A Nonlinear Controller for Point-to-Point Position Control
Abstract
:1. Introduction
- (a)
- A novel position controller that utilizes nonlinear speed functions has been proposed. This controller demonstrates reduced susceptibility to actual position overshoot compared to the conventional P-position controller.
- (b)
- The proposed position controller has additional features that enable low-speed positioning with a predefined speed, as well as adjustable fine positioning with a predefined curvature of deceleration speed.
- (c)
- A mathematical model for the traverse drive of a zinc ingot feeder unit (ZIFU) has been derived and utilized as a case study to test the proposed position controller.
- (d)
- The proposed controller has been experimentally verified on an industrial drive for precise positioning of ZIFU. The algorithm has been implemented and executed in conventional PLC, demonstrating the low computational power requirements.
2. Design of Standard P-Position Controller
2.1. Design of PI Speed Controller
- —a time constant that includes a delay of total lumped dynamics of torque control loop, including both current controller and frequency converter dynamics,
- —a time constant of a low-pass filter (LPF) for filtering of actual speed,
- —a time constant of a LPF for filtering of acceleration torque,
- —a time constant for filtering of a speed setpoint.
- and are the PI controller parameters to be calculated.
2.2. Design of P-Type Position Controller
2.3. Ramp Function Generator
3. Design of Novel Position Controller
3.1. Controller Extension for User-Selected Low Speed Positioning
3.2. Controller Extension for a Fine Positioning
3.3. A Cooperation of Controllers
- 1.
- Initially, when is large, all three controllers are limited by RFG, causing the drive to accelerate with a defined acceleration, if drive reaches , this maximum speed is maintained.
- 2.
- Shortly before drive reaches the distance from the final position setpoint, the controller takes over and the drive begins to decelerate to the speed which is reached exactly at .
- 3.
- Once the drive reaches the desired low speed , it is maintained until controller takes control.
- 4.
- As the drive approaches the final position, when in distance from the final position, the controller takes over until the final position is reached.
4. A Case Study: Traverse Drive of Zinc Ingot Feeder Unit
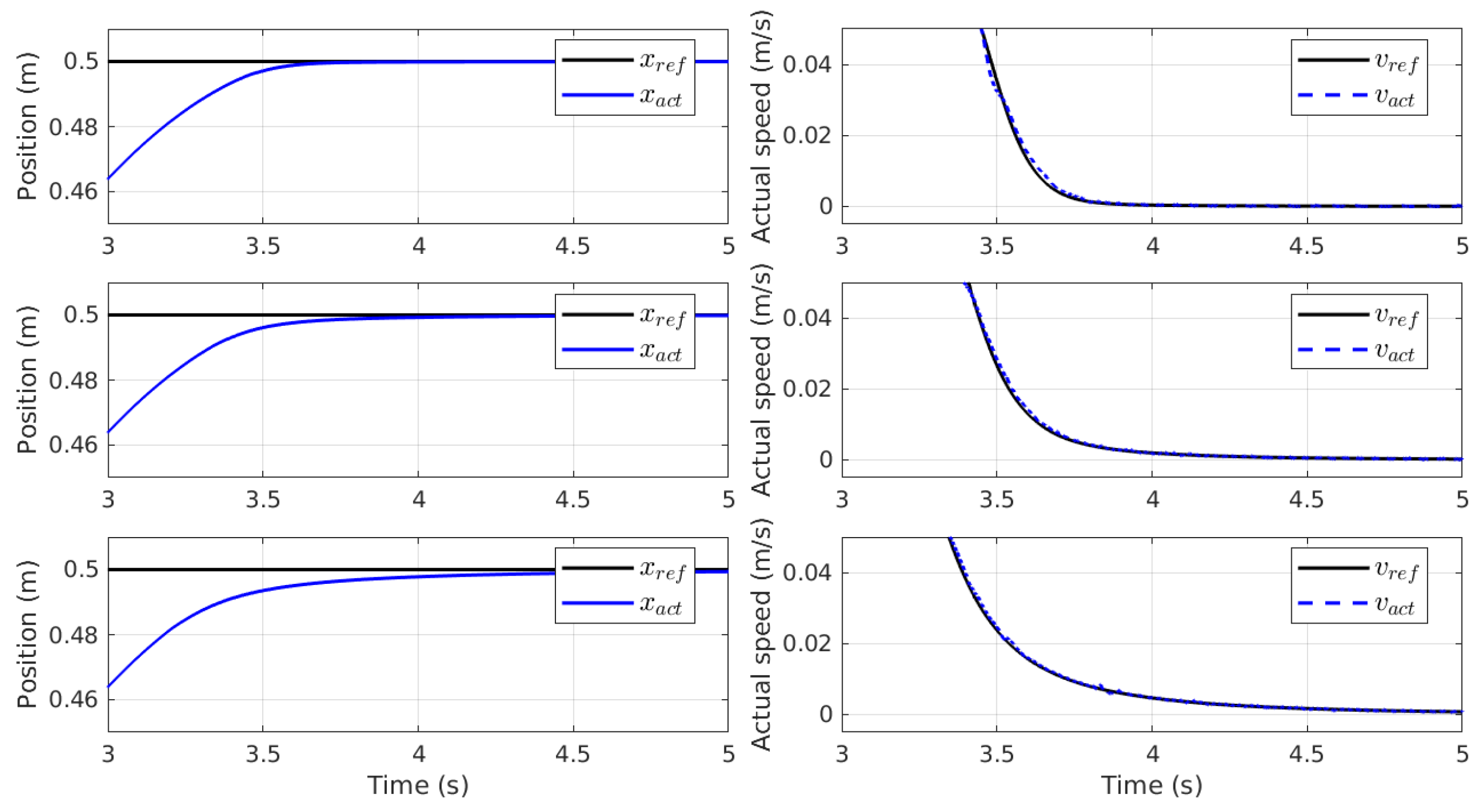
5. Simulation Results
5.1. Simulation Results for Proposed Position Controller
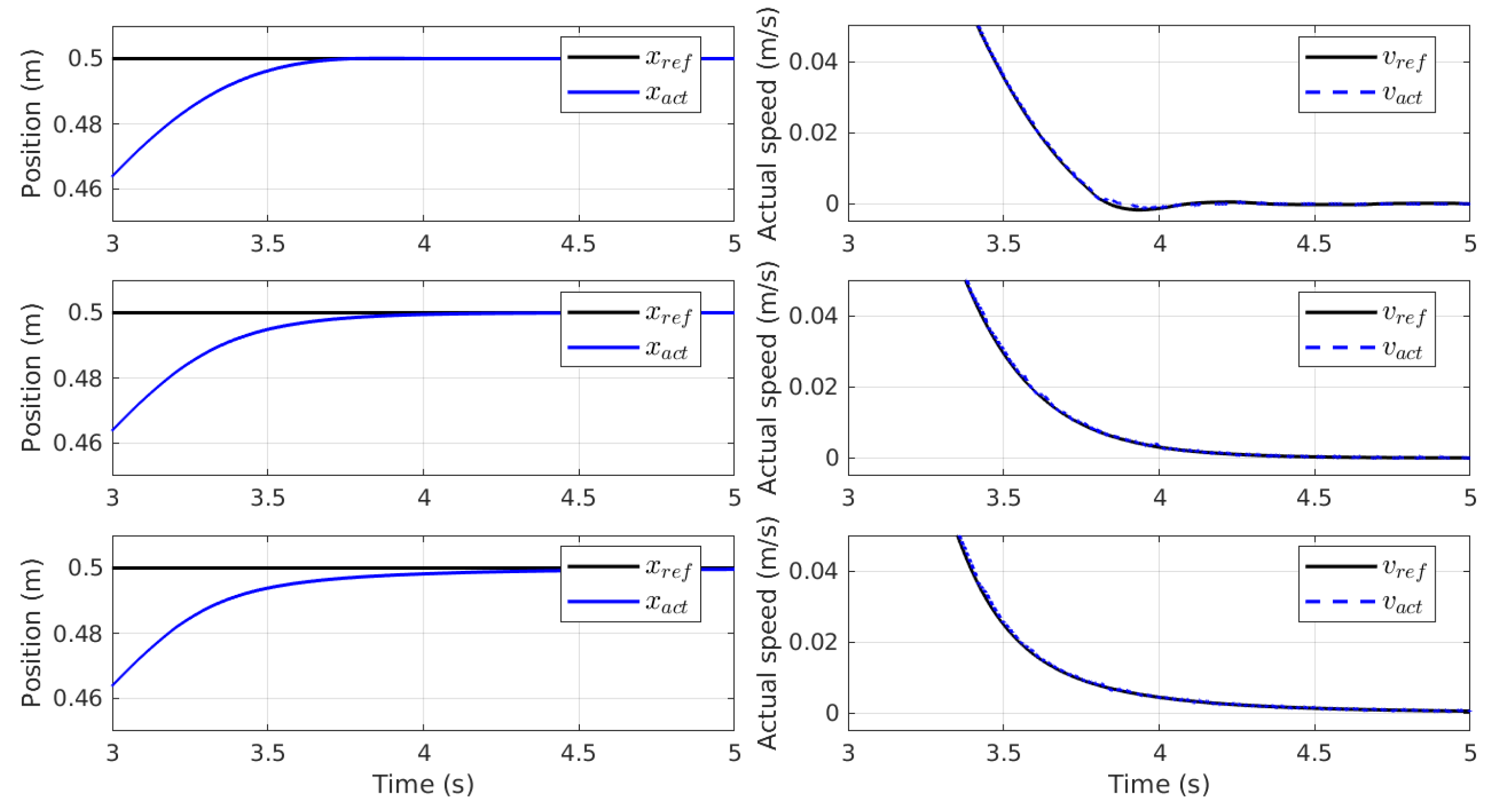
5.2. Comparison of Proposed Controller with P-Controller
6. Experimental Results
7. Conclusions
Author Contributions
Funding
Data Availability Statement
Conflicts of Interest
References
- Yuan, M.; Manzie, C.; Good, M.; Shames, I.; Gan, L.; Keynejad, F.; Robinette, T. A review of industrial tracking control algorithms. Control Eng. Pract. 2020, 102, 104536. [Google Scholar] [CrossRef]
- Low, J.H.; Khin, P.M.; Han, Q.Q.; Yao, H.; Teoh, Y.S.; Zeng, Y.; Li, S.; Liu, J.; Liu, Z.; Valdivia y Alvarado, P.; et al. Sensorized Reconfigurable Soft Robotic Gripper System for Automated Food Handling. IEEE/ASME Trans. Mechatron. 2022, 27, 3232–3243. [Google Scholar] [CrossRef]
- He, C.; Qiu, L.; Zhang, S.; Wang, Z.; Wang, Y. Fast Assembly Tolerance Inspection Method Using Feature-Based Adaptive Scale Reduction in Automatic Assembly Line. IEEE Access 2020, 8, 113860–113877. [Google Scholar] [CrossRef]
- Trojaola, I.; Elorza, I.; Irigoyen, E.; Pujana-Arrese, A.; Sorrosal, G. An Innovative MIMO Iterative Learning Control Approach for the Position Control of a Hydraulic Press. IEEE Access 2021, 9, 146850–146867. [Google Scholar] [CrossRef]
- Tang, T.F.; Chong, S.H.; Chan, C.Y.; Sakthivelu, V. Point-to-point positioning control of a pneumatic muscle actuated system using improved-PID control. In Proceedings of the 2016 IEEE International Conference on Automatic Control and Intelligent Systems (I2CACIS), Selangor, Malaysia, 22 October 2016; pp. 45–50. [Google Scholar] [CrossRef]
- Wang, W.; Wang, X.; Hou, Z.G.; Fang, Z.; Jiao, Y.; Luo, Y.; Gong, J. Kinematics Modeling and Trajectory Planning for the Skull Reconstruction Robot. In Proceedings of the 2021 IEEE International Conference on Real-time Computing and Robotics (RCAR), Xining, China, 15–19 July 2021; pp. 1432–1437. [Google Scholar] [CrossRef]
- Da Rocha, P.A.S.; De Oliveira, W.D.; De Lima Tostes, M.E. An Embedded System-Based Snap Constrained Trajectory Planning Method for 3D Motion Systems. IEEE Access 2019, 7, 125188–125204. [Google Scholar] [CrossRef]
- Dini, P.; Saponara, S. Processor-in-the-Loop Validation of a Gradient Descent-Based Model Predictive Control for Assisted Driving and Obstacles Avoidance Applications. IEEE Access 2022, 10, 67958–67975. [Google Scholar] [CrossRef]
- Bae, J.; Lee, D.H. PTP Tracking Scheme for Indoor Surveillance Vehicle by Dual BLACM With Hall Sensor. IEEE Trans. Ind. Appl. 2022, 58, 5238–5247. [Google Scholar] [CrossRef]
- Bélai, I.; Huba, M.; Vrancic, D. Comparing Traditional and Constrained Disturbance-observer Based Positional Control. Meas. Control 2021, 54, 170–178. [Google Scholar] [CrossRef]
- Liu, F.; Peng, H.; Zhang, D.; Huang, X.; Tong, L.; Wu, R.; Peng, X. Adaptive Positioning Control of Servomotor Based on Model Identification. IEEE Trans. Power Electron. 2022, 37, 5272–5283. [Google Scholar] [CrossRef]
- Bačík, J.; Tkáč, P.; Hric, L.; Alexovič, S.; Kyslan, K.; Olexa, R.; Perduková, D. Phollower—The universal autonomous mobile robot for industry and civil environments with COVID-19 germicide addon meeting safety requirements. Appl. Sci. 2020, 10, 7682. [Google Scholar] [CrossRef]
- Sul, S.K. Control of Electric Machine Drive Systems; John Wiley & Sons: Hoboken, NJ, USA, 2011. [Google Scholar]
- Gurocak, H. Industrial Motion Control. Motor Selection, Drives, Controller Tuning, Applications; John Wiley & Sons: Hoboken, NJ, USA, 2016. [Google Scholar]
- Hackl, C.M. Non-Identifier Based Adaptive Control in Mechatronics; Springer: Cham, Switzerland, 2017. [Google Scholar]
- Wang, B.; Liu, C.; Chen, S.; Dong, S.; Hu, J. Data-Driven Digital Direct Position Servo Control by Neural Network With Implicit Optimal Control Law Learned From Discrete Optimal Position Tracking Data. IEEE Access 2019, 7, 126962–126972. [Google Scholar] [CrossRef]
- Li, S.; Xu, Y.; Zhang, W.; Zou, J. A Novel Two-Phase Mode Switching Control Strategy for PMSM Position Servo Systems With Fast-Response and High-Precision. IEEE Trans. Power Electron. 2023, 38, 803–815. [Google Scholar] [CrossRef]
- Liu, C.; Luo, G.; Duan, X.; Chen, Z.; Zhang, Z.; Qiu, C. Adaptive LADRC-Based Disturbance Rejection Method for Electromechanical Servo System. IEEE Trans. Ind. Appl. 2020, 56, 876–889. [Google Scholar] [CrossRef]
- Shen, W.; Shen, C. An extended state observer-based control design for electro-hydraulic position servomechanism. Control Eng. Pract. 2021, 109, 104730. [Google Scholar] [CrossRef]
- Dini, P.; Saponara, S. Model-Based Design of an Improved Electric Drive Controller for High-Precision Applications Based on Feedback Linearization Technique. Electronics 2021, 10, 2954. [Google Scholar] [CrossRef]
- Wahyudi, K.; Sato, K.; Shimokohbe, A. Characteristics of practical control for point-to-point (PTP) positioning systems: Effect of design parameters and actuator saturation on positioning performance. Precis. Eng. 2003, 27, 157–169. [Google Scholar] [CrossRef]
- Siemens. The Technology Objects (TO) of SIMATIC S7-1500(T). 2017. Available online: https://support.industry.siemens.com/cs/document/109743134/technology-objects-of-the-simatic-s7-1500(t)?dti=0&lc=en-WW (accessed on 27 August 2023).
- Siemens. S7-1500T Motion Control V4.0 in TIA Portal V15: Function Manual. 2017. Available online: https://support.industry.siemens.com/cs/attachments/109749263/s71500t_motion_control_function_manual_en-US_en-US.pdf (accessed on 27 August 2023).
- ABB. PLC Automation Builder, AC500: Intructions for Use. 2021. Available online: https://library.abb.com/d/3ADR010582 (accessed on 27 August 2023).
- Voda, A.A.; Landau, I.D. A method for the auto-calibration of PID controllers. Automatica 1995, 31, 41–53. [Google Scholar] [CrossRef]
- Harnefors, L.; Saarakkala, S.E.; Hinkkanen, M. Speed Control of Electrical Drives Using Classical Control Methods. IEEE Trans. Ind. Appl. 2013, 49, 889–898. [Google Scholar] [CrossRef]
- Heo, H.J.; Son, Y.; Kim, J.M. A Trapezoidal Velocity Profile Generator for Position Control Using a Feedback Strategy. Energies 2019, 12, 1222. [Google Scholar] [CrossRef]
















| Quantity | Notation | Value | Unit |
|---|---|---|---|
| rated motor power | 1.1 | kW | |
| rated speed | 1455 | rpm | |
| maximum speed | 1455 | rpm | |
| rated torque | 7.22 | Nm | |
| maximum torque | 7.5 | Nm | |
| motor moment of inertia | 0.003235 | kg·m | |
| axle moment of inertia | 0.0027756 | kg·m | |
| wheel radius | r | 0.245 | m |
| empty cart mass | 2733 | kg | |
| ingot mass | 1000 to 1700 | kg | |
| gearbox ratio | 64.85 | ||
| gearbox efficiency | 0.9 | ||
| rolling friction coefficient | 0.0007 | ||
| torque control loop dynamics | 0.0025 | s | |
| feedforward filter | 0.032 | s | |
| actual speed filter | 0.01 | s |
Disclaimer/Publisher’s Note: The statements, opinions and data contained in all publications are solely those of the individual author(s) and contributor(s) and not of MDPI and/or the editor(s). MDPI and/or the editor(s) disclaim responsibility for any injury to people or property resulting from any ideas, methods, instructions or products referred to in the content. |
© 2023 by the authors. Licensee MDPI, Basel, Switzerland. This article is an open access article distributed under the terms and conditions of the Creative Commons Attribution (CC BY) license (https://creativecommons.org/licenses/by/4.0/).
Share and Cite
Kyslan, K.; Smoleň, P.; Šlapák, V.; Ďurovský, F. A Nonlinear Controller for Point-to-Point Position Control. Energies 2023, 16, 6339. https://doi.org/10.3390/en16176339
Kyslan K, Smoleň P, Šlapák V, Ďurovský F. A Nonlinear Controller for Point-to-Point Position Control. Energies. 2023; 16(17):6339. https://doi.org/10.3390/en16176339
Chicago/Turabian StyleKyslan, Karol, Pavol Smoleň, Viktor Šlapák, and František Ďurovský. 2023. "A Nonlinear Controller for Point-to-Point Position Control" Energies 16, no. 17: 6339. https://doi.org/10.3390/en16176339
APA StyleKyslan, K., Smoleň, P., Šlapák, V., & Ďurovský, F. (2023). A Nonlinear Controller for Point-to-Point Position Control. Energies, 16(17), 6339. https://doi.org/10.3390/en16176339

