Carbon Sequestration in Remediated Post-Mining Soils: A New Indicator for the Vertical Soil Organic Carbon Variability Evaluation in Remediated Post-Mining Soils
Abstract
1. Introduction
2. Materials and Methods
2.1. In Situ Analyses
2.2. Soil Physico-Chemical Properties
2.3. TC, SOC, LOI, POXC
- Total C—Polish standard PN-ISO 10694:2002 [62] (after dry combustion);
- Soil Organic Carbon—Tyurin method with K2Cr2O7 as an oxidant for organic compounds from the soil [63];
- Loss of ignition (LOI)—Krogstad method [64];
- The active carbon was determined as a permanganate oxidizable organic carbon (POXC) with Weil et al. [65] method.
2.4. Microbiology, Enzyme Activity and GRSP Analysis
2.5. Statistical Analysis
3. Results
3.1. Physico-Chemical Soil Properties
3.2. CO2 Emissiones
3.3. Biological Properties
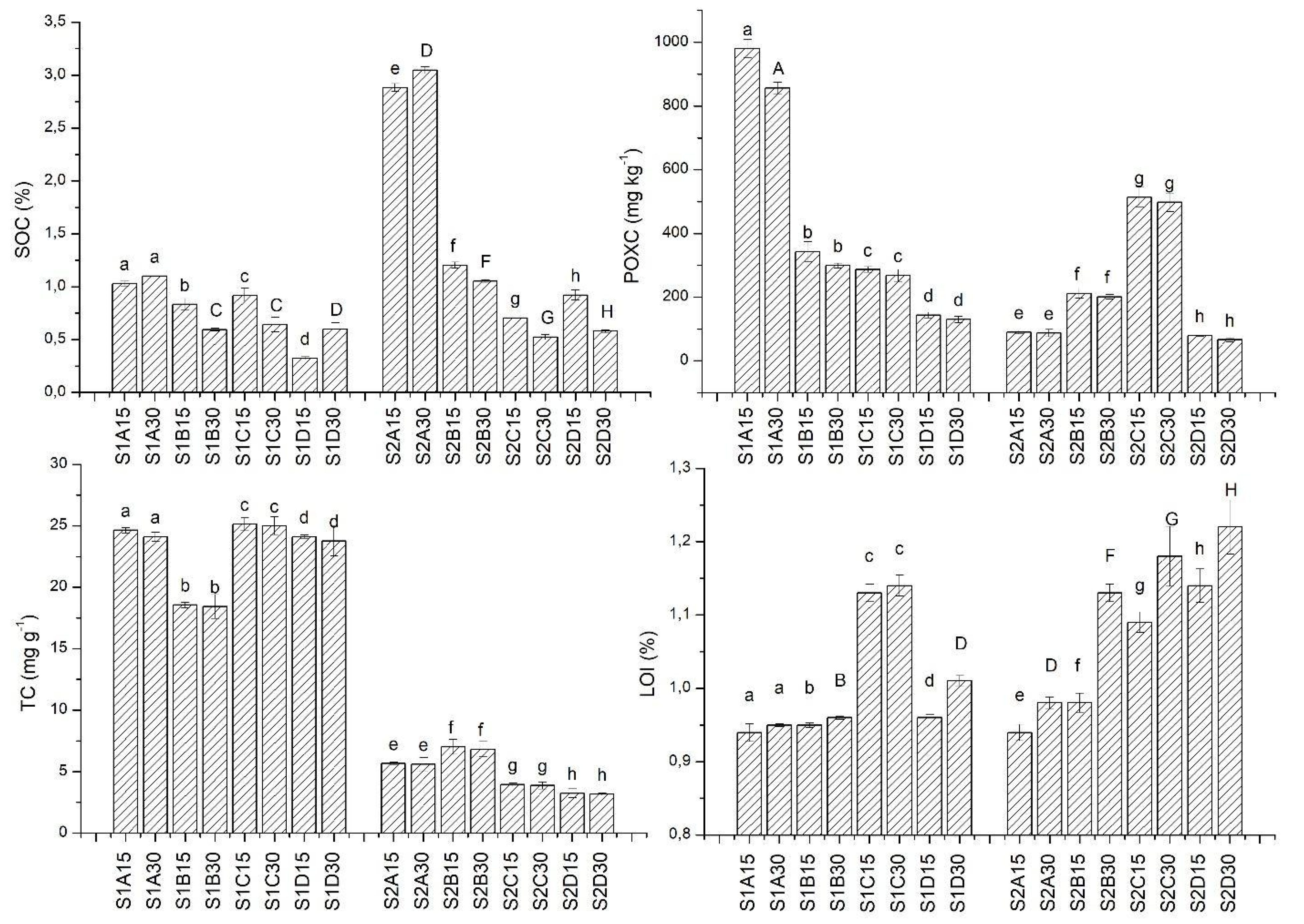
3.4. Soil Carbon Pool
3.5. Heterogeneity of SOC Composition
3.6. SOC Stability
3.7. Model for Estimation of a Vertical Variability of SOC in Post-Mining Soils
3.8. Mathematical Validation of Models
4. Discussion
4.1. Physicochemical Fluctuation in Top Layer and Sublayer of Post-Mining Remediated Soil with Remediation Age
4.2. The Impact of the Use of Sewage Sludge and Its Non-Use in Remediation on CO2 Emission
4.3. Effect of Initial Application of Sewage Sludge and Its Non-Application on Biochemical Soil Features
4.4. Effects of Remediation Type on Ecosystem Carbon Pool in the Top Layer and Sublayer
4.5. Stablity of Sequestred SOC
4.6. Estimation of Vertical Stability of SOC during Post-Mining Soil Remediation
5. Conclusions
Author Contributions
Funding
Data Availability Statement
Conflicts of Interest
References
- Yang, K.; Wang, S.; Cao, Y.; Li, S.; Zhou, W.; Liu, S.; Bai, Z. Ecological Restoration of a Loess Open-Cast Mining Area in China: Perspective from an Ecological Security Pattern. Forests 2022, 13, 269. [Google Scholar] [CrossRef]
- Ahirwal, J.; Kumar, A.; Maiti, S.K. Effect of fast-growing trees on soil properties and carbon storage in an afforested coal mine land (India). Minerals 2020, 10, 840. [Google Scholar] [CrossRef]
- Li, W.; Younger, P.L.; Cheng, Y.; Zhang, B.; Zhou, H.; Liu, Q.; Yang, Q. Addressing the CO2 emissions of the world’s largest coal producer and consumer: Lessons from the Haishiwan Coalfield, China. Energy 2015, 80, 400–413. [Google Scholar] [CrossRef]
- Ahirwal, J.; Maiti, S.K.; Singh, A.K. Changes in ecosystem carbon pool and soil CO2 emission following post-mine reclamation in dry tropical environment, India. Sci. Total. Environ. 2017, 583, 153–162. [Google Scholar] [CrossRef] [PubMed]
- Huang, X.; Jia, Z.; Guo, J.; Li, T.; Sun, D.; Meng, H.; Shen, Q. Ten-year long-term organic fertilization enhances carbon sequestration and calcium-mediated stabilization of aggregate-associated organic carbon in a reclaimed Cambisol. Geoderma 2019, 355, 113880. [Google Scholar] [CrossRef]
- Yao, S. Characteristics and Mechanism Analysis of Impacts of Different Land Management Types on Soil Carbon Sequestration. J. Phys. Conf. Ser. 2020, 1549, 022123. [Google Scholar] [CrossRef]
- Placek-Lapaj, A.; Grobelak, A.; Fijalkowski, K.; Singh, B.R.; Almås, Å.R.; Kacprzak, M. Post–Mining soil as carbon storehouse under polish conditions. J. Environ. Manag. 2019, 238, 307–314. [Google Scholar] [CrossRef]
- Myszura-Dymek, M.; Żukowska, G. The Influence of Sewage Sludge Composts on the Enzymatic Activity of Reclaimed Post-Mining Soil. Sustainability 2023, 15, 4749. [Google Scholar] [CrossRef]
- Festin, E.S.; Tigabu, M.; Chileshe, M.N.; Syampungani, S.; Odén, P.C. Progresses in restoration of post-mining landscape in Africa. J. For. Res. 2019, 30, 381–396. [Google Scholar] [CrossRef]
- Reuter, R. Sewage sludge as an organic amendment for reclaiming surface mine wastes. Restor. Reclam. Rev. 1997, 2, 1–6. [Google Scholar]
- Pratama, M.R.; Mansur, I.; Rusdiana, O. Mining Sludge Utilization as Medium Growth for Revegetation Plants through Seed Germination Test. J. Sylva Lestari 2023, 11, 22–36. [Google Scholar] [CrossRef]
- Narendra, B.H.; Siregar, C.A.; Turjaman, M.; Hidayat, A.; Rachmat, H.H.; Mulyanto, B.; Susilowati, A. Managing and reforesting degraded post-mining landscape in Indonesia: A Review. Land 2021, 10, 658. [Google Scholar]
- Dement, W.T.; Hackworth, Z.J.; Lhotka, J.M.; Barton, C.D. Plantation development and colonization of woody species in response to post-mining spoil preparation methods. New Forests 2020, 51, 965–984. [Google Scholar] [CrossRef]
- Pietrzykowski, M. Tree species selection and reaction to mine soil reconstructed at reforested post-mine sites: Central and eastern European experiences. Ecol. Eng. 2019, 142, 100012. [Google Scholar] [CrossRef]
- Shao, P.; Liang, C.; Lynch, L.; Xie, H.; Bao, X. Reforestation accelerates soil organic carbon accumulation: Evidence from microbial biomarkers. Soil Biol. Biochem. 2019, 131, 182–190. [Google Scholar] [CrossRef]
- Xu, H.; Qu, Q.; Chen, Y.; Liu, G.; Xue, S. Responses of soil enzyme activity and soil organic carbon stability over time after cropland abandonment in different vegetation zones of the Loess Plateau of China. Catena 2021, 196, 104812. [Google Scholar] [CrossRef]
- Hao, M.; Hu, H.; Liu, Z.; Dong, Q.; Sun, K.; Feng, Y.; Ning, T. Shifts in microbial community and carbon sequestration in farmland soil under long-term conservation tillage and straw returning. Appl. Soil Ecol. 2019, 136, 43–54. [Google Scholar] [CrossRef]
- Jensen, J.L.; Schjønning, P.; Watts, C.W.; Christensen, B.T.; Peltre, C.; Munkholm, L.J. Relating soil C and organic matter fractions to soil structural stability. Geoderma 2019, 337, 834–843. [Google Scholar] [CrossRef]
- Chappell, A.; Webb, N.P.; Leys, J.F.; Waters, C.M.; Orgill, S.; Eyres, M.J. Minimising soil organic carbon erosion by wind is critical for land degradation neutrality. Environ. Sci. Policy 2019, 93, 43–52. [Google Scholar] [CrossRef]
- Cissé, G.; Essi, M.; Kedi, B.; Mollier, A.; Staunton, S. Contrasting effects of long term phosphorus fertilization on glomalin-related soil protein (GRSP). Eur. J. Soil Biol. 2021, 107, 103363. [Google Scholar] [CrossRef]
- Tan, Q.; Guo, Q.; Wei, R.; Zhu, G.; Du, C.; Hu, H. Influence of arbuscular mycorrhizal fungi on bioaccumulation and bioavailability of As and Cd: A meta-analysis. Environ. Pollut. 2022, 316, 120619. [Google Scholar] [CrossRef] [PubMed]
- Liu, H.; Wang, X.; Liang, C.; Ai, Z.; Wu, Y.; Xu, H.; Liu, G. Glomalin-related soil protein affects soil aggregation and recovery of soil nutrient following natural revegetation on the Loess Plateau. Geoderma 2020, 357, 113921. [Google Scholar] [CrossRef]
- Wang, H.; Liu, H.; Yang, T.; Lv, G.; Li, W.; Chen, Y.; Wu, D. Mechanisms underlying the succession of plant rhizosphere microbial community structure and function in an alpine open-pit coal mining disturbance zone. J. Environ. Manag. 2023, 325, 116571. [Google Scholar] [CrossRef] [PubMed]
- Daraz, U.; Li, Y.; Ahmad, I.; Iqbal, R.; Ditta, A. Remediation technologies for acid mine drainage: Recent trends and future perspectives. Chemosphere 2022, 311, 137089. [Google Scholar] [CrossRef] [PubMed]
- Xiang, L.; Harindintwali, J.D.; Wang, F.; Redmile-Gordon, M.; Chang, S.X.; Fu, Y.; Xing, B. Integrating biochar, bacteria, and plants for sustainable remediation of soils contaminated with organic pollutants. Environ. Sci. Technol. 2022, 56, 16546–16566. [Google Scholar] [CrossRef]
- Erdel, E.; Şimşek, U.; Kesimci, T.G. Effects of Fungi on Soil Organic Carbon and Soil Enzyme Activity under Agricultural and Pasture Land of Eastern Türkiye. Sustainability 2023, 15, 1765. [Google Scholar] [CrossRef]
- Lin, J.; Ma, K.; Chen, H.; Chen, Z.; Xing, B. Influence of different types of nanomaterials on soil enzyme activity: A global meta-analysis. Nano Today 2022, 42, 101345. [Google Scholar] [CrossRef]
- Zhang, C.; Zhao, Z.; Li, F.; Zhang, J. Effects of Organic and Inorganic Fertilization on Soil Organic Carbon and Enzymatic Activities. Agronomy 2022, 12, 125. [Google Scholar] [CrossRef]
- Wu, J.; Wang, H.; Li, G.; Ma, W.; Wu, J.; Gong, Y.; Xu, G. Vegetation degradation impacts soil nutrients and enzyme activities in wet meadow on the Qinghai-Tibet Plateau. Sci. Rep. 2020, 10, 21271. [Google Scholar] [CrossRef]
- Siman, F.C.; Andrade, F.V.; Passos, R.R.; Littig, M.; Machado, F.D.O. Nitrogen Fertilizers and Volatilization of Ammonia, Carbonic Gas Emissions and Urease Activity. Commun. Soil Sci. Plant Anal. 2022, 53, 426–438. [Google Scholar] [CrossRef]
- Brkljača, M.; Kulišić, K.; Andersen, B. Soil dehydrogenase activity and organic carbon as affected by management system. Agric. Conspec. Sci. 2019, 84, 135–142. [Google Scholar]
- Li, Z.; Li, D.; Ma, L.; Yu, Y.; Zhao, B.; Zhang, J. Effects of straw management and nitrogen application rate on soil organic matter fractions and microbial properties in North China Plain. J. Soils Sediments. 2019, 19, 618–628. [Google Scholar] [CrossRef]
- Campos, J.A.; Peco, J.D.; Garcia-Noguero, E. Antigerminative comparison between naturally occurring naphthoquinones and commercial pesticides. Soil dehydrogenase activity used as bioindicator to test soil toxicity. Sci. Total Environ. 2019, 694, 133672. [Google Scholar] [CrossRef] [PubMed]
- Karimi, A.; Moezzi, A.; Chorom, M.; Enayatizamir, N. Application of biochar changed the status of nutrients and biological activity in a calcareous soil. J. Soil Sci. Plant Nutr. 2020, 20, 450–459. [Google Scholar] [CrossRef]
- Kuzyakov, Y.; Horwath, W.R.; Dorodnikov, M.; Blagodatskaya, E. Review and synthesis of the effects of elevated atmospheric CO2 on soil processes: No changes in pools, but increased fluxes and accelerated cycles. Soil Biol. Biochem. 2019, 128, 66–78. [Google Scholar] [CrossRef]
- Li, Y.; Liu, Y.; Bohrer, G.; Cai, Y.; Wilson, A.; Hu, T.; Zhao, K. Impacts of forest loss on local climate across the conterminous United States: Evidence from satellite time-series observations. Sci. Total Environ. 2022, 802, 149651. [Google Scholar] [CrossRef]
- Hoffland, E.; Kuyper, T.W.; Comans, R.N.; Creamer, R.E. Eco-functionality of organic matter in soils. Plant Soil 2020, 455, 1–22. [Google Scholar] [CrossRef]
- Rao, D.L.N.; Aparna, K.; Mohanty, S.R. Microbiology and biochemistry of soil organic matter, carbon sequestration and soil health. Indian J. Fertil. 2019, 15, 124–138. [Google Scholar]
- Kumar, S.; Singh, A.K.; Ghosh, P. Distribution of soil organic carbon and glomalin related soil protein in reclaimed coal mine-land chronosequence under tropical condition. Sci. Total Environ. 2018, 625, 1341–1350. [Google Scholar] [CrossRef] [PubMed]
- Pulleman, M.; Wills, S.; Creamer, R.; Dick, R.; Ferguson, R.; Hooper, D.; Margenot, A.J. Soil mass and grind size used for sample homogenization strongly affect permanganate-oxidizable carbon (POXC) values, with implications for its use as a national soil health indicator. Geoderma 2021, 383, 114742. [Google Scholar] [CrossRef]
- Culman, S.W.; Snapp, S.S.; Freeman, M.A.; Schipanski, M.E.; Beniston, J.; Lal, R.; Wander, M.M. Permanganate oxidizable carbon reflects a processed soil fraction that is sensitive to management. Soil Sci. Soc. Am. J. 2012, 76, 494–504. [Google Scholar] [CrossRef]
- Cotrufo, M.F.; Lavallee, J.M. Soil organic matter formation, persistence, and functioning: A synthesis of current understanding to inform its conservation and regeneration. Adv. Agron. 2022, 172, 1–66. [Google Scholar]
- Wang, C.; Qu, L.; Yang, L.; Liu, D.; Morrissey, E.; Miao, R.; Bai, E. Large-scale importance of microbial carbon use efficiency and necromass to soil organic carbon. Glob. Chang. Biol. 2021, 27, 2039–2048. [Google Scholar] [CrossRef]
- He, Y.T.; He, X.H.; Xu, M.G.; Zhang, W.J.; Yang, X.Y.; Huang, S.M. Long-term fertilization increases soil organic carbon and alters its chemical composition in three wheat-maize cropping sites across central and south China. Soil Tillage Res. 2018, 177, 79–87. [Google Scholar] [CrossRef]
- Wu, J.; Deng, Q.; Hui, D.; Xiong, X.; Zhang, H.; Zhao, M.; Zhang, D. Reduced lignin decomposition and enhanced soil organic carbon stability by acid rain: Evidence from 13C isotope and 13C NMR analyses. Forests 2020, 11, 1191. [Google Scholar] [CrossRef]
- Glasser, W.G. About making lignin great again—Some lessons from the past. Front. Chem. 2019, 7, 565. [Google Scholar] [CrossRef]
- Yang, F.; Antonietti, M. The sleeping giant: A polymer View on humic matter in synthesis and applications. Prog. Polym. Sci. 2020, 100, 101182. [Google Scholar] [CrossRef]
- An, Z.; Bernard, G.M.; Ma, Z.; Plante, A.F.; Michaelis, V.K.; Bork, E.W.; Chang, S.X. Forest land-use increases soil organic carbon quality but not its structural or thermal stability in a hedgerow system. Agric. Ecosyst. Environ. 2021, 321, 107617. [Google Scholar] [CrossRef]
- Kowalska, A.; Kucbel, M.; Grobelak, A. Potential and Mechanisms for Stable C Storage in the Post-Mining Soils under Long-Term Study in Mitigation of Climate Change. Energies 2021, 14, 7613. [Google Scholar] [CrossRef]
- Dignac, M.F.; Derrien, D.; Barre, P.; Barot, S.; Cécillon, L.; Chenu, C.; Basile-Doelsch, I. Increasing soil carbon storage: Mechanisms, effects of agricultural practices and proxies. A review. Agron. Sustain. Dev. 2017, 37, 14. [Google Scholar] [CrossRef]
- Soucémarianadin, L.N.; Cécillon, L.; Guenet, B.; Chenu, C.; Baudin, F.; Nicolas, M.; Barré, P. Environmental factors controlling soil organic carbon stability in French forest soils. Plant Soil 2018, 426, 267–286. [Google Scholar] [CrossRef]
- Gao, Q.; Ma, L.; Fang, Y.; Zhang, A.; Li, G.; Wang, J.; Du, Z. Conservation tillage for 17 years alters the molecular composition of organic matter in soil profile. Sci. Total Environ. 2021, 762, 143116. [Google Scholar] [CrossRef]
- Lützow, M.V.; Kögel-Knabner, I.; Ekschmitt, K.; Matzner, E.; Guggenberger, G.; Marschner, B.; Flessa, H. Stabilization of organic matter in temperate soils: Mechanisms and their relevance under different soil conditions–a review. Eur. J. Soil Sci. 2006, 57, 426–445. [Google Scholar] [CrossRef]
- Helfrich, M.; Ludwig, B.; Buurman, P.; Flessa, H. Effect of land use on the composition of soil organic matter in density and aggregate fractions as revealed by solid-state 13C NMR spectroscopy. Geoderma 2006, 136, 331–341. [Google Scholar] [CrossRef]
- Ohm, H.; Hamer, U.; Marschner, B. Priming effects in soil size fractions of a podzol Bs horizon after addition of fructose and alanine. J. Plant. Nutr. Soil Sci. 2007, 170, 551–559. [Google Scholar] [CrossRef]
- Ministry of the Environment. Regulation of the Minister of the Environment of 6 February 2015 on Municipal Sewage Sludge; Dz.U. 2015 poz. 257; Ministry of the Environment: Warsaw, Poland, 2015. [Google Scholar]
- Ministry of the Environment. Regulation of the Minister of the Environment of 13 July 2010 on Municipal Sewage Sludge; Dz.U. 2010 nr 137 poz. 924; Ministry of the Environment: Warsaw, Poland, 2010. [Google Scholar]
- Ministry of the Environment. Regulation of the Minister of the Environment of 1 August 2005 on Municipal Sewage Sludge; Dz.U. 2002 nr 134 poz. 1140; Ministry of the Environment: Warsaw, Poland, 2005. [Google Scholar]
- Kowalska, A.; Singh, B.R.; Grobelak, A. Carbon Footprint for Post-Mining Soils: The Dynamic of Net CO2 Fluxes and SOC Sequestration at Different Soil Remediation Stages under Reforestation. Energies 2022, 15, 9452. [Google Scholar] [CrossRef]
- Kobierski, M.; Kondratowicz-Maciejewska, K.; Banach-Szott, M.; Wojewódzki, P.; Peñas Castejón, J.M. Humic substances and aggregate stability in rhizospheric and non-rhizospheric soil. J. Soils Sediments 2018, 18, 2777–2789. [Google Scholar] [CrossRef]
- Karczewska, A.; Kabała, C. Metodyka analiz laboratoryjnych gleb i roślin. In Metodyka Obowiązująca w Laboratoriach Zakładu; Ochrony Środowiska INGOŚ: Wrocław, Poland, 2008. [Google Scholar]
- PN-ISO 10694:2002; Soil Quality—Determination of Organic Carbon and Total Carbon after Dry Combustion (Elemental Analysis). Polish Committee for Standardization: Warszawa, Poland, 2002.
- FAO. Standard Operating Procedure for Soil Organic Carbon: Tyurin Spectrophotometric Method; FAO: Rome, Italy, 2021. [Google Scholar]
- Krogstad, T. Methods for Soil Analysis; NLH Report No. 6; Institutt for Jordfag, Norwegian University of Life Sciences: Ås, Norway, 1992. [Google Scholar]
- Weil, R.R. Estimating active carbon for soil quality assessment: A simplified method for laboratory and field use. Am. J. Altern. Agric. 2003, 18, 3–17. [Google Scholar]
- Casida, L.E., Jr.; Donald, A.K.; Santoro, T. Soil dehydrogenase activity. Soil Sci. 1964, 98, 371–376. [Google Scholar] [CrossRef]
- Guan, S.Y.; Desheng, Z.; Zhiming, Z. Soil Enzyme and Its Research Methods; Chinese Agricultural Press: Bejing, China, 1986; pp. 274–297. [Google Scholar]
- Wright, S.F.; Franke-Snyder, M.; Morton, J.B.; Upadhyaya, A. Time-course study and partial characterization of a protein on hyphae of arbuscular mycorrhizal fungi during active colonization of roots. Plant Soil. 1996, 181, 193–203. [Google Scholar] [CrossRef]
- Bradford, M.M. A rapid and sensitive method for the quantitation of microgram quantities of protein utilizing the principle of protein-dye binding. Anal. Biochem. 1976, 72, 248–254. [Google Scholar] [CrossRef] [PubMed]
- Ngole-Jeme, V.M. Fire-induced changes in soil and implications on soil sorption capacity and remediation methods. Appl. Sci. 2019, 9, 3447. [Google Scholar] [CrossRef]
- Jin, Y.; Luan, Y.; Ning, Y.; Wang, L. Effects and mechanisms of microbial remediation of heavy metals in soil: A critical review. Appl. Sci. 2018, 8, 1336. [Google Scholar] [CrossRef]
- Joniec, J.; Oleszczuk, P.; Jezierska-Tys, S.; Kwiatkowska, E. Effect of reclamation treatments on microbial activity and phytotoxicity of soil degraded by the sulphur mining industry. Environ. Pollut. 2019, 252, 1429–1438. [Google Scholar] [CrossRef]
- Delibacak, S.; Voronina, L.; Morachevskaya, E. Use of sewage sludge in agricultural soils: Useful or harmful. Eurasian J. Soil Sci. 2020, 9, 126–139. [Google Scholar] [CrossRef]
- Elsalam, H.E.A.; El-Sharnouby, M.E.; Mohamed, A.E.; Raafat, B.M.; El-Gamal, E.H. Effect of sewage sludge compost usage on corn and faba bean growth, carbon and nitrogen forms in plants and soil. Agronomy 2021, 11, 628. [Google Scholar] [CrossRef]
- López-Tercero, A.M.; Andrade, M.L.; Purificación, M. Organic nitrogen mineralization rate in sewage sludge-amended mine soil. Commun. Soil Sci. Plant Anal. 2005, 36, 1005–1019. [Google Scholar] [CrossRef]
- Bai, Y.; Cotrufo, M.F. Grassland soil carbon sequestration: Current understanding, challenges, and solutions. Science 2022, 377, 603–608. [Google Scholar] [CrossRef]
- Singh, P.; Ghosh, A.K.; Kumar, S.; Kumar, M.; Sinha, P.K. Influence of input litter quality and quantity on carbon storage in post-mining forest soil after 14 years of reclamation. Ecol. Eng. 2022, 178, 106575. [Google Scholar] [CrossRef]
- Cui, J.; Lam, S.K.; Xu, S.; Lai, D.Y.F. The response of soil-atmosphere greenhouse gas exchange to changing plant litter inputs in terrestrial forest ecosystems. Sci. Total Environ. 2022, 824, 155995. [Google Scholar] [CrossRef]
- Da Silva, W.R.; Fracetto, G.G.M.; Fracetto, F.J.C.; da Silva, Y.J.A.V.; de Souza, A.A.B.; do Nascimento, C.W.A. The Stabilization Method of Sewage Sludge Affects Soil Microbial Attributes and Boosts Soil P Content and Maize Yield in a Sludge-Amended Soil in the Field. J. Soil Sci. Plant Nutr. 2022, 22, 1267–1276. [Google Scholar] [CrossRef]
- Ribeiro, P.G.; Martins, G.C.; Gastauer, M.; da Silva Junior, E.C.; Santos, D.C.; Frois Caldeira Júnior, C.; Cavalcante, R.B.L.; dos Santos, D.S.; Ramos, S.J. Spectral and Soil Quality Index for Monitoring Environmental Rehabilitation and Soil Carbon Stock in an Amazonian Sandstone Mine. Sustainability 2022, 14, 597. [Google Scholar] [CrossRef]
- Khlifa, R.; Rivest, D.; Grimond, L.; Bélanger, N. Stability of carbon pools and fluxes of a Technosol along a 7-year reclamation chronosequence at an asbestos mine in Canada. Ecol. Eng. 2023, 186, 106839. [Google Scholar] [CrossRef]
- Dong, L.; Fan, J.; Li, J.; Zhang, Y.; Liu, Y.; Wu, J.; Deng, L. Forests have a higher soil C sequestration benefit due to lower C mineralization efficiency: Evidence from the central loess plateau case. Agric. Ecosyst. Environ. 2022, 339, 108144. [Google Scholar] [CrossRef]
- Börjesson, G.; Menichetti, L.; Kirchmann, H.; Kätterer, T. Soil microbial community structure affected by 53 years of nitrogen fertilisation and different organic amendments. Biol. Fertil. Soils 2012, 48, 245–257. [Google Scholar] [CrossRef]
- Lewu, F.B.; Volova, T.; Thomas, S.; Rakhimol, K.R. Controlled Release Fertilizers for Sustainable Agriculture; Academic Press: London, UK, 2020. [Google Scholar]
- Mendoza, O. Do interactions between application rate and native soil organic matter content determine the degradation of exogenous organic carbon? Soil. Biol. Biochem. 2022, 164, 108473. [Google Scholar] [CrossRef]
- Mukhopadhyay, S.; Maiti, S.K.; Masto, R.E. Development of mine soil quality index (MSQI) for evaluation of reclamation success: A chronosequence study. Ecol. Eng. 2014, 71, 10–20. [Google Scholar] [CrossRef]
- Ekaterina, I.; Elizaveta, P.; Dina, K.; Olga, R.; Evgeny, A.; Evgeny, A. Soil microbiome in chronosequence of spoil heaps of Kursk Magnetic Anomaly. Biol. Commun. 2019, 64, 219–225. [Google Scholar]
- Liu, R.; Zhang, Y.; Hu, X.F.; Wan, S.; Wang, H.; Liang, C.; Chen, F.S. Litter manipulation effects on microbial communities and enzymatic activities vary with soil depth in a subtropical Chinese fir plantation. For. Ecol. Manag. 2021, 480, 118641. [Google Scholar] [CrossRef]
- Hafez, M.; Ge, S.; Tsivka, K.I.; Popov, A.I.; Rashad, M. Enhancing Calcareous and Saline-Sodic Soils Fertility by Increasing Organic Matter Decomposition and Enzyme Activities: An Incubation Study. Commun. Soil Sci. Plant Anal. 2022, 53, 2447–2459. [Google Scholar] [CrossRef]
- Piotrowska-Długosz, A.; Długosz, J.; Frąc, M.; Gryta, A.; Breza-Boruta, B. Enzymatic activity and functional diversity of soil microorganisms along the soil profile–A matter of soil depth and soil-forming processes. Geoderma 2022, 416, 115779. [Google Scholar] [CrossRef]
- Li, S.; Sun, X.; Liu, Y.; Li, S.; Zhou, W.; Ma, Q.; Zhang, J. Remediation of Cd-contaminated soils by GWC application, evaluated in terms of Cd immobilization, enzyme activities, and pakchoi cabbage uptake. Environ. Sci. Pollut. Res. 2020, 27, 9979–9986. [Google Scholar] [CrossRef] [PubMed]
- Liu, Z.; Han, Y.; Lai, F.; Zhao, H.; Cao, J. Contribution of Arbuscular Mycorrhizal Fungal Communities to Soil Carbon Accumulation during the Development of Cunninghamia lanceolata Plantations. Forests 2022, 13, 2099. [Google Scholar] [CrossRef]
- Zhang, H.S.; Zhou, M.X.; Zai, X.M.; Zhao, F.G.; Qin, P. Spatio-temporal dynamics of arbuscular mycorrhizal fungi and soil organic carbon in coastal saline soil of China. Sci. Rep. 2020, 10, 9781. [Google Scholar] [CrossRef] [PubMed]
- Li, T.; Yuan, Y.; Mou, Z.; Li, Y.; Kuang, L.; Zhang, J.; Liu, Z. Faster accumulation and greater contribution of glomalin to the soil organic carbon pool than amino sugars do under tropical coastal forest restoration. Glob. Chang. Biol. Bioenergy 2022, 29, 533–546. [Google Scholar] [CrossRef] [PubMed]
- Emran, M.; Doni, S.; Macci, C.; Masciandaro, G.; Rashad, M.; Gispert, M. Susceptible soil organic matter, SOM, fractions to agricultural management practices in salt-affected soils. Geoderma 2020, 366, 114257. [Google Scholar] [CrossRef]
- Li, D.; Yin, N.; Xu, R. Sludge amendment accelerating reclamation process of reconstructed mining substrates. Sci. Rep. 2021, 11, 2905. [Google Scholar] [CrossRef]
- Markowicz, A.; Bondarczuk, K.; Cycoń, M.; Sułowicz, S. Land application of sewage sludge: Response of soil microbial communities and potential spread of antibiotic resistance. Environ. Pollut. 2021, 271, 116317. [Google Scholar] [CrossRef]
- Abdallh, A.H.M.; Sahin, U. Saline-sodic soil reclamation with stabilized sewage sludge and recycled wastewater. Environ. Eng. Manag. J. 2020, 19, 2121–2137. [Google Scholar]
- Muyen, Z.; Wrigley, R.J. Reclamation of sodic soils with organic amendments: A review. Imp. J. Interdiscip. Res. 2019, 2, 317–324. [Google Scholar]
- Sharma, S.; Dhaliwal, S.S. Effect of sewage sludge and rice straw compost on yield, micronutrient availability and soil quality under rice–wheat system. Commun. Soil Sci. Plant Anal. 2019, 50, 1943–1954. [Google Scholar] [CrossRef]
- Wu, D.; Feng, J.; Chu, S.; Jacobs, D.F.; Tong, X.; Zhao, Q.; Zeng, S. Integrated application of sewage sludge, earthworms and Jatropha curcas on abandoned rare-earth mine land soil. Chemosphere 2019, 214, 47–54. [Google Scholar] [CrossRef] [PubMed]
- Ignatyeva, M.; Yurak, V.; Pustokhina, N. Recultivation of post-mining disturbed land: Review of content and comparative law and feasibility study. Resources 2020, 9, 73. [Google Scholar] [CrossRef]
- Danish, M.; Ahmad, T. A review on utilization of wood biomass as a sustainable precursor for activated carbon production and application. Renew. Sust. Energ. Rev. 2018, 87, 1–21. [Google Scholar] [CrossRef]
- Fernández-Caliani, J.C.; Giráldez, M.I.; Waken, W.H.; Del Río, Z.M.; Córdoba, F. Soil quality changes in an Iberian pyrite mine site 15 years after land reclamation. Catena 2021, 206, 105538. [Google Scholar] [CrossRef]
- Del Mar Montiel-Rozas, M.; Panettieri, M.; Madejón, P.; Madejón, E. Carbon sequestration in restored soils by applying organic amendments. Land Degrad. Dev. 2016, 27, 620–629. [Google Scholar] [CrossRef]
- Wan, D.; Ma, M.; Peng, N.; Luo, X.; Chen, W.; Cai, P.; Huang, Q. Effects of long-term fertilization on calcium-associated soil organic carbon: Implications for C sequestration in agricultural soils. Sci. Total Environ. 2021, 772, 145037. [Google Scholar] [CrossRef] [PubMed]
- Dick, D.P.; Knicker, H.; Ávila, L.G.; Inda, A.V., Jr.; Giasson, E.; Bissani, C.A. Organic matter in constructed soils from a coal mining area in southern Brazil. Org. Geochem. 2006, 37, 1537–1545. [Google Scholar] [CrossRef]
- Miller, G.A. Impacts of Agricultural Land Management on Soil Carbon Stabilization. Available online: https://era.ed.ac.uk/bitstream/handle/1842/25437/Miller2016.pdf?sequence=1&isAllowed=y (accessed on 21 January 2023).
- Sarkar, B.; Mukhopadhyay, R.; Ramanayaka, S.; Bolan, N.; Ok, Y.S. The role of soils in the disposition, sequestration and decontamination of environmental contaminants. Philos. Trans. R. Soc. 2021, 376, 20200177. [Google Scholar] [CrossRef]
- Abakumov, E.; Lodygin, E.; Tomashunas, V. 13C NMR and ESR characterization of humic substances isolated from soils of two Siberian arctic islands. Int. J. Ecol. 2015, 2015, 390591. [Google Scholar] [CrossRef]
- Singh, P.; Ghosh, A.; Kumar, S.; Chahar, S.; Pradhan, S.; Jat, S. Carbon dynamics of reclaimed coal mine soil: A chronosequence study in the Gevra mining area, Korba, Chhattisgarh, India. Carbon Dynamics. Authorea 2020. [Google Scholar] [CrossRef]
- Kiem, R.; Knicker, H.; Körschens, M.; Kögel-Knabner, I. Refractory organic carbon in C-depleted arable soils, as studied by 13C NMR spectroscopy and carbohydrate analysis. Org. Geochem. 2000, 31, 655–668. [Google Scholar] [CrossRef]
- Lozano-García, B.; Parras-Alcántara, L.; Brevik, E.C. Impact of topographic aspect and vegetation (native and reforested areas) on soil organic carbon and nitrogen budgets in Mediterranean natural areas. Sci. Total Environ. 2016, 544, 963–970. [Google Scholar] [CrossRef] [PubMed]
- Hou, G.; Delang, C.O.; Lu, X.; Gao, L. A meta-analysis of changes in soil organic carbon stocks after afforestation with deciduous broadleaved, sempervirent broadleaved, and conifer tree species. Ann. For. Sci. 2020, 77, 92. [Google Scholar] [CrossRef]
- Guo, J.; Wang, B.; Wang, G.; Myo, S.T.Z.; Cao, F. Effects of three cropland afforestation practices on the vertical distribution of soil organic carbon pools and nutrients in eastern China. Glob. Ecol. Conserv. 2020, 22, e00913. [Google Scholar] [CrossRef]












| Characteristic | Limestone Post-Mining Area (S1) | Lignite Post-Mining Area (S2) |
|---|---|---|
| Assisted remediation technique | Remediation with embankment collected in the mining industry | Remediation with an initial application of sewage sludge mixed with seeds (Trifolium repens. Trifolium pretense. Lolium multiflorum. Lolium perenne. Agrostis stolonifera). Sewage sludge was produced in the municipal wastewater treatment plant serving the administrative buildings of the mining facility and contained >10% of solids. Dose of hydrated sewage sludge: 30 Mg ha−1 |
| Type of remediation | Afforestation | Afforestation |
| Plantation | Scots pine (Pinus silvestris), silver birch (Betula verrucose), and grey alder (Alnus incana) | Scots pine 45% (Pinus silvestris), black alder 30% (Alnus glutinosa), and pedunculate oak 25% (Quercus robur). |
| Topography | Lowland, locally changed by open-cast mining | Lowland, locally changed by open-cast mining |
| Average annual temperature | 9.8 °C | 9.1 °C vegetation period is above 220 days |
| Average annual rainfall | 736 mm | 707 mm |
| Vegetation period | above 220 days | between 210–217 days |
| Soil Sample | Study Area | Remediation Duration [Years] | Soil Depth Range of Sampling [cm] |
|---|---|---|---|
| S1A15 | Limestone post-mining area | 3 | 0–15 |
| S1A30 | 15–30 | ||
| S1B15 | 8 | 0–15 | |
| S1B30 | 15–30 | ||
| S1C15 | 14 | 0–15 | |
| S1C30 | 15–30 | ||
| S1D15 | 20 | 0–15 | |
| S1D30 | 15–30 | ||
| S2A15 | Lignite post-mining area | 3 | 0–15 |
| S2A30 | 15–30 | ||
| S2B15 | 9 | 0–15 | |
| S2B30 | 15–30 | ||
| S2C15 | 15 | 0–15 | |
| S2C30 | 15–30 | ||
| S3D15 | 20 | 0–15 | |
| S2D30 | 15–30 |
| Sample | Sorption Capacity [cmol(+)/kg] | pH | |
|---|---|---|---|
| H2O | KCl | ||
| S1A15 | 17.43 ± 0.51 a | 7.61 ± 0.02 a | 7.15 ± 0.03 a |
| S1A30 | 16.23 ± 0.41 a | 7.51 ± 0.01 a | 7.11 ± 0.02 a |
| S1B15 | 20.51 ± 0.72 b | 7.81 ± 00.9 b | 7.32 ± 00.06 b |
| S1B30 | 21.17 ± 1.12 b | 7.72 ± 0.02 b | 7.32 ± 0.04 b |
| S1C15 | 20.31 ± 1.86 c | 7.67 ± 0.06 c | 7.49 ± 0.04 c |
| S1C30 | 22.16 ± 2.08 c | 7.78 ± 0.03 C | 7.61 ± 0.02 C |
| S1D15 | 18.74 ± 1.14 d | 7.68 ± 0.03 d | 7.52 ± 0.04 d |
| S1D30 | 18.94 ± 2.21 d | 7.51 ± 0.03 D | 7.62 ± 0.05 D |
| S2A15 | 16.45 ± 1.17 e | 7.70 ± 0.01 e | 7.33 ± 0.01 e |
| S2A30 | 17.51 ± 2.20 e | 7.38 ± 0.02 E | 7.38 ± 0.02 e |
| S2B15 | 13.01 ± 1.16 f | 7.86 ± 0.04 f | 7.86 ± 0.03 f |
| S2B30 | 12.98 ± 0.98 f | 7.89 ± 0.05 f | 7.89 ± 0.06 f |
| S2C15 | 4.67 ± 0.036 g | 7.64 ± 0.02 g | 7.51 ± 0.05 g |
| S2C30 | 4.82 ± 0.33 g | 7.72 ± 0.01 g | 7.71 ± 0.07 g |
| S2D15 | 5.78 ± 0.09 h | 7.07 ± 00.4 h | 6.96 ± 0.05 h |
| S2D30 | 6.02 ± 0.22 h | 7.52 ± 0.05 H | 7.55 ± 0.01 H |
| Modeling Error | Equitation |
|---|---|
| Error (Et) | |
| Percentage error (PEt) | |
| Mean error (ME) | t = 1, 2, 3, …, n |
| Mean absolute error (MAE) | t = 1, 2, 3, …, n |
| Mean squared error (MSE) | t = 1, 2, 3, …, n |
| Root mean squared error (RMSE) |
| Model | Et | PEt | ME | MAE | MSE | RMSE | |
|---|---|---|---|---|---|---|---|
| VSOC variability index for S1 | S1A | −0.02545 | −1.0447 | −0.03929 | 2.359535 | 0.147499 | 0.384055 |
| S1B | −0.04074 | −0.88277 | |||||
| S1C | 0.494683 | 4.7109 | |||||
| S1D | −0.58564 | −2.79977 | |||||
| VSOC variability index for S2 | S2A | 0.094081 | 2.114781 | −0.00007 | 1.888384 | 0.055306 | 0.235173 |
| S2B | −0.11335 | −1.06961 | |||||
| S2C | −0.30622 | −2.29203 | |||||
| S2D | 0.325198 | 2.07712 |
Disclaimer/Publisher’s Note: The statements, opinions and data contained in all publications are solely those of the individual author(s) and contributor(s) and not of MDPI and/or the editor(s). MDPI and/or the editor(s) disclaim responsibility for any injury to people or property resulting from any ideas, methods, instructions or products referred to in the content. |
© 2023 by the authors. Licensee MDPI, Basel, Switzerland. This article is an open access article distributed under the terms and conditions of the Creative Commons Attribution (CC BY) license (https://creativecommons.org/licenses/by/4.0/).
Share and Cite
Kowalska, A.; Růžičková, J.; Kucbel, M.; Grobelak, A. Carbon Sequestration in Remediated Post-Mining Soils: A New Indicator for the Vertical Soil Organic Carbon Variability Evaluation in Remediated Post-Mining Soils. Energies 2023, 16, 5876. https://doi.org/10.3390/en16165876
Kowalska A, Růžičková J, Kucbel M, Grobelak A. Carbon Sequestration in Remediated Post-Mining Soils: A New Indicator for the Vertical Soil Organic Carbon Variability Evaluation in Remediated Post-Mining Soils. Energies. 2023; 16(16):5876. https://doi.org/10.3390/en16165876
Chicago/Turabian StyleKowalska, Aneta, Jana Růžičková, Marek Kucbel, and Anna Grobelak. 2023. "Carbon Sequestration in Remediated Post-Mining Soils: A New Indicator for the Vertical Soil Organic Carbon Variability Evaluation in Remediated Post-Mining Soils" Energies 16, no. 16: 5876. https://doi.org/10.3390/en16165876
APA StyleKowalska, A., Růžičková, J., Kucbel, M., & Grobelak, A. (2023). Carbon Sequestration in Remediated Post-Mining Soils: A New Indicator for the Vertical Soil Organic Carbon Variability Evaluation in Remediated Post-Mining Soils. Energies, 16(16), 5876. https://doi.org/10.3390/en16165876

