Post-Contingency Loading Margin through Plane Change in the Continuation Power Flow
Abstract
:1. Introduction
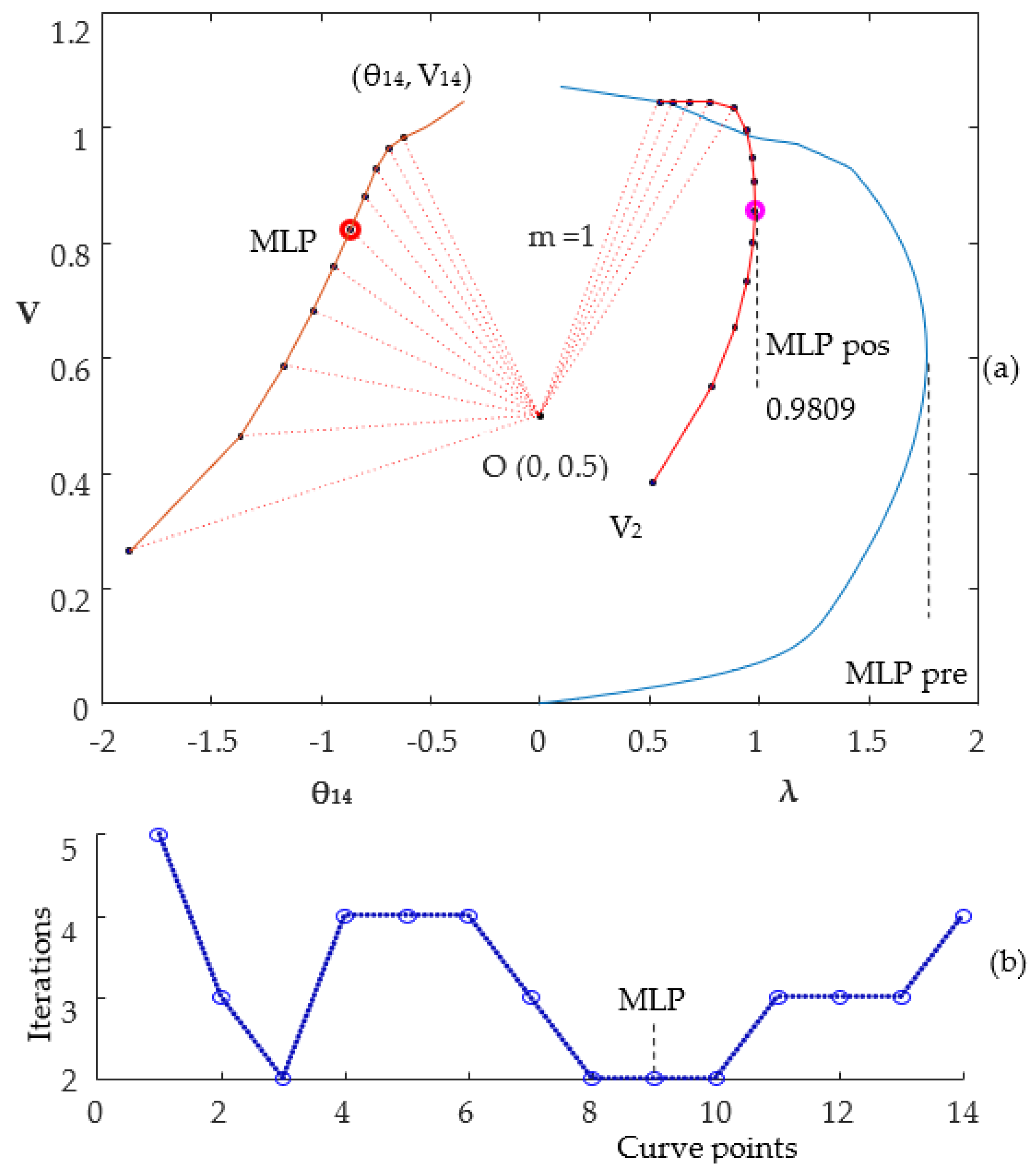
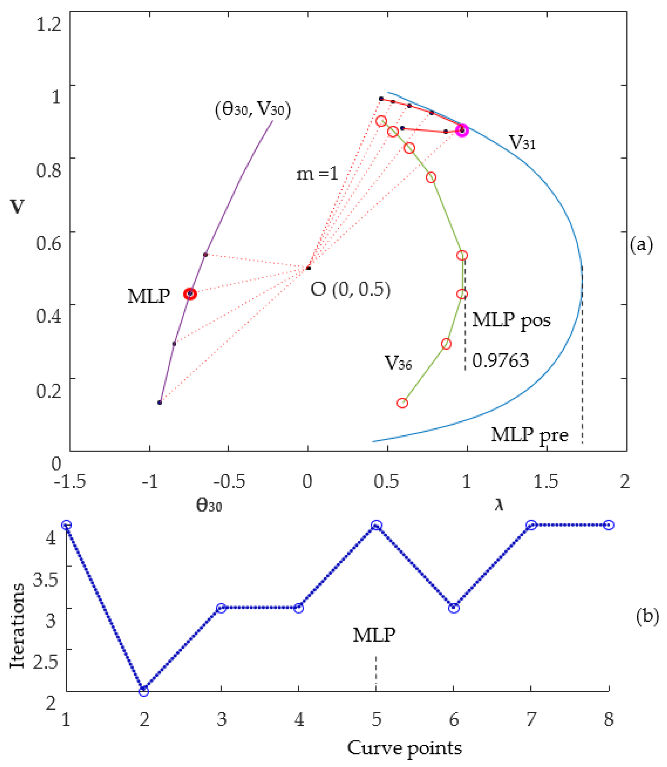
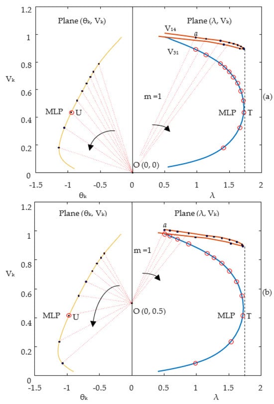
2. Proposed Methodology
3. Test Results
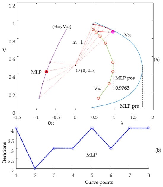
Flat Start Applied to the Proposed Methodology
4. Conclusions
Author Contributions
Funding
Data Availability Statement
Acknowledgments
Conflicts of Interest
Nomenclature
| PF | Power flow |
| CPF | Continuation power flow |
| SPF | Standard power flow |
| MLP | Maximum loading point |
| PCPF | Proposed continuation power flow |
| MLP pos | Post-contingency maximum loading point |
| MLP pre | Pre-contingency maximum loading point |
| P-V | Voltage versus active power curve |
| N-0 | Pre-contingency curve (normal operating condition) |
| N-1 | Simple contingency (single) |
| N-2 | Double contingency |
| λ | Loading factor |
References
- Bompard, E.; Huang, T.; Wu, Y.; Cremenescu, M. Classification and trend analysis of threats origins to the security of power systems. Int. J. Electr. Power Energy Syst. 2013, 50, 50–64. [Google Scholar] [CrossRef]
- Operador Nacional do Sistema Elétrico—ONS. PEN 2020. Sumário Executivo. Plano de Operação Energética 2020/2024. Available online: https://www.ons.org.br/paginas/energia-no-futuro/suprimento-energetico (accessed on 17 June 2023).
- Matarucco, R.R.; Bonini Neto, A.; Alves, D.A. Assessment of branch outage contingencies using the continuation method. Int. J. Electr. Power Energy Syst. 2014, 55, 74–81. [Google Scholar] [CrossRef]
- Lou, Y.; Ou, Z.; Tong, Z.; Tang, W.; Li, Z.; Yang, K. Static Volatge Stability Evaluation on the Urban Power System by Continuation Power Flow. In Proceedings of the 2022 5th International Conference on Energy Electrical and Power Engineering (CEEPE), Chongqing, China, 22–24 April 2022; pp. 833–838. [Google Scholar] [CrossRef]
- Tostado-Véliz, M.; Kamel, S.; Jurado, F. Development and Comparison of Efficient Newton-Like Methods for Voltage Stability Assessment. Electr. Power Compon. Syst. 2020, 48, 1798–1813. [Google Scholar] [CrossRef]
- Ruan, C.; Wang, X.; Wang, X.; Gao, F.; Li, Y. Improved Continuation Power Flow Calculation Method Based on Coordinated Combination of Parameterization. In Proceedings of the 2018 IEEE 2nd International Electrical and Energy Conference (CIEEC), Beijing, China, 4–6 November 2018; pp. 207–211. [Google Scholar] [CrossRef]
- Fnaiech, N.; Jendoubi, A.; Zoghlami, M.; Bacha, F. Continuation power flow of voltage stability limits and a three dimensional visualization approach. In Proceedings of the 2015 16th International Conference on Sciences and Techniques of Automatic Control and Computer Engineering (STA), Monastir, Tunisia, 21–23 December 2015; pp. 163–168. [Google Scholar] [CrossRef]
- Wang, B.; Liu, C.; Sun, K. Multi-Stage Holomorphic Embedding Method for Calculating the Power-Voltage Curve. IEEE Trans. Power Syst. 2018, 33, 1127–1129. [Google Scholar] [CrossRef]
- Lima, G.B.; Bonini Neto, A.; Alves, D.A.; Minussi, C.R.; da Silva Amorim, E.; da Silva, L.C.P. Technique for Reactive Loss Reduction and Loading Margin Enhancement Using the Curves of Losses versus Voltage Magnitude. Energies 2023, 16, 5867. [Google Scholar] [CrossRef]
- Wu, L.; Gao, J.; Wang, Y.; Harley, R.G. A survey of contingency analysis regarding steady state security of a power system. In Proceedings of the 2017 North American Power Symposium (NAPS), Morgantown, WV, USA, 17–19 September 2017; pp. 1–6. [Google Scholar] [CrossRef]
- Dos Santos, J.V.C.; Costa, I.F.; Nogueira, T. New genetic algorithms for contingencies selection in the static security analysis of electric power systems. Expert Syst. Appl. 2015, 42, 2849–2856. [Google Scholar] [CrossRef]
- Bennani, H.; Chebak, A.; El Ouafi, A. Unique Symbolic Factorization for Fast Contingency Analysis Using Full Newton–Raphson Method. Energies 2023, 16, 4279. [Google Scholar] [CrossRef]
- Kengkla, N.; Hoonchareon, N. Risk-Based N-2 Contingency Ranking in Transmission System Using Operational Condition. In Proceedings of the 2018 International Conference on Engineering, Applied Sciences, and Technology (ICEAST), Phuket, Thailand, 4–7 July 2018; pp. 1–4. [Google Scholar] [CrossRef]
- Mehroliya, S.; Arya, A.; Paliwal, P.; Arya, M.; Tomar, S. Voltage Stability Enhancement with FACTS devices by using Continuation Power Flow. In Proceedings of the 2023 IEEE Renewable Energy and Sustainable E-Mobility Conference (RESEM), Bhopal, India, 17–18 May 2023; pp. 1–6. [Google Scholar] [CrossRef]
- Portelinha, R.K.; Durce, C.C.; Tortelli, O.L.; Lourenço, E.M. Fast-decoupled power flow method for integrated analysis of trans-mission and distribution systems. Electr. Power Syst. Res. 2021, 196, 107215. [Google Scholar] [CrossRef]
- Gao, S.; Chen, Y.; Song, Y.; Huang, S.; Mei, S.; Su, D.; Xu, C. Fast Decoupled Power Flow Calculation with Complementary Constraints of Reactive Power Generation and Node Voltage. In Proceedings of the 2020 IEEE Power & Energy Society General Meeting (PESGM), Montreal, QC, Canada, 2–6 August 2020; pp. 1–5. [Google Scholar] [CrossRef]
- Wang, T.; Wang, S.; Ma, S.; Guo, J.; Zhou, X. An Extended Continuation Power Flow Method for Static Voltage Stability Assessment of Renewable Power Generation-Penetrated Power Systems. IEEE Trans. Circuits Syst. II Express Briefs 2022, in press. [Google Scholar] [CrossRef]
- WECC—Western Electricity Coordinating Council, Final Report, Voltage Stability Criteria, Undervoltage Load Shedding Strategy, and Reactive Power Reserve Monitoring Methodology, Reactive Power Reserve Work Group, Salt Lake City. 1998. Available online: https://www.wecc.org/Reliability/Voltage%20Stability%20Criteria%20May%201998.pdf (accessed on 24 May 2022).
- Mathworks. Available online: http://www.mathworks.com (accessed on 2 July 2023).
- Ajjarapu, V.; Christy, C. The Continuation Power Flow: A Tool for Steady State Voltage Stability Analysis. IEEE Trans. Power Syst. 1992, 7, 416–423. [Google Scholar] [CrossRef]








| System | P1 | P2 | CPU Ratio (%) | |||
|---|---|---|---|---|---|---|
| IC | CPU Time (p.u.) | IC | ACo | CPU Time (p.u.) | ||
| 14 (1) | 40 | 1.000 | 63 | 23 | 0.779 | 24.5 |
| 57 (2) | 27 | 1.000 | 54 | 14 | 0.769 | 25.1 |
| 300 | 62 | 1.000 | 77 | 28 | 0.623 | 37.8 |
| 638 | 123 | 1.000 | 254 | 37 | 0.676 | 32.2 |
| 904 | 84 | 1.000 | 94 | 38 | 0.715 | 29.1 |
Disclaimer/Publisher’s Note: The statements, opinions and data contained in all publications are solely those of the individual author(s) and contributor(s) and not of MDPI and/or the editor(s). MDPI and/or the editor(s) disclaim responsibility for any injury to people or property resulting from any ideas, methods, instructions or products referred to in the content. |
© 2023 by the authors. Licensee MDPI, Basel, Switzerland. This article is an open access article distributed under the terms and conditions of the Creative Commons Attribution (CC BY) license (https://creativecommons.org/licenses/by/4.0/).
Share and Cite
dos Santos, W.P.L.; Bonini Neto, A.; Gabriel Filho, L.R.A. Post-Contingency Loading Margin through Plane Change in the Continuation Power Flow. Energies 2023, 16, 7583. https://doi.org/10.3390/en16227583
dos Santos WPL, Bonini Neto A, Gabriel Filho LRA. Post-Contingency Loading Margin through Plane Change in the Continuation Power Flow. Energies. 2023; 16(22):7583. https://doi.org/10.3390/en16227583
Chicago/Turabian Styledos Santos, Wesley Prado Leão, Alfredo Bonini Neto, and Luís Roberto Almeida Gabriel Filho. 2023. "Post-Contingency Loading Margin through Plane Change in the Continuation Power Flow" Energies 16, no. 22: 7583. https://doi.org/10.3390/en16227583
APA Styledos Santos, W. P. L., Bonini Neto, A., & Gabriel Filho, L. R. A. (2023). Post-Contingency Loading Margin through Plane Change in the Continuation Power Flow. Energies, 16(22), 7583. https://doi.org/10.3390/en16227583

