Cogging Force Reduction and Profile Smoothening Methods for a Slot-Spaced Permanent Magnet Linear Alternator
Abstract
1. Introduction
2. Slot-Spaced PMLA Model
2.1. Structure
2.2. Grid Independence Check
2.3. Baseline Case
3. Cogging Force and Limitation Methods
3.1. Influence of Geometrical Parameters on Cogging Force
3.2. Assumptions and Conditions
- The induced voltage is the primary reflection of the performance of the machine to estimate the efficiency. In the process of reducing the cogging force, the reduction in induced voltage is inevitable in some of the alteration methods. Hence, the variation in parameters of each adaptation is carefully accounted for with the data from cogging force and induced voltage and represented in a graphical form, through which the most reasonable parameter is selected, which maintains equilibrium by not losing the induced voltage and by a significant reduction in the cogging force;
- The selected parameter which maintains an equilibrium should also hold the cogging profile close to the displacement profile (sinusoidal). If it does not, then the next parameter closely resembling the profile is selected;
- The alteration methods are close to novelty and cannot be adapted to the traditional packaging techniques of the stator;
- Major dimensional parameters such as the outer diameter So, tooth width Tw, and the stack length Sl for stator, and pole width Mr, Ma, and thickness Mn of both axial and radial magnets, are unchanged in the alteration process;
- Some of the considered alteration methods may harm the motivation of the study. Such methods are ignored in the final modified model;
- Novel alteration methods, such as chamfering of the stator, are difficult in current stacking methods for the stator lamination process. Three-dimensional printing of the parts will make such alterations possible in the foreseeable future.
4. Geometrical Alterations
4.1. Stator Tooth Chamfering
4.2. Magnet Chamfering
4.3. Tooth Elimination
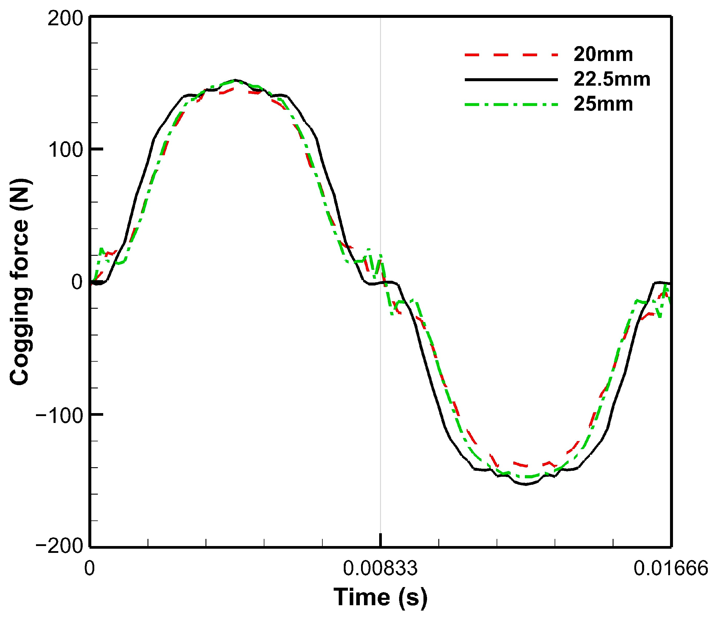
4.4. Axial Stator Notching
4.5. Axial Magnet Notching
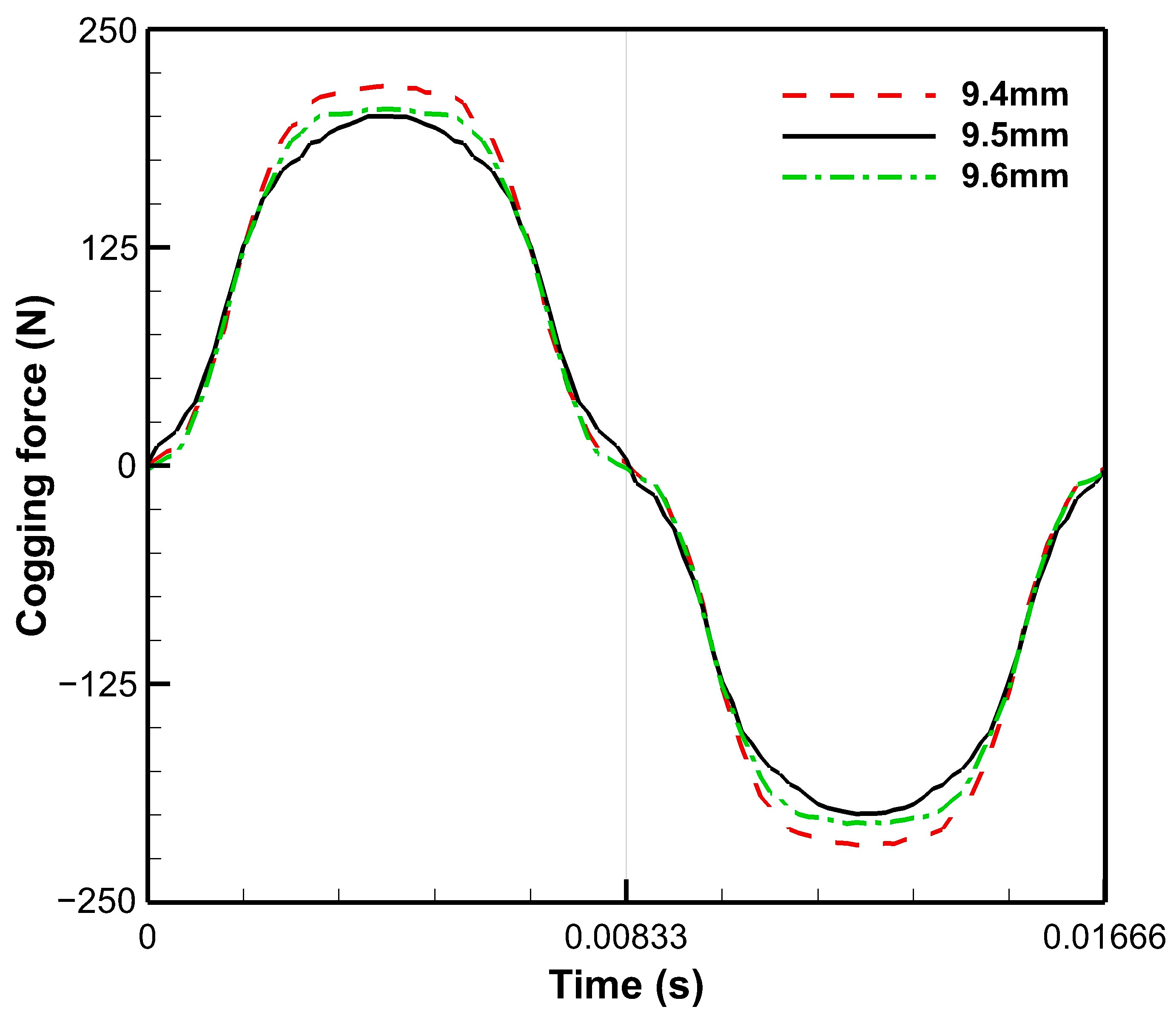
4.6. Radial Stator Notching
4.7. Type of Stator Notching-End Effect Analysis
4.8. Stator Tooth Ridging
4.9. Magnet Splitting
5. Modified Model
6. Conclusions
Author Contributions
Funding
Data Availability Statement
Acknowledgments
Conflicts of Interest
References
- Wunderling, N.; Winkelmann, R.; Rockström, J.; Loriani, S.; McKay, D.I.A.; Ritchie, P.D.L.; Sakschewski, B.; Donges, J.F. Global warming overshoots increase risks of climate tipping cascades in a network model. Nat. Clim. Change 2022, 13, 75–82. [Google Scholar] [CrossRef]
- Zhang, S.; Zhou, L.; Zhang, L.; Yang, Y.; Wei, Z.; Zhou, S.; Yang, D.; Yang, X.; Wu, X.; Zhang, Y.; et al. Reconciling disagreement on global river flood changes in a warming climate. Nat. Clim. Change 2022, 12, 1160–1167. [Google Scholar] [CrossRef]
- Santana-Falcón, Y.; Séférian, R. Climate change impacts the vertical structure of marine ecosystem thermal ranges. Nat. Clim. Change 2022, 12, 935–942. [Google Scholar] [CrossRef]
- Holechek, J.L.; Geli, H.M.E.; Sawalhah, M.N.; Valdez, R. A global assessment: Can renewable energy replace fossil fuels by 2050? Sustainability 2022, 14, 4792. [Google Scholar] [CrossRef]
- Gargov, N.P.; Zobaa, A.F.; Pisica, I. Investigation of multi-phase tubular permanent magnet linear generator for wave energy converters. Electr. Power Compon. Syst. 2014, 42, 124–131. [Google Scholar] [CrossRef]
- Durcansky, P.; Nosek, R.; Jandacka, J. Use of Stirling engine for waste heat recovery. Energies 2020, 13, 4133. [Google Scholar] [CrossRef]
- Boldea, I.; Nasar, S.A. Linear Electric Actuators and Generators, 4th ed.; Cambridge University Press: Cambridge, UK, 2005; pp. 201–233. [Google Scholar]
- Hung, N.B.; Lim, O. A review of free-piston linear engines. Appl. Energy 2016, 178, 78–97. [Google Scholar] [CrossRef]
- Rezaeealam, B. Permanent Magnet Tubular Generator with Quasi-Halbach Array for Free-Piston Generator System. Int. J. Power Electron. Drive Syst. 2017, 8, 1663. [Google Scholar] [CrossRef]
- Cawthorne, W.R.; Famouri, P.; Chen, J.; Clark, N.N.; McDaniel, T.I.; Atkinson, R.J.; Nandkumar, S.; Atkinson, C.M.; Petreanu, S. Development of a linear alternator-engine for hybrid electric vehicle applications. IEEE Trans. Veh. Technol. 1999, 48, 1797–1802. [Google Scholar] [CrossRef]
- Güneş, H. Design and manufacture of tube type nonhollow linear generators for suspension systems of electric and hybrid cars. Proc. Inst. Mech. Eng. Part E J. Process Mech. Eng. 2021, 235, 1420–1428. [Google Scholar] [CrossRef]
- Kim, J.H.; Shin, Y.J.; Chun, Y.D.; Kim, J.H. Design of 100W regenerative vehicle suspension to harvest energy from road surfaces. Int. J. Precis. Eng. Manuf. 2018, 19, 1089–1096. [Google Scholar] [CrossRef]
- Eid, A.M.; Lee, H.W.; Nakaoka, M. Detent Force Reduction of Tubular Linear Generator Using an Axial Stepped Permanent Magnet Structure. J. Power Electron. 2006, 6, 290–297. [Google Scholar]
- Yoshimura, T.; Kim, H.J.; Watada, M.; Torii, S.; Ebihara, D. Analysis of the reduction of detent force in a permanent magnet linear synchronous motor. IEEE Trans. Magn. 1995, 31, 3728–3730. [Google Scholar] [CrossRef]
- Cheng, C.-H.; Dhanasekaran, S. Numerical Analysis and Parametric Study of a 7 kW Tubular Permanent Magnet Linear Alternator. Sustainability 2021, 13, 7192. [Google Scholar] [CrossRef]
- Cheng, C.-H.; Dhanasekaran, S. Design of a Slot-Spaced Permanent Magnet Linear Alternator Based on Numerical Analysis. Energies 2022, 15, 4523. [Google Scholar] [CrossRef]
- Arish, N.; Marignetti, F. Evaluation of Linear Permanent Magnet Vernier Machine Topologies for Wave Energy Converters. Int. J. Eng. 2021, 34, 403–413. [Google Scholar]
- Kumar, P.; Xaxa, L.B.; Srivastava, R.K. Design Modifications for Cogging Force Reduction in Linear Permanent Magnet Machines. In Proceedings of the 2020 IEEE International Conference on Power and Energy (PECon), virtual, 7–8 December 2020. [Google Scholar]
- Jang, S.-M.; Lee, S.-H.; Yoon, I.-K. Design criteria for detent force reduction of permanent-magnet linear synchronous motors with Halbach array. IEEE Trans. Magn. 2002, 38, 3261–3263. [Google Scholar] [CrossRef]
- Wang, C.-F.; Shen, J.-X.; Wang, Y.; Wang, L.-L.; Jin, M.-J. A new method for reduction of detent force in permanent magnet flux-switching linear motors. IEEE Trans. Magn. 2009, 45, 2843–2846. [Google Scholar] [CrossRef]
- Seo, S.-W.; Jang, G.-H.; Koo, M.-M.; Choi, J.-Y. Characteristic analysis of the influence of auxiliary teeth and notching on the reduction of the detent force of a permanent magnet linear synchronous machine. IEEE Trans. Appl. Supercond. 2018, 28, 5203705. [Google Scholar] [CrossRef]
- Bucolo, M.; Buscarino, A.; Famoso, C.; Fortuna, L.; Gagliano, S. Imperfections in integrated devices allow the emergence of unexpected strange attractors in electronic circuits. IEEE Access 2021, 9, 29573–29583. [Google Scholar] [CrossRef]



































| Parameters | Dimensions (mm) |
|---|---|
| Stator Stack Length, Sl | 110 |
| Back Iron Thickness, Bt | 2.5 |
| Stator Outer Diameter, So | 100 |
| Slot height, Sh | 23.5 |
| Slot Width, Sw | 10 |
| Tooth slot gap, Ts | 5 |
| Tooth thickness, St | 5 |
| Tooth slot thickness, Ss | 2.5 |
| Shaft Stack Length, Hl | 110 |
| Coil Outer Diameter, Co | 95 |
| Coil Inner Diameter, Ci | 48 |
| Magnet Outer Diameter, Md | 46 |
| Radial Magnet thickness, Mr | 15 |
| Axial Magnet thickness, Ma | 7.5 |
| Air gap, g | 1 |
| Shaft Outer Diameter, Hd | 25 |
| Shaft Inner Diameter, Hi | 15 |
| Geometrical Alteration | Original Model | Modified Model |
|---|---|---|
| Stator tooth edge chamfering—radius of curvature | Nil | 1 mm |
| Magnet tooth edge chamfering—radius of curvature | Nil | 0.75 mm |
| Number of teeth | Six | Six |
| Axial notching on stator—radius of curvature | Nil | 22.5 mm |
| Axial notching on magnet—radius of curvature | Nil | 35 mm |
| Radial notching on stator—radius of curvature | Nil | 9.5 mm |
| Type of stator notching | Nil | Flat end tooth |
| Ridging | Nil | Nil |
| Magnet splitting | One piece | Two pieces |
Disclaimer/Publisher’s Note: The statements, opinions and data contained in all publications are solely those of the individual author(s) and contributor(s) and not of MDPI and/or the editor(s). MDPI and/or the editor(s) disclaim responsibility for any injury to people or property resulting from any ideas, methods, instructions or products referred to in the content. |
© 2023 by the authors. Licensee MDPI, Basel, Switzerland. This article is an open access article distributed under the terms and conditions of the Creative Commons Attribution (CC BY) license (https://creativecommons.org/licenses/by/4.0/).
Share and Cite
Cheng, C.-H.; Dhanasekaran, S. Cogging Force Reduction and Profile Smoothening Methods for a Slot-Spaced Permanent Magnet Linear Alternator. Energies 2023, 16, 5827. https://doi.org/10.3390/en16155827
Cheng C-H, Dhanasekaran S. Cogging Force Reduction and Profile Smoothening Methods for a Slot-Spaced Permanent Magnet Linear Alternator. Energies. 2023; 16(15):5827. https://doi.org/10.3390/en16155827
Chicago/Turabian StyleCheng, Chin-Hsiang, and Surender Dhanasekaran. 2023. "Cogging Force Reduction and Profile Smoothening Methods for a Slot-Spaced Permanent Magnet Linear Alternator" Energies 16, no. 15: 5827. https://doi.org/10.3390/en16155827
APA StyleCheng, C.-H., & Dhanasekaran, S. (2023). Cogging Force Reduction and Profile Smoothening Methods for a Slot-Spaced Permanent Magnet Linear Alternator. Energies, 16(15), 5827. https://doi.org/10.3390/en16155827
