Energy-Saving Potential Comparison of Different Photovoltaic Integrated Shading Devices (PVSDs) for Single-Story and Multi-Story Buildings
Abstract
1. Introduction
2. Materials and Methods
2.1. Workflow
2.2. Model Description and Simulation Set Up
3. Results and Discussion
3.1. Meteorological Data of Different Climate Zones in China
3.2. Energy Consumption Analysis of Building with Different PVSDs
- (1)
- Harbin
- (2)
- Beijing
- (3)
- Shanghai
- (4)
- Kunming
- (5)
- Guangzhou
3.3. PVSDs’ Effects on Energy Consumption in Different Climate Zones
- (1)
- Harbin
- (2)
- Beijing
- (3)
- Shanghai
- (4)
- Kunming
- (5)
- Guangzhou
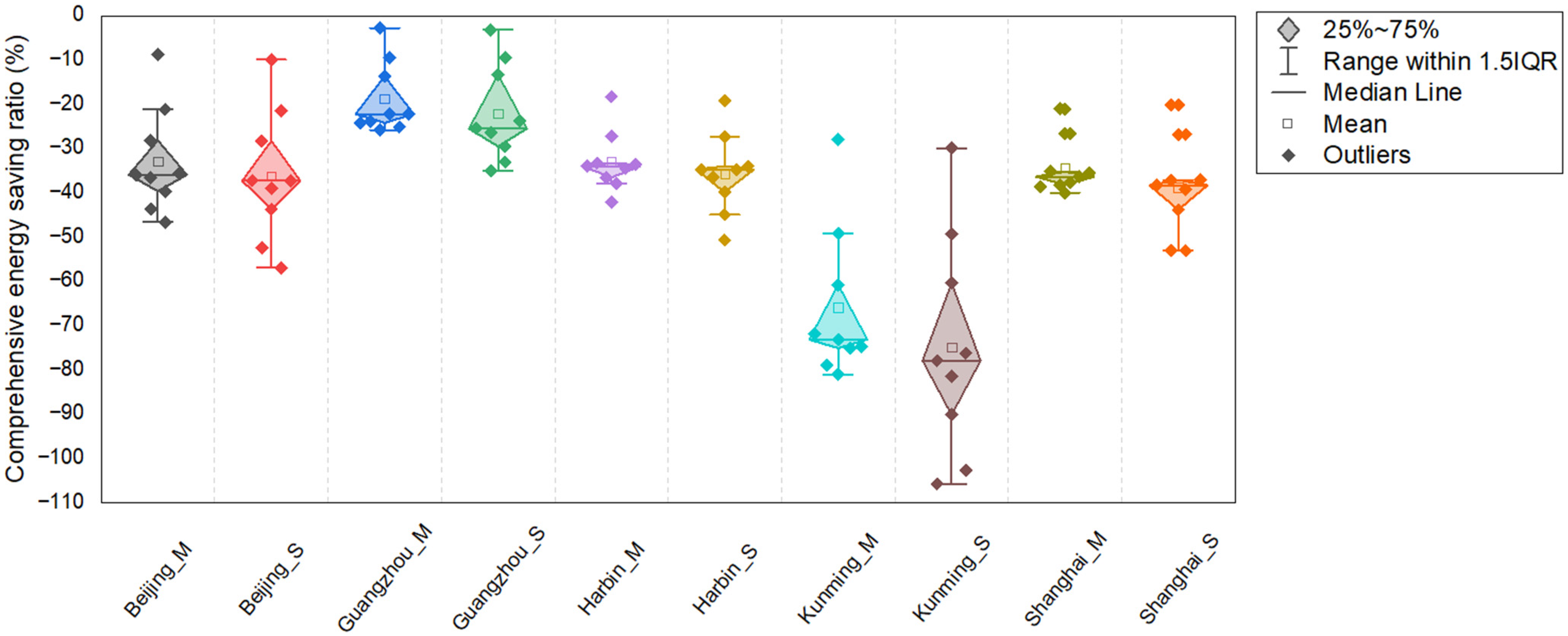
3.4. A Cross-Region Comparison of Different PVSDs
3.5. PVSDs and Other Existing Techniques: A Comparative Study
4. Conclusions
- (1)
- Different PVSDs have variable energy-saving potential in five climate zones. The comprehensive energy-saving ratios of nine PVSDs range from 2.76% (Guangzhou, semi-eggcrate with louvers in the vertical plane, multi-layer) to 105.74% (Kunming, lower single panel, single layer), and it is necessary to choose the appropriate PVSDs for each of the single-story and multi-story buildings. At the same time, PVSDs can have a positive energy-saving potential in cold regions, and in zones where PVSDs are generally more energy efficient, the choice of PVSDs is more flexible to achieve specific energy-saving ratio targets.
- (2)
- For climate zones with low air-conditioning energy consumption (e.g., Kunming), the choice of PVSDs should be based primarily on the negative effect of shading devices on the increase in lighting energy consumption.
- (3)
- In terms of the average comprehensive energy-saving ratio for five climate zones, single-story buildings are more suitable than multi-story buildings when applying PVSDs. If it is desired to reduce the PVSDs shading effect in multi-story buildings, Case 7 (multiple panels with 10 pieces), Case 8 (semi-eggcrate with louvers in the vertical plane), and Case 9 (vertical panel) provide references. A smaller width of the PV panels or placing the panels vertically can effectively avoid the shading effect of the upper PVSDs. In addition, the distance between the PV panel and the window’s top edge is an important parameter.
Author Contributions
Funding
Data Availability Statement
Conflicts of Interest
References
- Jakučionytė-Skodienė, M.; Krikštolaitis, R.; Liobikienė, G. The contribution of changes in climate-friendly behaviour, climate change concern and personal responsibility to household greenhouse gas emissions: Heating/cooling and transport activities in the European Union. Energy 2022, 246, 123387. [Google Scholar] [CrossRef]
- Yang, T.; Athienitis, A.K. A review of research and developments of building-integrated photovoltaic/thermal (BIPV/T) systems. Renew. Sustain. Energy Rev. 2016, 66, 886–912. [Google Scholar] [CrossRef]
- He, B.-J.; Yang, L.; Ye, M.; Mou, B.; Zhou, Y. Overview of rural building energy efficiency in China. Energy Policy 2014, 69, 385–396. [Google Scholar] [CrossRef]
- China Building Energy Consumption Annual Report 2020. Build. Energy Effic. 2021, 49, 1–6.
- Zhang, Y.; Kang, J.; Jin, H. A review of green building development in China from the perspective of energy saving. Energies 2018, 11, 334. [Google Scholar] [CrossRef]
- GB 55015-2021; General Code for Energy Efficiency and Renewable Energy Application in Buildings. Ministry of Housing and Urban-Rural Development of the People’s Republic of China: Beijing, China, 2021.
- Shi, S.; Chu, Y.; He, Y.; Song, Y. Research on technical strategies of the overall design-oriented international BIPV project. Archit. Tech. 2021, 27, 49–53. [Google Scholar]
- Kirimtat, A.; Tasgetiren, M.F.; Brida, P.; Krejcar, O. Control of PV integrated shading devices in buildings: A review. Build. Environ. 2022, 214, 108961. [Google Scholar] [CrossRef]
- Kou, F.; Shi, S.; Zhu, N.; Song, Y.; Zou, Y.; Mo, J.; Wang, X. Improving the indoor thermal environment in lightweight buildings in winter by passive solar heating: An experimental study. Indoor Built Environ. 2022, 31, 2257–2273. [Google Scholar] [CrossRef]
- Shi, S.; Chu, Y.; Gao, W.; Song, Y. BIPV technology application for architectural façade. World Archit. Rev. 2022, 37, 35–38. [Google Scholar]
- Liao, W.; Xu, S. Energy performance comparison among see-through amorphous-silicon PV (photovoltaic) glazings and traditional glazings under different architectural conditions in China. Energy 2015, 83, 267–275. [Google Scholar] [CrossRef]
- Lee, H.M.; Yoon, J.H. Power performance analysis of a transparent DSSC BIPV window based on 2 year measurement data in a full-scale mock-up. Appl. Energy 2018, 225, 1013–1021. [Google Scholar] [CrossRef]
- Jarimi, H.; Lv, Q.; Ramadan, O.; Zhang, S.; Riffat, S. Design, mathematical modelling and experimental investigation of vacuum insulated semi-transparent thin-film photovoltaic (PV) glazing. J. Build. Eng. 2020, 31, 101430. [Google Scholar] [CrossRef]
- Wang, C.; Ji, J.; Uddin, M.M.; Yu, B.; Song, Z. The study of a double-skin ventilated window integrated with CdTe cells in a rural building. Energy 2021, 215, 119043. [Google Scholar] [CrossRef]
- Peng, J.; Lu, L.; Yang, H. An experimental study of the thermal performance of a novel photovoltaic double-skin façade in Hong Kong. Sol. Energy 2013, 97, 293–304. [Google Scholar] [CrossRef]
- Peng, J.Q.; Curcija, D.C.; Lu, L.; Selkowitz, S.E.; Yang, H.X.; Zhang, W.L. Numerical investigation of the energy-saving potential of a semi-transparent photovoltaic double-skin façade in a cool-summer Mediterranean climate. Appl. Energy 2016, 165, 345–356. [Google Scholar] [CrossRef]
- Peng, J.; Lu, L.; Yang, H.; Ma, T. Comparative study of the thermal and power performances of a semi-transparent photovoltaic façade under different ventilation modes. Appl. Energy 2015, 138, 572–583. [Google Scholar] [CrossRef]
- Yang, S.L.; Cannavale, A.; Di Carlo, A.; Prasad, D.; Sproul, A.; Fiorito, F. Performance assessment of BIPV/T double-skin façade for various climate zones in Australia: Effects on energy consumption. Sol. Energy 2020, 199, 377–399. [Google Scholar] [CrossRef]
- Sinapis, K.; Donker, M. BIPV Report 2013 State of the Art in Building Integrated Photovoltaics; SEAC: Eindhoven, The Netherlands, 2015. [Google Scholar]
- Yoo, S.H.; Lee, E.T. Efficiency characteristic of building integrated photovoltaics as a shading device. Build. Environ. 2002, 37, 615–623. [Google Scholar] [CrossRef]
- Sun, L.L.; Yang, H.X. Impacts of the shading-type building-integrated photovoltaic claddings on electricity generation and cooling load component through shaded windows. Energy Build. 2010, 42, 455–460. [Google Scholar] [CrossRef]
- Sun, L.; Lu, L.; Yang, H. Optimum design of shading-type building-integrated photovoltaic claddings with different surface azimuth angles. Appl. Energy 2012, 90, 233–240. [Google Scholar] [CrossRef]
- Zhang, W.L.; Lu, L.; Peng, J.Q. Evaluation of potential benefits of solar photovoltaic shadings in Hong Kong. Energy 2017, 137, 1152–1158. [Google Scholar] [CrossRef]
- Mandalaki, M.; Zervas, K.; Tsoutsos, T.; Vazakas, A. Assessment of fixed shading devices with integrated PV for efficient energy use. Sol. Energy 2012, 86, 2561–2575. [Google Scholar] [CrossRef]
- Skandalos, N.; Karamanis, D. An optimization approach to photovoltaic building integration towards low energy buildings in different climate zones. Appl. Energy 2021, 295, 117017. [Google Scholar] [CrossRef]
- Li, X.; Peng, J.; Li, N.; Wu, Y.; Fang, Y.; Li, T.; Wang, M.; Wang, C. Optimal design of photovoltaic shading systems for multi-story buildings. J. Clean. Prod. 2019, 220, 1024–1038. [Google Scholar] [CrossRef]
- Baghoolizadeh, M.; Nadooshan, A.A.; Raisi, A.; Malekshah, E.H. The effect of photovoltaic shading with ideal tilt angle on the energy cost optimization of a building model in European cities. Energy Sustain. Dev. 2022, 71, 505–516. [Google Scholar] [CrossRef]
- Baghoolizadeh, M.; Nadooshan, A.A.; Dehkordi, S.A.H.H.; Rostamzadeh-Renani, M.; Rostamzadeh-Renani, R.; Afrand, M. Multi-objective optimization of annual electricity consumption and annual electricity production of a residential building using photovoltaic shadings. Int. J. Energy Res. 2022; in press. [Google Scholar] [CrossRef]
- Gindi, S.E. The effect of shading devices with integrated photovoltaics on energy efficiency of buildings. In Advanced Studies in Efficient Environmental Design and City Planning; Springer: Berlin/Heidelberg, Germany, 2021; pp. 105–120. [Google Scholar]
- Mesloub, A.; Ghosh, A.; Touahmia, M.; Albaqawy, G.A.; Noaime, E.; Alsolami, B.M. Performance Analysis of Photovoltaic Integrated Shading Devices (PVSDs) and Semi-Transparent Photovoltaic (STPV) Devices Retrofitted to a Prototype Office Building in a Hot Desert Climate. Sustainability 2020, 12, 10145. [Google Scholar] [CrossRef]
- Taveres-Cachat, E.; Lobaccaro, G.; Goia, F.; Chaudhary, G. A methodology to improve the performance of PV integrated shading devices using multi-objective optimization. Appl. Energy 2019, 247, 731–744. [Google Scholar] [CrossRef]
- Zhang, X.; Lau, S.-K.; Lau, S.S.Y.; Zhao, Y. Photovoltaic integrated shading devices (PVSDs): A review. Sol. Energy 2018, 170, 947–968. [Google Scholar] [CrossRef]
- Yang, R.J.; Zou, P.X. Building integrated photovoltaics (BIPV): Costs, benefits, risks, barriers and improvement strategy. Int. J. Construct. Manag. 2016, 16, 39–53. [Google Scholar] [CrossRef]
- Windsor Liscombe, R. (Ed.) Architecture and the Canadian Fabric; UBC Press: Toronto, ON, Canada, 2011; p. 21. [Google Scholar]
- Li, N.; Peng, Z.; Dai, J.; Li, Z. Performance-Oriented Passive Design Strategies for Shape and Envelope Structure of Independent Residential Buildings in Yangtze River Delta Suburbs. Sustainability 2022, 14, 4571. [Google Scholar] [CrossRef]
- Crawley, D.B.; Lawrie, L.K.; Winkelmann, F.C.; Buhl, W.F.; Huang, Y.J.; Pedersen, C.O.; Strand, R.K.; Liesen, R.J.; Fisher, D.E.; Witte, M.J.; et al. EnergyPlus: Creating a new-generation building energy simulation program. Energy Build. 2001, 33, 319–331. [Google Scholar] [CrossRef]
- Mendis, T.; Huang, Z.; Xu, S.; Zhang, W. Economic potential analysis of photovoltaic integrated shading strategies on commercial building façades in urban blocks: A case study of Colombo, Sri Lanka. Energy 2020, 194, 116908. [Google Scholar] [CrossRef]
- Favoino, F.; Fiorito, F.; Cannavale, A.; Ranzi, G.; Overend, M. Optimal control and performance of photovoltachromic switchable glazing for building integration in temperate climates. Appl. Energy 2016, 178, 943–961. [Google Scholar] [CrossRef]
- GB 50034-2013; Standard for Lighting Design of Buildings. Ministry of Housing and Urban-Rural Development of the People’s Republic of China: Beijing, China, 2013.
- Xu, Y.; Yan, C.; Yan, S.; Liu, H.; Pan, Y.; Zhu, F.; Jiang, Y. A multi-objective optimization method based on an adaptive meta-model for classroom design with smart electrochromic windows. Energy 2022, 243, 122777. [Google Scholar] [CrossRef]
- Zhang, L.; Xia, H.; Xia, F.; Du, Y.; Wu, Y.; Gao, Y. Energy-Saving Smart Windows with HPC/PAA Hybrid Hydrogels as Thermochromic Materials. ACS Appl. Energy Mater. 2021, 4, 9783–9791. [Google Scholar] [CrossRef]
- Zhang, C.; Shen, C.; Zhang, Y.; Zheng, K.; Pu, J.; Zhao, X.; Ma, X. Experimental study of indoor light/thermal environment with spectrally selective windows using ATO nanofluids in winter. Energy Build. 2023, 278, 112597. [Google Scholar] [CrossRef]
- Wu, Y.; Zhao, H.; Sun, H.; Duan, M.; Lin, B.; Wu, S. A review of the application of radiative sky cooling in buildings: Challenges and optimization. Energy Convers. Manag. 2022, 265, 115768. [Google Scholar] [CrossRef]
- Ko, W.H.; Schiavon, S.; Zhang, H.; Graham, L.T.; Brager, G.; Mauss, I.; Lin, Y.-W. The impact of a view from a window on thermal comfort, emotion, and cognitive performance. Build. Environ. 2020, 175, 106779. [Google Scholar] [CrossRef]
- Sun, Y.; Liu, D.; Flor, J.-F.; Shank, K.; Baig, H.; Wilson, R.; Liu, H.; Sundaram, S.; Mallick, T.K.; Wu, Y. Analysis of the daylight performance of window integrated photovoltaics systems. Renew. Energy 2020, 145, 153–163. [Google Scholar] [CrossRef]


















| Parameters | Values |
|---|---|
| Room width (m) | 6.00 |
| Room depth (m) | 8.00 |
| Room height (m) | 3.90 |
| Window width (m) | 5.00 |
| Window height (m) | 1.84 |
| Sill height (m) | 1.00 |
| Case Number | Case 01 | Case 02 | Case 03 |
| Name | Single panel (higher) | Single panel (lower) | Double panels |
| Diagram | ![]() | ![]() | ![]() |
| Number of PV panels | 1 | 1 | 2 |
| Distances between PV panels (m) | - | - | 0.92 |
| Area of single PVSD (m2) | 7.2 | 7.2 | 3.6 |
| Total area of PV panels (m2) | 7.2 | ||
| Case Number | Case 04 | Case 05 | Case 06 |
| Name | Multiple panels (3 pieces) | Multiple panels (4 pieces) | Multiple panels (5 pieces) |
| Diagram | ![]() | ![]() | ![]() |
| Number of PVSDs | 3 | 4 | 5 |
| Distances between PV panels (m) | 0.61 | 0.46 | 0.37 |
| Area of single PVSD (m2) | 2.4 | 1.8 | 1.44 |
| Total area of PV panels (m2) | 7.2 | ||
| Case Number | Case 07 | Case 08 | Case 09 |
| Name | Multiple panels (10 pieces) | Semi-eggcrate with louvers in the vertical plane | Vertical panel |
| Diagram | ![]() | ![]() | ![]() |
| Number of PVSDs | 10 | 10 | 1 |
| Distances between PV panels (m) | 0.18 | 0.18 | - |
| Area of single PVSD (m2) | 0.72 | 0.72 | 7.2 |
| Total area of PV panels (m2) | 7.2 | ||
| Parameter | Value |
|---|---|
| U-value of external wall [W/(m2 K)] | 0.400 |
| U-value of window [W/(m2 K)] | 1.978 |
| SHGC of window | 0.687 |
| Air tightness (1/h) | 0.700 |
| Normalized power density of general lighting [W/(m2 100 lux)] | 5.000 |
| Occupancy of weekdays | From 7 to 19 |
| Workdays/week (day) | 5 |
| People density (people/m2) | 0.111 |
| Target illuminance (lx) | 400 [39] |
| Working plane height (m) | 0.75 [39] |
| Heating setpoint temperature (°C) | 21 |
| Heating set back temperature (°C) | 12 |
| Cooling setpoint temperature (°C) | 26 |
| Cooling set back temperature (°C) | 28 |
| PV efficiency | 0.150 |
| Climate Zone | City | Geographical Location | Direct Normal Solar (kW·h/a) | Diffuse Horizontal Solar (kW·h/a) | Outside Dry-Bulb Temperature | ||
|---|---|---|---|---|---|---|---|
| Longitude (°) | Latitude (°) | Tmax (°C) | Tmin (°C) | ||||
| Severe cold | Harbin | 126.77 | 45.75 | 1286.35 | 691.70 | 33.1 | −29.9 |
| Cold | Beijing | 116.28 | 39.93 | 1325.34 | 531.79 | 37.2 | −14.2 |
| Hot-summer and cold-winter | Shanghai | 121.47 | 31.40 | 759.93 | 918.98 | 38.0 | −7.0 |
| Moderate | Kunming | 102.68 | 25.02 | 850.08 | 900.87 | 29.9 | −2.0 |
| Hot-summer and warm-winter | Guangzhou | 113.48 | 23.22 | 588.55 | 736.12 | 36.6 | 4.7 |
| Façade Techniques | Technique Type | Solar Energy Utilization Methods | City | Research Methods | Room Description | Building Type | Energy-Saving Effects |
|---|---|---|---|---|---|---|---|
| PVSDs (this study) | Active | Thermal, optical, and electrical | Harbin (45.75° N) | Simulations | 6.0 × 8.0 × 3.9 (width × depth × height, unit: m) | Office | Comprehensive energy-saving ratios range from 18.26% to 50.72% annually |
| Beijing (39.93° N) | Comprehensive energy-saving ratios range from 8.78% to 56.97% annually | ||||||
| Shanghai (31.40° N) | Comprehensive energy-saving ratios range from 20.11% to 53.06% annually | ||||||
| Kunming (25.02° N) | Comprehensive energy-saving ratios range from 18.26% to 105.74% annually | ||||||
| Guangzhou (23.22° N) | Comprehensive energy-saving ratios range from 2.76% to 35.08% annually | ||||||
| A-Si PV glazing [11] | Active | Thermal, optical, and electrical | Wuhan (30.60° N) | Experiments and simulations | Various cases—room depth (4/8/12 m), room width (4/5/6 m) and room height (3.5/4/4.5 m) | Office | 6.5% (low transmittance) and 4.9% (high transmittance) savings of total energy consumption on average; a-Si PV glazing in shallow rooms with large windows or high ceilings has great energy-saving potential |
| Transparent DSSC BIPV window [12] | Active | Thermal, optical, and electrical | Daejeon (36.20° N) | Experiments | 3.0 × 9.0 × 3.0 (width × depth × height, unit: m) | - | Enhanced power generation under low solar-radiation conditions |
| BIPV/T double-skin façade [18] | Active | Thermal, optical, and electrical | Darwin (12.4° S) | Simulations | 2.44 × 2.3 × 2.44 (width × length × height, unit: m) | Office | Total annual energy savings of 34.1% annually |
| Sydney (33.95° S) | Total annual energy savings of 86% annually | ||||||
| Canberra (35.3° S) | Total annual energy savings of 106% annually | ||||||
| Smart electrochromic windows [40] | Active | Thermal and optical | Nanjing (31.93° N) | Simulations | 60 m2 (floor area) | Classroom | Total annual energy consumption decreased by 254 kW·h at most |
| Smart thermochromic window [41] | Passive | Thermal and optical | - | Experiments | Experimental box for downsizing | - | When heated for 1 h, experimental box with thermochromic smart window is 9.1 °C lower than the experimental box with double-glazed window—there is a good heat-insulation effect |
| Spectrally selective windows using ATO nanofluids [42] | Passive | Thermal and optical | Harbin (45.75° N) | Experiments | 0.75 × 1.25 × 0.75 (width × length × height, unit: m) | - | Effective in delaying the peak room temperature and increasing room temperature in the afternoon and evening; the window with nanofluids volume concentration of 1000 ppm has a delay time of 33 min |
| Flat gravity-assisted heat pipes and PCM [9] | Passive | Thermal | Beijing (39.93° N) | Experiments | 2.4 × 2.4 × 2.4 (width × depth × height, unit: m) | - | Increases the percentage of solar energy used for indoor heating from 8.7% to 57.5% (suitable for cold areas or winter) |
Publisher’s Note: MDPI stays neutral with regard to jurisdictional claims in published maps and institutional affiliations. |
© 2022 by the authors. Licensee MDPI, Basel, Switzerland. This article is an open access article distributed under the terms and conditions of the Creative Commons Attribution (CC BY) license (https://creativecommons.org/licenses/by/4.0/).
Share and Cite
Shi, S.; Sun, J.; Liu, M.; Chen, X.; Gao, W.; Song, Y. Energy-Saving Potential Comparison of Different Photovoltaic Integrated Shading Devices (PVSDs) for Single-Story and Multi-Story Buildings. Energies 2022, 15, 9196. https://doi.org/10.3390/en15239196
Shi S, Sun J, Liu M, Chen X, Gao W, Song Y. Energy-Saving Potential Comparison of Different Photovoltaic Integrated Shading Devices (PVSDs) for Single-Story and Multi-Story Buildings. Energies. 2022; 15(23):9196. https://doi.org/10.3390/en15239196
Chicago/Turabian StyleShi, Shaohang, Jingfen Sun, Mengjia Liu, Xinxing Chen, Weizhi Gao, and Yehao Song. 2022. "Energy-Saving Potential Comparison of Different Photovoltaic Integrated Shading Devices (PVSDs) for Single-Story and Multi-Story Buildings" Energies 15, no. 23: 9196. https://doi.org/10.3390/en15239196
APA StyleShi, S., Sun, J., Liu, M., Chen, X., Gao, W., & Song, Y. (2022). Energy-Saving Potential Comparison of Different Photovoltaic Integrated Shading Devices (PVSDs) for Single-Story and Multi-Story Buildings. Energies, 15(23), 9196. https://doi.org/10.3390/en15239196










