End Effect Equivalence in the 2-D Finite Element Analysis of a Line-Start Permanent Magnet Synchronous Motor with Hybrid Solid Rotor
Abstract
:1. Introduction
2. Motor Modeling and Torque Calculation
2.1. Model Description
2.2. Torque Component Calculation and Separation
3. Correction Factors Derivation
4. Correction Factors Validation
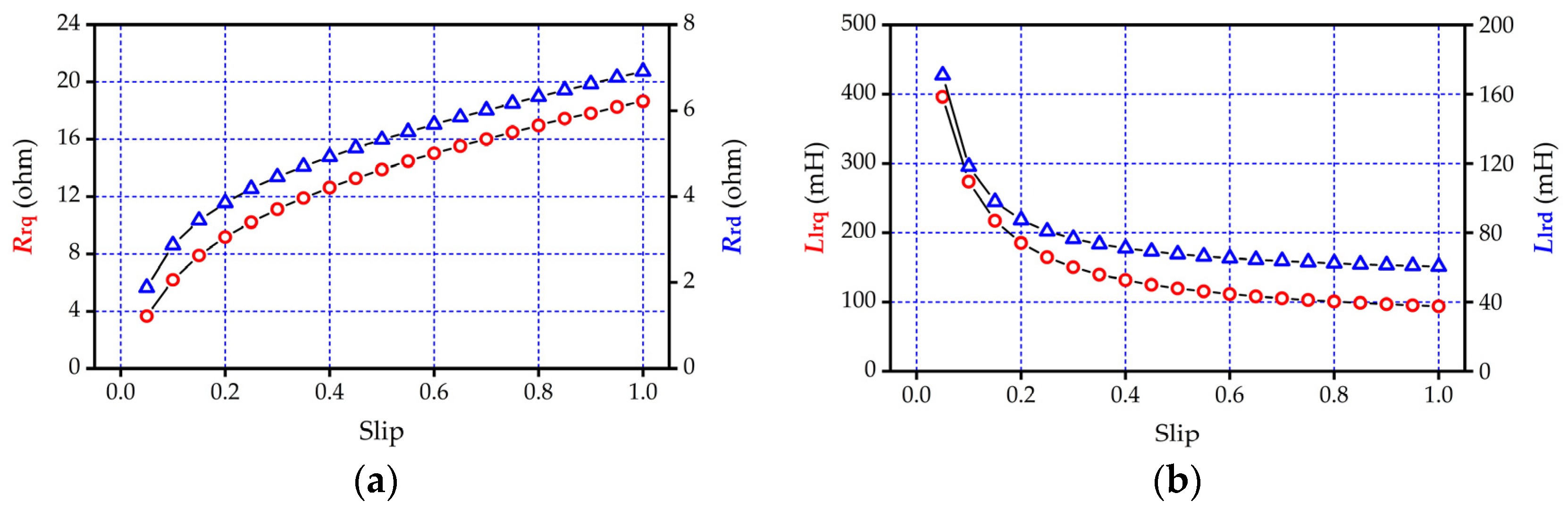
4.1. Motor Parameters Calculation
4.2. Dynamic Modeling and Result Comparisons
5. Conclusions
Author Contributions
Funding
Data Availability Statement
Conflicts of Interest
References
- Marcic, T.; Stumberger, G.; Stumberger, B.; Hadziselimovic, M.; Virtic, P. Determining parameters of a line-start interior permanent magnet synchronous motor model by the differential evolution. IEEE Trans. Magn. 2008, 44, 4385–4388. [Google Scholar] [CrossRef]
- Isfahani, A.H.; Vaez-Zadeh, S. Line start permanent magnet synchronous motors: Challenges and opportunities. Energy 2009, 34, 1755–1763. [Google Scholar] [CrossRef]
- Palangar, M.F.; Soong, W.L.; Bianchi, N.; Wang, R.J. Design and optimization techniques in performance improvement of line-start permanent magnet synchronous motor: A review. IEEE Trans. Magn. 2021, 57, 900214. [Google Scholar] [CrossRef]
- Mahmoudi, A.; Kahourzade, S.; Rahim, N.A.; Hew, W.P.; Uddin, M.N. Design, analysis, and prototyping of a novel-structured solid-rotor-ringed line-start axial-flux permanent-magnet motor. IEEE Trans. Ind. Electron. 2014, 61, 1722–1734. [Google Scholar] [CrossRef]
- Isfahani, A.H.; Vaez-Zadeh, S. Effects of magnetizing inductance on start-up and synchronization of line-start permanent-magnet synchronous motors. IEEE Trans. Magn. 2011, 47, 823–829. [Google Scholar] [CrossRef]
- Ding, T.; Takorabet, N.; Sargos, F.-M.; Wang, X. Design and analysis of different line-start PM synchronous motors for oil-pump applications. IEEE Trans. Magn. 2009, 45, 1816–1819. [Google Scholar] [CrossRef]
- Ganesan, A.U.; Chokkalingam, L.N. Review on the evolution of technology advancements and applications of line-start synchronous machines. IET Electr. Power Appl. 2019, 13, 1–16. [Google Scholar] [CrossRef]
- Fonseca, D.S.B.; Santos, C.M.C.; Cardoso, A.J.M. Stator faults modeling and diagnostics of line-start permanent magnet synchronous motors. IEEE Trans. Ind. Appl. 2020, 56, 2590–2599. [Google Scholar] [CrossRef]
- Yan, B.; Wang, X.; Yang, Y. Comparative parameters investigation of composite solid rotor applied to line-start permanent-magnet synchronous motors. IEEE Trans. Magn. 2018, 54, 8206305. [Google Scholar] [CrossRef]
- Yan, B.; Wang, X.; Yang, Y. Starting performance improvement of line-start permanent-magnet synchronous motor using composite solid rotor. IEEE Trans. Magn. 2018, 54, 7400504. [Google Scholar] [CrossRef]
- Li, X.; Xue, Z.; Zhang, L.; Hua, W. A low-complexity three-vector-based model predictive torque control for SPMSM. IEEE Trans. Power Electron. 2021, 36, 13002–13012. [Google Scholar] [CrossRef]
- Li, X.; Xue, Z.; Yan, X.; Zhang, L.; Ma, W.; Hua, W. Low-complexity multivector-based model predictive torque control for PMSM with voltage preselection. IEEE Trans. Power Electron. 2021, 36, 11726–11738. [Google Scholar] [CrossRef]
- Yan, B.; Yang, Y.; Wang, X. Design of a large capacity line-start permanent magnet synchronous motor equipped with hybrid salient rotor. IEEE Trans. Magn. 2021, 68, 6662–6671. [Google Scholar] [CrossRef]
- Yan, B.; Li, X.; Wang, X.; Yang, Y.; Chen, D. Magnetic field prediction for line-start permanent magnet synchronous motor via incorporating geometry approximation and finite difference method into subdomain model. IEEE Trans. Ind. Electron. 2023, 70, 2843–2854. [Google Scholar] [CrossRef]
- Yan, B.; Li, X.; Wang, X.; Yang, Y.; Chen, D. An improved 2-D subdomain method towards electromagnetic-performance analysis of line-start permanent magnet synchronous motor. IEEE Trans. Transport. Electrific. 2023, 9, 4339–4351. [Google Scholar] [CrossRef]
- Azari, M.N.; Mirsalim, M. Analytical modelling of a line-start permanent-magnet motor with slotted solid rotor. IET Electr. Power Appl. 2014, 8, 278–285. [Google Scholar] [CrossRef]
- Ha, K.H.; Hong, J.P. Dynamic rotor eccentricity analysis by coupling electromagnetic and structural time stepping FEM. IEEE Trans. Magn. 2001, 37, 3452–3455. [Google Scholar] [CrossRef]
- Chen, S. Electric Machine Design, 2nd ed.; China Machine Press: Beijing, China, 2004; pp. 383–385. ISBN 9787111020615. [Google Scholar]
- Russel, R.L.; Norsworthy, K.H. Eddy currents and wall losses in screen-rotor induction motors. Proc. IEE. 1958, 105, 163–175. [Google Scholar] [CrossRef]
- Angst, G. Polyphase induction motor with solid rotor; effects of saturation and finite length. AIEE Trans. 1962, 80, 902–909. [Google Scholar] [CrossRef]
- Yee, H. Effects of finite length in solid-rotor induction machines. Proc. IEE. 1971, 118, 1025–1033. [Google Scholar] [CrossRef]
- Ducreux, J.P.; Nicolas, G. Finite length effects study in massive iron rotors using 3D electromagnetic field computation. IEEE Trans. Magn. 1995, 31, 2096–2099. [Google Scholar] [CrossRef]
- Jagiela, M.; Garbiec, T. Evaluation of rotor-end factors in solid-rotor induction motors. IEEE Trans. Magn. 2012, 48, 137–142. [Google Scholar] [CrossRef]
- Papini, L.; Gerada, D.; Mebarki, A. High speed solid rotor induction machine: Analysis and performances. In Proceedings of the 17th International Conference on Electrical Machines and System (ICEMS 2014), Hangzhou, China, 22–25 October 2014. [Google Scholar] [CrossRef]
- Garbiec, T. Fast computation of performance characteristics for solid-rotor induction motors with electrically inhomogeneous rotors. IEEE Trans. Energy Convers. 2016, 31, 1688–1696. [Google Scholar] [CrossRef]
- Takahashi, A.; Kikuchi, S.; Miyata, K.; Binder, A. Asynchronous torque of line-starting permanent-magnet synchronous motors. IEEE Trans. Energy Convers. 2015, 30, 498–506. [Google Scholar] [CrossRef]
- Marcic, T.; Stumberger, B.; Stumberger, G. Differential-evolution-based parameter identification of a line-start IPM synchronous motor. IEEE Trans. Ind. Electron. 2014, 61, 5921–5929. [Google Scholar] [CrossRef]
- Pecho, J.; Hofmann, W. Analysis of start-up of line-start permanent magnet synchronous machines with anisotropic rotor reluctance. In Proceedings of the 2018 XIII International Conference on Electrical Machines (ICEM), Alexandroupoli, Greece, 3–6 September 2018. [Google Scholar]
- Pecho, J.; Hofmann, W. Analytical approach and solution for line-start permanent magnet synchronous machines with anisotropic rotor reluctance. In Proceedings of the 2020 International Conference on Electrical Machines (ICEM), Gothenburg, Sweden, 23–26 August 2020. [Google Scholar]
- Chu, W.Q.; Zhu, Z.Q. On-load cogging torque calculation in permanent magnet machines. IEEE Trans. Magn. 2013, 49, 2982–2989. [Google Scholar] [CrossRef]
- Chu, W.Q.; Zhu, Z.Q. Average torque separation in permanent magnet synchronous machines using frozen permeability. IEEE Trans. Magn. 2013, 49, 1202–1210. [Google Scholar] [CrossRef]















Disclaimer/Publisher’s Note: The statements, opinions and data contained in all publications are solely those of the individual author(s) and contributor(s) and not of MDPI and/or the editor(s). MDPI and/or the editor(s) disclaim responsibility for any injury to people or property resulting from any ideas, methods, instructions or products referred to in the content. |
© 2023 by the authors. Licensee MDPI, Basel, Switzerland. This article is an open access article distributed under the terms and conditions of the Creative Commons Attribution (CC BY) license (https://creativecommons.org/licenses/by/4.0/).
Share and Cite
Yan, B.; Li, X.; Sun, Y.; Tan, Y. End Effect Equivalence in the 2-D Finite Element Analysis of a Line-Start Permanent Magnet Synchronous Motor with Hybrid Solid Rotor. Energies 2023, 16, 6766. https://doi.org/10.3390/en16196766
Yan B, Li X, Sun Y, Tan Y. End Effect Equivalence in the 2-D Finite Element Analysis of a Line-Start Permanent Magnet Synchronous Motor with Hybrid Solid Rotor. Energies. 2023; 16(19):6766. https://doi.org/10.3390/en16196766
Chicago/Turabian StyleYan, Bo, Xianglin Li, Yue Sun, and Yingjie Tan. 2023. "End Effect Equivalence in the 2-D Finite Element Analysis of a Line-Start Permanent Magnet Synchronous Motor with Hybrid Solid Rotor" Energies 16, no. 19: 6766. https://doi.org/10.3390/en16196766
APA StyleYan, B., Li, X., Sun, Y., & Tan, Y. (2023). End Effect Equivalence in the 2-D Finite Element Analysis of a Line-Start Permanent Magnet Synchronous Motor with Hybrid Solid Rotor. Energies, 16(19), 6766. https://doi.org/10.3390/en16196766

