Coordinated Optimal Dispatch of Electricity and Heat Integrated Energy Systems Based on Fictitious Node Method
Abstract
:1. Introduction
2. Quasi-Dynamic Mode of the Heating Network
- (1)
- Water in the pipe network was considered an incompressible fluid.
- (2)
- Friction heat was neglected.
- (3)
- The thermal properties of the water were assumed to be constant.
- (4)
- Turbulence effects were ignored, and the water flow in the pipeline was assumed to be stable.
- (5)
- The longitudinal temperature distribution of the water flow was disregarded, and only the axial direction of the water flow temperature was considered.
2.1. The Fictitious Node Method
2.2. Heat Flow Model
2.3. Quantification of Heat Storage in the Heating Network
3. Optimal Dispatch Model of the System
3.1. Structure of the System
3.2. Modeling of the Equipment
3.3. Objective Function and Constraints
4. Case Studies
4.1. The Setup of the Simulation
4.2. Selection of the Calculation Time and Validation of the Effectiveness of the Fictitious Node Method
4.3. Comparison of Equipment Outputs under Different Dispatch Cases
4.4. Comparison of the Economics and Wind Integration under Different Dispatch Cases
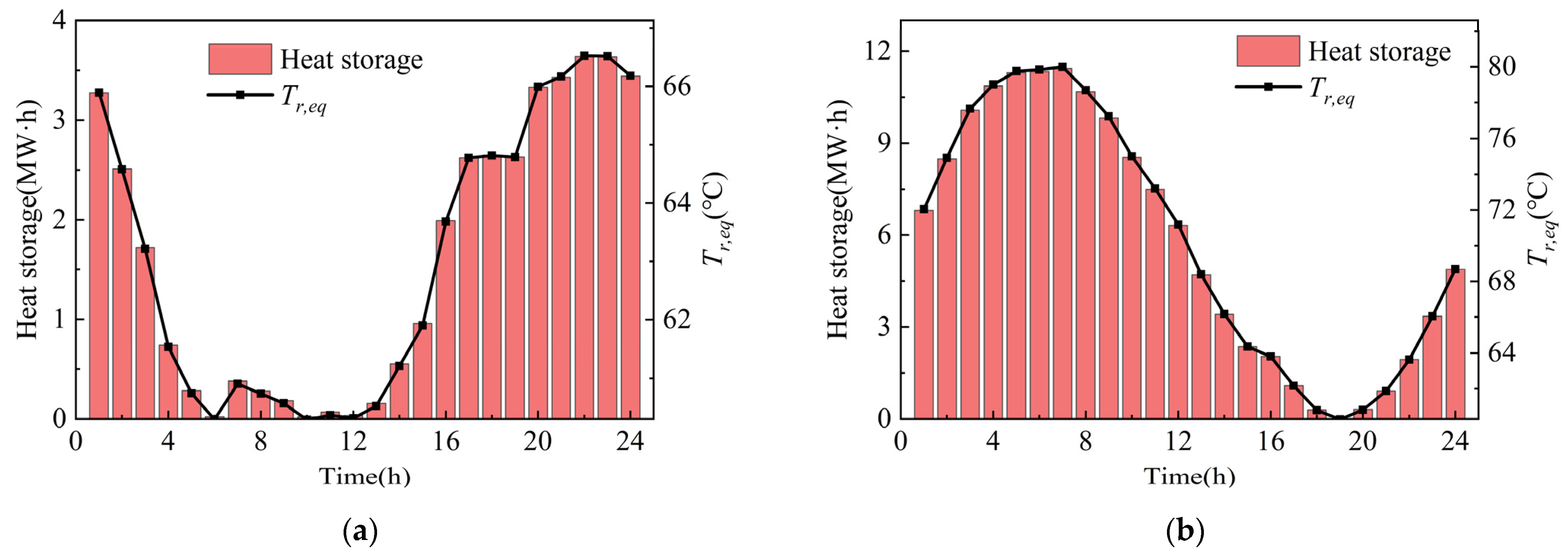
4.5. Further Analysis with Power Balance
5. Conclusions
Author Contributions
Funding
Acknowledgments
Conflicts of Interest
Nomenclature
| Abbreviations | |||
| CHP | combined heat and power | WT | wind turbine |
| GT | gas turbine | EB | electric boiler |
| HSHN | heat storage in the heating network | ||
| Variables | |||
| τ | original transmission delay (s) | T | temperature of water (°C) |
| τ′ | transformed transmission delay (s) | ΔT | temperature change (°C) |
| Τ″ | intermediate transmission delay (s) | S | heat storage capacity (kW·h) |
| d | inner diameter of pipe (m) | P | electric power (MW) |
| L | length of pipe (m) | H | thermal power (MW) |
| m | mass flow rate of water (kg/s) | C | operating cost (USD) |
| δt | calculation time (s) | RD | downward climbing power (MW) |
| mΣ | total water mass (kg) | RU | upward climbing power (MW) |
| Δt | dispatch interval (s) | ||
| l | distance between two neighboring fictitious nodes (m) | ||
| Superscripts | |||
| j | pipe j | d | secondary heat exchange station |
| i | time node | in | inlet point |
| n | position node | out | outlet point |
| s | water supply | q | the qth secondary heat exchange station |
| r | water return | min | minimum value |
| eq | equivalent average temperature | max | maximum value |
| p | primary heat exchange station | k | pipes connection position node |
| Parameters | |||
| R | total number of pipes | a0 | cost factor of CHP |
| M | number of fictitious nodes | a1 | cost factor of CHP |
| ηeb | energy conversion efficiency of EB | a2 | cost factor of CHP |
| βgt | thermoelectric ratio of GT | b1 | cost factor of GT |
| ρ | density of water (kg/m3) | w1 | wind abandonment penalty cost factor |
| T0 | ambient temperature surrounding the pipe (°C) | ||
| α | total heat transfer coefficient (W/(m2·°C)) | ||
| cw | specific heat capacity of water (J/(kg·°C)) | ||
| H0 | the minimum thermal power of CHP (MW) | ||
| P0 | the minimum electrical power of CHP (MW) | ||
| In(k) | sets of pipes connected to node k and carry flow into the node | ||
| Out(k) | sets of pipes connected to node k and carry flow out of the node | ||
| cv | value of the reduction in electric power output per unit of heating power output increased by CHP for a fixed steam intake | ||
| cm | linear supply slope of heating power and electric power of CHP | ||
References
- Global Wind Energy Council (GWEC). Global Wind Report 2023. Available online: https://gwec.net/globalwindreport2023/ (accessed on 23 August 2023).
- Sayed, E.T.; Rezk, H.; Olabi, A.G.; Gomaa, M.R.; Hassan, Y.B.; Rahman, S.M.A.; Shah, S.K.; Abdelkareem, M.A. Application of Artificial Intelligence to Improve the Thermal Energy and Exergy of Nanofluid-Based PV Thermal/Nano-Enhanced Phase Change Material. Energies 2022, 15, 8494. [Google Scholar] [CrossRef]
- Al-Rawashdeh, H.; Al-Khashman, O.A.; Al Bdour, J.T.; Gomaa, M.R.; Rezk, H.; Marashli, A.; Arrfou, L.M.; Louzazni, M. Performance Analysis of a Hybrid Renewable-Energy System for Green Buildings to Improve Efficiency and Reduce GHG Emissions with Multiple Scenarios. Sustainability 2023, 15, 7529. [Google Scholar] [CrossRef]
- Al-Rawashdeh, H.; Al-Khashman, O.A.; Arrfou, L.M.; Gomaa, M.; Rezk, H.; Shalby, M.; Al Bdour, J.; Louzazni, M. Different Scenarios for Reducing Carbon Emissions, Optimal Sizing, and Design of a Stand-Alone Hybrid Renewable Energy System for Irrigation Purposes. Int. J. Energy Res. 2023, 2023, 6338448. [Google Scholar] [CrossRef]
- Gomaa, M.R.; Ala’a, K.; Al-Dhaifallah, M.; Rezk, H.; Ahmed, M. Optimal design and economic analysis of a hybrid renewable energy system for powering and desalinating seawater. Energy Rep. 2023, 9, 2473–2493. [Google Scholar] [CrossRef]
- Pan, Z.; Guo, Q.; Sun, H. Interactions of district electricity and heating systems considering time-scale characteristics based on quasi-steady multi-energy flow. Appl. Energy 2016, 167, 230–243. [Google Scholar] [CrossRef]
- Liu, X.; Wu, J.; Jenkins, N.; Bagdanavicius, A. Combined analysis of electricity and heat networks. Appl. Energy 2016, 162, 1238–1250. [Google Scholar] [CrossRef]
- Jiang, X.S.; Jing, Z.X.; Li, Y.Z.; Wu, Q.H. Modelling and operation optimization of an integrated energy based direct district water-heating system. Energy 2014, 64, 375–388. [Google Scholar] [CrossRef]
- Li, J.; Fang, J.; Zeng, Q.; Chen, Z. Optimal operation of the integrated electrical and heating systems to accommodate the intermittent renewable sources. Appl. Energy 2016, 167, 244–254. [Google Scholar] [CrossRef]
- Pan, Z.; Wu, J.; Sun, H.; Guo, Q.; Abeysekera, M. Quasi-dynamic interactions and security control of integrated electricity and heating systems in normal operations. CSEE J. Power Energy Syst. 2019, 5, 120–129. [Google Scholar] [CrossRef]
- Li, X.; Li, W.; Zhang, R.; Jiang, T.; Chen, H.; Li, G. Collaborative scheduling and flexibility assessment of integrated electricity and district heating systems utilizing thermal inertia of district heating network and aggregated buildings. Appl. Energy 2020, 258, 114021. [Google Scholar] [CrossRef]
- Turski, M.; Sekret, R. Buildings and a district heating network as thermal energy storages in the district heating system. Energy Build. 2018, 179, 49–56. [Google Scholar] [CrossRef]
- Xu, X.; Lyu, Q.; Qadrdan, M.; Wu, J. Quantification of Flexibility of a District Heating System for the Power Grid. IEEE Trans. Sustain. Energy 2020, 11, 2617–2630. [Google Scholar] [CrossRef]
- Dai, Y.; Chen, L.; Min, Y.; Chen, Q.; Hao, J.; Hu, K. Dispatch Model for CHP With Pipeline and Building Thermal Energy Storage Considering Heat Transfer Process. IEEE Trans. Sustain. Energy 2019, 10, 192–203. [Google Scholar] [CrossRef]
- Wu, C.; Gu, W.; Jiang, P.; Li, Z.; Li, B. Combined Economic Dispatch Considering the Time-Delay of District Heating Network and Multi-Regional Indoor Temperature Control. IEEE Trans. Sustain. Energy 2018, 9, 118–127. [Google Scholar] [CrossRef]
- Gu, W.; Wang, J.; Lu, S.; Luo, Z.; Wu, C. Optimal operation for integrated energy system considering thermal inertia of district heating network and buildings. Appl. Energy 2017, 199, 234–246. [Google Scholar] [CrossRef]
- Wei, W.; Wu, J.; Mu, Y.; Wu, J.; Jia, H.; Yuan, K.; Song, Y.; Sun, C. Assessment of the solar energy accommodation capability of the district integrated energy systems considering the transmission delay of the heating network. Int. J. Electric. Power Energy Syst. 2021, 130, 106821. [Google Scholar] [CrossRef]
- Wu, S.; Li, H.; Liu, Y.; Lu, Y.; Wang, Z.; Liu, Y. A two-stage rolling optimization strategy for park-level integrated energy system considering multi-energy flexibility. Int. J. Electric. Power Energy Syst. 2023, 145, 108600. [Google Scholar] [CrossRef]
- Zhou, S.J.; Tian, M.C.; Zhao, Y.E.; Guo, M. Dynamic modeling of thermal conditions for hot-water district-heating networks. J. Hydrodyn. 2014, 26, 531–537. [Google Scholar] [CrossRef]
- Wang, Y.; You, S.; Zhang, H.; Zheng, X.; Zheng, W.; Miao, Q.; Lu, G. Thermal transient prediction of district heating pipeline: Optimal selection of the time and spatial steps for fast and accurate calculation. Appl. Energy 2017, 206, 900–910. [Google Scholar] [CrossRef]
- Tang, Z.; Lin, S.; Liang, W.; Xie, Y.; Liu, M. Optimal Dispatch of Integrated Energy Campus Microgrids Considering the Time-Delay of Pipelines. IEEE Access 2020, 8, 178782–178795. [Google Scholar] [CrossRef]
- Lu, S.; Gu, W.; Zhou, S.; Yu, W.; Pan, G. High-Resolution Modeling and Decentralized Dispatch of Heat and Electricity Integrated Energy System. IEEE Trans. Sustain. Energy 2020, 11, 1451–1463. [Google Scholar] [CrossRef]
- Li, Z.; Wu, W.; Shahidehpour, M.; Wang, J.; Zhang, B. Combined Heat and Power Dispatch Considering Pipeline Energy Storage of District Heating Network. IEEE Trans. Sustain. Energy 2016, 7, 12–22. [Google Scholar] [CrossRef]
- Li, Z.; Wu, W.; Wang, J.; Zhang, B.; Zheng, T. Transmission-Constrained Unit Commitment Considering Combined Electricity and District Heating Networks. IEEE Trans. Sustain. Energy 2016, 7, 480–492. [Google Scholar] [CrossRef]
- Liu, X.; Hou, M.; Sun, S.; Wang, J.; Sun, Q.; Dong, C. Multi-time scale optimal scheduling of integrated electricity and district heating systems considering thermal comfort of users: An enhanced-interval optimization method. Energy 2022, 145, 124311. [Google Scholar] [CrossRef]
- Huang, J.; Li, Z.; Wu, Q. Coordinated dispatch of electric power and district heating networks: A decentralized solution using optimality condition decomposition. Appl. Energy 2017, 206, 1508–1522. [Google Scholar] [CrossRef]
- Jiang, Y.; Wan, C.; Botterud, A.; Song, Y.; Xia, S. Exploiting Flexibility of District Heating Networks in Combined Heat and Power Dispatch. IEEE Trans. Sustain. Energy 2020, 11, 2174–2188. [Google Scholar] [CrossRef]
- Chen, Y.; Guo, Q.; Sun, H.; Li, Z.; Pan, Z.; Wu, W. A water mass method and its application to integrated heat and electricity dispatch considering thermal inertias. Energy 2019, 181, 840–852. [Google Scholar] [CrossRef]
- Lu, S.; Gu, W.; Zhang, C.; Meng, K.; Dong, Z. Hydraulic-Thermal Cooperative Optimization of Integrated Energy Systems: A Convex Optimization Approach. IEEE Trans. Smart Grid. 2020, 11, 4818–4832. [Google Scholar] [CrossRef]
- Lu, S.; Gu, W.; Meng, K.; Yao, S.; Liu, B.; Dong, Z. Thermal Inertial Aggregation Model for Integrated Energy Systems. IEEE Trans. Power Syst. 2020, 35, 2374–2387. [Google Scholar] [CrossRef]
- Hao, J.; Chen, Q.; He, K.; Chen, L.; Dai, Y.; Xu, F.; Min, Y. A Heat Current Model for Heat Transfer/Storage Systems and Its Application in Integrated Analysis and Optimization with Power Systems. IEEE Trans. Sustain. Energy 2020, 11, 175–184. [Google Scholar] [CrossRef]
- Xu, F.; Hao, L.; Chen, L.; Chen, Q.; Wei, M.; Min, Y. Integrated heat and power optimal dispatch method considering the district heating networks flow rate regulation for wind power accommodation. Energy 2023, 263, 125656. [Google Scholar] [CrossRef]
- Gou, X.; Chen, Q.; He, K. Real-time quantification for dynamic heat storage characteristic of district heating system and its application in dispatch of integrated energy system. Energy 2022, 259, 124960. [Google Scholar] [CrossRef]
- Sun, Q.; Zhao, T.; Chen, Q.; He, K.; Ma, H. Decentralized Dispatch of Distributed Multi-Energy Systems with Comprehensive Regulation of Heat Transport in District Heating Networks. IEEE Trans. Sustain. Energy 2023, 14, 97–110. [Google Scholar] [CrossRef]
- Nuytten, T.; Claessens, B.; Paredis, K.; Bael, J.V.; Six, D. Flexibility of a combined heat and power system with thermal energy storage for district heating. Appl. Energy 2013, 104, 583–591. [Google Scholar] [CrossRef]
- Chen, X.; Kang, C.; O’Malley, M.; Xia, Q.; Bai, J.; Liu, C.; Sun, R.; Wang, W.; Li, H. Increasing the Flexibility of Combined Heat and Power for Wind Power Integration in China: Modeling and Implications. IEEE Trans. Power Syst. 2015, 30, 1848–1857. [Google Scholar] [CrossRef]
- Li, Y.; Wang, C.; Li, G.; Wang, J.; Zhao, D.; Chen, C. Improving operational flexibility of integrated energy system with uncertain renewable generations considering thermal inertia of buildings. Energy Convers. Manag. 2020, 207, 112526. [Google Scholar] [CrossRef]
- Dai, Y.; Chen, L.; Min, Y.; Mancarella, P.; Chen, Q.; Hao, J.; Kang, H.; Fei, X. Integrated Dispatch Model for Combined Heat and Power Plant with Phase-Change Thermal Energy Storage Considering Heat Transfer Process. IEEE Trans. Sustain. Energy 2018, 9, 1234–1243. [Google Scholar] [CrossRef]
- Zhu, M.; Li, J. Integrated dispatch for combined heat and power with thermal energy storage considering heat transfer delay. Energy 2022, 244, 123230. [Google Scholar] [CrossRef]
- Xue, Y.; Shahidehpour, M.; Pan, Z.; Wang, B.; Zhou, Q.; Guo, Q.; Sun, H. Reconfiguration of District Heating Network for Operational Flexibility Enhancement in Power System Unit Commitment. IEEE Trans. Sustain. Energy 2021, 12, 1161–1173. [Google Scholar] [CrossRef]
- Ma, Y.; Wang, H.; Hong, F.; Yang, J.; Feng, J. Modeling and optimization of combined heat and power with power-to-gas and carbon capture system in integrated energy system. Energy 2021, 236, 121392. [Google Scholar] [CrossRef]
- Li, J.; Lin, J.; Song, Y.; Xing, X.; Fu, C. Operation Optimization of Power to Hydrogen and Heat (P2HH) in ADN Coordinated with the District Heating Network. IEEE Trans. Sustain. Energy 2019, 10, 1672–1683. [Google Scholar] [CrossRef]
- Wang, D.; Zhi, Y.Q.; Jia, H.J.; Hou, K.; Zhang, S.; Du, W.; Fan, M. Optimal scheduling strategy of district integrated heat and power system with wind power and multiple energy stations considering thermal inertia of buildings under different heating regulation modes. Appl. Energy 2019, 240, 341–358. [Google Scholar] [CrossRef]
- Wang, J.; Huo, S.; Yan, R.; Cui, Z. Leveraging heat accumulation of district heating network to improve performances of integrated energy system under source-load uncertainties. Energy 2022, 252, 124002. [Google Scholar] [CrossRef]
- Ministry of Housing and Urban-Rural Development of the People’s Republic of China. Technical Specification for Directly Buried Hot-Water Heating Pipeline in City: CJJ/T 81—2013; China Architecture and Building Press: Beijing, China, 2013. (In Chinese) [Google Scholar]
- Fan, A.; Liu, W.; Wang, C. Simulation on the daily change of soil temperature under various environment conditions. Acta Energ. Sol. Sin. 2003, 4, 167–171. (In Chinese) [Google Scholar]
- Wang, N. Numerical Methods and Dynamic Characteristic Analysis of the Thermal and Hydraulic Transients in District Heating Network. Ph.D. Thesis, Tianjin University, Tianjin, China, 2019. [Google Scholar]














| Pipeline | L (m) | d (m) | m (kg/s) | Pipeline | L (m) | d (m) | m (kg/s) |
|---|---|---|---|---|---|---|---|
| 1–2 | 350 | 0.5 | 128 | 14–15 | 400 | 0.15 | 8 |
| 2–3 | 900 | 0.3 | 32 | 14–16 | 300 | 0.3 | 32 |
| 3–4 | 350 | 0.15 | 8 | 16–17 | 300 | 0.15 | 8 |
| 3–5 | 350 | 0.15 | 8 | 16–18 | 450 | 0.15 | 8 |
| 3–6 | 300 | 0.2 | 16 | 16–19 | 450 | 0.2 | 16 |
| 6–7 | 500 | 0.15 | 8 | 19–20 | 500 | 0.15 | 8 |
| 6–8 | 500 | 0.15 | 8 | 19–21 | 500 | 0.15 | 8 |
| 2–9 | 700 | 0.4 | 96 | 9–22 | 600 | 0.3 | 32 |
| 9–10 | 400 | 0.15 | 8 | 22–23 | 250 | 0.15 | 8 |
| 9–11 | 500 | 0.3 | 56 | 22–24 | 400 | 0.15 | 8 |
| 11–12 | 400 | 0.15 | 8 | 22–25 | 400 | 0.2 | 16 |
| 11–13 | 400 | 0.15 | 8 | 25–26 | 300 | 0.15 | 8 |
| 11–14 | 400 | 0.3 | 40 | 25–27 | 400 | 0.15 | 8 |
| Parameters | Values | Parameters | Values | Parameters | Values | Parameters | Values |
|---|---|---|---|---|---|---|---|
| (MW) | 7 | (MW) | 15 | ηeb | 0.95 | T0 (°C) | 0 |
| H0 (MW) | 5 | P0 (MW) | 6 | α (W/(m2·°C)) | 0.65 | cw (J/(kg·°C)) | 4200 |
| cv | 0.2 | cm | 0.8 | ρ (kg/m3) | 1000 | (°C) | 70 |
| (MW/h) | −5 | (MW/h) | 5 | (°C) | 100 | (°C) | 60 |
| (MW) | 2 | (MW) | 10 | (°C) | 80 | a0 (USD/MW) | 13.29 |
| βgt | 1.05 | (MW/h) | −3 | a1 (USD/MW2) | 0.044 | a2 (USD/MW) | 39 |
| (MW/h) | 3 | (MW) | 10 | b1 (USD/MW) | 70 | w1 (USD/MW) | 7 |
| 1 min | 2 min | 5 min | 6 min | 10 min | |
|---|---|---|---|---|---|
| (min) | 0.487 | 0.968 | 1.391 | 2.946 | 4.968 |
| (min) | 0.258 | 0.592 | 0.661 | 1.551 | 1.933 |
| (%) | 0.940 | 2.430 | 2.706 | 7.565 | 9.037 |
| (%) | 0.410 | 1.01 | 1.067 | 2.598 | 3.186 |
| (°C) | 0.015 | 0.020 | 0.027 | 0.079 | 0.108 |
| (°C) | 0.007 | 0.012 | 0.014 | 0.039 | 0.055 |
| (%) | 2.312 | 2.675 | 3.547 | 11.16 | 15.56 |
| (%) | 0.866 | 1.450 | 1.926 | 5.040 | 7.493 |
| Calculation Time (min) | Time Required to Solve the Dispatch Model (s) |
|---|---|
| 1 | 340.4 |
| 2 | 139.7 |
| 5 | 47.1 |
| 6 | 38.6 |
| 10 | 22.4 |
| Case | Operating Costs (USD) | Percentage of Wind Power Consumption (%) |
|---|---|---|
| Case 1 | 9152.0 | 96.89% |
| Case 2 | 9908.0 | 61.67% |
| Case 3 | 9459.2 | 89.04% |
| Case 4 | 9967.8 | 58.59% |
Disclaimer/Publisher’s Note: The statements, opinions and data contained in all publications are solely those of the individual author(s) and contributor(s) and not of MDPI and/or the editor(s). MDPI and/or the editor(s) disclaim responsibility for any injury to people or property resulting from any ideas, methods, instructions or products referred to in the content. |
© 2023 by the authors. Licensee MDPI, Basel, Switzerland. This article is an open access article distributed under the terms and conditions of the Creative Commons Attribution (CC BY) license (https://creativecommons.org/licenses/by/4.0/).
Share and Cite
Zeng, A.; Wang, J.; Wan, Y. Coordinated Optimal Dispatch of Electricity and Heat Integrated Energy Systems Based on Fictitious Node Method. Energies 2023, 16, 6449. https://doi.org/10.3390/en16186449
Zeng A, Wang J, Wan Y. Coordinated Optimal Dispatch of Electricity and Heat Integrated Energy Systems Based on Fictitious Node Method. Energies. 2023; 16(18):6449. https://doi.org/10.3390/en16186449
Chicago/Turabian StyleZeng, Aidong, Jiawei Wang, and Yaheng Wan. 2023. "Coordinated Optimal Dispatch of Electricity and Heat Integrated Energy Systems Based on Fictitious Node Method" Energies 16, no. 18: 6449. https://doi.org/10.3390/en16186449
APA StyleZeng, A., Wang, J., & Wan, Y. (2023). Coordinated Optimal Dispatch of Electricity and Heat Integrated Energy Systems Based on Fictitious Node Method. Energies, 16(18), 6449. https://doi.org/10.3390/en16186449

