, a coordinated control structure of distributed energy storage systems for DC microgrids coupling photovoltaics and batteries is proposed and given in Figure 6. In this figure, IPVref and Ibatref represent the PV and ESU output current reference values, respectively. Under different load requirements, the PV generation system adopts a constant voltage output control or MPPT control to meet the voltage stability demand [27]. While Pbat and SOCi represent the output power and charging state of the ith ESU, respectively, and SOCave is the SOC average. When operating the microgrid system, the ESU regulates the power output and input according to the power conversion required by the load or the PV power generation output to smooth the DC bus voltage fluctuation in time.
Figure 6.
DC microgrid and its control structure.
3.2. Enhanced Control Strategy of ESU
This paper proposes an enhanced strategy based on the traditional method, which is different from the ESU that generally applies an exponential droop control strategy based on SOC power [28,29,30]. While ensuring the reasonable distribution of load power, the SOC level of ESU can be quickly balanced. The units on each equipment layer apply the P-V droop control [31].
where , , and represent the ith output voltage value, droop coefficient, and output power of the DC–DC converter, respectively. Since the droop control may lead to a bus voltage drop, a proper droop coefficient within the voltage fluctuation range is necessary. Because the ESU usually connects with the DC bus via a converter, it is assumed that the output voltages of all the ESUs are equal. This leads to
The formula above shows that the output power of the ESU is proportional to its droop coefficient. The SOC of the ESU can be correlated with the droop coefficient, and the power output can be precisely allocated by changing the droop coefficient.
where KN is the adjusting factor; SOCi is the ith SOC level of ESU; is the accelerating factor and a smaller β value indicates a higher velocity when β < 1; p, Ks, and K are constants [32]. The bigger the p-value, the faster the responding speed of the system, but when the stability drops, the equalization accuracy can be determined by K, while SOCavg is the average of the SOC in all the ESU units.
To enhance the SOC equalizing speed once an over-charge or -discharge occurs in the DESS, one can change the droop coefficient and adjust the charging or discharging power to ensure a quick change of the SOC level of all the DESS units, and thus reduce the number of charging or discharging incidents.
To calculate the SOC deviation between the average for all the ESUs using: , when , set the ESU droop coefficient with the maximum deviation from SOCave as the minimum value within the allowable range, and set it as the main power unit. When , the sag coefficient can be determined by Equation (3). Through these settings, the SOC equalizing speed can be further increased.
In Equation (5), and represent the minimum and maximum output current of the PV generation units, respectively, and and represent the minimum and maximum of the bus voltage allowable fluctuation range, respectively. After the bus voltage’s acceptable fluctuation range is set, the acceptable range of the droop coefficient can be calculated by Equation (5).
Considering the DESS output voltage may not match the bus voltage since the droop control will lead to bus voltage drops [33], a secondary voltage compensating controller composed of a voltage observer and PI controller based on the discrete consistency algorithm is added to the ESU control. The voltage observer calculates the average voltage difference of the entire grid. The local voltage difference can be expressed with the following equation:
where represents the output voltage of the energy storage system [34].
The result of the local voltage difference obtained through the discrete consistency algorithm is set as the initial value . Then, according to the adjoining ESU output voltage information, the local voltage difference state variables are updated. The equation is as follows:
where is the jth ESU local voltage difference; is the weighting matrix, which decides the converging speed, and a connecting structure decides its value.
The converged average local voltage difference of the ESUs, , can be obtained after serval iterations through Equation (7). Then, the algorithm uses the output voltage average amount and DC bus-rated voltage as the input value of the PI controller. Finally, the secondary voltage compensating value can be obtained. The ESU control is shown in Figure 7.
Figure 7.
ESU control principle.
From the above analyses, one can clearly determine that when the DESS is in operating mode, adjusting the power of each ESU unit based on an enhanced power exponential droop control ensures the stability of the DC bus voltage and the equalization of the SOC in all ESU units. If over-charging or -discharging units exist in the DESS, one can further increase the equalization speed by setting a minimum droop coefficient within the allowable range [34,35]. As for the voltage drop caused by droop control, the algorithm obtains a compensation value by installing a voltage observer and PI controller to fulfill the voltage drop with discrete consistency. The above rule can ensure that the fast SOC of all ESUs is balanced during the operation of DESS and avoid the situation of ESUs’ quiet operation due to too low/high SOC.
4. Simulation Results and Analysis
A simulation model shown in Figure 6 is implemented on MATLAB/Simulink to verify that our proposed control strategy is feasible. In this microgrid, the DC bus-rated voltage was 400 V, and the maximum output power of the PV generation system was 10 kW. In contrast, the load power was 5 kW (including the critical and uncritical load). DESS consisted of three ESU units, whose capacity was 2 Ah, maximum output voltage was 150 V, and SOC was constrained between 20 and 90%. This section considers three scenarios for the simulation study: DESS and SOC are within constraints, DESS and SOC have excess limitations, and ESU is controlled with SOC equalization strategy.
4.1. Simulation Results of DESS under Different Working Conditions
4.1.1. Scenario 1: DESS and SOC Are within Constraints
In this scenario, the initial SOC values of the three ESUs were set to 80, 70, and 60%. Moreover, the corresponding droop control factor was KN = 9 × 10−3, p = 3.5, Ks = 2.5, and K = 0.02. The environmental temperature was 25 °C. The simulation results under different sunlight conditions are shown in Figure 8.
Figure 8.
Simulation results of ESU not exceeding the limit. (a) Photovoltaic, load, and DESS power. (b) ESU output power. (c) DC bus voltage.
As shown in Figure 8a, from 0 to 0.5 s, the consumed power was equal to the PV output power because the ESU was in standby mode, and the bus voltage was stabilized at 400 V. From 0.5 to 1.5 s, the PV output power generally increased, and the ESU output power was a negative value, which means the ESU changed from standby to charging mode. From 1.5 to 2.5 s, the PV output power generally decreased, and the ESU output power was a positive value, indicating that the ESU changed from charging to discharging mode. Figure 8b shows that the lower the SOC is, the bigger the input power is when the ESU is charging. Additionally, the higher the SOC value is, the bigger the output power is. From Figure 8c, one can clearly see that when the PV power system’s output power changes, the bus voltage’s fluctuation is always within the allowable range due to the fast response of the ESS and the voltage compensation of the secondary control.
4.1.2. Scenario 2: DESS and SOC Excess Constraints
The initial SOC values of the three ESUs were set to 88, 89, and 70%, and the other parameters remained the same as in Scenario 1 to verify the effectiveness of the proposed strategy when the DESS is at its complete condition. The output results are shown in Figure 9.
Figure 9.
ESU exceeds the limit simulation results. (a) Photovoltaic unit, load, and DESS power. (b) ESU output power.
Figure 9a shows that from 0 to 0.4 s and 2 to 2.5 s, the output power of the PV generation system was equal to the consumed power; at this time, the ESS was in standby mode. From 0.4 to 2 s, the PV output power was more significant than the load consumption, and the ESU was in charging mode. Figure 9b shows that from 0.4 to 2 s, the units with the lowest SOC value first entered charging mode; as the SOC value increased, the other unit changed to charging mode, and then finally, all the ESU units changed to charging mode. At the 2 s point, due to the ESU reaching the maximum capacity condition, the PV reduced its output power to maintain stability, and the ESU changed from charging to standby mode.
4.1.3. Scenario 3: ESU Controlled with SOC Equalization Strategy
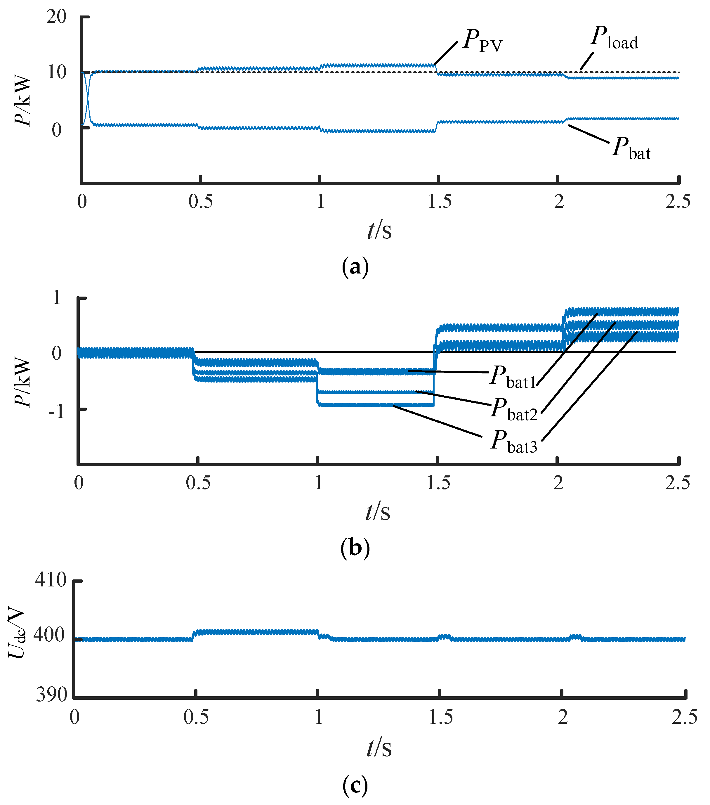
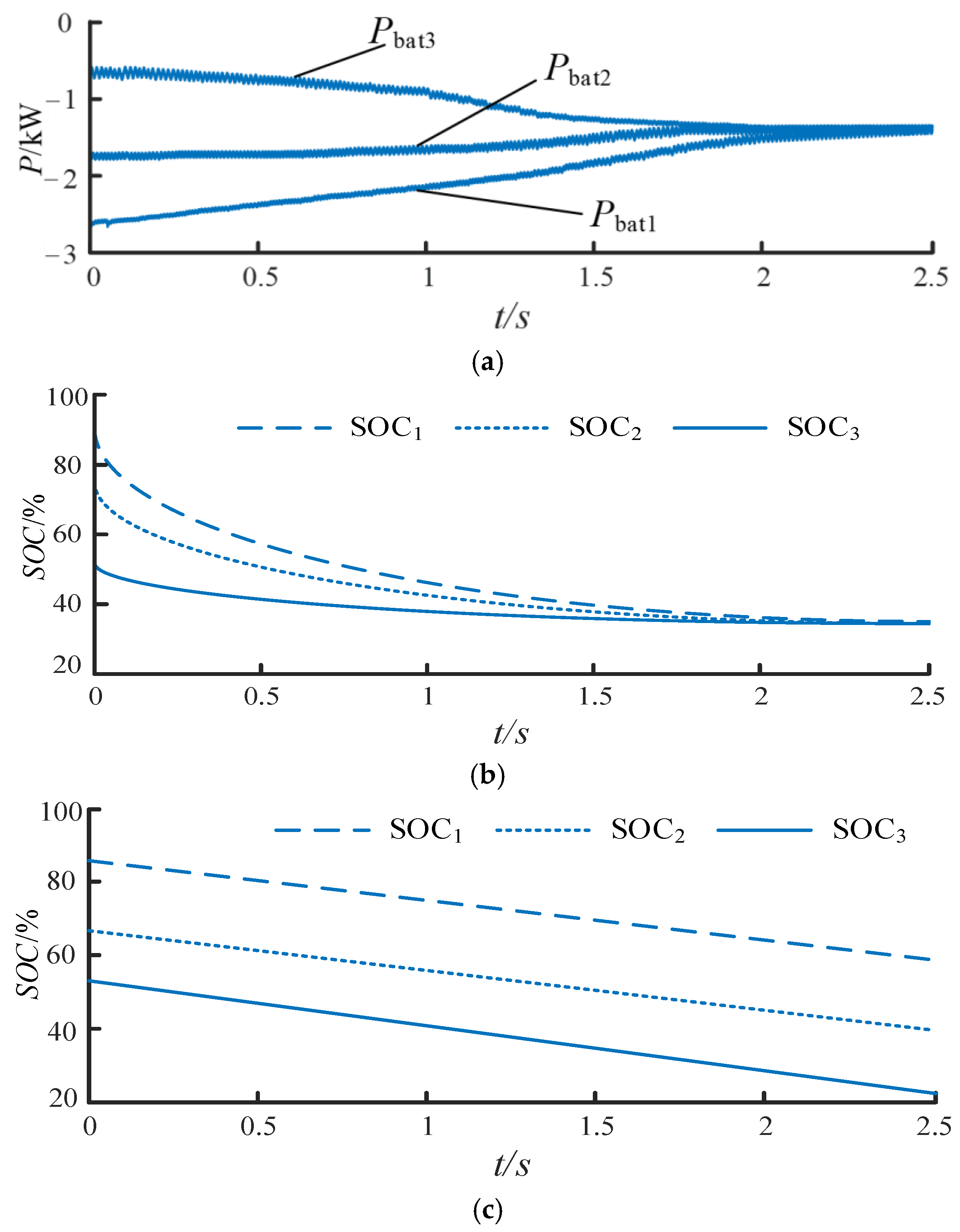
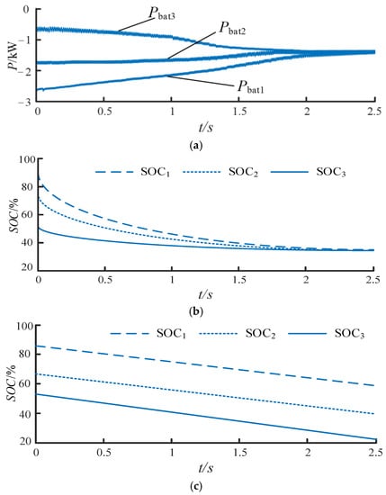
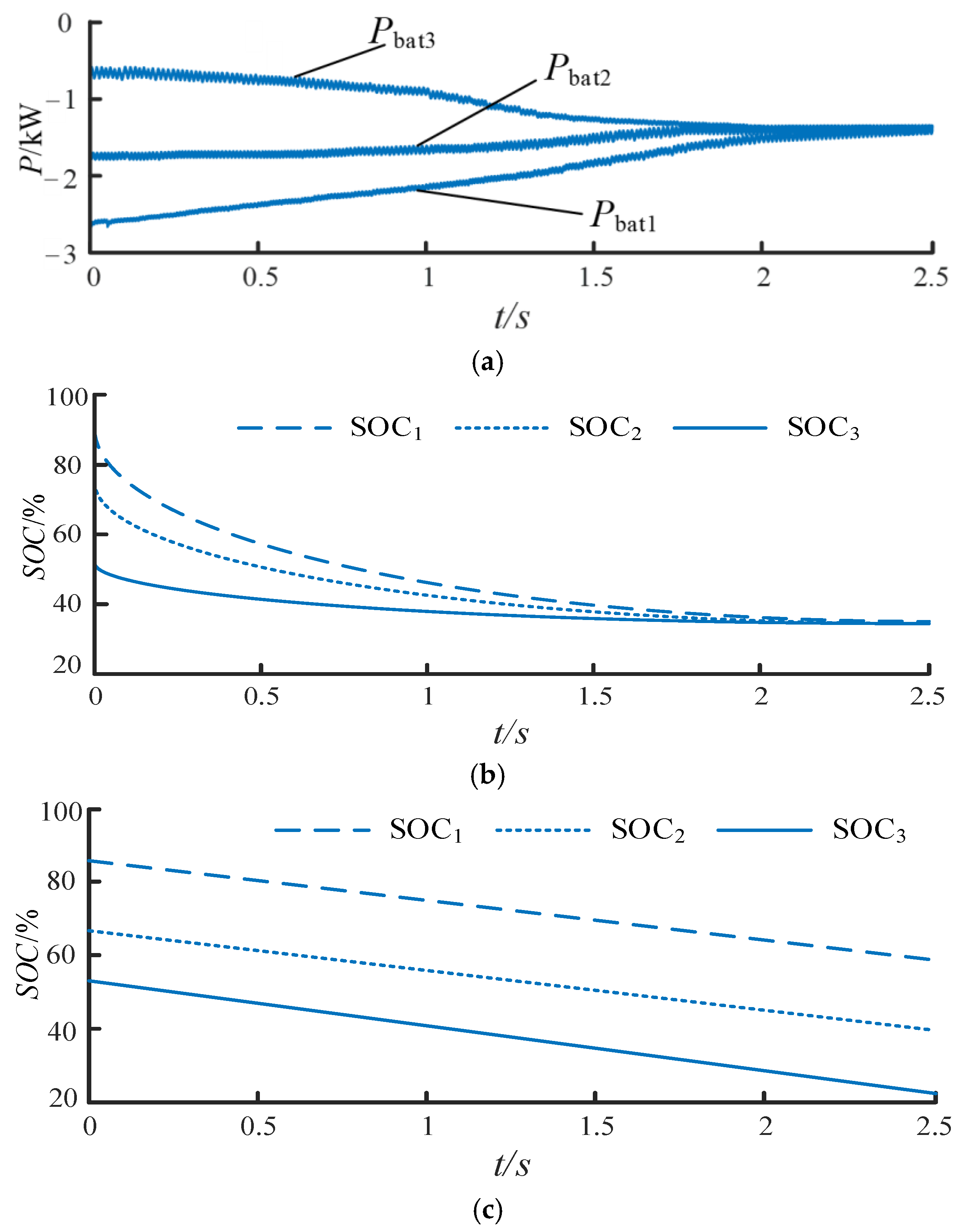
When the ESU is in the charging and discharging modes, the SOC of all the units needs to keep balancing. The initial SOC values of the three ESUs were set to 82, 68, and 53% to verify the effectiveness of the proposed SOC equalization strategy. The droop control coefficients were set to: KN = 7.5 × 10−3, p = 2.9, Ks = 2.5, and K = 0.01 to compare with the traditional SOC control strategy of DESS, whose droop coefficients were fixed at the same time. When the ESU was charging, the PV output power was set at 8 kW, and when the ESU was discharging, the PV output power was set at 3 kW. The simulated results are shown in Figure 10 and Figure 11.

Figure 10.
DESS charging simulation results. (a) Charging power under ESU equalization strategy. (b) Charging SOC under ESU equalization strategy. (c) Charging SOC under ESU traditional control strategy.
Figure 11.
DESS discharge simulation results. (a) Discharge power under ESU equalization strategy. (b) Discharge SOC under ESU equalization strategy. (c) Discharge SOC under ESU traditional control strategy.
As shown in Figure 10a and Figure 11a, the lower the SOC value was, the larger the input power was when the units were charging and vice versa. Therefore, the higher the SOC value was, the larger the output power was when the units were discharging. The simulation results are consistent with the theory in this regard. In Figure 10b and Figure 11b at the time of 2 s, one can see that the ESU and SOC were consistent and well-balanced. In Figure 10c and Figure 11c, one can see that, compared with the traditional SOC control strategy, the proposed strategy was more effective at controlling SOC equalization and maintaining the balance of DC bus voltage as the higher SOC equalization speed and accuracy.
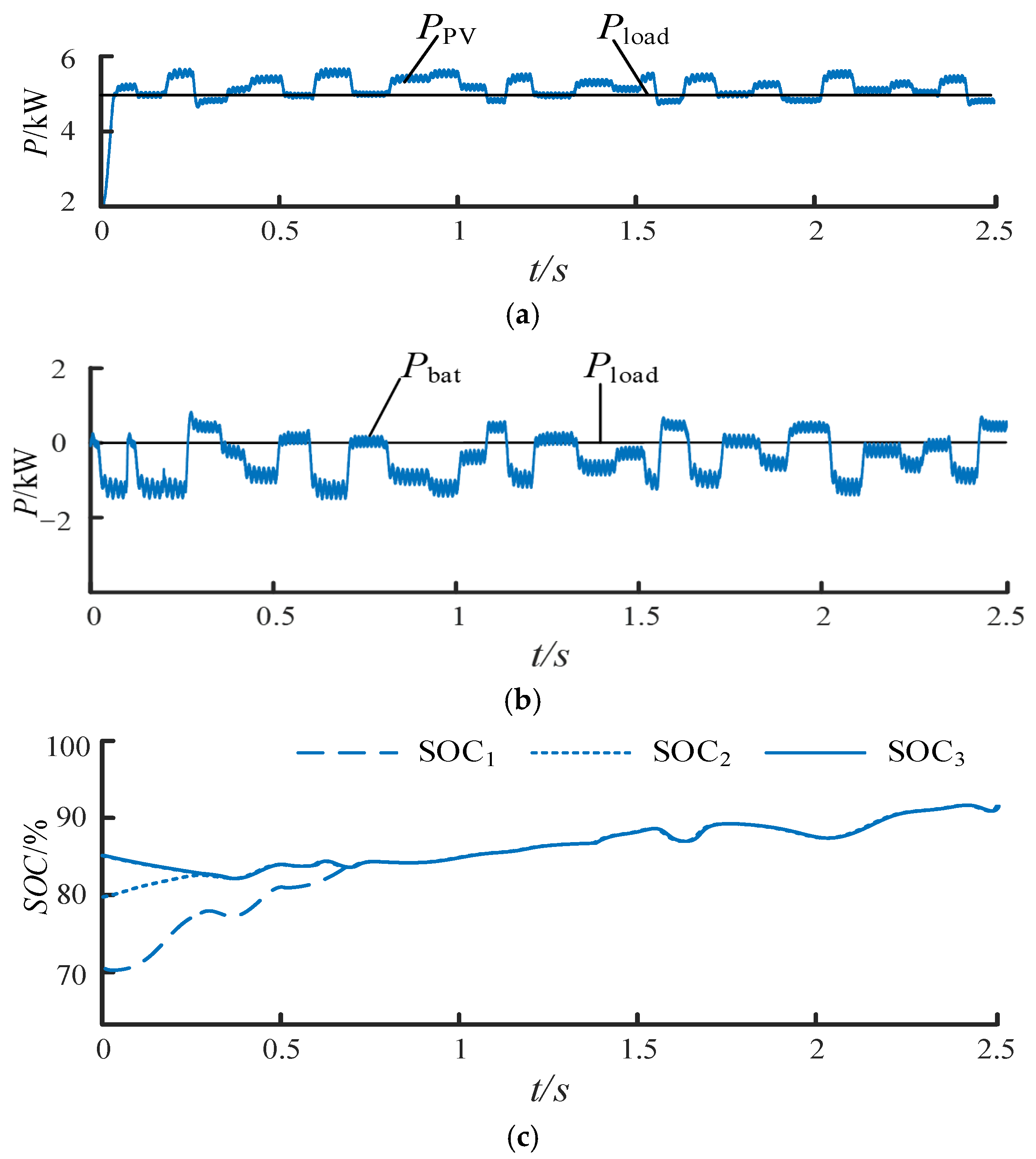
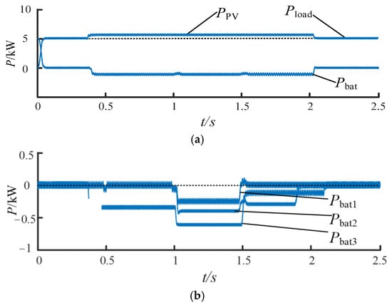
4.2. Simulation Results of the Tracking Compensation of DESS to the PV System
The SOC initial values of the three ESU units were set to 70, 80, and 85% to verify the DESS dynamic responding characteristics. The simulation results are shown in Figure 12. Clearly, the ESU could quickly track and compensate for the difference and redundancy of the PV output power to establish the energy supply and demand balance.
Figure 12.
Dynamic response capability of the energy storage system. (a) Photovoltaic and load unit power. (b) DESS and load unit power. (c) ESU SOC curve.
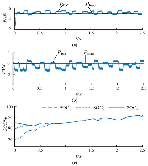
4.3. Simulation Results of Sudden Load Change
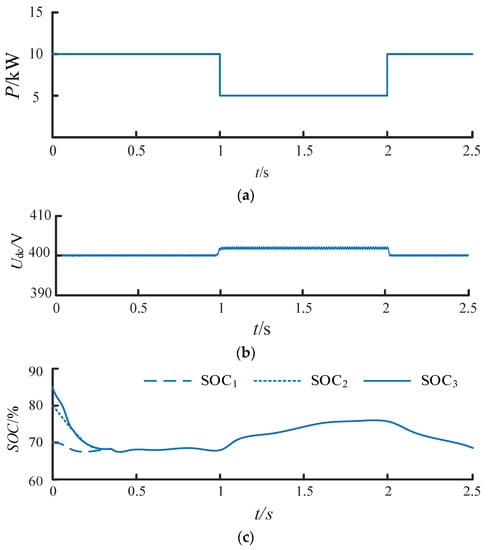
Non-critical loads were switched at 1 and 2 s to observe the system’s response characteristics during load switching when the system operations are stable to understand the system’s behavior in case of sudden load changes. The initial SOC values of ESU were set to 70, 80, and 85%. The simulation results are shown in Figure 13.
Figure 13.
System simulation under sudden load change. (a) Load power. (b) Bus voltage. (c) ESU output power.
From Figure 13, one can see that the ESU and PV bus voltage increased to the rated values, and the voltage deviation between the DC bus and rated value generally decreased. The output power of ESU is gradually reduced until it enters standby mode. When the load suddenly changes, the ESU can quickly respond, switch from the standby mode to the charging mode, and quickly absorb the excess power to maintain the DC bus voltage. When the load demand increases, the ESU can release the stored energy to keep the stability of the DC bus voltage. The results also showed that the proposed control strategy maintained the DC bus voltage well when the load changed.
To sum up, DESS can timely supplement the bus power shortage in different states of charge, maintain the bus voltage at an ideal level, and have a response time of less than 0.1 s. Its subunit (ESU) can also balance each ESU’s charging and discharging power by adaptively adjusting the droop control coefficient when the states of charge are different; This feature is also practical when the light changes and the load suddenly changes. It can quickly balance the SOC of each ESU within 0.3~0.6 s and improve the operating efficiency of the overall system.
However, with the increase of nodes in the network, the discrete consistency algorithm needs to distribute ESU power on demand and adapt to the random switching of nodes, which will cause frequent changes in the final value of consistency iteration. That is, the voltage balance point of the system bus leads to the problem of coordination between consistency iteration and control cycle, which still needs further analysis and study in the future.
5. Conclusions
Based on layered control of the bus voltage for the DC microgrid with PV storage and power exponential droop control, a fast SOC equalization strategy is proposed for each ESU in the DESS of the DC microgrid. The main conclusions of this study are as follows:
- (1)
- Power fluctuation caused by sunlight conditions and load variation can be quickly stabilized, which allows the system to maintain an energy balance between supply and demand.
- (2)
- In DC microgrid systems with ESUs at different initial SOC, the proposed method can reduce the deviation between each ESU and consequently reduce the time of charging and discharging.
- (3)
- Compared with the traditional ESU control strategy, the proposed strategy is more efficient at increasing the SOC equalization speed and is more accurate when the ESU is in charging or discharging mode.
Author Contributions
Conceptualization, Q.Z., Q.R., L.W. and S.L.; Formal analysis, S.L.; Funding acquisition, Q.Z. and S.L.; Project administration, Q.Z.; Resources, M.L.; Software, M.L.; Validation, Z.S. and Q.R.; Visualization, Q.R. and J.F.; Writing—original draft, Z.S., J.F. and M.L.; Writing—review and editing, S.L., L.Q., L.W. and M.L. All authors have read and agreed to the published version of the manuscript.
Funding
This research was funded in part by the Gansu University Innovation Fund Project under contract nos. 2020A-036 and 2021B-111, and in part by the Science and Technology Project of the Longnan Power Supply Company under contract No. SGGSLN00TKJS2201197.
Institutional Review Board Statement
Not applicable.
Informed Consent Statement
Not applicable.
Data Availability Statement
Not applicable.
Conflicts of Interest
The authors declare no conflict of interest.
Nomenclature
| Symbols | |
| L | inductor |
| Si | switches |
| Di | diodes |
| Ci | filter capacitors |
| Ubat | output voltage of the energy storage system |
| Udc | DC bus voltage |
| iD(t) | diodes current |
| iL(t) | inductor current |
| uD(t) | inductor voltage |
| uR(t) | load voltage |
| Abbreviations | |
| ESU | energy storage unit |
| ESS | energy storage system |
| DESS | distributed energy storage system |
| SOC | state of charge |
| PV | photovoltaic |
| MPPT | maximum power point tracking |
References
- Krishnamoorthy, M.; Periyanayagam, A.D.V.R.; Santhan Kumar, C.; Praveen Kumar, B.; Srinivasan, S.; Kathiravan, P. Optimal sizing, selection, and techno-economic analysis of battery storage for PV/BG-based hybrid rural electrification system. IETE J. Res. 2020, 68, 4061–4076. [Google Scholar] [CrossRef]
- Eric, H.; Ted, W.; John, K.; Jay, W. Evaluating the value of batteries in microgrid electricity systems using an improved Energy systems model. Energy Convers. Manag. 2015, 89, 458–472. [Google Scholar]
- Li, X.; Sun, K.; Josep, M.G. State-of-Charge balance using adaptive droop control for distributed energy storage systems in DC microgrid applications. IEEE Trans. Ind. Electron. 2013, 61, 2804–2815. [Google Scholar]
- Zhang, S.; Qin, W.; Ren, C. Control strategy for hybrid energy storage system in bipolar-type DC micro-grid. High Volt. Eng. 2018, 309, 2761–2768. [Google Scholar]
- Mendis, N.; Muttaqi, K.M.; Perera, S. Management of battery-supercapacitor hybrid energy storage and synchronous condenser for isolated operation of PMSG based variable-speed wind turbine generating systems. IEEE Trans. Smart Grid 2014, 13, 12–24. [Google Scholar] [CrossRef]
- Ye, Z.; HongJie, J.; Li, G. Energy Management Strategy of Islanded Microgrid Based on Power Flow Control. In Proceedings of the 2012 IEEE PES Innovative Smart Grid Technologies, Washington, DC, USA, 16–20 January 2012; pp. 1–8. [Google Scholar]
- Li, P.; Zhang, C.; Yuan, R. Load current sharing method of distributed energy storage systems by improved SOC drooping control. Proc. CSEE 2017, 37, 3746–3754. [Google Scholar]
- Zhang, J.; Sun, J.; Ning, J. Coordinated control for PV/Storage hybrid islanded microgrid considering SOC balancing. Trans. China Electrotech. Soc. 2018, 33, 527–537. [Google Scholar]
- Sahoo, S.; Mishra, S.; Padhy, N.P. A Decentralized Adaptive Droop Based Power Management Scheme in Autonomous DC Microgrid. In Proceedings of the 2016 IEEE PES Asia-Pacific Power and Energy Engineering Conference (APPEEC), Xi’an, China, 25–28 October 2016. [Google Scholar]
- Chen, T.; Xu, X.; Zhu, Y. Optimal operation based on deep reinforcement learning for energy storage system in photovoltaic-storage charging station. Electr. Power Autom. Equip. 2021, 41, 90–98. [Google Scholar]
- Jun, C.; Dan, H.; Fan, Z.; Thomas, M.; David, H.; Kang, L. Deep reinforcement learning based energy storage arbitrage with accurate lithium-ion battery degradation model. IEEE Trans. Smart Grid. 2020, 11, 4513–4521. [Google Scholar]
- Liu, H.; Luo, X.; Zhang, W.; Liu, Y.; Sun, W.; Guo, M. Research on DC microgrid coordinated control strategy considering battery SOC. Electrotech. Appl. 2020, 39, 16–23. [Google Scholar]
- Zhang, H.; Duan, J.; Xi, Y.; Gong, X.; Cheng, X. AGC model predictive control of islanded HVDC sending end considering SOC recovery of energy storage. Electr. Power Autom. Equipment. 2021, 41, 199–204. [Google Scholar]
- Anderson, P.M.; Mirheydar, M. A low-order system frequency response model. IEEE Trans. Power Syst. A Publ. Power Eng. Soc. 1990, 5, 720–729. [Google Scholar] [CrossRef]
- Li, S.; Li, X.; Kang, Y.; Gao, Q. Load capability assessment and enhancement for transformers with integration of large-scale renewable energy: A. brief review. Front. Energy Res. 2022, 10, 1002973. [Google Scholar] [CrossRef]
- Jiang, Z.; Li, S.; Ma, X.; Li, X.; Kang, Y.; Li, H.; Dong, H. State estimation of regional power systems with source-load two-terminal uncertainties. Comput. Model. Eng. Sci. 2022, 132, 295–317. [Google Scholar] [CrossRef]
- Li, X.; Li, H.; Li, S.; Jiang, Z.; Ma, X. Review on reactive power and voltage optimization of active distribution network with renewable distributed generation and time-varying loads. Math. Probl. Eng. 2021, 2021, 1196369. [Google Scholar] [CrossRef]
- Liu, J.; Han, X.; Wang, L.; Zhang, P.; Wang, J. Operation and control strategy of DC microgrid. Power Syst. Technol. 2014, 38, 2356–2362. [Google Scholar]
- Kollimalla, S.K.; Mishra, M.K. A New Control Strategy for Interfacing Battery Supercapacitor Storage Systems for PV System. In Proceedings of the 2014 IEEE Students’ Conference on Electrical, Electronics and Computer Science, Lakes-Bhopal, India,, 1–2 March 2014. [Google Scholar]
- Georgious, R.; Garcia, J.; Navarro-Rodriguez, A.; Garcia, P. A study on the control design of nonisolated converter configurations for hybrid energy storage systems. IEEE Trans. Ind. Appl. 2018, 54, 4660–4671. [Google Scholar] [CrossRef]
- Yuan, N.; Wang, Y.; Zhang, J.; Zhang, W. Improved droop control based on SOC in DC microgrid. Power Syst. Prot. Control 2019, 47, 17–23. [Google Scholar]
- Alam, M.; Kumar, K.; Dutta, V. Droop based control strategy for balancing the level of hydrogen storage in direct current microgrid application. J. Energy Storage 2020, 33, 102106. [Google Scholar] [CrossRef]
- Lang, J.; Cheng, Q.; Zhang, Z.; Zheng, S. Research on SOC-based droop control in optical storage microgridy. Ind. Control. Comput. 2020, 33, 134–136. [Google Scholar]
- Li, D.; Liang, L.; Li, S. Coordinated control strategy for isolated DC microgrid with hybrid energy storage system. Renew. Energy Resour. 2020, 38, 524–531. [Google Scholar]
- Wu, Z.; Liu, X.; Li, C.; Yang, X. Coordinated control strategy in micro-grid with the limit value of battery SOC. Electr. Meas. Instrum. 2015, 52, 62–67. [Google Scholar]
- Liu, Q.; Fan, S.; Chao, F.; Li, C. Energy management of isolated micro-grid with wind turbines, energy storage and seawater desalination devices considering different battery SOC state. High Volt. Eng. 2015, 41, 2173–2179. [Google Scholar]
- Mohamed, S.; Mokhtar, M.; Marei, M.I. A Control Strategy for Hybrid Islanded Microgrid. In Proceedings of the 2019 21st International Middle East Power Systems Conference (MEPCON), Cairo, Egypt, 17–19 December 2019. [Google Scholar]
- Oh, H.; Hwang, T.; Lee, S. A simplified simulation model of RO systems for seawater desalination. Desalination 2018, 238, 128–139. [Google Scholar] [CrossRef]
- Wu, Q.; Sun, X.; Hao, Y. Research of SOC balance and voltage frequence recovery of microgrid energy storage system. ACTA Energ. Sol. Sin. 2018, 39, 1743–1751. [Google Scholar]
- Yun, Z.; Chen, W.; Yi, W. SOC dynamic balancing strategy for multi-energy storage based on adaptive droop control in DC microgrid. J. North China Electr. Power Univ. (Nat. Sci. Ed.) 2020, 47, 21–29. [Google Scholar]
- Li, J.; Liu, X.; Zhang, Y.; Zhang, W.; Yin, Y.; Hao, S.; Lv, G. Accurate power distribution and bus voltage deviation optimization control of DC microgrid based on adaptive droop algorithm. Power Capacit. React. Power Compens. 2021, 42, 164–169. [Google Scholar]
- Khorsandi, A.; Ashourloo, M.; Mokhtari, H. A decentralized control method for a low-voltage dc microgrid. IEEE Trans. Energy Convers. 2014, 29, 793–801. [Google Scholar] [CrossRef]
- Yang, X.; Yin, C. Coordinated control strategy of light storage and DC microgrid based on islanding mode. Electr. Drive 2020, 50, 75–80. [Google Scholar]
- Guo, X.; Li, L.; Wu, L. Frequency modulation strategy of hybrid energy storage system of microgrid based on droop control. Power Capacit. React. Power Compens. 2021, 42, 176–182. [Google Scholar]
- Zhu, Y.; Wang, Z.; Wang, H.; Wei, D.; Shao, N.; Jiang, X. Research on hierarchical control of micro power grid hybrid energy storage coordination optimization strategy. ACTA Energ. Sol. Sin. 2021, 42, 235–242. [Google Scholar]
Disclaimer/Publisher’s Note: The statements, opinions and data contained in all publications are solely those of the individual author(s) and contributor(s) and not of MDPI and/or the editor(s). MDPI and/or the editor(s) disclaim responsibility for any injury to people or property resulting from any ideas, methods, instructions or products referred to in the content. |
© 2023 by the authors. Licensee MDPI, Basel, Switzerland. This article is an open access article distributed under the terms and conditions of the Creative Commons Attribution (CC BY) license (https://creativecommons.org/licenses/by/4.0/).













