A Composite Framework Model for Transient Pressure Dynamics in Tight Gas Reservoirs Incorporating Stress Sensitivity
Abstract
:1. Introduction
2. Mathematical Model
2.1. Description of Physical Model
2.2. Governing Flow Equation of a Horizontal Well
2.3. Dimensionless Form of Seepage Model
2.4. Solution to Mathematical Model
2.4.1. Pedrosa Variable Substitution and Regularized Perturbation Method
2.4.2. Laplace Transformation on Time Variable
2.4.3. Orthogonal Transformation on Spatial Variables
3. Results and Discussion
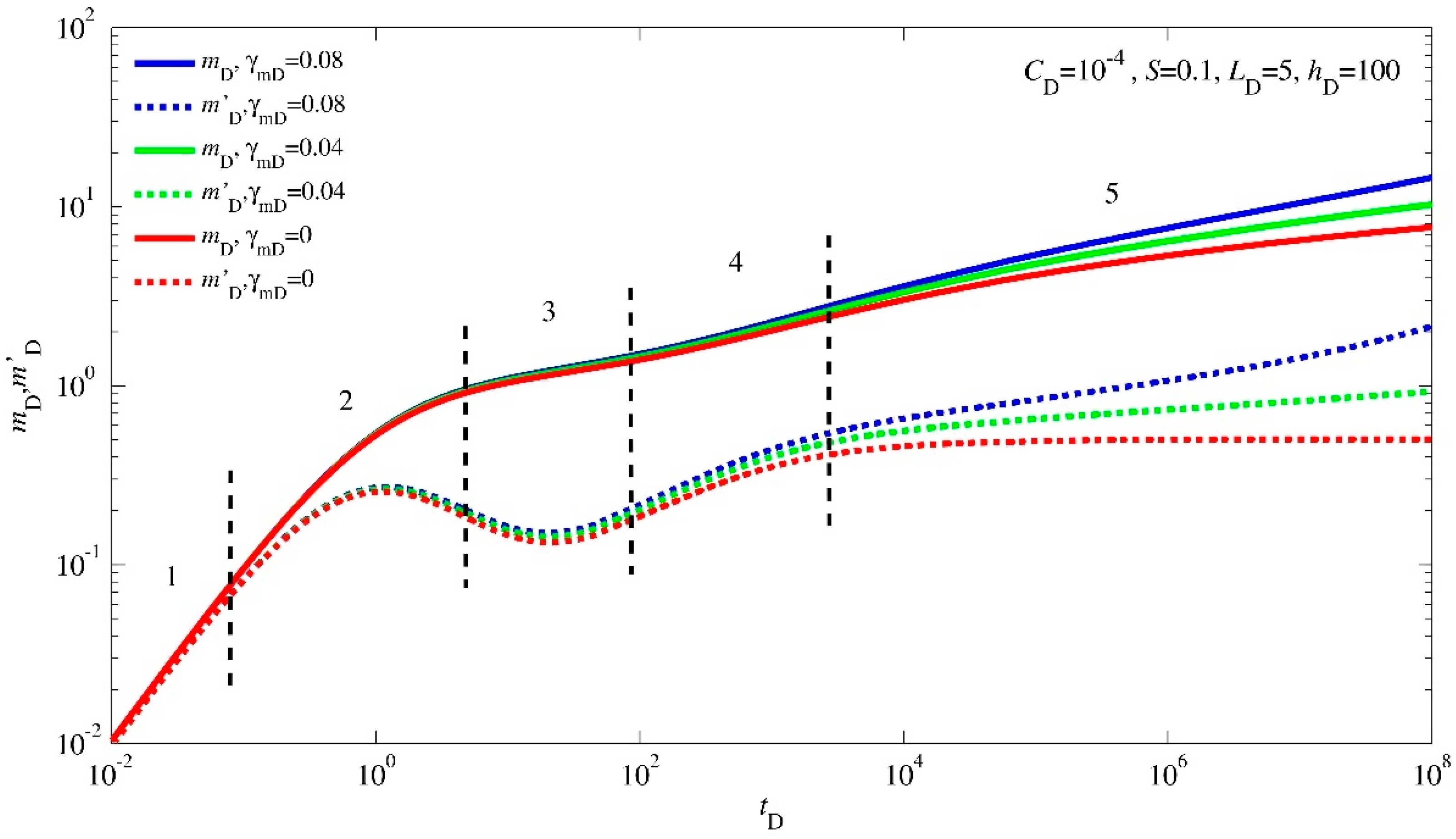
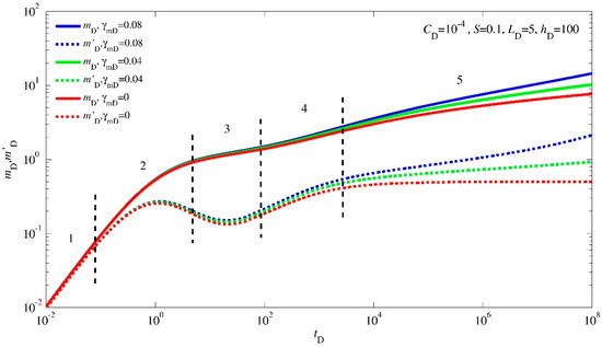
3.1. Flow Periods Recognition of Type Curves
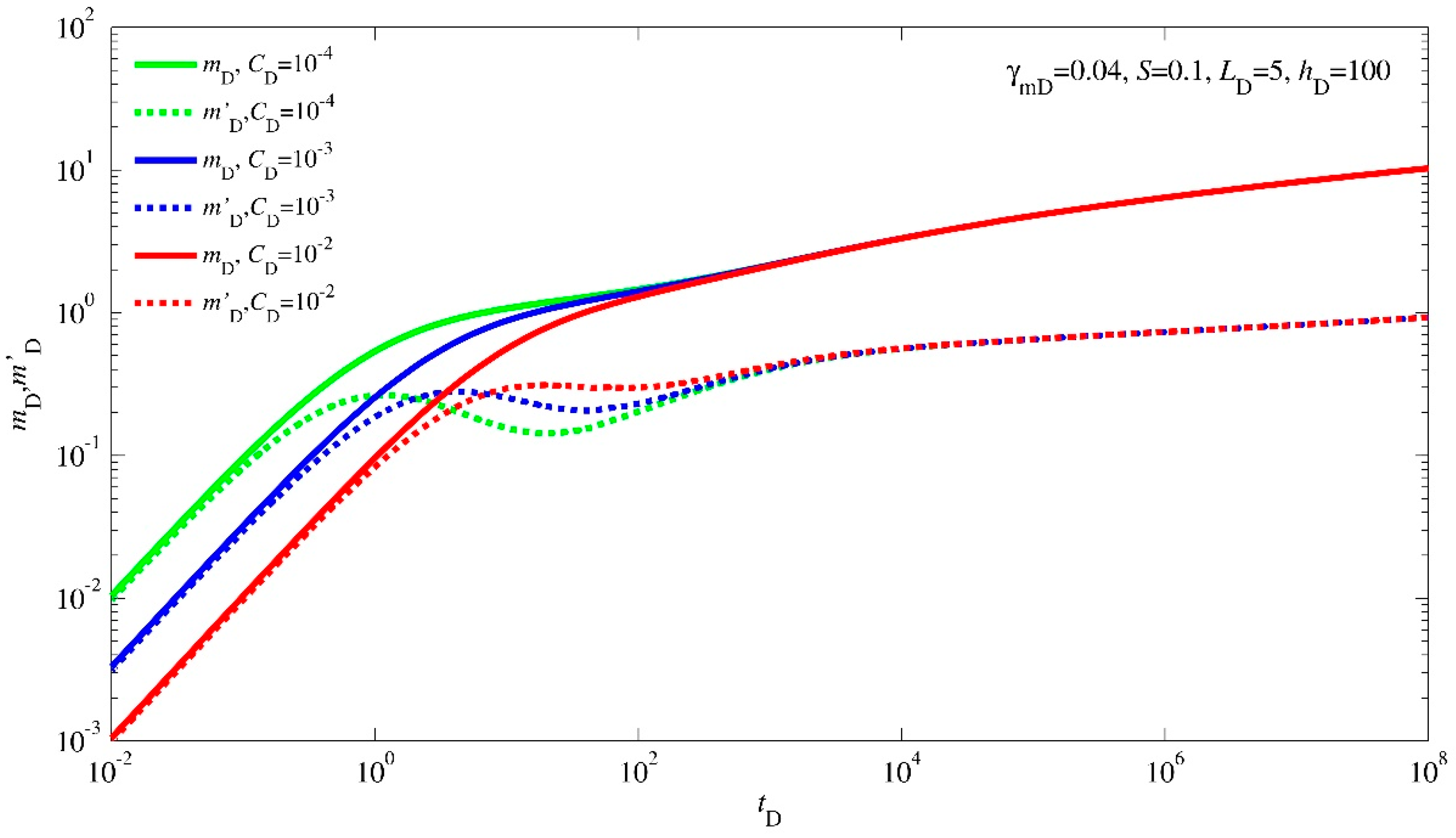
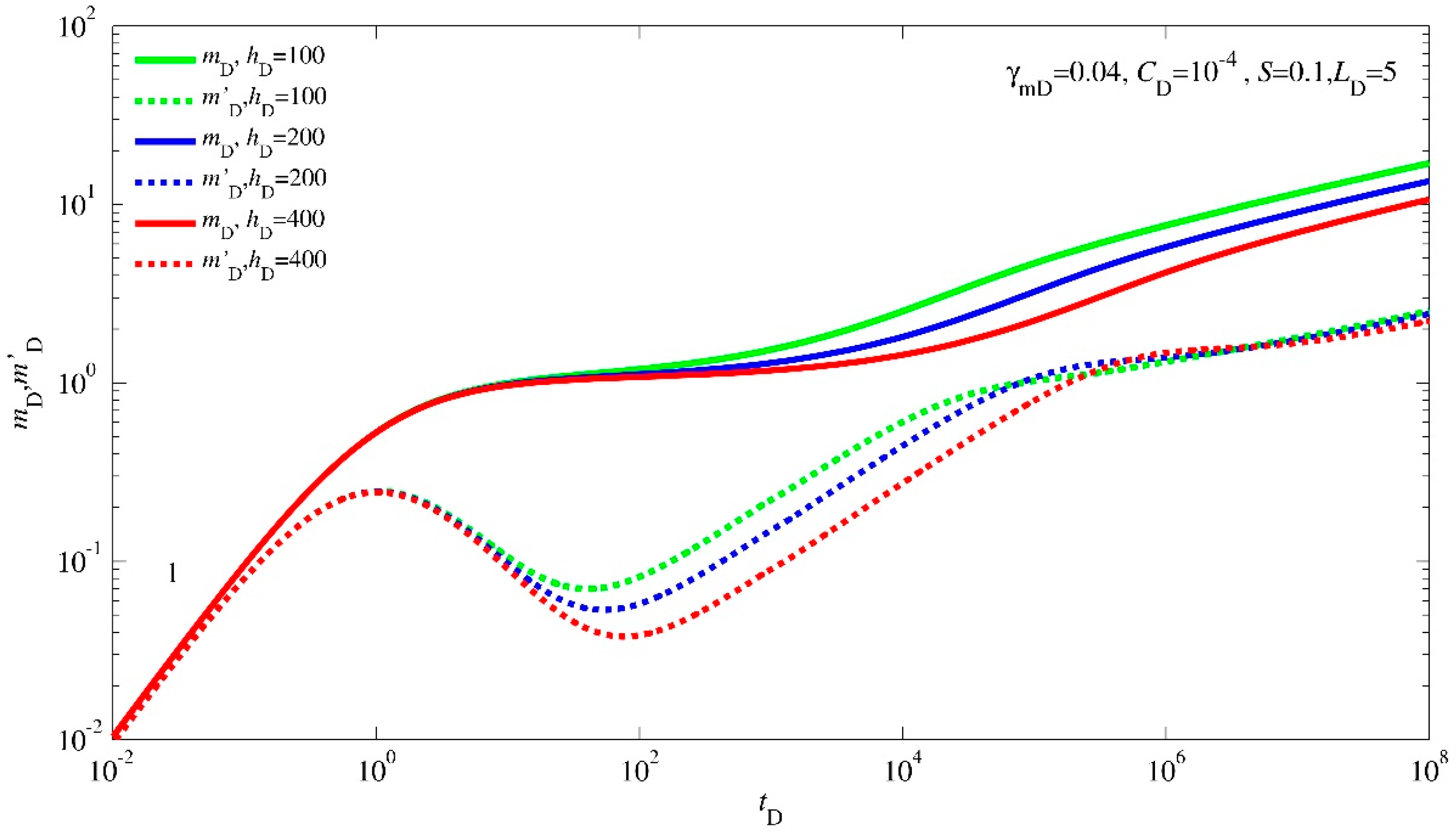
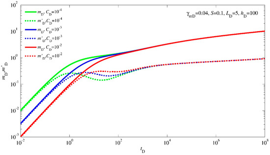
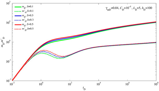
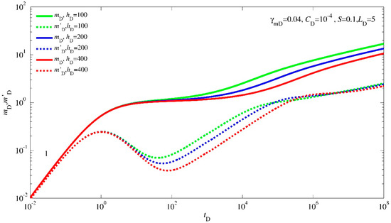
3.2. Sensitivity Analysis of Transient Pressure Dynamics
3.2.1. Effect of Permeability Modulus
3.2.2. Effect of Wellbore Storage Coefficient
3.2.3. Effect of Skin Factor
3.2.4. Effect of Reservoir Thickness
4. Conclusions
- The developed model, adept at delineating the intricate fluid flow influenced by stress-sensitivity, is introduced as a tool for dissecting the transient pressure dynamics in horizontal wells situated within abnormally high-pressure tight gas reservoirs. Compared with the conventional well testing interpretation tool, the established model can better explain the permeability parameters in such a formation and be more in line with the actual situation.
- An approximate analytical solution for pressure responses in the Laplace domain is generated by systematically integrating Pedrosa’s linearization techniques, perturbation methodology, Laplace transformations, Sturm–Liouville eigenvalue theory, and orthogonal transformations. This will provide valuable inspiration for further expansions to complex well types, complex geological conditions, or complex flow phases.
- Stress-sensitivity, an indicator of the formation permeability damage, engenders amplified pressure drops during the intermediate and late flow stages. These pronounced pressure drops find expression through discernible upward trends observed in both pressure and production derivative curves.
- The influence of other parameters, such as the wellbore storage coefficient, skin factor, and reservoir thickness, on the transient flow dynamics closely parallels the behavior observed in conventional gas reservoirs.
Author Contributions
Funding
Data Availability Statement
Acknowledgments
Conflicts of Interest
Nomenclature
| Latin symbols | |
| C | wellbore storage coefficient, m3/MPa |
| CD | dimensionless wellbore storage coefficient |
| Ct | total compressibility coefficient, MPa−1 |
| Cρ | fluid compressibility coefficient, MPa−1 |
| Cφ | rock compressibility coefficient, MPa−1 |
| h | reservoir thickness, m |
| hD | dimensionless reservoir thickness |
| K | permeability, μm2 |
| Kh | horizontal permeability, μm2 |
| Kv | vertical permeability, μm2 |
| L | horizontal section length, m |
| LD | dimensionless horizontal section length |
| m | pseudo pressure, MPa2/(mPa·s) |
| mD | dimensionless pseudo pressure |
| mi | initial pseudo pressure, MPa2/(mPa·s) |
| p | pressure, MPa |
| p0 | reference pressure, MPa |
| pi | initial formation pressure, MPa |
| q | gas production rate, 104m3/d |
| qD | dimensionless gas production rate |
| qsc | surface gas production rate, 104 m3/d |
| r | radial distance, m |
| rD | dimensionless radial distance |
| rw | wellbore radius, m |
| rwD | dimensionless wellbore radius |
| s | Laplace transform variable |
| S | skin factor, dimensionless |
| t | time, hours |
| tD | dimensionless time |
| v | velocity of gas flow, m/h |
| Z | gas deviation factor |
| z | vertical distance, m |
| zD | dimensionless vertical distance |
| zw | horizontal section position, m |
| zwD | dimensionless horizontal section position |
| Greek symbols | |
| γ | permeability modulus, MPa−1 |
| γm | pseudo permeability modulus, mPa·s/MPa2 |
| γmD | dimensionless pseudo permeability modulus |
| μ | gas viscosity, mPa·s |
| ρ | gas density, kg/m3 |
| υ | order number of modified Bessel equation |
| φ | porosity of reservoir, fraction |
| ξD | perturbation deformation function |
| ξD0 | zero-order perturbation deformation function |
| Superscripts | |
| Laplace transform domain | |
| Orthogonal transform domain | |
| Subscripts | |
| D | dimensionless |
| h | horizontal |
| i | initial |
| m | pseudo |
| r | radius direction |
| sc | standard condition |
| t | total |
| v | vertical |
| w | wellbore |
| z | z-direction |
Appendix A. Dimensionless Process of Seepage Differential Equation
References
- Faramawy, S.; Zaki, T.; Sakr, A.-E. Natural gas origin, composition, and processing: A review. J. Nat. Gas Sci. Eng. 2016, 34, 34–54. [Google Scholar] [CrossRef]
- Reyna, J.L.; Chester, M.V. Energy efficiency to reduce residential electricity and natural gas use under climate change. Nat. Commun. 2017, 8, 14916. [Google Scholar] [CrossRef] [PubMed]
- Hou, Z.; Luo, J.; Cao, C.; Ding, G. Development and contribution of natural gas industry under the goal of carbon neutrality in China. Adv. Eng. Sci. 2023, 55, 243–252. [Google Scholar]
- Dormieux, L.; Jeannin, L.; Gland, N. Homogenized models of stress-sensitive reservoir rocks. Int. J. Eng. Sci. 2011, 49, 386–396. [Google Scholar] [CrossRef]
- Zhao, L.; Chen, Y.; Ning, Z.; Wu, X.; Liu, L.; Chen, X. Stress sensitive experiments for abnormal overpressure carbonate reservoirs: A case from the Kenkiyak fractured-porous oil field in the littoral Caspian Basin. Pet. Explor. Dev. Online 2013, 40, 208–215. [Google Scholar] [CrossRef]
- Liu, Z.; Zhao, J.; Kang, P.; Zhang, J. An experimental study on simulation of stress sensitivity to production of volcanic gas from its reservoir. J. Geol. Soc. India 2015, 86, 475–481. [Google Scholar] [CrossRef]
- Tan, X.-H.; Li, X.-P.; Liu, J.-Y.; Zhang, G.-D.; Zhang, L.-H. Analysis of permeability for transient two-phase flow in fractal porous media. J. Appl. Phys. 2014, 115, 113502. [Google Scholar] [CrossRef]
- Tan, X.-H.; Li, X.-P.; Liu, J.-Y.; Zhang, L.-H.; Fan, Z. Study of the effects of stress sensitivity on the permeability and porosity of fractal porous media. Phys. Lett. A 2015, 379, 2458–2465. [Google Scholar] [CrossRef]
- Tian, X.; Cheng, L.; Cao, R.; Wang, Y.; Zhao, W.; Yan, Y.; Liu, H.; Mao, W.; Zhang, M.; Guo, Q. A new approach to calculate permeability stress sensitivity in tight sandstone oil reservoirs considering micro-pore-throat structure. J. Pet. Sci. Eng. 2015, 133, 576–588. [Google Scholar] [CrossRef]
- Wang, S.; Ma, M.; Ding, W.; Lin, M.; Chen, S. Approximate analytical-pressure studies on dual-porosity reservoirs with stress-sensitive permeability. SPE Reserv. Eval. Eng. 2015, 18, 523–533. [Google Scholar] [CrossRef]
- Wenlian, X.; Tao, L.; Min, L.; Jinzhou, Z.; Zheng, L.; Ling, L. Evaluation of the stress sensitivity in tight reservoirs. Pet. Explor. Dev. 2016, 43, 115–123. [Google Scholar]
- Hamid, O.; Osman, H.; Rahim, Z.; Omair, A. Stress dependent permeability of carbonate rock. In Proceedings of the SPE Annual Technical Conference and Exhibition, Indianapolis, IN, USA, 23–25 May 2016; OnePetro: Richardson, TX, USA, 2016. [Google Scholar]
- Raghavan, R.; Chin, L.Y. Productivity changes in reservoirs with stress-dependent permeability. In Proceedings of the SPE Annual Technical Conference and Exhibition, San Antonio, TX, USA, 29 September–2 October 2002; SPE: Kuala Lumpur, Malaysia, 2002; p. SPE-77535-MS. [Google Scholar] [CrossRef]
- Fang, Y.; Yang, B. Application of new pseudo-pressure for deliverability test analysis in stress-sensitive gas reservoir. In Proceedings of the SPE Asia Pacific Oil and Gas Conference and Exhibition, Jakarta, Indonesia, 4–6 August 2009; SPE: Kuala Lumpur, Malaysia, 2009; p. SPE-120141-MS. [Google Scholar]
- Lian, P.; Cheng, L.; Liu, L. Characteristics of Productivity Curves in Abnormal High-Pressure Reservoirs. Pet. Sci. Technol. 2011, 29, 109–120. [Google Scholar] [CrossRef]
- Dou, X.; Liao, X.; Zhao, X.; Wang, H.; Lv, S. Quantification of permeability stress-sensitivity in tight gas reservoir based on straight-line analysis. J. Nat. Gas Sci. Eng. 2015, 22, 598–608. [Google Scholar] [CrossRef]
- Celis, V.; Silva, R.; Ramones, M.; Guerra, J.; Da Prat, G. A new model for pressure transient analysis in stress sensitive naturally fractured reservoirs. SPE Adv. Technol. Ser. 1994, 2, 126–135. [Google Scholar] [CrossRef]
- Zhang, M.; Ambastha, A. New insights in pressure-transient analysis for stress-sensitive reservoirs. In Proceedings of the SPE Annual Technical Conference and Exhibition, New Orleans, LA, USA, 25–28 September 1994; SPE: Kuala Lumpur, Malaysia, 1994; p. SPE-28420-MS. [Google Scholar]
- Jelmert, T.; Selseng, H. Pressure transient behavior of stress-sensitive reservoirs. In Proceedings of the SPE Latin America and Caribbean Petroleum Engineering Conference, Rio de Janeiro, Brazil, 30 August–3 September 1997; SPE: Kuala Lumpur, Malaysia, 1997; p. SPE-38970-MS. [Google Scholar] [CrossRef]
- Pinzon, C.L.; Chen, H.-Y.; Teufel, L.W. Numerical well test analysis of stress-sensitive reservoirs. In Proceedings of the SPE Rocky Mountain Petroleum Technology Conference, Keystone, CO, USA, 21–23 May 2001; OnePetro: Richardson, TX, USA, 2001. [Google Scholar]
- Archer, R. Impact of stress sensitive permeability on production data analysis. In Proceedings of the SPE Unconventional Resources Conference/Gas Technology Symposium, Calgary, AB, Canada, 10–12 February 2008; SPE: Kuala Lumpur, Malaysia, 2008; p. SPE-114166-MS. [Google Scholar] [CrossRef]
- Yao, S.; Zeng, F.; Liu, H.; Zhao, G. A semi-analytical model for multi-stage fractured horizontal wells. In Proceedings of the SPE Canadian Unconventional Resources Conference, Calgary, AB, Canada, 30 October–1 November 2012; OnePetro: Richardson, TX, USA, 2012. [Google Scholar]
- Pedrosa Jr, O.A. Pressure transient response in stress-sensitive formations. In Proceedings of the SPE Western Regional Meeting, Oakland, CA, USA, 2–4 April 1986; SPE: Kuala Lumpur, Malaysia, 1986; p. SPE-15115-MS. [Google Scholar] [CrossRef]
- Kikani, J.; Pedrosa, O.A., Jr. Perturbation analysis of stress-sensitive reservoirs. SPE Form. Eval. 1991, 6, 269–379. [Google Scholar] [CrossRef]
- Guo, J.; Wang, H.; Zhang, L.; Li, C. Pressure transient analysis and flux distribution for multistage fractured horizontal wells in triple-porosity reservoir media with consideration of stress-sensitivity effect. J. Chem. 2015, 2015, 212901. [Google Scholar] [CrossRef]
- Zeng, F.; Zhao, G. Well testing analysis for variable permeability reservoirs. J. Can. Pet. Technol. 2007, 46. [Google Scholar] [CrossRef]
- Xiao, X.; Sun, H.; Han, Y.; Yang, J. Dynamic characteristic evaluation methods of stress sensitive abnormal high pressure gas reservoir. In Proceedings of the SPE Annual Technical Conference and Exhibition, New Orleans, LA, USA, 4–7 October 2009; SPE: Kuala Lumpur, Malaysia, 2009; p. SPE-124415-MS. [Google Scholar]
- Qanbari, F.; Clarkson, C.R. Rate transient analysis of stress-sensitive formations during transient linear flow period. In Proceedings of the SPE Canada Unconventional Resources Conference, Calgary, AB, Canada, 30 October–1 November 2012; SPE: Kuala Lumpur, Malaysia, 2009; p. SPE-162741-MS. [Google Scholar]
- Cai, J.; Yu, B. A discussion of the effect of tortuosity on the capillary imbibition in porous media. Transp. Porous Media 2011, 89, 251–263. [Google Scholar] [CrossRef]
- Cai, J.-C. A fractal approach to low velocity non-Darcy flow in a low permeability porous medium. Chin. Phys. B 2014, 23, 044701. [Google Scholar] [CrossRef]
- Wang, F.; Li, X.; Couples, G.; Shi, J.; Zhang, J.; Tepinhi, Y.; Wu, L. Stress arching effect on stress sensitivity of permeability and gas well production in Sulige gas field. J. Pet. Sci. Eng. 2015, 125, 234–246. [Google Scholar] [CrossRef]
- Ding, J.; Yang, S.; Cao, T.; Wu, J. Dynamic threshold pressure gradient in tight gas reservoir and its influence on well productivity. Arab. J. Geosci. 2018, 11, 783. [Google Scholar] [CrossRef]
- Wu, Z.; Cui, C.; Trivedi, J.; Ai, N.; Tang, W. Pressure analysis for volume fracturing vertical well considering low-velocity non-Darcy flow and stress sensitivity. Geofluids 2019, 2019, 2046061. [Google Scholar] [CrossRef]
- Chu, H.; Ma, T.; Zhu, W.; Gao, Y.; Zhang, J.; Lee, W.J. A novel semi-analytical monitoring model for multi-horizontal well system in large-scale underground natural gas storage: Methodology and case study. Fuel 2023, 334, 126807. [Google Scholar] [CrossRef]
- Xu, Y.; Tan, X.; Li, X.; Li, J.; Liu, Q. Blasingame production decline and production prediction model of inclined well in triple-porosity carbonate gas reservoir. J. Nat. Gas Sci. Eng. 2021, 92, 103983. [Google Scholar] [CrossRef]
- Van Everdingen, A. The skin effect and its influence on the productive capacity of a well. J. Pet. Technol. 1953, 5, 171–176. [Google Scholar] [CrossRef]
- Kucuk, F.; Ayestaran, L. Analysis of simultaneously measured pressure and sandface flow rate in transient well testing (includes associated papers 13,937 and 14,693). J. Pet. Technol. 1985, 37, 323–334. [Google Scholar] [CrossRef]
- Stehfest, H. Algorithm 368: Numerical inversion of Laplace transforms [D5]. Commun. ACM 1970, 13, 47–49. [Google Scholar] [CrossRef]





| Dimensionless pseudo pressure | |
| Dimensionless pseudo permeability modulus | |
| Dimensionless time | |
| Dimensionless wellbore storage coefficient | |
| Dimensionless horizontal section length | |
| Dimensionless gas reservoir thickness | |
| Dimensionless radial distance | |
| Dimensionless wellbore radius | |
| Dimensionless vertical distance | |
| Dimensionless horizontal section position |
Disclaimer/Publisher’s Note: The statements, opinions and data contained in all publications are solely those of the individual author(s) and contributor(s) and not of MDPI and/or the editor(s). MDPI and/or the editor(s) disclaim responsibility for any injury to people or property resulting from any ideas, methods, instructions or products referred to in the content. |
© 2023 by the authors. Licensee MDPI, Basel, Switzerland. This article is an open access article distributed under the terms and conditions of the Creative Commons Attribution (CC BY) license (https://creativecommons.org/licenses/by/4.0/).
Share and Cite
Cao, L.; Wang, H.; Jiang, L.; Zhang, B.; Ganzer, L.; Xie, Y.; Luo, J.; Wang, X. A Composite Framework Model for Transient Pressure Dynamics in Tight Gas Reservoirs Incorporating Stress Sensitivity. Energies 2023, 16, 7175. https://doi.org/10.3390/en16207175
Cao L, Wang H, Jiang L, Zhang B, Ganzer L, Xie Y, Luo J, Wang X. A Composite Framework Model for Transient Pressure Dynamics in Tight Gas Reservoirs Incorporating Stress Sensitivity. Energies. 2023; 16(20):7175. https://doi.org/10.3390/en16207175
Chicago/Turabian StyleCao, Lina, Hehua Wang, Liping Jiang, Bo Zhang, Leonhard Ganzer, Yachen Xie, Jiashun Luo, and Xiaochao Wang. 2023. "A Composite Framework Model for Transient Pressure Dynamics in Tight Gas Reservoirs Incorporating Stress Sensitivity" Energies 16, no. 20: 7175. https://doi.org/10.3390/en16207175
APA StyleCao, L., Wang, H., Jiang, L., Zhang, B., Ganzer, L., Xie, Y., Luo, J., & Wang, X. (2023). A Composite Framework Model for Transient Pressure Dynamics in Tight Gas Reservoirs Incorporating Stress Sensitivity. Energies, 16(20), 7175. https://doi.org/10.3390/en16207175

