A Study on the Permeability and Damage Characteristics of Limestone under Stress–Seepage Coupling Conditions
Abstract
:1. Introduction
2. Test Conditions
2.1. Specimen Preparation
2.2. Experimental Apparatus and Testing Scheme
3. Experimental Results and Analysis
3.1. Permeability Calculation Method
3.2. Permeability Evolution in Whole Process
3.3. AE Characteristics
3.4. Damage Variable Based on Acoustic Emission
4. Discussion
5. Conclusions
- (1)
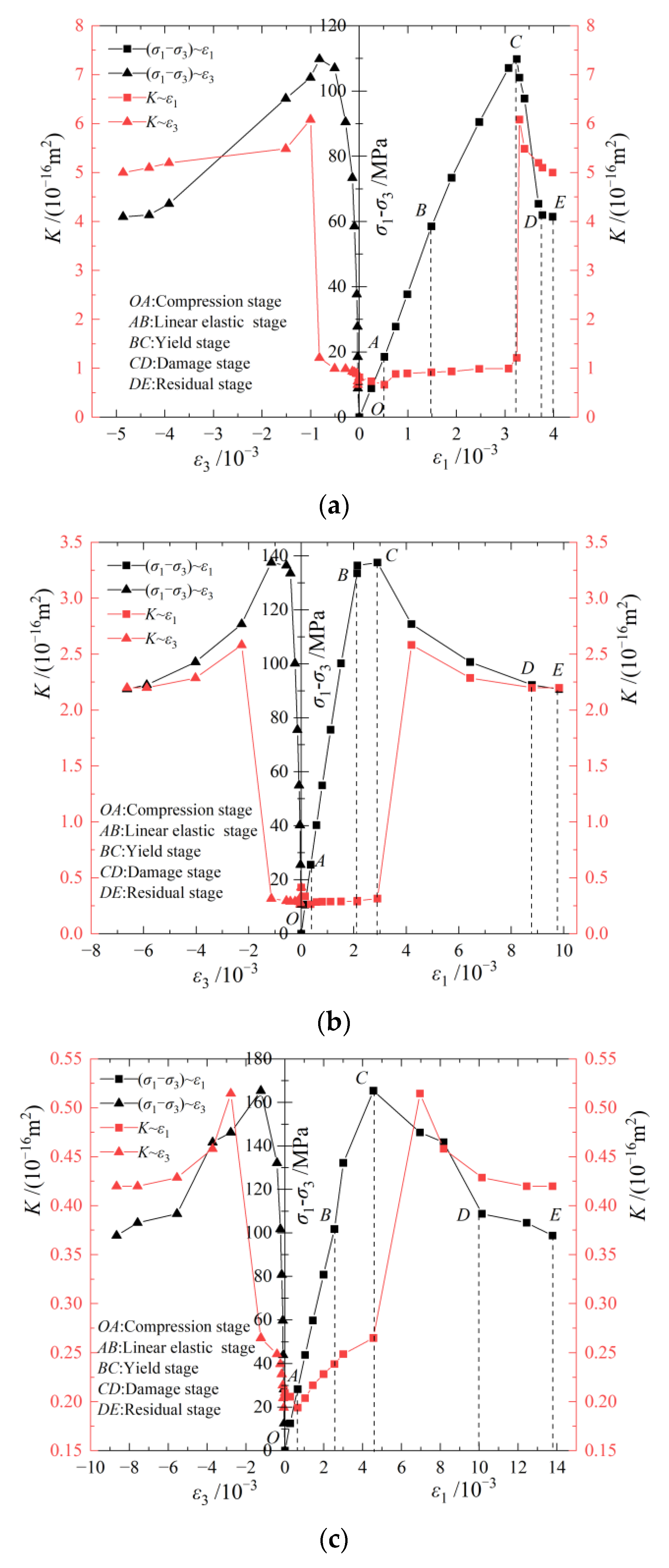
- The limestone permeability showed consistent stage characteristics with the strain. Compared to the axial strain, the permeability and lateral strain had a better consistency. From the perspective of volume strain, the permeability of the limestone decreased slightly in the volume compression stage. During the transition from compression to expansion, the permeability increased sharply to the peak value, and then the seepage was mainly fracturing seepage and showed ‘relative saturation’. The existence of confining pressure hindered the initiation and development of fractures and reduced the permeability of the rock.
- (2)
- The permeability characteristics during the deformation and damage of the limestone had a good correspondence with the acoustic emission characteristics. The permeability was small before yielding, increased slowly in the yielding stage, increased sharply to the peak in the damage stage, and tended to be stable in the residual stage. The acoustic emission activity increased throughout the process, and calm resumed in the residual phase. The higher the confining pressure was, the greater the acoustic emission activity was.
- (3)
- The deformation and damage process of the limestone experienced three stages: damage stable growth, damage acceleration development, and damage saturation. In the three stages, the permeability changed slightly then increased sharply, and finally tended to be stable.
Author Contributions
Funding
Data Availability Statement
Acknowledgments
Conflicts of Interest
References
- Ma, K.; Wang, L.J.; Peng, Y.L.; Long, L.J.; Wang, S.J.; Chen, T. Permeability characteristics of fractured rock mass: A case study of the Dongjiahe coal mine. Geomat. Nat. Haz. Risk. 2020, 11, 1724–1742. [Google Scholar] [CrossRef]
- Zhang, Z.H.; Sun, Q.C.; Li, D.Z.; Du, M.P.; Yao, H.Y. Experimental study on permeability characteristics of red sandstone under cyclic seepage pressures. Chin. J. Geotech. Eng. 2015, 37, 937–943. [Google Scholar]
- Medici, G.; West, L.J. Reply to discussion on ‘Review of groundwater flow and contaminant transport modelling approaches for the Sherwood Sandstone aquifer, UK; insights from analogous successions worldwide’ by Medici and West (QJEGH, 55, qjegh2021-176). Q. J. Eng. Geol. Hydrogen 2023, 56, qjegh2022-097. [Google Scholar] [CrossRef]
- Zhang, P.S.; Hou, J.Q.; Zhao, C.Y.; Li, T.H. Experimental study on the seepage characteristics of red sandstone with different confining pressures and different damage degrees. Chin. J. Rock Mech. Eng. 2020, 39, 2405–2414. [Google Scholar]
- Heiland, J. Laboratory testing of coupled hydro-mechanical processes during rock deformation. Hydrogeol. J. 2003, 11, 122–141. [Google Scholar] [CrossRef]
- Wang, Y.S.; Sloan, W.S.; Fityus, G.S.; Griffiths, D.V.; Tang, C.A. Numerical modeling of pore pressure influence on fracture evolution in brittle heterogeneous rocks. Rock Mech. Rock Eng. 2013, 46, 1165–1182. [Google Scholar] [CrossRef]
- Zheng, Z.; Wang, W.; Cao, Y.L.; Lü, J. A Statistical damage constitutive model with damage threshold based on Mogi-Coulomb criterion. In Proceedings of the 3rd ISRM SINOROCK 2013 Symposium, Shanghai, China, 18–20 June 2013. [Google Scholar]
- Wang, L.; Liu, J.F.; Pei, J.L.; Xu, H.N.; Bian, Y. Mechanical and permeability characteristics of rock under hydro-mechanical coupling conditions. Environ. Earth Sci. 2015, 73, 5987–5996. [Google Scholar] [CrossRef]
- Wang, Z.; Li, W.; Hu, Y.J. Experimental study on mechanical behavior, permeability, and damage characteristics of Jurassic sandstone under varying stress paths. Bull. Eng. Geol. Environ. 2021, 80, 4423–4439. [Google Scholar] [CrossRef]
- Zhang, Y.; Yu, T.T.; Zhang, T.; Liu, S.Y.; Zhou, J.W. Experimental study of the permeability evolution of fractured mudstone under complex stress paths. Chin. J. Eng. 2021, 43, 903–914. [Google Scholar]
- Tang, H.B.; Zhao, Y.S.; Kang, Z.Q.; Lv, Z.X.; Yang, D.; Wang, K. Investigation on the Fracture-Pore Evolution and Percolation Characteristics of Oil Shale under Different Temperatures. Energies 2022, 15, 3572. [Google Scholar] [CrossRef]
- Zhang, P.S.; Xu, D.Q.; Zhang, R.; Zhang, X.L.; Dong, Y.H.; Mu, W.L. Experimental study on seepage and mechanical properties of sandstone under different confining pressures and cyclic loads. Chin. J. Rock Mech. Eng. 2022, 41, 2432–2450. [Google Scholar]
- Wang, L.H.; Xu, Y.W.; Shao, F.J. Experimental researches on hydro-mechanical properties of altered rock under confining pressures. Rock Mech. Rock Eng. 2014, 47, 485–493. [Google Scholar] [CrossRef]
- Zhang, Y.; Liu, B.Z.; Xu, Y.W.; Shao, J.F. Change in the permeability of clastic rock during multi-loading triaxial compressive creep tests. Géotech. Lett. 2015, 5, 167–172. [Google Scholar] [CrossRef]
- Zhang, Q.; Liu, J.; Wang, L.; Luo, M.; Liu, H.; Xu, H.; Zou, H. Impurity effects on the mechanical properties and permeability characteristics of salt rock. Energies 2020, 13, 1366. [Google Scholar] [CrossRef]
- Alam, A.K.M.B.; Niioka, M.; Fujii, Y.; Fukuda, D.; Kodama, J.I. Effects of confining pressure on the permeability of three rock types under compression. Int. J. Rock Mech. Min. 2014, 65, 49–61. [Google Scholar] [CrossRef]
- Xiao, W.; Zhang, D.; Wang, X. Experimental study on progressive failure process and permeability characteristics of red sandstone under seepage pressure. Eng. Geol. 2020, 265, 105406. [Google Scholar] [CrossRef]
- Xu, P.; Yang, S.Q. Permeability evolution of sandstone under short-term and long-term triaxial compression. Int. J. Rock. Mech. Min. 2016, 85, 152–164. [Google Scholar] [CrossRef]
- Li, S.P.; Li, Y.S.; Wu, Z.Y. The permeability-strain equations relating to complete stress-strain path of the rock. Chin. J. Geotech. Eng. 1995, 17, 231–235. [Google Scholar]
- Hu, D.W.; Zhou, H.; Pan, P.Z.; Zhang, K.; Feng, X.T. Study of permeability of sandstone in triaxial cyclic stress tests. Rock Soil Mech. 2010, 31, 2749–2754. [Google Scholar]
- Morrow, C.A.; Zhang, B.C.; Byerlee, J.D. Effective pressure law for permeability of westerly granite under cyclic loading. J. Geophys. Res. Sol. Earth 1986, 91, 3870–3876. [Google Scholar] [CrossRef]
- Wang, H.X.; Wang, G.; Chen, Z.X.; Wong, R.C.K. Deformational characteristics of rock in low permeable reservoir and their effect on permeability. J. Petrol. Sci. Eng. 2010, 75, 240–243. [Google Scholar] [CrossRef]
- Jiang, T.; Shao, J.F.; Xu, W.Y.; Zhou, C.B. Experimental investigation and micromechanical analysis of damage and permeability variation in brittle rocks. Int. J. Rock. Mech. Min. 2010, 47, 703–713. [Google Scholar] [CrossRef]
- Wang, C.; Liu, J.; Wang, L. Damage evolution characteristics of rock salt under different stress conditions. Adv. Civ. Eng. 2019, 2019, 3073975. [Google Scholar] [CrossRef]
- Wei, J.; Zhu, W.C.; Guan, K.; Zhou, J.R.; Song, J.J. An acoustic emission data-driven model to simulate rock failure process. Rock Mech. Rock Eng. 2019, 53, 1605–1621. [Google Scholar] [CrossRef]
- Yang, S.Q.; Jing, H.W.; Wang, S.Y. Experimental investigation on the strength, deformability, failure behavior and acoustic emission locations of red sandstone under triaxial compression. Rock Mech. Rock Eng. 2012, 45, 583–606. [Google Scholar] [CrossRef]
- Zhao, K.; Yu, X.; Zhu, S.; Yan, Y.; Huang, M. Acoustic emission fractal characteristics and mechanical damage mechanism of cemented paste backfill prepared with tantalum niobium mine tailings. Constr. Build Mater. 2020, 258, 119720. [Google Scholar] [CrossRef]
- Zha, E.; Zhang, R.; Zhang, Z.T.; Ai, T.; Ren, L.; Zhang, Z.P.; Liu, Y.; Lou, C.D. Acoustic emission characteristics and damage evolution of rock under different loading modes. Energies 2020, 13, 3649. [Google Scholar] [CrossRef]
- Xu, J.; Wu, H.; Lu, L.; Yang, H.; Tan, H. Experimental study of acoustic emission characteristics during shearing process of sandstone under different water contents. Chin. J. Rock Mech. Eng. 2012, 31, 914–920. [Google Scholar]
- Yang, S.Q.; Xu, S.B.; Liu, Z. Experimental study on mechanical and permeability behaviors of sandstone under deep saline environments. Chin. J. Rock Mech. Eng. 2022, 41, 292–304. [Google Scholar]
- Zhang, P.; Meng, Z.; Zhang, K.; Jiang, S. Impact of coal ranks and confining pressures on coal strength, permeability, and acoustic emission. Int. J. Geomech. 2020, 20, 04020135. [Google Scholar] [CrossRef]
- Zhang, Q.; Liu, J.; Xu, H.; Zeng, Y.; Wang, C.; Wang, L. Experimental investigation on permeability evolution of limestone caprock under coupled THM processes. KSCE J. Civ. Eng. 2019, 23, 5090–5097. [Google Scholar] [CrossRef]
- Feng, D.; Kai, W.; Gongda, W.; Yifeng, J.; Chengpeng, X.; Xiang, Z. Investigation of the acoustic emission characteristics during deformation and failure of gas-bearing coal-rock combined bodies. J. Loss Prevent. Proc. 2018, 55, 253–266. [Google Scholar]
- Lyu, C.; Liu, J.; Wu, Z.; Liu, H.; Xiao, F.; Zeng, Y. Experimental study on mechanical properties, permeability and acoustic emission characteristics of gypsum rock under THM coupling. Rock Mech. Rock Eng. 2021, 54, 5761–5779. [Google Scholar] [CrossRef]
- Yang, X.; Cao, J.; Cheng, X.; Liu, Y.; Guo, J. Mechanical response characteristics and permeability evolution of coal samples under cyclic loading. Energy Sci. Eng. 2019, 7, 1588–1604. [Google Scholar] [CrossRef]
- Li, X.L.; Wang, E.Y.; Li, Z.H.; Liu, Z.T.; Song, D.Z.; Qiu, L.M. Rock burst monitoring by integrated microseismic and electromagnetic radiation methods. Rock Mech. Rock Eng. 2016, 49, 4393–4406. [Google Scholar] [CrossRef]
- Yu, J.; Li, H.; Chen, X.; Cai, Y.; Wu, N. Experimental study of permeability and acoustic emission characteristics of sandstone during processes of unloading confining pressure and deformation. Chin. J. Rock Mech. Eng. 2014, 33, 69–79. [Google Scholar]
- GB/T50266-2013; Engineering Rock Test Method Standard. China Planning Press: Beijing, China, 2013.
- Wang, R.B.; Xu, B.; Xu, W.Y.; Wang, W.; Lin, Z.; Zhang, J. Experimental study on the effect of different unloading paths on the evolution of sandstone permeability. Chin. J. Rock Mech. Eng. 2019, 38, 467–475. [Google Scholar]
- Ehrenberg, S.N.; Eberli, G.P.; Keramati, M.; Moallemi, S.A. Porosity-permeability relationships in interlayered limestone-dolostone reservoirs. AAPG Bull. 2006, 90, 91–114. [Google Scholar] [CrossRef]
- Li, J.; Liu, C.; Liu, H.M.; Wang, J.D.; Zeng, Z.P.; Xie, Y.T. Study on meso-damage mechanism of shale reservoir rock based on digital cores. Chin. J. Rock Mech. Eng. 2022, 41, 1103–1113. [Google Scholar]
- Liu, X.W.; Lin, J.C.; Yuan, Z.Y. Application of emission technique to evaluate fatigue damage of materials. China Railw. Sci. 1997, 18, 74–81. [Google Scholar]








| Confining Pressure (MPa) | Minimum Permeability (10−16 m2) | Volume strain Corresponding to Minimum Permeability (10−3) | Permeability at Expansion Point (10−16 m2) | Volume Strain at Expansion Point (10−3) | Permeability at Expansion Zero (10−16 m2) |
|---|---|---|---|---|---|
| 8 | 0.664 | 0.454 | 0.995 | 2.056 | 5.482 |
| 12 | 0.264 | 0.303 | 0.289 | 1.303 | 1.807 |
| 16 | 0.194 | 0.555 | 0.249 | 2.19 | 0.449 |
Disclaimer/Publisher’s Note: The statements, opinions and data contained in all publications are solely those of the individual author(s) and contributor(s) and not of MDPI and/or the editor(s). MDPI and/or the editor(s) disclaim responsibility for any injury to people or property resulting from any ideas, methods, instructions or products referred to in the content. |
© 2023 by the authors. Licensee MDPI, Basel, Switzerland. This article is an open access article distributed under the terms and conditions of the Creative Commons Attribution (CC BY) license (https://creativecommons.org/licenses/by/4.0/).
Share and Cite
Wang, L.; Liu, J.; Liao, Y.; Yang, S.; He, A.; Xu, H. A Study on the Permeability and Damage Characteristics of Limestone under Stress–Seepage Coupling Conditions. Energies 2023, 16, 6899. https://doi.org/10.3390/en16196899
Wang L, Liu J, Liao Y, Yang S, He A, Xu H. A Study on the Permeability and Damage Characteristics of Limestone under Stress–Seepage Coupling Conditions. Energies. 2023; 16(19):6899. https://doi.org/10.3390/en16196899
Chicago/Turabian StyleWang, Lu, Jianfeng Liu, Yilin Liao, Shuyu Yang, An He, and Huining Xu. 2023. "A Study on the Permeability and Damage Characteristics of Limestone under Stress–Seepage Coupling Conditions" Energies 16, no. 19: 6899. https://doi.org/10.3390/en16196899
APA StyleWang, L., Liu, J., Liao, Y., Yang, S., He, A., & Xu, H. (2023). A Study on the Permeability and Damage Characteristics of Limestone under Stress–Seepage Coupling Conditions. Energies, 16(19), 6899. https://doi.org/10.3390/en16196899

