Next Article in Journal
Blockchain-Based Applications for Smart Grids: An Umbrella Review
Next Article in Special Issue
Passive Mixing and Convective Heat Transfer Enhancement for Nanofluid Flow across Corrugated Base Microchannels
Previous Article in Journal
A Comprehensive Review of Key Technologies for Enhancing the Reliability of Lithium-Ion Power Batteries
 
 
Font Type:
Arial Georgia Verdana
Font Size:
Aa Aa Aa
Line Spacing:
Column Width:
Background:
Article

Experimental Study on the Feasibility of Quick Startup of Instant Heat Pump Water Heaters Based on Active Control of Heat Sink Flow Step

1
State Key Laboratory of Building Safety and Environment, Beijing 100013, China
2
School of Energy and Environment, Zhongyuan University of Technology, Zhengzhou 450007, China
3
National Engineering Research Center of Building Technology, Beijing 100013, China
*
Author to whom correspondence should be addressed.
Energies 2023, 16(17), 6145; https://doi.org/10.3390/en16176145
Submission received: 26 July 2023 / Revised: 17 August 2023 / Accepted: 21 August 2023 / Published: 24 August 2023

Abstract

:
The influence of flow step ratio (FSR) on the startup characteristics of instant heat pump water heaters (IHPWHs) with natural mixture M (R744/R290 (12/88)) under nominal conditions was studied experimentally to verify the feasibility of a new quick startup method. The results show that the FSR had a marked effect on the startup time of system performance parameters. Under the optimal FSR of 0.6, the shortest system startup time and available hot water supply time were 700 s and 250 s, respectively, which were markedly shorter than those in the conventional startup. Therefore, rapid startup of the system and rapid production of usable domestic hot water can be realized by controlling the flow step. The influence of flow step on the variation trend of system performance parameters was obviously different, and there was no slow warming section for the heat sink outlet temperature (HSOT) under three FSRs. The HSOT, heating capacity, and high pressure side pressures had the maximum values in the quick startup, and the maximum values were obviously affected by the FSR. The FSR had no marked effect on the minimum suction pressure. The refrigerant pressures and refrigerant temperatures fluctuated markedly in both rapid and conventional starts.

1. Introduction

Energy-efficient retrofitting of the building sector, which accounts for 36% of global energy consumption, is an effective way to achieve the goal of “carbon neutrality” [1]. Heat pump technology is widely used as an efficient means of energy utilization for hot water production, heating, and drying [2,3,4]. The energy consumption of domestic hot water accounts for a large proportion of the energy consumption of buildings, among which residential domestic hot water energy consumption accounts for about 20.00% of the total energy consumption of residential buildings in many places in the world [5]. Compared with hot water boilers, electric water heaters, and gas water heaters, heat pump water heaters (HPWHs) have been promoted and applied in many countries by virtue of their energy-saving and high-efficiency advantages in hot water production, and have been also the focus of attention of many scholars [6,7,8,9]. Drastic state changes occur during startup, which can affect the startup time, safety (negative- and high-pressure operation), and energy efficiency of heat pump and air-conditioning systems, where the startup time is primarily connected to thermal comfort and user satisfaction [10,11,12,13,14]. The startup time of the instant heat pump water heater (IHPWH) is directly related to the ability to quickly produce domestic hot water that meets the required temperature. Therefore, it is particularly important to achieve a significant reduction in the startup time of the IHPWH by investigating its quick startup characteristics.
Numerous scholars have conducted extensive research on the quick startup characteristics of heat pump and air-conditioning systems with a view to achieving shorter system startup times (improving startup speed). The theoretical study of Chen et al. [13] found that optimization of a split-liquid micro-channel condenser could achieve a reduction in the startup (water heating) time of an R134a recirculating heating HPWH. Zhao et al. [14] discovered in their test investigation that the startup (water heating) time of the R134a recirculating heating HPWH was positively proportional to the water flow rate at the evaporator side. Kong et al. [15] indicated in their test study that the startup (water heating) time of the R134a direct-expansion circulating heating HPWH was strongly correlated with the solar radiation intensity and ambient temperature. Jeong et al. [16] theoretically studied the startup characteristics of a R717 combined air conditioning in cooling and heating modes, and found that the startup time was strongly correlated with the system performance. Sevilgen et al. [17] revealed in their experimental study that optimizing the refrigerant flow path inside the heat exchanger could shorten the startup time of the R1234yf automotive air conditioning. The simulation research of Xu et al. [18] found that the startup time of the R407C low-temperature heat pump system with dual throttling valves increased with the increase in ambient temperature. The test study of Wang et al. [19] discovered that the startup time of the R290 domestic air conditioner was prolonged with the decrease in ambient temperature. Zhang et al. [20] indicated in their test study that there was an optimal indoor fan opening temperature of 38.0 °C, so that the radiation–convection R410A heating heat pump obtained the shortest starting time, and the system starting time can be greatly reduced to 660 s by adopting the optimal control strategy. The simulation study of Song et al. [21] found that the startup time of the R410A heating heat pump with an optimized control strategy was reduced by 56.5% compared to the conventional control. Feng et al. [22] indicated in their test research that recovering the cooling energy lost in the accumulator could reduce the startup time of the R134a air conditioning by 54.76% compared to the conventional startup. Liang and Li [23] found in their simulation study that both refrigerant overcharge and higher outdoor temperature extended the startup time of the R290 domestic air conditioning under cooling conditions. A simulation study by Yun et al. [24] showed the existence of an optimal refrigerant charge to obtain the shortest startup time for the R410A split air conditioning.
In summary, numerous scholars have conducted in-depth studies on the quick startup characteristics of recirculating heating HPWHs, heating heat pumps, domestic air conditioners, and automobile air conditioners. However, there is a lack of research on the startup characteristics of the IHPWH, especially detailed reports on the quick startup characteristics of the IHPWH by actively controlling the heat sink flow step has not been found. Therefore, based on the previous studies on the feasibility of R744/R290 as the low-GWP alternative refrigerant in the IHPWH [25,26], the feasibility of realizing the quick start of IHPWH with M (R744/R290 (12/88)) by actively controlling the heat sink flow step was experimentally studied, and the influence of the flow step ratio (FSR) on the quick startup characteristics of the IHPWH was emphatically analyzed, aiming at providing a practical technical scheme for rapid startup of the IHPWH, rapid production of available domestic hot water and safe operation.

2. Experimental Setup and Procedure

2.1. Experimental Setup

Figure 1 shows a schematic diagram of the test system used to study the feasibility of achieving rapid startup of the IHPWH by actively controlling the heat sink flow step. The compressor is a rotary compressor with a displacement of 3.798 m3/h. Both the condenser and evaporator are coaxial casing-type countercurrent copper heat exchangers with heat transfer areas of 0.646 m2 and 0.383 m2, respectively, and their detailed dimensional parameters are shown in Table 1. The flow paths of the refrigerant, heat source, and heat sink in the heat exchangers are presented in Figure 1. The heat sink system consists of a circulation loop and a bypass branch. The circulation loop refers to the flow path flowing through CV1, CV2, and the condenser, and the bypass branch refers to the flow path flowing through CV3 and CV4. The installation of four control valves and the bypass branch is intended to avoid large fluctuations in the heat sink inlet temperature (HSIT) before and after the flow step caused by the temperature rise of the pump. The throttling device uses a pressure-resistant manual throttling valve. The heat sink and heat source of different temperatures required for the experiment are provided by the cooling water reservoir and the heating water reservoir, respectively.
The data acquisition system is mainly composed of pressure transmitters, Pt100 platinum resistors, a mass flow meter, electromagnetic flow meters, a power transmitter, a Keithley data acquisition instrument, etc. The main performance parameters of the measuring instruments are shown in Table 2. The locations of the measuring instruments are illustrated in Figure 1, in which four pressure transmitters are arranged at the refrigerant inlet and outlet of the condenser and evaporator. Ten Pt100 platinum resistors are arranged at the suction and discharge ports of the compressor, at the refrigerant inlet and outlet of the condenser and evaporator, and at the inlet and outlet of the heat sink and heat source. A T-type thermocouple was installed on the compressor wall.

2.2. Test Condition

The parameters under nominal operating conditions, determined according to the Chinese national standard GB/T 23137-2020 [27] and the literature [26], were 15 °C and 55 °C for the HSIT and heat sink outlet temperature (HSOT), respectively; 20 °C and 0.178 kg·s−1 for the heat source inlet temperature and flow rate; and 0 °C for the evaporator inlet refrigerant temperature. The set values of the HSOT and evaporator inlet refrigerant temperature were the measured values after the heat pump system reached steady-state operation under nominal operating conditions. The opening of the throttle valve was kept constant during the startup characteristics test process.

2.3. Data Processing and Uncertainty

The heating capacity and COPtr can be calculated using the following equations.
The heating capacity of the IHPWH system:
Q h , tr = c p M sk ( t sko , tr t ski , tr )
where Qh,tr is the heating capacity, kW; cp is the constant pressure specific heat capacity of water, kJ/(kg·K); Msk is the heat sink mass flow, kg/s; tsko,tr is the HSOT, °C; tski,tr is the HSIT, °C.
The COPtr of the IHPWH system:
C O P tr = Q h , tr / W com , tr
where COPtr is the system heating performance coefficient; Wcom,tr is compressor power, kW.
The error of the data acquisition instrument used to collect temperature parameters was 0.3 °C, and that used to collect the mass flow parameters was 0.11%. The uncertainties of steady−state heating capacity and COPtr were 2.79% and 3.20%, respectively, by the quadratic power method.

2.4. Test Procedure

The ratio of the increase in heat sink flow before and after the flow step to the target heat sink flow after the flow step was defined as the FSR. Given the complicated experimental operation of the flow step, in order to successfully carry out the quick startup characteristic test of the IHPWH, the test procedure was formulated as follows: first, fully turned on CV1 and turned off CV3, and kept the test device running stably under nominal conditions for no less than 30 min, followed by shutting down the compressor, cooling water reservoir, heating water reservoir, and the corresponding pumps. At this point, the heat sink flow in the circulation loop was the target heat sink flow (the heat sink flow during steady-state operation under nominal conditions), while the heat sink flow in the bypass branch was zero. When the compressor wall temperature was cooled to close to the ambient temperature of the laboratory, the cooling water reservoir and the corresponding pump were started again, and after 3 h, the system monitoring temperatures (the four refrigerant temperatures and compressor wall temperature) were the same as the ambient temperature of the laboratory and the four refrigerant pressures had reached the equilibrium state. At this time, fully turned on CV3, by changing the opening of CV1 and CV4, the heat sink flow in the circulation loop reached the flow value before the flow step and the sum of the heat sink flow rates in the circulation loop and the bypass branch was the target heat sink flow value, so as to avoid large fluctuations in the HSIT before and after the flow step. Subsequently, the heating water reservoir and the corresponding water pump were started, and the compressor was started after 2 min for the quick startup characteristics test. When the HSOT reached 55 °C (step temperature), CV1 was fully turned on and CV3 was turned off simultaneously to step the heat sink flow in the circulation loop to the target heat sink flow rate. The test system would continue to collect the test data for at least 20 min after the steady-state operation.
The test procedure of the conventional startup characteristics experiment was as follows: first, fully turned on CV1 and turned off CV3, and the test device was operated steadily for more than 30 min at nominal conditions, followed by shutting down the compressor, cooling water reservoir, heating water reservoir and the corresponding pumps, while the opening of CV2 and CV5 were kept unchanged. When the compressor wall temperature was cooled to near the ambient temperature of the laboratory, the cooling water reservoir and the corresponding water pump were started again. After 3 h, the compressor wall temperature dropped to the same ambient temperature as the laboratory. At this time, the heating water reservoir and corresponding pump were started, and the compressor was started 2 min later for the conventional starting characteristics test.
The time interval of data acquisition was set to 5 s with reference to the literature [28] in order to clearly describe and master the transient variation patterns of cycle parameters such as HSOTs, refrigerant temperatures, and refrigerant pressures during the startup processes. The laboratory ambient temperature was controlled at 20 °C ± 0.4 °C to avoid a noticeable influence on the startup processes.

3. Experimental Results and Discussion

In view of the function of the IHPWH, which was to produce domestic hot water, the startup time of the HSOT was defined as the startup time of the IHPWH with M. Startup time referred to the time taken by the corresponding system performance parameters from the start of the compressor to the steady state. In addition, the time corresponding to the start step of the heat sink flow during the quick startup was defined as the step time. Considering that the appropriate bath water temperature was 37~40 °C, the domestic hot water with HSOT not less than 50 °C was called usable domestic hot water, and the earliest time to provide usable domestic hot water during the startup process was called the available hot water supply time.
When Rfs was 0, no flow step occurred in the heat sink flow during the startup, which was referred to as the conventional startup. It did not belong to quick startup, and was only used as a comparison benchmark. When the FSR was greater than 0.6, the compressor experienced violent vibrations during the startup experiment, making it impossible to safely conduct the experimental study. Therefore, the quick startup performances under three FSRs (0.2, 0.4, and 0.6) and conventional startup performances of the IHPWH were compared and analyzed.

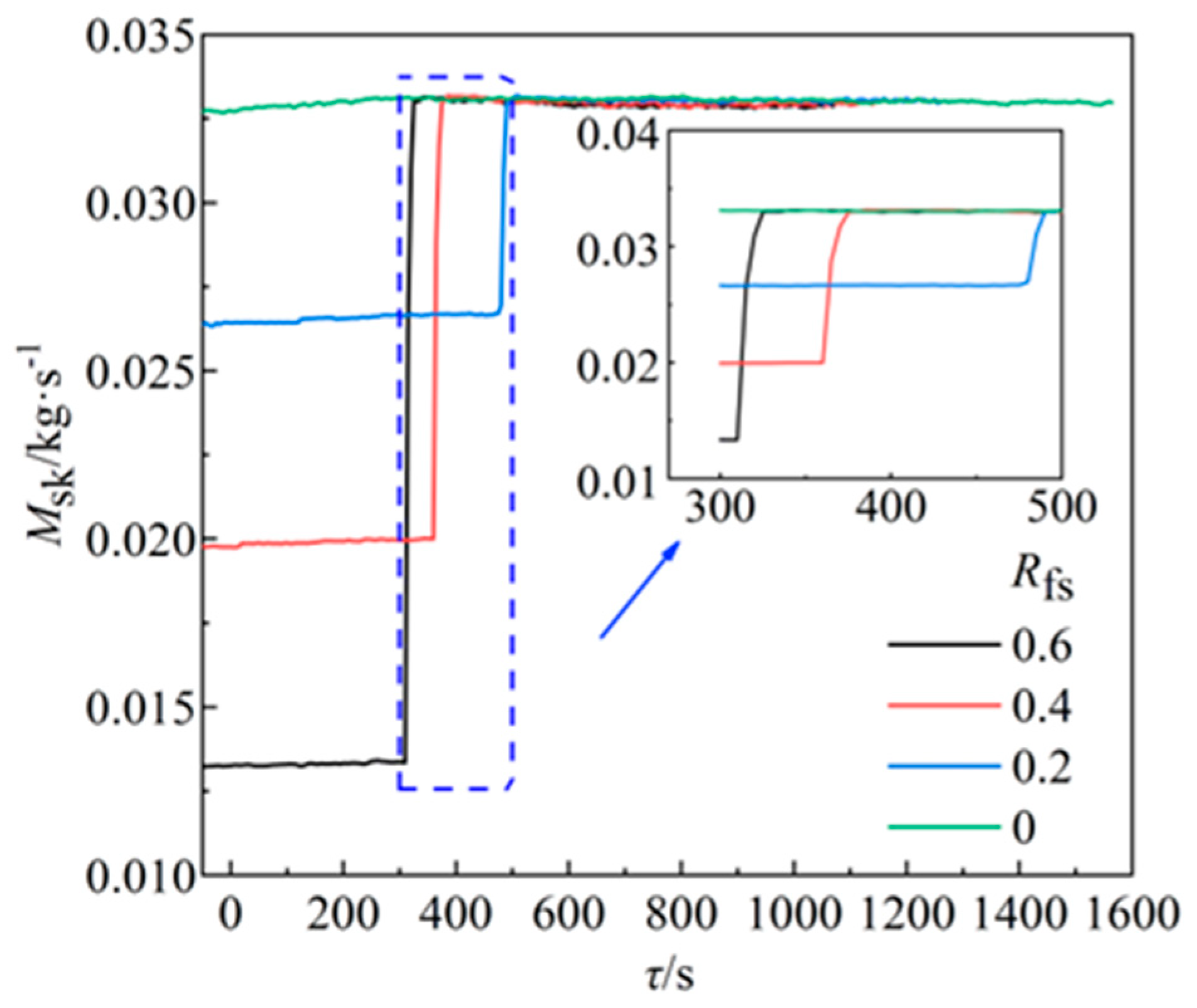
3.1. Variation of Heat Sink Flow

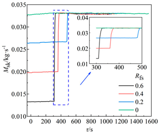
Figure 2 demonstrates the variations of the heat sink flow against time under different FSRs. The flow step time in the quick startup process was markedly delayed as the FSR decreased, which was mainly attributed to the higher heat sink flow before the flow step when the FSR was relatively low, and the corresponding HSOT increased slowly. The corresponding flow step times were 475 s, 360 s, and 310 s for the FSRs of 0.2, 0.4, and 0.6, respectively. The main reason for the decrease in flow step time with increasing FSR was that a larger FSR corresponded to a smaller heat sink flow before the step, and accordingly, it would take relatively less time to reach the same step temperature. The target heat sink flow was reached within 15 s after the flow step for all the different FSRs.

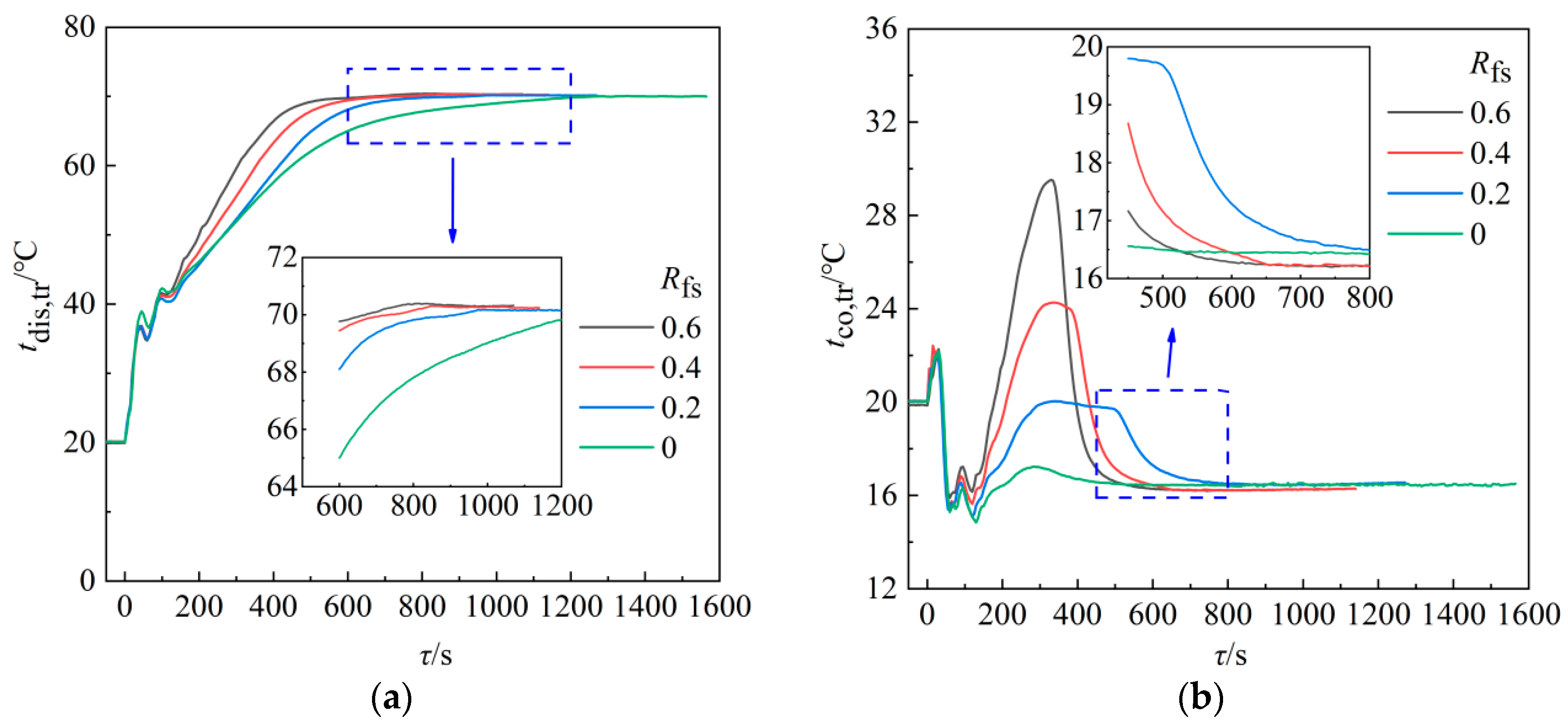
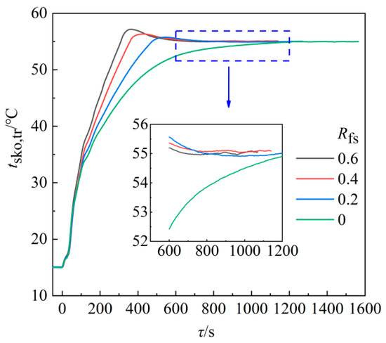
3.2. Variation of HSOT

Figure 3 shows the effect of the FSRs on the transient variation of the HSOT. Under three FSRs (0.2, 0.4, and 0.6), the HSOT increased rapidly after the start of the compressor and slowly decreased to the steady state after reaching the maximum value of 55.77 °C, 56.34 °C, and 57.16 °C at 545 s, 420 s, and 365 s, respectively. The HSOT had a fast warming section and a slow cooling section under three FSRs. At the same FSR, the emergence time of the highest HSOT was markedly delayed compared to the corresponding flow step time (see Figure 2), mainly because the discharge pressure was markedly higher than its steady state value for a long time after the flow step (see Figure 4a), allowing the heat sink to absorb more heat in the condenser and the relatively complex heat transfer process caused the heat exchange process in the condenser to take more time. The HSOT had similar trends in the early stages of the quick startup and conventional startup but had different trends in the middle and late stages. In the conventional startup, there was a fast warming section (0~530 s) and a slow warming section (530~1225 s) for the HSOT, which corresponded to a temperature rise of about 36.36 °C and 3.64 °C, respectively. Thus, the existence of the slow warming section was the main reason for the long startup time of the HSOT (M system). The startup time of the HSOT (M system) was evidently reduced with the increase in the FSR, which was mainly due to the smaller heat sink flow resulting in a faster increase in the HSOT before the flow step.
When the FSRs were 0.2, 0.4, and 0.6, the startup times of the HSOT (M system) in the quick startup were 880 s, 750 s, and 700 s, which were 28.16%, 38.78%, and 42.86% less than that (1225 s) in the conventional startup, respectively. The main reason for the evidently reduced startup time of the M system during the quick startup compared to that during the conventional startup was the accelerated migration of the refrigerant into the condenser during the startup using the method of actively controlling the flow step, resulting in the absence of a slow warming period of the HSOT. When the FSRs were 0.2, 0.4, and 0.6, the usable hot water supply times of the system were 355 s, 290 s, and 250 s, respectively, which were shortened by 23.66%, 37.63%, and 46.24% compared with that (465 s) during the conventional start, respectively. Considering the safety of system operation, there was an optimal FSR of 0.6 to obtain the shortest startup time of the M system. Therefore, the method of actively controlling the flow step is an effective way to achieve rapid startup of the system and rapid production of available domestic hot water, and can markedly reduce the user’s waiting time and improve the user’s satisfaction.

3.3. Variation of Refrigerant Pressures

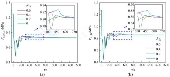
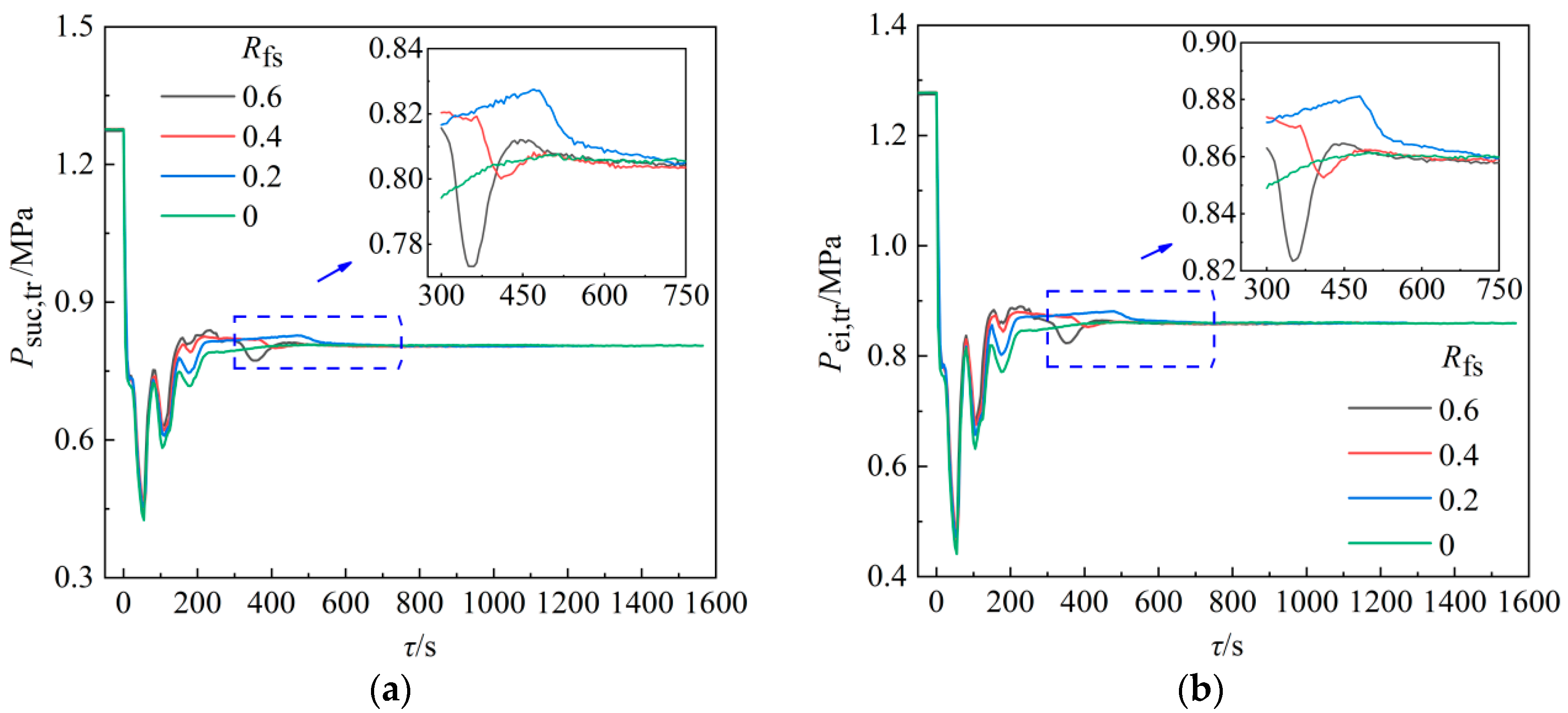
Figure 4 reveals the trends of discharge pressure and condenser outlet pressure with time at different FSRs. Under the same FSR, the discharge pressure and condenser outlet pressure had similar variation patterns and the same starting time and maximum occurrence time. Thus, only the transient changes of discharge pressure under different FSRs were compared and analyzed in the following.
As shown in Figure 4a, under three FSRs (0.2, 0.4, and 0.6), the discharge pressure increased rapidly within 35 s after the compressor started. Then, after experiencing violent fluctuations, it climbed rapidly and reached the maximum values of 2.3765 MPa, 2.4848 MPa, and 2.5584 MPa at 480 s, 365 s, and 315 s, respectively, and finally decreased rapidly and then slowly to a steady state. The occurrence times of the maximum discharge pressure were only 5 s later than the corresponding flow step time under three FSRs. The discharge pressure showed a similar pattern of variation in the early stages of quick startup and conventional startup, but showed a very different pattern of variation in the middle and late stages. The startup time of the discharge pressure during the quick startup with FSRs of 0.2, 0.4, and 0.6 were 940 s, 795 s, and 740 s, respectively, which was shortened by 6.00%, 20.50%, and 26.00% compared with that (1000 s) during the conventional startup, mainly due to the fact that the flow step intensified the refrigerant migration, and accordingly achieved a rapid accumulation of refrigerant in the condenser. The maximum discharge pressure increased evidently with the increase in the FSR, so it was not advisable to choose an excessively large FSR during the quick startup to ensure the safety of the system operation.
The main reason for the above changes in discharge pressures at three FSRs was the rapid migration of large quantities of refrigerant into the condenser as a result of the surge in the compressor speed after startup. At this time, the condensing effect of the condenser had not been fully played, resulting in the outflow of refrigerant in the condenser being much less than the amount of inflow and the continuous accumulation of refrigerant in the condenser and, accordingly, a rapid increase in the discharge pressure. At the same time, the liquid-phase refrigerant at the condenser outlet continued to accumulate so that the amount of refrigerant flowing out of the condenser gradually increased [29]. The outflow of the refrigerant in the condenser was obviously greater at first and then slowly decreased to equal the inflow, which resulted in a rapid and then slow decrease in discharge pressure from the maximum value to a steady state.
Different from the transient change of the discharge pressure of the R410A air-conditioning system in the literature [30], the discharge pressure of the M system fluctuated violently during both conventional and rapid startups. This may be mainly due to the large difference between the normal boiling points of R744 and R290, which led to certain differences in the actual concentrations of the mixture in the high and low pressure side components of the system before startup and marked changes in the circulating concentrations of the refrigerant at the beginning of startup.
Figure 5 shows the variations of suction pressure and evaporator inlet pressure against time under different FSRs. At the same FSR, the suction pressure and evaporator inlet pressure had similar variation patterns and the same startup time and minimum appearance time. Thus, only the transient changes of suction pressure under different FSRs were compared and analyzed in the following.
As Figure 5a presents, under three flow ratios of 0.2, 0.4, and 0.6, the suction pressure dropped rapidly after the compressor started and reached the lowest values of 0.4534 MPa, 0.4444 MPa, and 0.4390 MPa, respectively, at 55 s, then picked up rapidly and slowly reached a steady state after a violent fluctuation. In the quick startup processes and the conventional startup process, the suction pressures obtained the corresponding minimum value at 55 s after the compressor started, and the minimum suction pressures in the quick startup were slightly higher than that (0.4255 MPa) in the conventional startup. Therefore, the M system did not have the safety hazard of air entry due to negative pressure operation during the quick startup and the conventional startup. The startup times of the suction pressure during the quick startup with FSR of 0.2, 0.4, and 0.6 were 725 s, 620 s, and 555 s, respectively, which increased by 57.61%, 34.78%, and 20.65% compared to that (460 s) in the conventional startup. This was mainly due to the fact that the flow step exacerbated the complexity of the refrigerant migration, and correspondingly markedly lengthened the startup time of suction pressure, which had the shortest startup time among the system performance parameters.
The above changes in suction pressures at three FSRs were mainly attributed to the large amount of refrigerant in the evaporator being pumped into the compressor rapidly as a result of the surge in compressor speed after startup. Since the condenser had not yet played its condensation role at this time, the amount of refrigerant entering the evaporator was markedly less than that leaving it, causing a continuous reduction in refrigerant, which led to the suction pressure dropping rapidly. With the increasing discharge pressure (see Figure 4a) and the accumulation of liquid-phase refrigerant at the condenser outlet, the inflow of refrigerant in the evaporator increased rapidly, resulting in a rapid recovery of the suction pressure. After the fluctuating section, the suction pressure slowly reached a steady state due to the slow reaching of a stabilizing value of the amount of refrigerant entering the evaporator [29].
The significant differences between the transient changes of suction pressure of the R410A air-conditioning system in the literature [30] were as follows: the suction pressures of the M system fluctuated sharply in both conventional and rapid starting modes, which may be mainly caused by some differences in the actual concentrations of non-azeotropic refrigerant in the high and low pressure side components of the system before startup and significant changes in the circulating concentration of refrigerant in the early starting stage.

3.4. Variation of Refrigerant Temperatures

Figure 6 depicts the effect of the FSR on the transient variations of the discharge temperature and condenser outlet temperature. The discharge temperature and condenser outlet temperature showed vastly different trends for the same FSR, and the startup time of the former was markedly longer than that of the latter.
As Figure 6a presents, at three FSRs, the discharge temperature rose rapidly after the compressor started, then entered a fluctuating rise, and finally rose rapidly and then slowly to a steady state. The discharge temperature had a similar trend during the quick startup and the conventional startup. The startup times of the discharge temperature during the quick startup with FSRs of 0.2, 0.4, and 0.6 were 970 s, 840 s, and 770 s, respectively, which were reduced by 23.32%, 33.60%, and 39.13% compared to that (1265 s) in the conventional startup. This was mainly attributed to the rapid increase in discharge pressure before the flow step (see Figure 4a).
As shown in Figure 6b, under three FSRs, the condenser outlet temperature rose rapidly from the equilibrium state to the first peak and then dropped sharply, and then climbed rapidly to the second peak after a sharp fluctuation period, and finally dropped rapidly and then slowly to the steady state. The condenser outlet temperature showed a similar trend during the quick startup and the conventional startup. In the quick startup process, the startup times of the condenser outlet temperature were 770 s, 650 s, and 595 s for FSRs of 0.2, 0.4, and 0.6, respectively, which were 45.28%, 22.64%, and 12.26% longer compared to that (530 s) in the conventional startup. According to Chi and Didion [31], when the FSRs were 0.2, 0.4, and 0.6, the refrigerant at the condenser outlet transitioned from a saturated state to a supercooled state at 25 s, 25 s, and 30 s, respectively.
The discharge temperature and the condenser outlet temperature both fluctuated markedly during rapid and conventional starts, which may be mainly attributed to the fluctuations of high pressure side pressures caused by the marked change of refrigerant circulation concentration in the initial startup period (see Figure 4).
Figure 7 shows the transient variations of evaporator inlet temperature and suction temperature under different FSRs. At the same FSR, the evaporator inlet temperature and suction temperature had similar trends in the early starting stage, but had markedly different trends in the middle and late startup stages.
As shown in Figure 7a, the evaporator inlet temperatures at all three FSRs (0.2, 0.4, and 0.6) fell rapidly after the compressor started and obtained the lowest values of −16.35 °C, −16.68 °C and −16.67 °C at 55 s, and then rose rapidly. After the fluctuation rising period, it slowly rose and then slowly decreased to a steady state. The rapid drop of evaporator inlet temperature after the compressor was started was mainly attributed to the sharp decrease in the pressure and dew point temperature (saturation temperature) of the mixture inside the evaporator caused by the suction effect of the compressor, so that the liquid mixed refrigerant could flash quickly. The evaporator inlet temperature showed a similar pattern of variation at the beginning of quick startup and conventional startup, but showed a drastically different pattern of variation at the middle and late stages. During the quick startup, the startup times of the evaporator inlet temperature with FSRs of 0.2, 0.4, and 0.6 were 770 s, 650 s, and 595 s, respectively, which was 45.28%, 22.64%, and 12.26% longer than that (530 s) during the conventional startup. This was mainly attributed to the fact that the startup time of the evaporator inlet pressure (suction pressure) during the quick startup decreased markedly with the increase in the FSR, and they all increased markedly compared to that in the conventional startup (see Figure 5).
As shown in Figure 7b, under three FSRs, the suction temperature dropped rapidly to the lowest value after the compressor was started, and then entered a fluctuating state after a rapid rebound, and finally showed different trends. The suction temperature showed a similar pattern of variation at the beginning of the quick startup and conventional startup, but showed a vastly different pattern of variation in the middle and late stages. During the quick startup, the startup time of the suction temperature was 770 s, 650 s, and 620 s for FSRs of 0.2, 0.4, and 0.6, respectively, which was increased by 45.28%, 22.64%, and 16.98% compared to that (530 s) in the conventional startup.
The evaporator inlet temperature and suction temperature had obvious fluctuation periods in both the rapid and conventional starts, which may be mainly due to the fluctuations of the low pressure side pressures caused by the significant change of the refrigerant circulation concentration in the early start (see Figure 5).

3.5. Variation of Heating Capacity

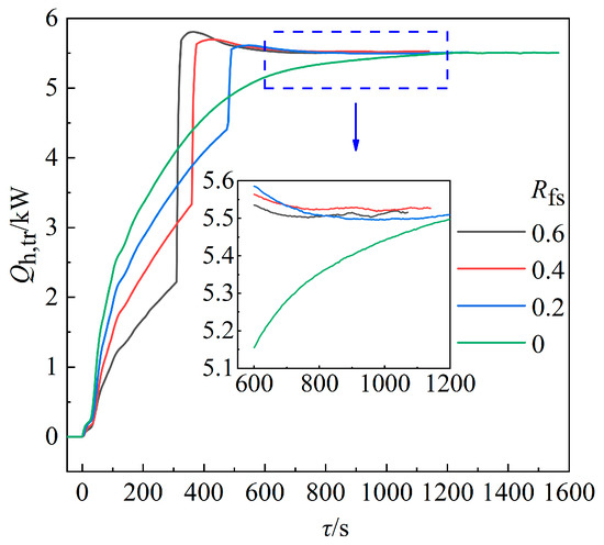
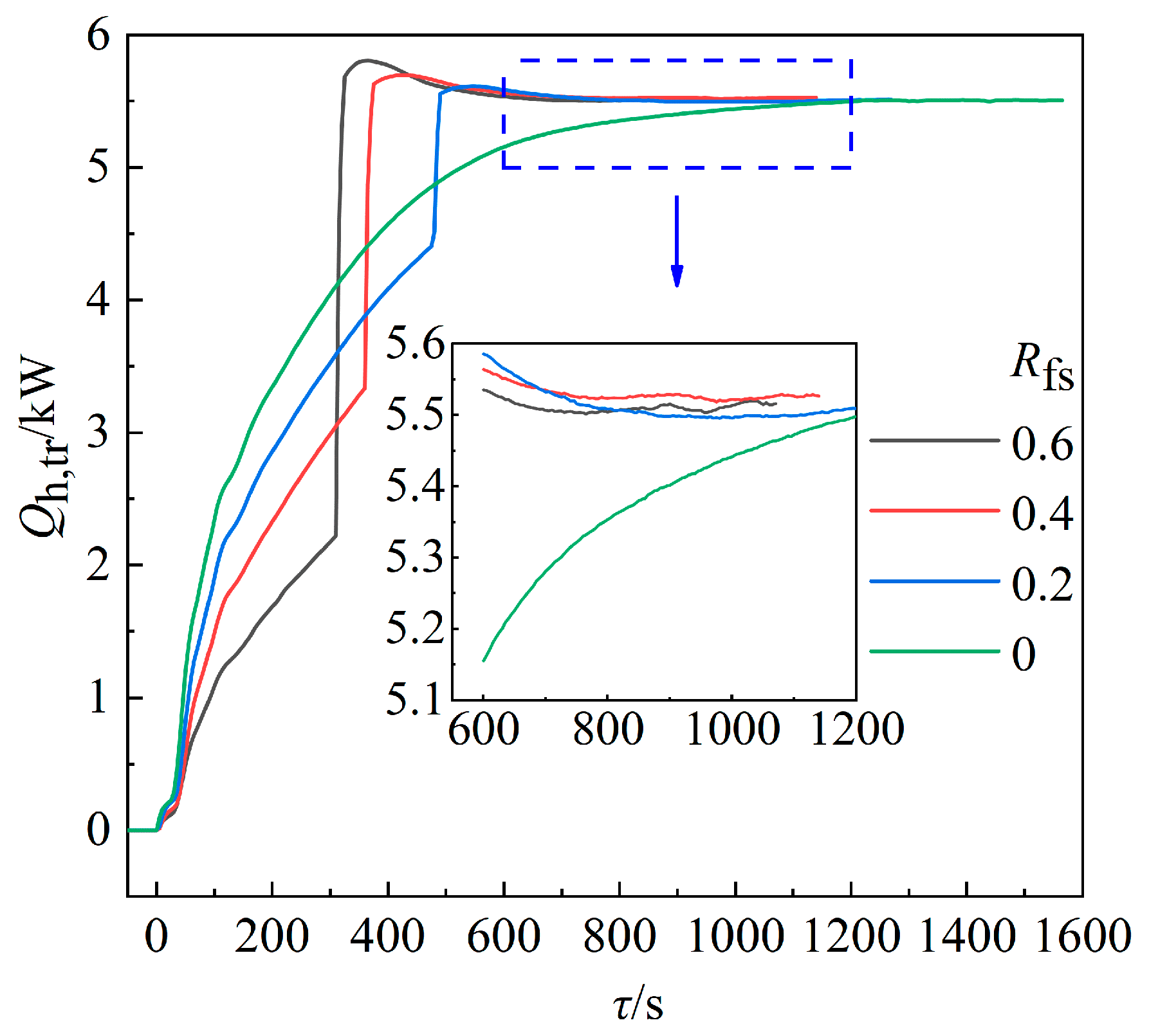
Figure 8 exhibits the effect of the FSR on the heating capacity during startup. For all three FSRs (0.2, 0.4, and 0.6), the heating capacity increased rapidly after the unit started, and then climbed approximately linearly after the flow step and obtained the maximum values of 5.614 kW, 5.698 kW, and 5.805 kW at 545 s, 420 s, and 365 s, respectively, and then decreased slowly to the steady state. The change rule of heating capacity in the early stages of the conventional startup and quick startup tended to be the same, while there was a different trend of change after the flow rate step. The reason for the increase in heating capacity after the flow step was the instantaneous increase in heat sink flow. At the same FSR, the occurrence time of maximum heating capacity was markedly delayed compared to the corresponding flow step time (see Figure 2), mainly because the higher discharge pressure obtained by the system over a long time after the flow step (see Figure 4a) allowed the heat sink to absorb more heat in the condenser, and the relatively complex heat transfer process resulted in more time being spent to complete the heat exchange in the condenser. Before the flow step, the heating capacity decreased markedly with the increase in the FSR, mainly because a larger FSR corresponded to a smaller heat sink flow before the flow step. As with the HSOT, the startup time for heating capacity was 880 s, 750 s, and 700 s for FSRs of 0.2, 0.4, and 0.6, respectively. This indicated that the startup time of heating capacity was markedly shortened with the increase in the FSR, and they were all markedly shorter than that of the conventional startup.

3.6. Variation of COPtr

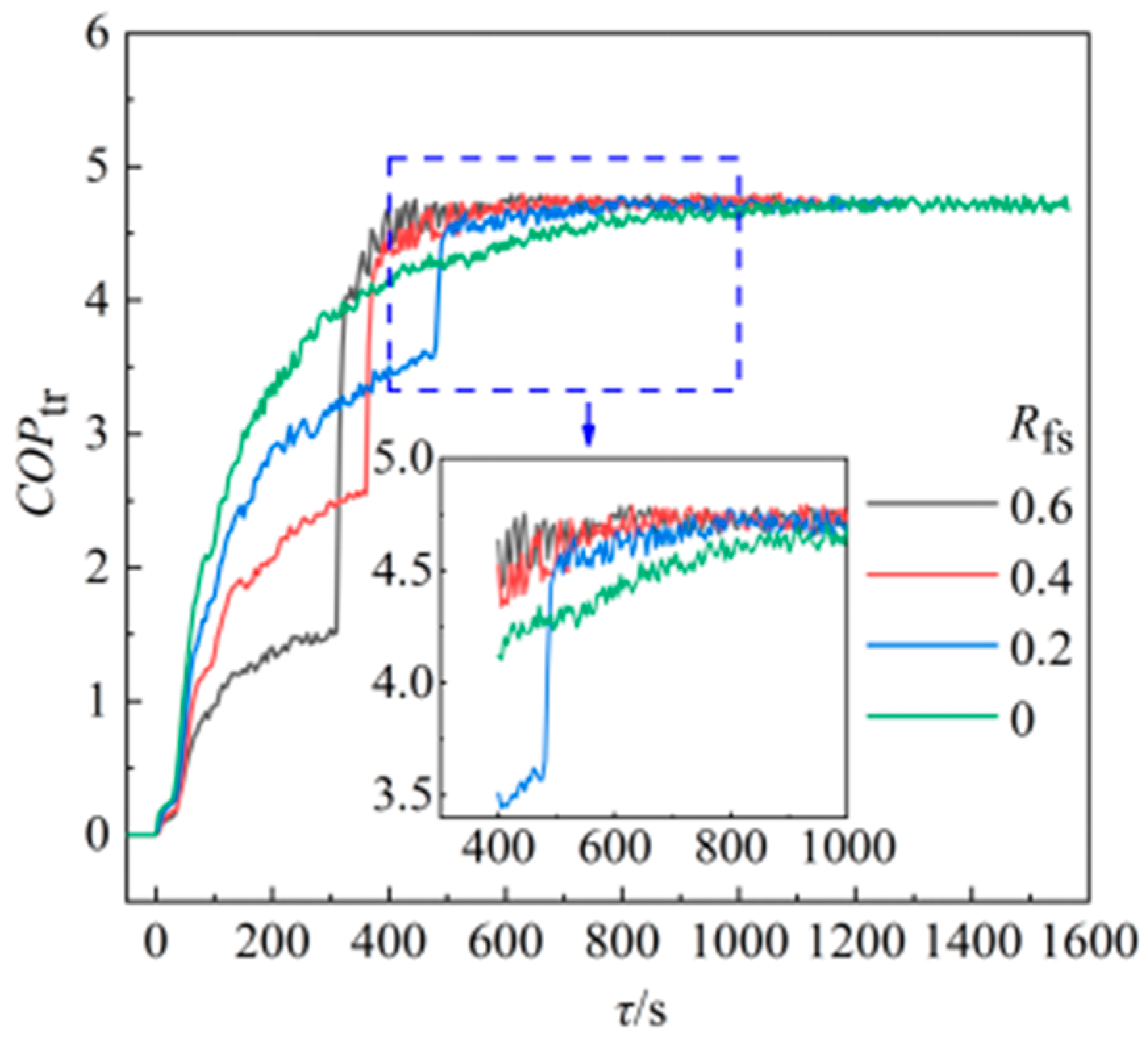
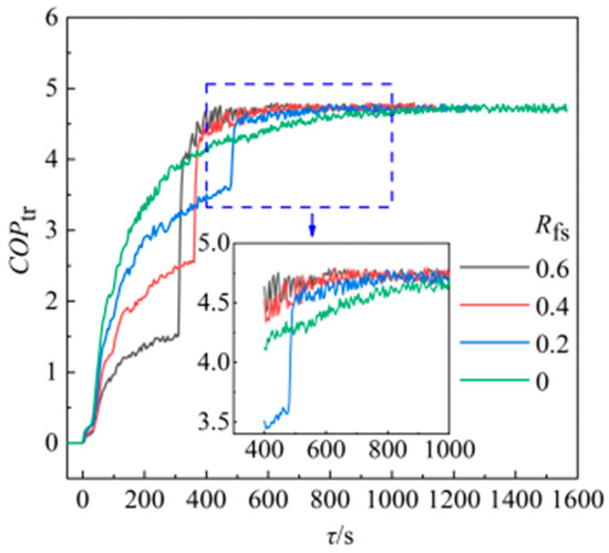
The transient variations of COPtr for different FSRs are given in Figure 9. As shown in the figure, for all three FSRs, COPtr generally presented a rapid rise after the unit startup, then a steep climb after the flow step, and finally a moderate rise to a steady state change. Similar trends were seen in COPtr at the start of conventional and quick startup, but completely distinct trends were seen after the flow step. Before the flow step, COPtr markedly decreased with the increase in the FSR, mainly because a larger FSR corresponded to a smaller heat sink flow before the flow step, and the smaller the corresponding heating capacity (see Figure 8). Compared to conventional startup, the system obtained a significantly lower COPtr before the flow step and a significantly higher COPtr for a longer period of time after the flow step. The startup time of COPtr was the same as that of the corresponding heating capacity for FSRs of 0.2, 0.4, and 0.6 (see Figure 8), and all of them obtained significantly shorter startup times compared to that of the conventional startup.
This study verified the feasibility of the rapid startup method of IHPWHs based on the active control of the heat sink flow step under nominal conditions, and found that the existence of an optimal FSR enabled the IHPWH system to quickly start and quickly produce usable domestic hot water, thus markedly improving the user’s satisfaction. However, the system obtained a lower COPtr before the flow step. Therefore, the new quick start method proposed in this study has high theoretical guiding significance and practical application value. The following research work mainly includes: (1) The feasibility and characteristics of the rapid start of IHPWH based on active control of the heat sink flow step under varying working conditions will be studied, aiming at further verifying the reliability of realizing the rapid start of IHPWH by using active control of the heat sink flow step and proposing the optimal control method of the flow step; (2) The influence of the refrigerant migration control strategy on the quick startup characteristics of IHPWHs will be studied, aiming to propose a reliable rapid startup method of IHPWHs based on active control of refrigerant migration.

4. Conclusions

In this paper, the effect of the FSR on the startup performance of the IHPWH system with natural mixture M under nominal conditions was studied experimentally, aiming to verify the feasibility of using the method of active control flow step to realize the quick start of the system and the rapid production of usable domestic hot water. The variations of the HSOT, refrigerant pressures and refrigerant temperatures at critical locations, heating capacity, and COPtr of the system during the startup were compared and discussed under different FSRs. The following conclusions were drawn.
The startup times of the startup performance parameters decreased rapidly as the FSR increased, but excessive FSR could endanger the safe operation of the system. Compared to the conventional startup, under three FSRs, the HSOT, high-pressure side pressures, discharge temperature, heating capacity, and COPtr obtained markedly shorter startup times, while other system performance parameters obtained markedly longer startup times. The existence of an optimal FSR of 0.6 enabled the system to obtain the shortest system startup time and available hot water supply time of 700 s and 250 s, respectively, which were shortened by 42.86% and 46.24% compared with those (1225 s and 465 s) in the conventional startup. The method of actively controlling the heat sink flow step can realize the rapid startup of the system and the rapid production of usable domestic hot water, which can markedly reduce the waiting time of users and improve the satisfaction of users.
Compared with the conventional startup process, the flow step had no marked influence on the change trends of discharge temperature and condenser outlet temperature, but had a marked influence on the change trends of other system performance parameters. The HSOT had the slow cooling section in the fast start processes, but there was no slow warming section. The HSOT, heating capacity, and high pressure-side pressures all had maximum values in fast starts, and their maximum values increased rapidly with the increase in FSR. The minimum suction pressure decreased slowly as the FSR increased, and the minimum suction pressures under three FSRs were slightly higher than that (0.4255 MPa) in the conventional start. The fluctuations of refrigerant pressures and refrigerant temperatures appeared in both rapid and conventional starts, which may be mainly caused by the significant change of refrigerant circulation concentration in the initial startup.

Author Contributions

Conceptualization, F.J. and G.L.; methodology, Z.M.; software, H.L.; validation, F.J. and X.F.; formal analysis, Q.L. and W.L.; investigation, L.H.; resources, F.J., G.L. and X.F.; data curation, Z.M.; writing—original draft preparation, F.J., Z.M. and L.H.; writing—review and editing, F.J. and Z.M.; supervision, F.J.; project administration, F.J.; funding acquisition, F.J., G.L. and X.F. All authors have read and agreed to the published version of the manuscript.

Funding

This work was sponsored by the Opening Funds of the State Key Laboratory of Building Safety and Built Environment and National Engineering Research Center of Building Technology (No. BSBE2020-8), the Henan Youth Science Foundation Project (No. 212300410317), the Henan Province Science and Technology Project (No. 222102320076), and the Zhongyuan University of Technology Youth Talent Innovation Ability Fund Project (No. K2020QN013).

Data Availability Statement

Data sharing is not applicable.

Conflicts of Interest

The authors declare no conflict of interest.

References

  1. United Nations Environment Programme. 2020 Global Status Report for Buildings and Construction: Towards a Zero-Emission, Efficient and Resilient Buildings and Construction Sector; United Nations Environment Programme: Nairobi, Kenya, 2020.
  2. Rendall, J.; Brechtl, J.; Nawaz, K.; Elatar, A.; Sun, J.; An, K.; Liu, X.L.; Asher, W. Experimental results of embedded phase change material capsules for increasing the performance of a wrapped heat pump water heater. Int. Commun. Heat Mass Transf. 2023, 145, 106806. [Google Scholar] [CrossRef]
  3. Čenejac, A.R.; Bjelaković, R.M.; Anđelković, A.S.; Đaković, D.D. Covering of heating load of object by using ground heat as a renewable energy source. Thermal. Sci. 2012, 16 (Suppl. S1), 225–235. [Google Scholar] [CrossRef]
  4. Liu, S.C.; Li, X.Q.; Song, M.J.; Li, H.L.; Sun, Z.L. Experimental investigation on drying performance of an existed enclosed fixed frequency air source heat pump drying system. Appl. Therm. Eng. 2018, 130, 735–744. [Google Scholar] [CrossRef]
  5. Sousa, G.; Robinson, D. Enhanced EnHub: Dynamic simulation of housing stock energy systems. J. Build. Perform. Simul. 2020, 13, 516–531. [Google Scholar] [CrossRef]
  6. Valencia-Cañola, S.; Bustamante, C.A.; Mira-Hernández, C.; Isaza-Roldán, C.A. Thermo-economical performance analysis of a direct-expansion solar heat-pump water heater driven by a photovoltaic array and the electrical grid in Medellín Colombia. Appl. Therm. Eng. 2023, 222, 119930. [Google Scholar] [CrossRef]
  7. Zhao, X.X.; He, Y.J.; Cheng, J.H.; Zhang, C.L. Long-term performance evaluation of CO2 heat pump water heater under different discharge pressure control strategies. Appl. Therm. Eng. 2023, 222, 119918. [Google Scholar] [CrossRef]
  8. Atasoy, E.; Çetin, B.; Bayer, Ö. Experiment-based optimization of an energy-efficient heat pump integrated water heater for household appliances. Energy 2022, 245, 123308. [Google Scholar] [CrossRef]
  9. Qu, M.L.; Yan, X.F.; Wang, H.Y.; Hei, Y.X.; Liu, H.Z.; Li, Z. Energy, exergy, economic and environmental analysis of photovoltaic/thermal integrated water source heat pump water heater. Renew. Energy 2022, 194, 1084–1097. [Google Scholar] [CrossRef]
  10. Wang, C.; Wu, J.H.; Lei, B.W.; Du, Y.J.; Li, J.B. Visualization study on the flow and migration characteristics of R290/PAG oil in a room air conditioner during startup and defrosting processes. Int. J. Refrig. 2023, in press. [Google Scholar] [CrossRef]
  11. Wu, J.H.; Li, J.B.; Wang, C.; Du, Y.J.; Chen, R. Effects of system control strategies on startup characteristics of R290 room air conditioners. Appl. Therm. Eng. 2020, 172, 115166. [Google Scholar] [CrossRef]
  12. Zhang, D.; Su, X.Y.; Liu, P.F.; Hui, B.; Hou, G.; Liu, C.Y.; Xu, B.R.; Zhang, T.; An, Z.J. Experiment study on startup characteristics and operation performance of PV/T solar assisted heat pump water heater system driven by direct current variable frequency compressor. Sol. Energy 2023, 111771. [Google Scholar] [CrossRef]
  13. Chen, J.Y.; Chen, L.X.; Li, J.J.; Chen, Y.; Luo, X.L.; Liang, Y.Z.; Yang, Z.; He, J.C. Potentials of implementing liquid-separation to a transient wrap-around microchannel condenser coil within heat pump water heater. Energy 2022, 254, 124261. [Google Scholar] [CrossRef]
  14. Zhao, Z.C.; Zhang, Y.R.; Mi, H.J.; Zhou, Y.M.; Zhang, Y. Experimental Research of a Water-Source Heat Pump Water Heater System. Energies 2018, 11, 1205. [Google Scholar] [CrossRef]
  15. Kong, X.Q.; Jiang, K.L.; Dong, S.D.; Li, Y.; Li, J.B. Control strategy and experimental analysis of a direct-expansion solar-assisted heat pump water heater with R134a. Energy 2018, 145, 17–24. [Google Scholar] [CrossRef]
  16. Jeong, J.; Lubis, A.; Saito, K.; Karng, S.; Kim, S.; Kim, K. Start-up behaviour of a combined air-conditioning system in cooling and heating operating modes. Energy Build. 2018, 158, 1346–1357. [Google Scholar] [CrossRef]
  17. Sevilgen, G.; Kilic, M.; Bayram, H.; Başak, E.; Dursun, H. The investigation of the innovative hybrid heat pump system designed and prototyped for heating process of electric vehicles. Alex. Eng. J. 2023, 68, 417–435. [Google Scholar] [CrossRef]
  18. Xu, Z.W.; Li, H.; Xu, W.; Shao, S.Q.; Wang, Z.C.; Gou, X.X.; Zhao, M.Y.; Li, J.D. Investigation on the efficiency degradation characterization of low ambient temperature air source heat pump under partial load operation. Int. J. Refrig. 2022, 133, 99–110. [Google Scholar] [CrossRef]
  19. Wang, C.; Wu, J.H.; Du, Y.J.; Li, J.B.; Du, W.Q. Experimental study on startup characteristics of a R290 room air conditioner under various ambient temperatures. Int. J. Refrig. 2020, 109, 37–44. [Google Scholar] [CrossRef]
  20. Zhang, L.; Dong, J.K.; Deng, S.M.; Yan, S. An experimental study on the starting characteristics of an improved radiant-convective air source heat pump system. Energy Build. 2020, 226, 110384. [Google Scholar] [CrossRef]
  21. Song, K.; Jeon, Y.; Park, K.; Kim, Y. Dynamic performance characteristics of R410A heat pump with consideration of energy efficiency and thermal comfort at various compressor frequencies and outdoor fan speeds. Appl. Therm. Eng. 2020, 165, 114499. [Google Scholar] [CrossRef]
  22. Feng, Y.; Wu, J.H.; Liang, Y.B. Improving the start-up performance of the vapor compression cycle by recovering the lost cooling energy in the accumulator. Appl. Therm. Eng. 2021, 195, 116942. [Google Scholar] [CrossRef]
  23. Liang, J.R.; Li, T.X. Detailed dynamic refrigerant migration characteristics in room air-conditioner with R290. Int. J. Refrig. 2018, 88, 108–116. [Google Scholar] [CrossRef]
  24. Yun, Y.C.; Chang, Y.S. Refrigerant charge prediction of vapor compression air conditioner based on start-up characteristics. Appl. Sci. 2021, 11, 1780. [Google Scholar] [CrossRef]
  25. Ju, F.J.; Fan, X.W.; Chen, Y.P.; Ouyang, H.P.; Kuang, A.M.; Ma, S.F.; Wang, F. Experiment and simulation study on performances of heat pump water heater using blend of R744/R290. Energy Build. 2018, 169, 148–156. [Google Scholar] [CrossRef]
  26. Ju, F.J.; Fan, X.W.; Chen, Y.P.; Wang, T.J.; Tang, X.Y.; Kuang, A.M.; Ma, S.F. Experimental investigation on a heat pump water heater using R744/R290 mixture for domestic hot water. Int. J. Therm. Sci. 2018, 132, 1–13. [Google Scholar] [CrossRef]
  27. GB/T 23137-2020; Heat Pump Water Heat for Household and Similar Application, General Administration of Quality Supervision, Inspection and Quarantine of the People’s Republic of China. Standardization Administration of the People’s Republic of China: Beijing, China, 2020.
  28. Wu, J.H.; Lin, J.; Zhang, Z.; Chen, Z.H.; Xie, J.; Lu, J. Experimental investigation on cold startup characteristics of a rotary compressor in the R290 air-conditioning system under cooling condition. Int. J. Refrig. 2016, 65, 209–217. [Google Scholar] [CrossRef]
  29. Li, J.B.; Deng, W.S.; Yan, G. Improving quick cooling performance of a R410A split air conditioner during startup by actively controlling refrigerant mass migration. Appl. Therm. Eng. 2018, 128, 141–150. [Google Scholar] [CrossRef]
  30. Kim, M.H.; Bullard, C.W. Dynamic characteristics of a R-410A split air-conditioning system. Int. J. Refrig. 2001, 24, 652–659. [Google Scholar] [CrossRef]
  31. Chi, J.; Didion, D. A simulation model of the transient performance of a heat pump. Int. J. Refrig. 1982, 5, 176–184. [Google Scholar] [CrossRef]
Figure 1. Schematic diagram of the test setup of IHPWH.
Figure 1. Schematic diagram of the test setup of IHPWH.
Energies 16 06145 g001
Figure 2. Transient variation of heat sink flow at different FSRs.
Figure 2. Transient variation of heat sink flow at different FSRs.
Energies 16 06145 g002
Figure 3. Transient variation of HSOT at different FSRs.
Figure 3. Transient variation of HSOT at different FSRs.
Energies 16 06145 g003
Figure 4. Transient variation of high-pressure side pressures at different FSRs. (a) Discharge pressure; (b) Condenser outlet pressure.
Figure 4. Transient variation of high-pressure side pressures at different FSRs. (a) Discharge pressure; (b) Condenser outlet pressure.
Energies 16 06145 g004
Figure 5. Transient variation of low-pressure side pressures at different FSRs. (a) Suction pressure; (b) Evaporator inlet pressure.
Figure 5. Transient variation of low-pressure side pressures at different FSRs. (a) Suction pressure; (b) Evaporator inlet pressure.
Energies 16 06145 g005
Figure 6. Transient variation of high-pressure side refrigerant temperatures at different FSRs. (a) Discharge temperature; (b) Condenser outlet temperature.
Figure 6. Transient variation of high-pressure side refrigerant temperatures at different FSRs. (a) Discharge temperature; (b) Condenser outlet temperature.
Energies 16 06145 g006
Figure 7. Transient variation of low-pressure side refrigerant temperatures at different FSRs. (a) Evaporator inlet temperatures; (b) Suction temperature.
Figure 7. Transient variation of low-pressure side refrigerant temperatures at different FSRs. (a) Evaporator inlet temperatures; (b) Suction temperature.
Energies 16 06145 g007
Figure 8. Transient variation of heating capacity at different FSRs.
Figure 8. Transient variation of heating capacity at different FSRs.
Energies 16 06145 g008
Figure 9. Transient variation of COPtr at different FSRs.
Figure 9. Transient variation of COPtr at different FSRs.
Energies 16 06145 g009
Table 1. Detailed structural dimensions of the heat exchangers.
Table 1. Detailed structural dimensions of the heat exchangers.
Heat ExchangerOuter TubeInner Tube
Outer
Diameter/mm
Inner
Diameter/mm
Outer
Diameter/mm
Inner
Diameter/mm
Condenser16139.527.92
Evaporator222012.711.2
Table 2. Main performance of the measurement instrument.
Table 2. Main performance of the measurement instrument.
Measuring InstrumentsScopePrecision
Pt100−200~650 °C0.1 °C
T-Type thermocouple−200~350 °C0.3 °C
Pressure transducer0~4.0 MPa0.04%
Pressure transducer0~2.0 MPa0.04%
Power transducer0~3.0 kW0.5%
Mass flow meter0~140 kg/h0.1%
Electromagnetic flow meter0~160 kg/h0.2%
Electromagnetic flow meter0~1080 kg/h0.25%
Disclaimer/Publisher’s Note: The statements, opinions and data contained in all publications are solely those of the individual author(s) and contributor(s) and not of MDPI and/or the editor(s). MDPI and/or the editor(s) disclaim responsibility for any injury to people or property resulting from any ideas, methods, instructions or products referred to in the content.

Share and Cite

MDPI and ACS Style

Ju, F.; Mu, Z.; Li, G.; Hou, L.; Fan, X.; Liu, H.; Liu, Q.; Liu, W. Experimental Study on the Feasibility of Quick Startup of Instant Heat Pump Water Heaters Based on Active Control of Heat Sink Flow Step. Energies 2023, 16, 6145. https://doi.org/10.3390/en16176145

AMA Style

Ju F, Mu Z, Li G, Hou L, Fan X, Liu H, Liu Q, Liu W. Experimental Study on the Feasibility of Quick Startup of Instant Heat Pump Water Heaters Based on Active Control of Heat Sink Flow Step. Energies. 2023; 16(17):6145. https://doi.org/10.3390/en16176145

Chicago/Turabian Style

Ju, Fujun, Zhenzhen Mu, Guozhu Li, Lihao Hou, Xiaowei Fan, Hongtao Liu, Qinglei Liu, and Wenbo Liu. 2023. "Experimental Study on the Feasibility of Quick Startup of Instant Heat Pump Water Heaters Based on Active Control of Heat Sink Flow Step" Energies 16, no. 17: 6145. https://doi.org/10.3390/en16176145

APA Style

Ju, F., Mu, Z., Li, G., Hou, L., Fan, X., Liu, H., Liu, Q., & Liu, W. (2023). Experimental Study on the Feasibility of Quick Startup of Instant Heat Pump Water Heaters Based on Active Control of Heat Sink Flow Step. Energies, 16(17), 6145. https://doi.org/10.3390/en16176145

Note that from the first issue of 2016, this journal uses article numbers instead of page numbers. See further details here.

Article Metrics

Back to TopTop