Machine-Learning-Based Approach to Optimize CO2-WAG Flooding in Low Permeability Oil Reservoirs
Abstract
:1. Introduction
2. Methods
2.1. XGBoost Algorithm
- Optimizing the loss function by employing a second-order Taylor expansion to enhance computational accuracy.
- Simplifying the model using regularization terms to avoid overfitting [39].
- Utilizing a block storage structure to enable parallel computing and improve efficiency.
2.2. Particle Swarm Optimization (PSO)
2.3. Workflow
3. Establishment of Numerical Model and Database
3.1. Establishment of CO2-EOR Numerical Model
3.2. Establishing the Database
4. Machine Learning Model Preference
4.1. Correlation Analysis
4.2. Machine Learning Model Building
5. CO2-EOR Parameter Optimization
5.1. Coupling of PSO Optimization and XGBoost Model
5.2. Production Prediction and Parameter Optimization
6. Discussion and Conclusions
- (1)
- Compared to traditional simulation and prediction methods, machine learning approaches can effectively handle reservoir data and address non-linear problems. By incorporating multiple factors such as geology and operations, they significantly improve the efficiency and accuracy of the models.
- (2)
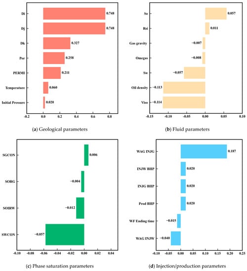
- The investigation of the correlation between various factors and the cumulative oil production reveals that, from a geological perspective, there is a strong linear correlation between the porosity and permeability with the CO2-EOR cumulative oil production. From an injection/production parameter perspective, there is a strong linear correlation between the CO2-WAG gas injection rate and the CO2-EOR cumulative oil production.
- (3)
- Different machine learning models exhibited varying performance results in predicting production. By comparing eight different production prediction models, it can be concluded that the extreme gradient boosting (XGBoost) model outperforms other machine learning models in terms of predictive performance. The XGBoost model achieved an R2 score of 0.99 on the training set and 0.98 on the testing set.
- (4)
- The cumulative oil production, daily oil production, and recovery factor under the CO2-WAG method were significantly higher than those under the WF method. This finding suggests that CO2-EOR technology has great potential in improving the recovery factor of oil reservoirs.
- (5)
- During the optimization of the CO2-EOR parameters, PSO was coupled with the trained XGBoost model. PSO efficiently searches the parameter space to find the optimal CO2-EOR parameters that maximize the cumulative oil production, thus saving computational costs. The optimized parameters resulted in a higher cumulative oil production and recovery factor when compared to previous results.
Author Contributions
Funding
Data Availability Statement
Acknowledgments
Conflicts of Interest
References
- Kondori, J.; Miah, M.I.; Zendehboudi, S.; Khan, F.; Heagle, D. Hybrid Connectionist Models to Assess Recovery Performance of Low Salinity Water Injection. J. Pet. Sci. Eng. 2021, 197, 107833. [Google Scholar] [CrossRef]
- Guo, J.-X.; Huang, C.; Wang, J.-L.; Meng, X.-Y. Integrated Operation for the Planning of CO2 Capture Path in CCS–EOR Project. J. Pet. Sci. Eng. 2020, 186, 106720. [Google Scholar] [CrossRef]
- Allahyarzadeh Bidgoli, A.; Hamidishad, N.; Yanagihara, J.I. The Impact of Carbon Capture Storage and Utilization on Energy Efficiency, Sustainability, and Production of an Offshore Platform: Thermodynamic and Sensitivity Analyses. J. Energy Resour. Technol. 2022, 144, 112102. [Google Scholar] [CrossRef]
- Song, C. Global Challenges and Strategies for Control, Conversion and Utilization of CO2 for Sustainable Development Involving Energy, Catalysis, Adsorption and Chemical Processing. Catal. Today 2006, 115, 2–32. [Google Scholar] [CrossRef]
- Jiang, J.; Rui, Z.; Hazlett, R.; Lu, J. An Integrated Technical-Economic Model for Evaluating CO2 Enhanced Oil Recovery Development. Appl. Energy 2019, 247, 190–211. [Google Scholar] [CrossRef]
- Kong, S.; Huang, X.; Li, K.; Song, X. Adsorption/Desorption Isotherms of CH4 and C2H6 on Typical Shale Samples. Fuel 2019, 255, 115632. [Google Scholar] [CrossRef]
- Huang, X.; Gu, L.; Li, S.; Du, Y.; Liu, Y. Absolute Adsorption of Light Hydrocarbons on Organic-Rich Shale: An Efficient Determination Method. Fuel 2022, 308, 121998. [Google Scholar] [CrossRef]
- Tang, Y.; Hou, C.; He, Y.; Wang, Y.; Chen, Y.; Rui, Z. Review on Pore Structure Characterization and Microscopic Flow Mechanism of CO2 Flooding in Porous Media. Energy Technol. 2021, 9, 2000787. [Google Scholar] [CrossRef]
- Kulkarni, M.M.; Rao, D.N. Experimental Investigation of Miscible and Immiscible Water-Alternating-Gas (WAG) Process Performance. J. Pet. Sci. Eng. 2005, 48, 1–20. [Google Scholar] [CrossRef]
- Karimaie, H.; Nazarian, B.; Aurdal, T.; Nøkleby, P.H.; Hansen, O. Simulation Study of CO2 EOR and Storage Potential in a North Sea Reservoir. Energy Procedia 2017, 114, 7018–7032. [Google Scholar] [CrossRef]
- Tang, R.; Wang, H.; Yu, H.; Wang, W.; Chen, L. Effect of Water and Gas Alternate Injection on CO2 Flooding. Fault Block Oil Gas Field 2016, 23, 358–362. [Google Scholar] [CrossRef]
- Sanchez, N.L. Management of Water Alternating Gas (WAG) Injection Projects; OnePetro: Richardson, TX, USA, 1999. [Google Scholar]
- Christensen, J.R.; Stenby, E.H.; Skauge, A. Review of WAG Field Experience. SPE Reserv. Eval. Eng. 2001, 4, 97–106. [Google Scholar] [CrossRef]
- Al-Bayati, D.; Saeedi, A.; Myers, M.; White, C.; Xie, Q.; Clennell, B. Insight Investigation of Miscible SCCO2 Water Alternating Gas (WAG) Injection Performance in Heterogeneous Sandstone Reservoirs. J. CO2 Util. 2018, 28, 255–263. [Google Scholar] [CrossRef]
- Sun, X.; Liu, J.; Dai, X.; Wang, X.; Yapanto, L.M.; Zekiy, A.O. On the Application of Surfactant and Water Alternating Gas (SAG/WAG) Injection to Improve Oil Recovery in Tight Reservoirs. Energy Rep. 2021, 7, 2452–2459. [Google Scholar] [CrossRef]
- Pancholi, S.; Negi, G.S.; Agarwal, J.R.; Bera, A.; Shah, M. Experimental and Simulation Studies for Optimization of Water–Alternating-Gas (CO2) Flooding for Enhanced Oil Recovery. Pet. Res. 2020, 5, 227–234. [Google Scholar] [CrossRef]
- Ren, B.; Duncan, I.J. Maximizing Oil Production from Water Alternating Gas (CO2) Injection into Residual Oil Zones: The Impact of Oil Saturation and Heterogeneity. Energy 2021, 222, 119915. [Google Scholar] [CrossRef]
- Khather, M.; Yekeen, N.; Al-Yaseri, A.; Al-Mukainah, H.; Giwelli, A.; Saeedi, A. The Impact of Wormhole Generation in Carbonate Reservoirs on CO2-WAG Oil Recovery. J. Pet. Sci. Eng. 2022, 212, 110354. [Google Scholar] [CrossRef]
- Ren, D.; Wang, X.; Kou, Z.; Wang, S.; Wang, H.; Wang, X.; Tang, Y.; Jiao, Z.; Zhou, D.; Zhang, R. Feasibility Evaluation of CO2 EOR and Storage in Tight Oil Reservoirs: A Demonstration Project in the Ordos Basin. Fuel 2023, 331, 125652. [Google Scholar] [CrossRef]
- Rodrigues, H.; Mackay, E.; Arnold, D.; Silva, D. Optimization of CO2-WAG and Calcite Scale Management in Pre-Salt Carbonate Reservoirs; OnePetro: Richardson, TX, USA, 2019. [Google Scholar]
- Sen, D.; Chen, H.; Datta-Gupta, A. Inter-Well Connectivity Detection in CO2 WAG Projects Using Statistical Recurrent Unit Models. Fuel 2022, 311, 122600. [Google Scholar] [CrossRef]
- Imani, G. Machine Learning-Assisted Prediction of Oil Production and CO2 Storage Effect in CO2-Water-Alternating-Gas Injection (CO2-WAG). Appl. Sci. 2022, 12, 958. [Google Scholar] [CrossRef]
- He, R.; Ma, W.; Ma, X.; Liu, Y. Modeling and Optimizing for Operation of CO2-EOR Project Based on Machine Learning Methods and Greedy Algorithm. Energy Rep. 2021, 7, 3664–3677. [Google Scholar] [CrossRef]
- Mohagheghian, E.; James, L.A.; Haynes, R.D. Optimization of Hydrocarbon Water Alternating Gas in the Norne Field: Application of Evolutionary Algorithms. Fuel 2018, 223, 86–98. [Google Scholar] [CrossRef]
- You, J.; Ampomah, W.; Tu, J.; Morgan, A.; Sun, Q.; Wei, B.; Wang, D. Optimization of Water-Alternating-CO2 Injection Field Operations Using a Machine-Learning-Assisted Workflow. SPE Reserv. Eval. Eng. 2022, 25, 214–231. [Google Scholar] [CrossRef]
- Jaber, A.K. Genetic Algorithm to Optimize Miscible Water Alternate CO2 Flooding in Heterogeneous Clastic Reservoir. Arab. J. Geosci. 2022, 15, 714. [Google Scholar] [CrossRef]
- Dehghan, M.H.; Hamidi, F.; Salajegheh, M. Study of Linear Regression Based on Least Squares and Fuzzy Least Absolutes Deviations and Its Application in Geography. In Proceedings of the 2015 4th Iranian Joint Congress on Fuzzy and Intelligent Systems (CFIS), Zahedan, Iran, 9–11 September 2015; IEEE: Piscataway, NJ, USA, 2015; pp. 1–6. [Google Scholar]
- Kavitha, S.; Varuna, S.; Ramya, R. A Comparative Analysis on Linear Regression and Support Vector Regression. In Proceedings of the 2016 Online International Conference on Green Engineering and Technologies (IC-GET), Coimbatore, India, 19 November 2016; IEEE: Piscataway, NJ, USA, 2016; pp. 1–5. [Google Scholar]
- Dorugade, A.V. New Ridge Parameters for Ridge Regression. J. Assoc. Arab. Univ. Basic Appl. Sci. 2014, 15, 94–99. [Google Scholar] [CrossRef]
- Wang, Y.; Xia, S.-T. Unifying Attribute Splitting Criteria of Decision Trees by Tsallis Entropy. In Proceedings of the 2017 IEEE International Conference on Acoustics, Speech and Signal Processing (ICASSP), New Orleans, LA, USA, 5–9 March 2017; IEEE: Piscataway, NJ, USA, 2017; pp. 2507–2511. [Google Scholar]
- Gamal, H.; Alsaihati, A.; Elkatatny, S.; Haidary, S.; Abdulraheem, A. Rock Strength Prediction in Real-Time While Drilling Employing Random Forest and Functional Network Techniques. J. Energy Resour. Technol. 2021, 143, 093004. [Google Scholar] [CrossRef]
- Brieman, L. Random Forests. Mach. Learn. 2001, 45, 5–32. [Google Scholar] [CrossRef]
- Jordan, M.I.; Mitchell, T.M. Machine Learning: Trends, Perspectives, and Prospects. Science 2015, 349, 255–260. [Google Scholar] [CrossRef]
- Chen, T.; Guestrin, C. XGBoost: A Scalable Tree Boosting System. In Proceedings of the 22nd ACM SIGKDD International Conference on Knowledge Discovery and Data Mining, San Francisco, CA, USA, 13 August 2016; Association for Computing Machinery: New York, NY, USA, 2016; pp. 785–794. [Google Scholar]
- Peterson, L. K-Nearest Neighbor. Scholarpedia 2009, 4, 1883. [Google Scholar] [CrossRef]
- Abiodun, O.I.; Jantan, A.; Omolara, A.E.; Dada, K.V.; Mohamed, N.A.; Arshad, H. State-of-the-Art in Artificial Neural Network Applications: A Survey. Heliyon 2018, 4, e00938. [Google Scholar] [CrossRef]
- Kennedy, J.; Eberhart, R. Particle Swarm Optimization. In Proceedings of the ICNN’95—International Conference on Neural Networks, Perth, WA, Australia, 27 November–1 December 1995; IEEE: Piscataway, NJ, USA, 1995; Volume 4, pp. 1942–1948. [Google Scholar]
- Xu, Y.; Zhao, X.; Chen, Y.; Yang, Z. Research on a Mixed Gas Classification Algorithm Based on Extreme Random Tree. Appl. Sci. 2019, 9, 1728. [Google Scholar] [CrossRef]
- Krizhevsky, A.; Sutskever, I.; Hinton, G.E. ImageNet Classification with Deep Convolutional Neural Networks. In Proceedings of the Advances in Neural Information Processing Systems, Stateline, NV, USA, 3–6 December 2012; Curran Associates, Inc.: Red Hook, NY, USA, 2012; Volume 25. [Google Scholar]
- Song, K.; Yan, F.; Ding, T.; Gao, L.; Lu, S. A Steel Property Optimization Model Based on the XGBoost Algorithm and Improved PSO. Comput. Mater. Sci. 2020, 174, 109472. [Google Scholar] [CrossRef]
- Eberhart; Shi, Y. Particle Swarm Optimization: Developments, Applications and Resources. In Proceedings of the 2001 Congress on Evolutionary Computation, Seoul, Republic of Korea, 27–30 May 2001; IEEE Cat. No.01TH8546. IEEE: Piscataway, NJ, USA, 2001; Volume 1, pp. 81–86. [Google Scholar]
- Andalib Sahnehsaraei, M.; Mahmoodabadi, M.J.; Taherkhorsandi, M.; Castillo-Villar, K.K.; Mortazavi Yazdi, S.M. A Hybrid Global Optimization Algorithm: Particle Swarm Optimization in Association with a Genetic Algorithm. In Complex System Modelling and Control through Intelligent Soft Computations; Zhu, Q., Azar, A.T., Eds.; Studies in Fuzziness and Soft Computing; Springer International Publishing: Cham, Switzerland, 2015; Volume 319, pp. 45–86. ISBN 978-3-319-12882-5. [Google Scholar]
- Ottah, D.G.; Ikiensikimama, S.S.; Matemilola, S.A. Aquifer Matching With Material Balance Using Particle Swarm Optimization Algorithm—PSO. In Proceedings of the SPE Nigeria Annual International Conference and Exhibition, Lagos, Nigeria, 4 August 2015; p. SPE-178319-MS. [Google Scholar]













| Parameter Type | Parameters | Value | Unit |
|---|---|---|---|
| Geological parameters | Initial pressure | 20 | MPa |
| Temperature | 70 | °C | |
| Porosity | 0.2 | / | |
| Permeability | 30 | mD | |
| Spacing in the I direction | 10 | m | |
| Spacing in the J direction | 10 | m | |
| Spacing in the K direction | 4 | m | |
| Fluid parameters | Oil density | 799.2 | kg/m3 |
| Gas specific gravity | 0.70 | / | |
| Residual oil saturation index | 86.10 | / | |
| Oil viscosity | 7.67 | mPa·s | |
| Water saturation | 0.30 | / | |
| Oil saturation | 0.70 | / | |
| Phase mixing parameter | 0.70 | / | |
| Phase saturation parameters | Residual water saturation | 0.3 | / |
| Residual oil saturation in oil-water system | 0.2 | / | |
| Residual oil saturation in gas-liquid system | 0.15 | / | |
| Residual gas saturation | 0.15 | / | |
| Injection/production parameters | Gas injection well bottom flow pressure | 30 | MPa |
| Water injection well bottom flow pressure | 21 | MPa | |
| Production well bottom flow pressure | 5 | MPa | |
| WF ending time | 3650 | Day | |
| WAG gas injection | 60 | m3/day | |
| WAG water injection | 60 | m3/day |
| Parameters [16,17,22] | Minimum Value | Maximum Value | Unit | Symbol in Figure 5 |
|---|---|---|---|---|
| Initial pressure | 15 | 25 | MPa | Initial pressure |
| Temperature | 45.00 | 120.00 | °C | Temperature |
| Porosity | 0.15 | 0.25 | / | Por |
| Permeability | 3.5 | 240.0 | mD | PERMI |
| Spacing in the I direction | 5 | 20 | m | Di |
| Spacing in the J direction | 5 | 20 | m | Dj |
| Spacing in the K direction | 2 | 5 | m | Dk |
| Oil density | 700 | 900 | kg/m3 | Oil density |
| Gas specific gravity | 0.53 | 0.87 | / | Gas gravity |
| Residual oil saturation index | 10.00 | 200.00 | / | Rsi |
| Oil viscosity | 0.15 | 15.00 | mPa·s | Viso |
| Water saturation | 0.20 | 0.40 | / | Sw |
| Oil saturation | 0.60 | 0.80 | / | So |
| Residual gas saturation | 0.50 | 0.85 | / | Omegas |
| Residual water saturation | 0.20 | 0.40 | / | SWCON |
| Residual oil saturation in oil-water system | 0.15 | 0.25 | / | SOIRW |
| Residual oil saturation in gas-liquid system | 0.10 | 0.20 | / | SORG |
| Residual gas saturation | 0.10 | 0.20 | / | SGCON |
| Gas injection well bottom flow pressure | 22 | 38 | MPa | INJG BHP |
| Water injection well bottom flow pressure | 20 | 40 | MPa | INJW BHP |
| Production well bottom flow pressure | 3 | 5 | MPa | Prod BHP |
| WF ending time | 2700 | 4600 | Day | WF Ending time |
| WAG gas injection | 45.00 | 180.00 | m3/day | WAG INJG |
| WAG water injection | 45.00 | 180.00 | m3/day | WAG INJW |
| Machine Learning Algorithms | Train R2 | Test R2 |
|---|---|---|
| Linear Regression | 0.82 | 0.75 |
| Ridge Regression | 0.82 | 0.81 |
| Decision Tree | 1.00 | 0.91 |
| Random Forest | 0.97 | 0.96 |
| K Nearest Neighbors | 0.80 | 0.79 |
| Neural Network | 0.96 | 0.96 |
| Gradient Boosting Decision Tree | 0.97 | 0.96 |
| XGBoost | 0.99 | 0.98 |
| Model Hyperparameters | Minimum Value | Maximum Values |
|---|---|---|
| Number of boosting stages | 10 | 500 |
| Learning rate | 0.01 | 0.2 |
| Maximum depth of tree | 3 | 10 |
| Gamma | 0 | 0.4 |
| Minimum child weight | 1 | 5 |
| Subsample | 0.5 | 1 |
| Colsample by tree | 0.5 | 1 |
| Parameters in PSO Algorithm | Value |
|---|---|
| Population number group size | 15 |
| Maximum number of iterations maximum | 50 |
| Inertia weight (ω) | 0.8 |
| Learning factor (c1) | 2 |
| Learning factor (c2) | 2 |
| Optimization Parameters | WF | WAG | Optimization of WAG | Unit |
|---|---|---|---|---|
| Gas injection well bottom flow pressure | 28.50 | 28.50 | 25.33 | MPa |
| Water injection well bottom flow pressure | 21 | 21 | 33.76 | MPa |
| Production well bottom flow pressure | 4.00 | 4.00 | 4.29 | MPa |
| WF ending time | 3777 | 3777 | 3533 | day |
| WAG gas injection | 0 | 144 | 120 | m3/day |
| WAG water injection | 174 | 174 | 66.71 | m3/day |
| Cumulative oil production | 319,234 | 425,916 | 475,047 | m3 |
Disclaimer/Publisher’s Note: The statements, opinions and data contained in all publications are solely those of the individual author(s) and contributor(s) and not of MDPI and/or the editor(s). MDPI and/or the editor(s) disclaim responsibility for any injury to people or property resulting from any ideas, methods, instructions or products referred to in the content. |
© 2023 by the authors. Licensee MDPI, Basel, Switzerland. This article is an open access article distributed under the terms and conditions of the Creative Commons Attribution (CC BY) license (https://creativecommons.org/licenses/by/4.0/).
Share and Cite
Gao, M.; Liu, Z.; Qian, S.; Liu, W.; Li, W.; Yin, H.; Cao, J. Machine-Learning-Based Approach to Optimize CO2-WAG Flooding in Low Permeability Oil Reservoirs. Energies 2023, 16, 6149. https://doi.org/10.3390/en16176149
Gao M, Liu Z, Qian S, Liu W, Li W, Yin H, Cao J. Machine-Learning-Based Approach to Optimize CO2-WAG Flooding in Low Permeability Oil Reservoirs. Energies. 2023; 16(17):6149. https://doi.org/10.3390/en16176149
Chicago/Turabian StyleGao, Ming, Zhaoxia Liu, Shihao Qian, Wanlu Liu, Weirong Li, Hengfei Yin, and Jinhong Cao. 2023. "Machine-Learning-Based Approach to Optimize CO2-WAG Flooding in Low Permeability Oil Reservoirs" Energies 16, no. 17: 6149. https://doi.org/10.3390/en16176149
APA StyleGao, M., Liu, Z., Qian, S., Liu, W., Li, W., Yin, H., & Cao, J. (2023). Machine-Learning-Based Approach to Optimize CO2-WAG Flooding in Low Permeability Oil Reservoirs. Energies, 16(17), 6149. https://doi.org/10.3390/en16176149

