Retrofit Analysis of City-Scale Residential Buildings in the Hot Summer and Cold Winter Climate Zone
Abstract
:1. Introduction
2. Methods
2.1. Data Collection and Building Classification
2.2. Baseline Model Establishment
2.3. ECM Identification
2.4. Retrofit Model Establishment
2.5. Economic Analysis
3. Results
3.1. Baseline Models of Residential Buildings in Changsha
3.2. Building Envelope Retrofitting
3.3. Lighting System Retrofitting
3.4. AC System Retrofitting
4. Discussion
5. Conclusions
Author Contributions
Funding
Data Availability Statement
Conflicts of Interest
References
- Rohács, D. Analysis and Optimization of Potential Energy Sources for Residential Building Application. Energy 2023, 275, 127508. [Google Scholar] [CrossRef]
- Economidou, M.; Todeschi, V.; Bertoldi, P.; D’Agostino, D.; Zangheri, P.; Castellazzi, L. Review of 50 years of EU Energy Efficiency Policies for Buildings. Energy Build. 2020, 225, 110322. [Google Scholar] [CrossRef]
- Hu, J.; Kawaguchi, K.; Ma, J.; Nakaso, Y. Improving Indoor Thermal and Energy Performance of Large-Space Residential Buildings via Active Approaches. Appl. Energy 2023, 344, 120766. [Google Scholar] [CrossRef]
- Ahady, S.; Dev, N.; Mandal, A. Sustainable Energy Retrofit Plan for Enhancing Energy Efficiency of Residential Apartments in Arid Climate: Case of Afghanistan. Sādhanā 2022, 47, 131. [Google Scholar] [CrossRef]
- Peng, Z.; Zhao, S.; Shen, L.; Ma, Y.; Zhang, Q.; Deng, W. Retrofit or Rebuild? The Future of Old Residential Buildings in Urban Areas of China Based on the Analysis of Environmental Benefits. Int. J. Low-Carbon Technol. 2021, 16, 1422–1434. [Google Scholar] [CrossRef]
- La Fleur, L.; Rohdin, P.; Moshfegh, B. Energy Renovation versus Demolition and Construction of a New Building—A Comparative Analysis of a Swedish Multi-Family Building. Energies 2019, 12, 2218. [Google Scholar] [CrossRef]
- Gaspar, P.L.; Santos, A.L. Embodied Energy on Refurbishment vs. Demolition: A Southern Europe Case Study. Energy Build. 2015, 87, 386–394. [Google Scholar] [CrossRef]
- Bao, L.; Zhao, J.; Zhu, N. Analysis and Proposal of Implementation Effects of Heat Metering and Energy Efficiency Retrofit of Existing Residential Buildings in Northern Heating Areas of China in “the 11th Five-Year Plan” Period. Energy Policy 2012, 45, 521–528. [Google Scholar] [CrossRef]
- Biekša, D.; Šiupšinskas, G.; Martinaitis, V.; Jaraminienė, E. Energy Efficiency Challenges in Muti-Apartment Building Renovation in Lithuania. J. Civ. Eng. Manag. 2011, 17, 467–475. [Google Scholar] [CrossRef]
- Jia, L.; Qian, Q.K.; Meijer, F.; Visscher, H. Exploring Key Risks of Energy Retrofit of Residential Buildings in China with Transaction Cost Considerations. J. Clean. Prod. 2021, 293, 126099. [Google Scholar] [CrossRef]
- Liu, C.; Mohammadpourkarbasi, H.; Sharples, S. Evaluating the Potential Energy Savings of Retrofitting Low-Rise Suburban Dwellings towards the Passivhaus EnerPHit Standard in a Hot Summer/Cold Winter Region of China. Energy Build. 2021, 231, 110555. [Google Scholar] [CrossRef]
- Fu, X.; Qian, X.; Wang, L. Energy Efficiency for Airtightness and Exterior Wall Insulation of Passive Houses in Hot Summer and Cold Winter Zone of China. Sustainability 2017, 9, 1097. [Google Scholar] [CrossRef]
- Liu, C.; Ma, W.; Hao, J.; Luo, D.; Zuo, J.; Zhang, C. Energy Retrofitting Assessment of Public Building Envelopes in China’s Hot Summer and Cold Winter Climate Region. Buildings 2022, 12, 1866. [Google Scholar] [CrossRef]
- Wang, P.; Ji, C.; Yu, P.; Huang, L. A Procedure Set to Construct the Optimal Energy Saving Retrofit Strategy for Old Residential Buildings in China. J. Renew. Sustain. Energy 2023, 15, 025101. [Google Scholar] [CrossRef]
- Ma, Z.; Cooper, P.; Daly, D.; Ledo, L. Existing Building Retrofits: Methodology and State-of-the-Art. Energy Build. 2012, 55, 889–902. [Google Scholar] [CrossRef]
- Huang, H.; Binti Wan Mohd Nazi, W.I.; Yu, Y.; Wang, Y. Energy Performance of a High-Rise Residential Building Retrofitted to Passive Building Standard—A Case Study. Appl. Therm. Eng. 2020, 181, 115902. [Google Scholar] [CrossRef]
- Short, C.A.; Song, J.; Mottet, L.; Chen, S.; Wu, J.; Ge, J. Challenges in the Low-Carbon Adaptation of China’s Apartment Towers. Build. Res. Inf. 2018, 46, 899–930. [Google Scholar] [CrossRef]
- Yao, R.; Costanzo, V.; Li, X.; Zhang, Q.; Li, B. The Effect of Passive Measures on Thermal Comfort and Energy Conservation. A Case Study of the Hot Summer and Cold Winter Climate in the Yangtze River Region. J. Build. Eng. 2018, 15, 298–310. [Google Scholar] [CrossRef]
- Qu, K.; Chen, X.; Wang, Y.; Calautit, J.; Riffat, S.; Cui, X. Comprehensive Energy, Economic and Thermal Comfort Assessments for the Passive Energy Retrofit of Historical Buildings—A Case Study of a Late Nineteenth-Century Victorian House Renovation in the UK. Energy 2021, 220, 119646. [Google Scholar] [CrossRef]
- Huang, H.; Wang, H.; Hu, Y.-J.; Li, C.; Wang, X. Optimal Plan for Energy Conservation and CO2 Emissions Reduction of Public Buildings Considering Users’ Behavior: Case of China. Energy 2022, 261, 125037. [Google Scholar] [CrossRef]
- Li, Q.; Zhang, L.; Zhang, L.; Wu, X. Optimizing Energy Efficiency and Thermal Comfort in Building Green Retrofit. Energy 2021, 237, 121509. [Google Scholar] [CrossRef]
- Lupisek, A.; Sojková, K.; Volf, M.; Hejtmánek, P. Potential for Energy Savings in Czech Residential Building Stock by Application of a Prefabricated Mass Retrofitting System. In Proceedings of the IOP Conference Series: Earth and Environmental Science, Graz, Austria, 11–14 September 2019; Institute of Physics Publishing: London, UK, 2019; Volume 323. [Google Scholar]
- Yang, X.; Liu, S.; Zou, Y.; Ji, W.; Zhang, Q.; Ahmed, A.; Han, X.; Shen, Y.; Zhang, S. Energy-Saving Potential Prediction Models for Large-Scale Building: A State-of-the-Art Review. Renew. Sustain. Energy Rev. 2022, 156, 111992. [Google Scholar] [CrossRef]
- Teso, L.; Carnieletto, L.; Sun, K.; Zhang, W.; Gasparella, A.; Romagnoni, P.; Zarrella, A.; Hong, T. Large Scale Energy Analysis and Renovation Strategies for Social Housing in the Historic City of Venice. Sustain. Energy Technol. Assess. 2022, 52, 102041. [Google Scholar] [CrossRef]
- Deng, Z.; Chen, Y.; Yang, J.; Causone, F. AutoBPS: A Tool for Urban Building Energy Modeling to Support Energy Efficiency Improvement at City-Scale. Energy Build. 2023, 282, 112794. [Google Scholar] [CrossRef]
- Adilkhanova, I.; Santamouris, M.; Yun, G.Y. Coupling Urban Climate Modeling and City-Scale Building Energy Simulations with the Statistical Analysis: Climate and Energy Implications of High Albedo Materials in Seoul. Energy Build. 2023, 290, 113092. [Google Scholar] [CrossRef]
- Afshari, A. Optimization of Urban Design/Retrofit Scenarios Using a Computationally Light Standalone Urban Energy/Climate Model (SUECM) Forced by ERA5 Data. Energy Build. 2023, 287, 112991. [Google Scholar] [CrossRef]
- Mousavi, S.; Gheibi, M.; Wacławek, S.; Behzadian, K. A Novel Smart Framework for Optimal Design of Green Roofs in Buildings Conforming with Energy Conservation and Thermal Comfort. Energy Build. 2023, 291, 113111. [Google Scholar] [CrossRef]
- Tsang, C.; Spentzou, E.; Lomas, K.J.; He, M. Reducing Energy Consumption and Improving Comfort by Retrofitting Residential Buildings in the Hot Summer and Cold Winter Zone of China. J. Archit. Eng. 2022, 28. [Google Scholar] [CrossRef]
- Ma, R.; Fang, D.; Chen, J.; Li, X. A Tiled Multi-City Urban Objects Dataset for City-Scale Building Energy Simulation. Sci. Data 2023, 10, 352. [Google Scholar] [CrossRef]
- Li, Y.; Wang, C.; Zhu, S.; Yang, J.; Wei, S.; Zhang, X.; Shi, X. A Comparison of Various Bottom-up Urban Energy Simulation Methods Using a Case Study in Hangzhou, China. Energies 2020, 13, 4781. [Google Scholar] [CrossRef]
- GB50352-2019; Uniform Standard for Design of Civil Buildings. China Building Industry Press: Beijing, China, 2019.
- Deng, Z.; Chen, Y.; Yang, J.; Chen, Z. Archetype Identification and Urban Building Energy Modeling for City-Scale Buildings Based on GIS Datasets. Build. Simul. 2022, 15, 1547–1559. [Google Scholar] [CrossRef]
- JGJ134-2001; Design Standard for Energy Efficiency of Residential Buildings in Hot Summer and Cold Winter Zone. China Building Industry Press: Beijing, China, 2001.
- JGJ134-2010; Design Standard for Energy Efficiency of Residential Buildings in Hot Summer and Cold Winter Zone. China Building Industry Press: Beijing, China, 2010.
- He, C. Study on Energy Consumption Optimization Mechanism and Strategy of Passive Residential Building in Hot Summer and Cold Winter Area. Master’s Thesis, Jiangsu University of Science and Technology, Zhenjiang, China, 2022. [Google Scholar]
- Qian, D.; Li, Y.; Niu, F.; O’Neill, Z. Nationwide Savings Analysis of Energy Conservation Measures in Buildings. Energy Convers. Manag. 2019, 188, 1–18. [Google Scholar] [CrossRef]
- He, Q.; Hossain, M.U.; Ng, S.T.; Augenbroe, G. Identifying Practical Sustainable Retrofit Measures for Existing High-Rise Residential Buildings in Various Climate Zones through an Integrated Energy-Cost Model. Renew. Sustain. Energy Rev. 2021, 151, 111578. [Google Scholar] [CrossRef]
- Monna, S.; Juaidi, A.; Abdallah, R.; Salameh, T. Sustainable Energy Retrofitting for Residential Buildings in Palestine, a Simulation Based Approach. In Proceedings of the 2021 12th International Renewable Engineering Conference, IREC 2021, Amman, Jordan, 14–15 April 2021; Institute of Electrical and Electronics Engineers Inc.: New York, NY, USA, 2021. [Google Scholar]
- Rabani, M.; Madessa, H.B.; Nord, N. A State-of-Art Review of Retrofit Interventions in Buildings towards Nearly Zero Energy Level. Energy Procedia 2017, 134, 317–326. [Google Scholar] [CrossRef]
- Chen, S.; Guan, J.; Levine, M.D.; Xie, L.; Yowargana, P. Elaboration of Energy Saving Renovation Measures for Urban Existing Residential Buildings in North China Based on Simulation and Site Investigations. Build. Simul. 2013, 6, 113–125. [Google Scholar] [CrossRef]
- Liu, L.; Moshfegh, B.; Akander, J.; Cehlin, M. Comprehensive Investigation on Energy Retrofits in Eleven Multi-Family Buildings in Sweden. Energy Build. 2014, 84, 704–715. [Google Scholar] [CrossRef]
- Niemelä, T.; Kosonen, R.; Jokisalo, J. Cost-Effectiveness of Energy Performance Renovation Measures in Finnish Brick Apartment Buildings. Energy Build. 2017, 137, 60–75. [Google Scholar] [CrossRef]
- GB/T51350-2019; Technical Standard for Nearly Zero Energy Buildings. China Building Industry Press: Beijing, China, 2019.
- GB/T 7106-2008; Graduations and Test Methods of Air Permeability, Water-tightness, Wind Load Resistance Performance for Building External Windows and Doors. Standards Press of China: Beijing, China, 2008.
- GB 50034-2013; Standard for Lighting Design of Buildings. China Building Industry Press: Beijing, China, 2014.
- Liu, H.; Wu, Y.; Li, B.; Cheng, Y.; Yao, R. Seasonal Variation of Thermal Sensations in Residential Buildings in the Hot Summer and Cold Winter Zone of China. Energy Build. 2017, 140, 9–18. [Google Scholar] [CrossRef]
- Weerasuriya, A.U.; Zhang, X.; Gan, V.J.L.; Tan, Y. A Holistic Framework to Utilize Natural Ventilation to Optimize Energy Performance of Residential High-Rise Buildings. Build Environ. 2019, 153, 218–232. [Google Scholar] [CrossRef]
- Liu, Y.; Liu, T.; Ye, S.; Liu, Y. Cost-Benefit Analysis for Energy Efficiency Retrofit of Existing Buildings: A Case Study in China. J. Clean. Prod. 2018, 177, 493–506. [Google Scholar] [CrossRef]
- Wang, H. Research on Energy-Saving Reconstruction of Existing Residential Buildings in Towns in Qingdao. Master’s Thesis, Qingdao University of Technology, Qingdao, China, 2021. [Google Scholar]
- He, Q.; Ng, S.T.; Hossain, M.U.; Augenbroe, G. Sustainable Building Retrofit Model for Highrise, High-Density City: A Case in Hong Kong. Proc. Inst. Civ. Eng. Eng. Sustain. 2020, 174, 69–82. [Google Scholar] [CrossRef]
- Cao, X.; Yao, R.; Ding, C.; Zhou, N.; Yu, W.; Yao, J.; Xiong, J.; Xu, Q.; Pan, L.; Li, B. Energy-Quota-Based Integrated Solutions for Heating and Cooling of Residential Buildings in the Hot Summer and Cold Winter Zone in China. Energy Build. 2021, 236, 110767. [Google Scholar] [CrossRef]
- Menezes, A.C.; Cripps, A.; Bouchlaghem, D.; Buswell, R. Predicted vs. Actual Energy Performance of Non-Domestic Buildings: Using Post-Occupancy Evaluation Data to Reduce the Performance Gap. Appl. Energy 2012, 97, 355–364. [Google Scholar] [CrossRef]
- de Wilde, P. The Gap between Predicted and Measured Energy Performance of Buildings: A Framework for Investigation. Autom. Constr. 2014, 41, 40–49. [Google Scholar] [CrossRef]
- Xu, L.; Liu, J.; Pei, J.; Han, X. Building Energy Saving Potential in Hot Summer and Cold Winter (HSCW) Zone, China-Influence of Building Energy Efficiency Standards and Implications. Energy Policy 2013, 57, 253–262. [Google Scholar] [CrossRef]
- Gonzalez-Caceres, A.; Karlshøj, J.; Arvid Vik, T.; Hempel, E.; Rammer Nielsen, T. Evaluation of Cost-Effective Measures for the Renovation of Existing Dwellings in the Framework of the Energy Certification System: A Case Study in Norway. Energy Build. 2022, 264, 112071. [Google Scholar] [CrossRef]
- Dodoo, A.; Gustavsson, L.; Tettey, U.Y.A. Final Energy Savings and Cost-Effectiveness of Deep Energy Renovation of a Multi-Storey Residential Building. Energy 2017, 135, 563–576. [Google Scholar] [CrossRef]
- Husiev, O.; Campos-Celador, A.; Álvarez-Sanz, M.; Terés-Zubiaga, J. Why District Renovation Is Not Leading the Race? Critical Assessment of Building Renovation Potential under Different Intervention Levels. Energy Build. 2023, 295, 113288. [Google Scholar] [CrossRef]
- La Fleur, L.; Rohdin, P.; Moshfegh, B. Investigating Cost-Optimal Energy Renovation of a Multifamily Building in Sweden. Energy Build. 2019, 203, 109438. [Google Scholar] [CrossRef]
- Kapoor, G.; Wichitaksorn, N. Electricity Price Forecasting in New Zealand: A Comparative Analysis of Statistical and Machine Learning Models with Feature Selection. Appl. Energy 2023, 347, 121446. [Google Scholar] [CrossRef]
- Gunduz, S.; Ugurlu, U.; Oksuz, I. Transfer Learning for Electricity Price Forecasting. Sustain. Energy Grids Netw. 2023, 34, 100996. [Google Scholar] [CrossRef]
- Meng, A.; Wang, P.; Zhai, G.; Zeng, C.; Chen, S.; Yang, X.; Yin, H. Electricity Price Forecasting with High Penetration of Renewable Energy Using Attention-Based LSTM Network Trained by Crisscross Optimization. Energy 2022, 254, 124212. [Google Scholar] [CrossRef]
- Gremmelspacher, J.M.; Campamà Pizarro, R.; van Jaarsveld, M.; Davidsson, H.; Johansson, D. Historical Building Renovation and PV Optimisation towards NetZEB in Sweden. Sol. Energy 2021, 223, 248–260. [Google Scholar] [CrossRef]
- Friedman, C.; Becker, N.; Erell, E. Energy Retrofit of Residential Building Envelopes in Israel: A Cost-Benefit Analysis. Energy 2014, 77, 183–193. [Google Scholar] [CrossRef]





| Case | Building Type | Year Built | Footprint (Million m2) | Number of Buildings |
|---|---|---|---|---|
| 1 | High-rise residential | Pre-2001 | 1.6 | 2626 |
| 2 | High-rise residential | 2002–2009 | 2.1 | 2991 |
| 3 | High-rise residential | 2010 and After | 2.7 | 3533 |
| 4 | High-rise residential–shops | Pre-2001 | 0.2 | 297 |
| 5 | High-rise residential–shops | 2002–2009 | 0.5 | 483 |
| 6 | High-rise residential–shops | 2010 and After | 0.4 | 447 |
| 7 | Mid-rise residential | Pre-2001 | 4.7 | 8441 |
| 8 | Mid-rise residential | 2002–2009 | 3.5 | 6631 |
| 9 | Mid-rise residential | 2010 and After | 2.4 | 4306 |
| 10 | Mid-rise residential–shops | Pre-2001 | 0.8 | 1147 |
| 11 | Mid-rise residential–shops | 2002–2009 | 0.7 | 880 |
| 12 | Mid-rise residential–shops | 2010 and After | 0.3 | 363 |
| 13 | Low-rise residential | Pre-2001 | 2.2 | 5735 |
| 14 | Low-rise residential | 2002–2009 | 2.2 | 6530 |
| 15 | Low-rise residential | 2010 and After | 2.8 | 7586 |
| 16 | Low-rise residential–shops | Pre-2001 | 0.5 | 620 |
| 17 | Low-rise residential–shops | 2002–2009 | 0.4 | 484 |
| 18 | Low-rise residential–shops | 2010 and After | 0.5 | 491 |
| Case | Building Type | Year Built | Number of Buildings | Footprint (Million m2) | Floor Area (Million m2) |
|---|---|---|---|---|---|
| 1 | High-rise apartment | Pre-2001 | 2923 | 1.88 | 17.4 |
| 2 | 2001–2010 | 3474 | 2.59 | 34.9 | |
| 3 | 2010 and After | 3980 | 3.09 | 56.0 | |
| 4 | Mid-rise apartment | Pre-2001 | 9588 | 5.47 | 28.8 |
| 5 | 2001–2010 | 7511 | 4.15 | 22.6 | |
| 6 | 2010 and After | 4669 | 2.73 | 15.2 |
| ECMs | Study | |||||||
|---|---|---|---|---|---|---|---|---|
| [29] | [37] | [38] | [39] | [40] | [41] | [42] | [43] | |
| Insulating roof or wall | √ | √ | √ | √ | √ | √ | √ | √ |
| Replacing window | √ | √ | √ | √ | √ | √ | √ | √ |
| Replacing door | × | × | × | × | √ | × | √ | × |
| Using high-efficiency HVAC systems | √ | √ | √ | √ | √ | × | √ | √ |
| Changing lighting system | × | √ | √ | √ | √ | × | √ | × |
| Reducing air leakage | × | × | × | √ | √ | × | × | × |
| Using renewable energy | × | × | √ | × | √ | × | √ | √ |
| Utilizing energy-saving device | × | √ | √ | × | √ | √ | √ | × |
| Lowering the heating set point temperature | × | × | × | √ | × | × | √ | × |
| Increasing the cooling set point temperature | × | × | × | √ | × | × | × | × |
| Adding window shading | √ | × | √ | √ | × | × | × | × |
| Scenario | Construction | Indicator | Limit Values in Standards |
|---|---|---|---|
| 1 | Exterior wall | U-value (W/(m2·K)) | ≤0.6 |
| 2 | Roof | U-value (W/(m2·K)) | ≤0.4 |
| 3 | window | U-value (W/(m2·K)) | ≤2.0 |
| SHGC | ≤0.3 | ||
| 4 | Shading | Overhang depth (m) | - |
| 5 | Air sealing | Flow per exterior surface area (m3/(m2·s)) | ≤4.2 × 10−4 |
| 6 | Light | LPD (W/m2)) | ≤5.0 |
| 7 | Air condition | Cooling COP | 3.20 |
| Heating COP | 2.40 |
| Construction | Input Parameters |
|---|---|
| Exterior wall | EPS thickness |
| Roof | EPS thickness |
| Window | U value, SHGC |
| Shading | Overhang depth |
| Air sealing | Flow per exterior surface area |
| Light | LPD |
| Air condition | Cooling COP, heating COP |
| Construction | Material Information | ||||||
|---|---|---|---|---|---|---|---|
| Exterior wall | Year built | Indicator | Settings | Measure | Specification | Material price | |
| Baseline | Retrofit | ||||||
| Pre-2001 | W/(m2·K) | 1.96 | 0.36 | Adding EPS layers | 80 mm | 42.07 CNY/m2 | |
| 2001–2010 | 1 | 0.39 | 60 mm | 34.15 CNY/m2 | |||
| 2010 and After | 0.8 | 0.39 | 50 mm | 30.19 CNY/m2 | |||
| Roof | Pre-2001 | W/(m2·K) | 1.66 | 0.29 | Adding EPS layers | 90 mm | 46.03 CNY/m2 |
| 2001–2010 | 0.8 | 0.34 | 65 mm | 36.13 CNY/m2 | |||
| 2010 and After | 0.5 | 0.34 | 35 mm | 24.25 CNY/m2 | |||
| Window | Pre-2001 | W/(m2·K) | 6.6 | 1.60 | Replacing existing windows with low-e glazing | 5+12Ar+ 5Low-e+ 12Ar+5low-e | 139 CNY/m2 |
| 2001–2010 | 3.2 | ||||||
| 2010 and After | 2.8 | ||||||
| Pre-2001 | SHGC | 0.85 | 0.287 | ||||
| 2001–2010 | 0.48 | ||||||
| 2010 and After | 0.34 | ||||||
| External shading | Pre-2001 | m | 0 | 0.75 | Adding 90° overhang to windows facing south | 504 CNY/m | |
| 2001–2010 | |||||||
| 2010 and After | |||||||
| Air sealing | Pre-2001 | m3/(m2·s) | 0.001 | 0.004 | Adding PVC sealing strip | 60 CNY/m | |
| 2001–2010 | |||||||
| 2010 and After | |||||||
| Light | Pre-2001 | W/(m2) | 7 | 5 | Replacing existing lights with LED | 7.5 CNY/m2 | |
| 2001–2010 | 7 | ||||||
| 2010 and After | 6 | ||||||
| Air condition | Pre-2001 | Cooling/ Heating COP | 2.2/1 | 3.2/2.4 | Replacing existing air condition with high-efficiency air condition | 9000 CNY/h | |
| 2001–2010 | 2.3/1.9 | ||||||
| 2010 and After | 2.9/2.2 | ||||||
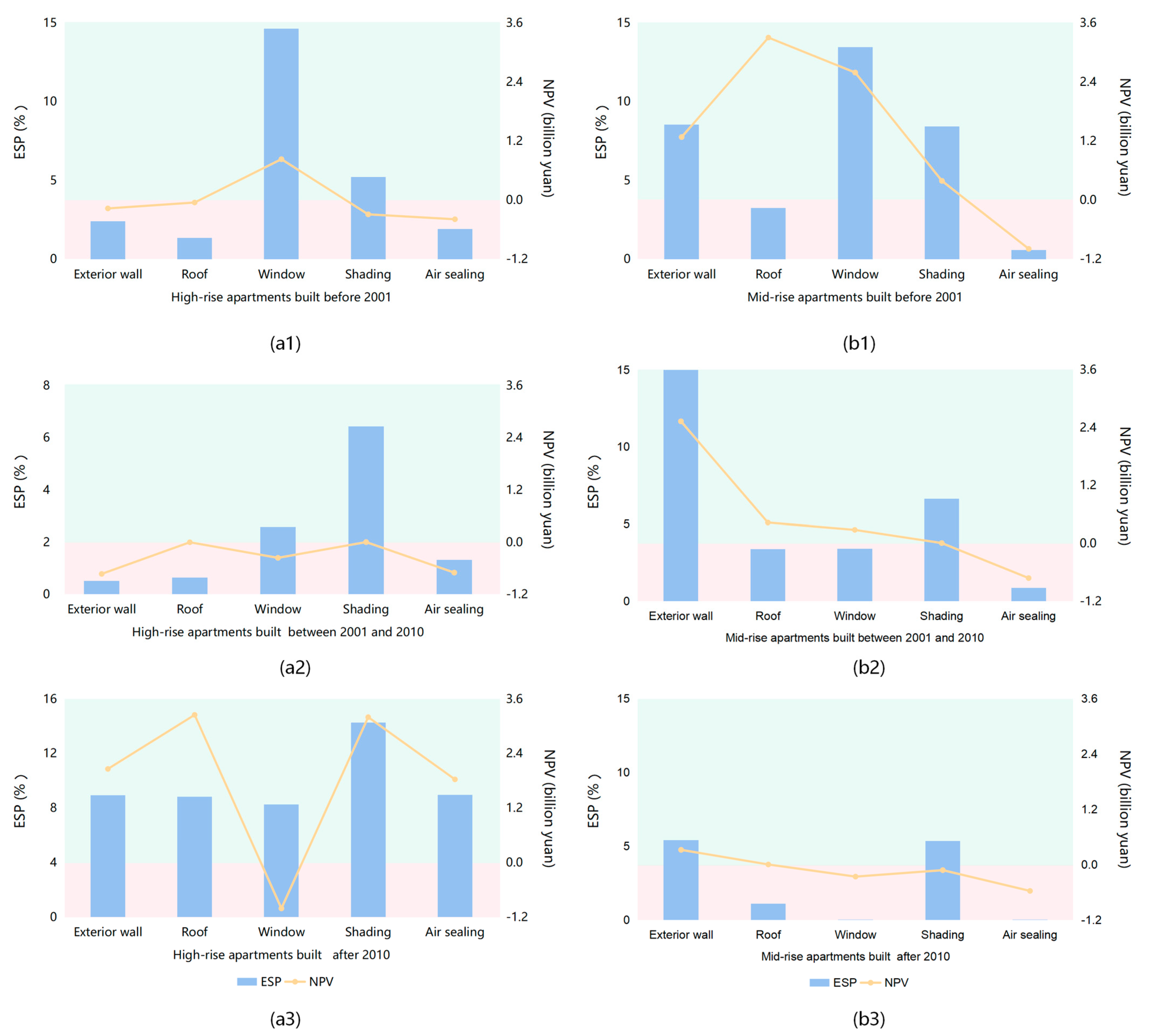
| Building Type | Year Built | Construction | Energy-Saving Analysis | Economic Analysis | |||
|---|---|---|---|---|---|---|---|
| EUI (kWh/m2) | Energy-Savings (kWh/m2) | ESP (%) | PBP (Year) | NPV (Billion CNY) | |||
| High-rise apartments | Pre–2001 | Exterior wall | 61.19 | 1.51 | 2.41 | 25 | −0.17 |
| Roof | 61.85 | 0.85 | 1.36 | 15 | −0.005 | ||
| Window | 53.53 | 9.17 | 14.63 | 7 | 0.83 | ||
| Shading | 59.43 | 3.27 | 5.21 | 23 | −0.29 | ||
| Air sealing | 61.50 | 1.19 | 1.91 | 45 | −0.39 | ||
| 2001–2010 | Exterior wall | 51.51 | 0.26 | 0.51 | 145 | −0.73 | |
| Roof | 51.44 | 0.34 | 0.65 | 21 | −0.001 | ||
| Window | 50.44 | 1.33 | 2.58 | 32 | −0.36 | ||
| Shading | 48.45 | 3.33 | 6.43 | 19 | 0.003 | ||
| Air sealing | 51.09 | 0.69 | 1.33 | 66 | −0.70 | ||
| 2010 and After | Exterior wall | 42.41 | 4.16 | 8.94 | 9 | 2.06 | |
| Roof | 42.45 | 4.12 | 8.84 | 1 | 3.25 | ||
| Window | 42.73 | 0.13 | 8.26 | 242 | −1.01 | ||
| Shading | 39.93 | 6.64 | 14.27 | 9 | 3.20 | ||
| Air sealing | 42.40 | 4.17 | 8.96 | 11 | 1.83 | ||
| Mid-rise apartments | Pre–2001 | Exterior wall | 77.99 | 7.29 | 8.54 | 5 | 1.28 |
| Roof | 82.52 | 2.76 | 3.24 | 8 | 3.30 | ||
| Window | 73.81 | 11.47 | 13.45 | 3 | 2.59 | ||
| Shading | 78.09 | 7.19 | 8.43 | 12 | 0.39 | ||
| Air sealing | 84.79 | 0.49 | 0.57 | 125 | −0.99 | ||
| 2001–2010 | Exterior wall | 60.23 | 10.98 | 15.42 | 4 | 2.53 | |
| Roof | 68.81 | 2.41 | 3.38 | 7 | 0.43 | ||
| Window | 68.78 | 2.43 | 3.41 | 11 | 0.28 | ||
| Shading | 66.49 | 4.73 | 6.64 | 19 | 0.007 | ||
| Air sealing | 70.59 | 0.62 | 0.87 | 100 | −0.72 | ||
| 2010 and After | Exterior wall | 54.23 | 3.10 | 5.41 | 12 | 0.32 | |
| Roof | 56.70 | 0.63 | 1.11 | 18 | 0.003 | ||
| Window | 57.31 | 0.02 | 0.04 | 1364 | −0.26 | ||
| Shading | 54.26 | 3.07 | 5.36 | 27 | −0.12 | ||
| Air sealing | 57.31 | 0.02 | 0.04 | 2632 | −0.57 | ||
| Case | Construction | Energy-Saving Analysis | Economic Analysis | |||
|---|---|---|---|---|---|---|
| EUI (kWh/m2) | Energy-Savings (kWh/m2) | ESP (%) | PBP (Year) | NPV (Billion CNY) | ||
| 1 | Light | 58.97 | 3.73 | 5.95 | 5 | 0.40 |
| 2 | 47.79 | 3.98 | 7.69 | 5 | 1.28 | |
| 3 | 41.06 | 5.51 | 11.84 | 4 | 3.83 | |
| 4 | 80.65 | 4.63 | 5.43 | 4 | 0.90 | |
| 5 | 61.55 | 9.66 | 13.57 | 2 | 2.42 | |
| 6 | 55.64 | 1.69 | 2.95 | 12 | 0.18 | |
| Case | Construction | Energy-Saving Analysis | Economic Analysis | |||
|---|---|---|---|---|---|---|
| EUI (kWh/m2) | Energy-Savings (kWh/m2) | ESP (%) | PBP (Year) | NPV (Billion CNY) | ||
| 1 | AC | 51.41 | 11.29 | 18.00 | 26 | −1.33 |
| 2 | 45.42 | 6.35 | 12.27 | 39 | −2.67 | |
| 3 | 40.99 | 5.58 | 11.97 | 43 | −3.97 | |
| 4 | 76.10 | 9.18 | 10.76 | 36 | −3.53 | |
| 5 | 64.89 | 6.32 | 8.87 | 53 | −3.00 | |
| 6 | 55.83 | 1.50 | 2.61 | 215 | −2.70 | |
Disclaimer/Publisher’s Note: The statements, opinions and data contained in all publications are solely those of the individual author(s) and contributor(s) and not of MDPI and/or the editor(s). MDPI and/or the editor(s) disclaim responsibility for any injury to people or property resulting from any ideas, methods, instructions or products referred to in the content. |
© 2023 by the authors. Licensee MDPI, Basel, Switzerland. This article is an open access article distributed under the terms and conditions of the Creative Commons Attribution (CC BY) license (https://creativecommons.org/licenses/by/4.0/).
Share and Cite
Ji, Y.; Li, G.; Su, F.; Chen, Y.; Zhang, R. Retrofit Analysis of City-Scale Residential Buildings in the Hot Summer and Cold Winter Climate Zone. Energies 2023, 16, 6152. https://doi.org/10.3390/en16176152
Ji Y, Li G, Su F, Chen Y, Zhang R. Retrofit Analysis of City-Scale Residential Buildings in the Hot Summer and Cold Winter Climate Zone. Energies. 2023; 16(17):6152. https://doi.org/10.3390/en16176152
Chicago/Turabian StyleJi, Yanfei, Guangchen Li, Fanghan Su, Yixing Chen, and Rongpeng Zhang. 2023. "Retrofit Analysis of City-Scale Residential Buildings in the Hot Summer and Cold Winter Climate Zone" Energies 16, no. 17: 6152. https://doi.org/10.3390/en16176152
APA StyleJi, Y., Li, G., Su, F., Chen, Y., & Zhang, R. (2023). Retrofit Analysis of City-Scale Residential Buildings in the Hot Summer and Cold Winter Climate Zone. Energies, 16(17), 6152. https://doi.org/10.3390/en16176152

