Field Test Method and Equivalence Analysis of Delay Characteristics of DC Electronic Current Transformer
Abstract
1. Introduction
2. Delay Analysis and Test Method Research
2.1. Causes of Delay
2.2. Field Equivalent Test Method for Delay Characteristics
3. Delay Characteristic Test System
3.1. Test System Design and Its Operating Mechanism
- (1)
- The step current signal is more or equal to 300 A (considered at 10% of the rated current of 3000 A) [15]; the rise time is less than 50 μs (one fifth of the step rise time of the DC transformer); and the duration is more or equal to 10 ms;
- (2)
- The high-band steady frequency current amplitude is adjustable; the output maximum value is 300 A; and the frequency range covers at least 50–1200 Hz;
- (3)
- It can output high-band frequency current with the DC component;
- (4)
- The steady-state accuracy, frequency response, and transient step response characteristics must be tested;
- (5)
- The digital interface of the delay testing system needs to comply with the transmission protocol in IEC 60044-8 standard;
- (6)
- The testing system is small in size and easy to install at the site;
- (7)
- The testing system complies with the international standard IEC 61869-14-2018.
3.2. Key Parameters of Delay Characteristics
- (1)
- Calculation method of delay of steady-state signals
- (2)
- Calculation of delay of transient step signal
4. Hardware Experiment
4.1. Field Test System Establishment
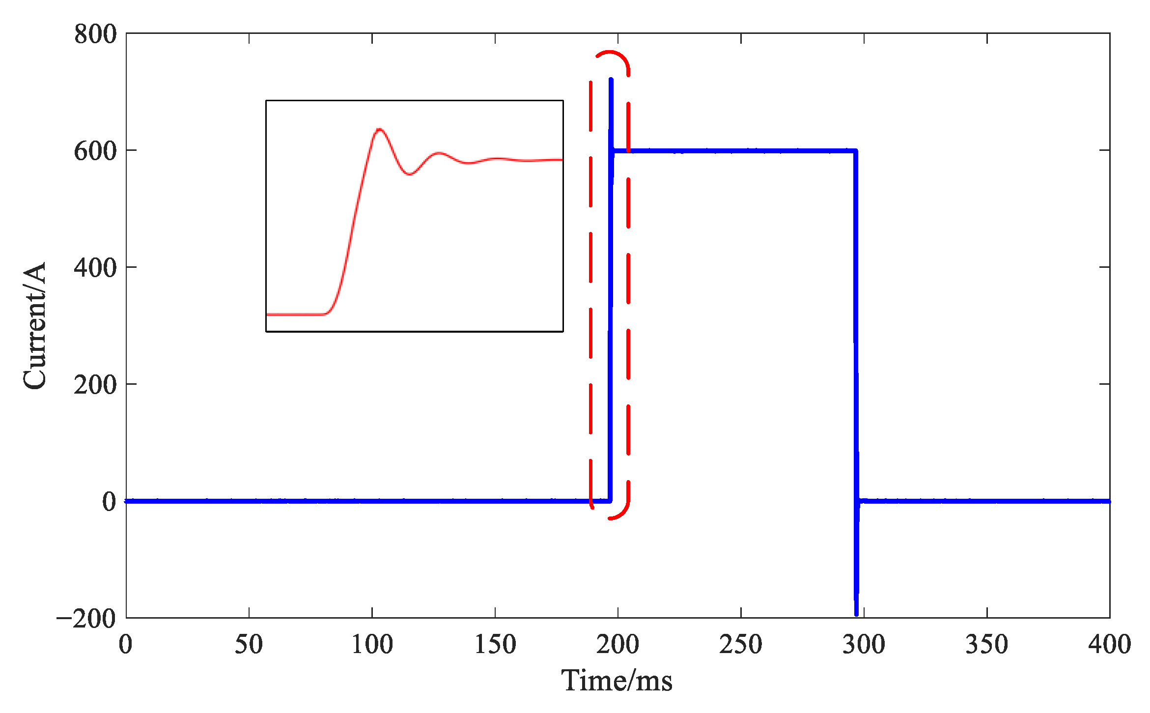
4.2. Field Test of Delay Time under the Action of Steady-State AC Signal
4.3. Field Test of Transient Step Signal
4.4. Equivalent Analysis
5. Conclusions
Author Contributions
Funding
Data Availability Statement
Conflicts of Interest
References
- Yao, Z.; Wu, J.; Guo, X.; Zhang, C. Analysis and Suppression Control of High Frequency Resonance for MMC-HVDC System. IEEE Trans. Power Electron. 2017, 32, 3437–3452. [Google Scholar]
- GB/T 26216.1-2010; DC Current Measuring Device for HVDC Transmission System—Part 1: Electronic DC Current Measuring Device. General Administration of Quality Supervision, Inspection and Quarantine of the People’s Republic of China, Standardization Administration of China; Standards Press of China: Beijing, China, 2011.
- Callegaro, L.; Cassiago, C.; Gasparotto, E. On the calibration of direct-current current transformers (DCCT). IEEE Trans. Instrum. Meas. 2015, 64, 723–727. [Google Scholar] [CrossRef]
- Li, Q.; Li, H.; Zhou, Y.; Li, D.; Hu, H.; Zhan, S. On-site calibration technology for direct current transformers (DCCT) in ±800 kV DC transmission system converter stations. High Volt. Eng. 2011, 37, 3053–3058. [Google Scholar]
- Mohns, E.; Roeissle, G.; Fricke, S.; Pauling, F. An AC Current Transformer Standard Measuring System for Power Frequencies. IEEE Trans. Instrum. Meas. 2017, 66, 1433–1440. [Google Scholar] [CrossRef]
- Ma, X.; Guo, Y.; Chen, X.; Xiang, Y.; Chen, K.-L. Impact of Coreless Current Transformer Position on Current Measurement. IEEE Trans. Instrum. Meas. 2019, 68, 3801–3809. [Google Scholar] [CrossRef]
- Zhang, J.; Pan, X.; Liu, W.; Gu, Y.; Wang, B.; Zhang, D. Determination of Equivalent Inductance of Current Shunts at Frequency Up to 200 kHz. IEEE Trans. Instrum. Meas. 2013, 62, 1664–1668. [Google Scholar] [CrossRef]
- Pan, X.L.; Zhang, J.T.; Shao, H.M.; Liu, W.F.; Gu, Y.; Ma, X.F.; Wang, B.; Lu, Z.L.; Zhang, D.S. Measurement of the Phase Angle Errors of High Current Shunts at Frequencies up to 100 kHz. IEEE Trans. Instrum. Meas. 2013, 62, 1652–1657. [Google Scholar] [CrossRef]
- Wu, W.; Xu, Y.; Xiao, X.; Hu, H. Research on Proximity Effect in Measuring Error of Active Electronic Voltage Transformers. IEEE Trans. Instrum. Meas. 2016, 65, 78–87. [Google Scholar] [CrossRef]
- Chen, K.-L.; Chen, N. A New Method for Power Current Measurement Using a Coreless Hall Effect Current Transformer. IEEE Trans. Instrum. Meas. 2011, 60, 158–169. [Google Scholar] [CrossRef]
- Jiang, J.; Zhao, M.; Zhang, C.; Chen, M.; Liu, H.; Albarracín, R. Partial Discharge Analysis in High-Frequency Transformer Based on High-Frequency Current Transducer. Energies 2018, 11, 1997. [Google Scholar] [CrossRef]
- Chen, K.-L.; Wan, R.-S.; Guo, Y.; Chen, N.; Lee, W.-J. A Redundancy Mechanism Design for Hall-Based Electronic Current Transformers. Energies 2017, 10, 312. [Google Scholar] [CrossRef]
- Kaczmarek, M.; Szczęsny, A.; Stano, E. Operation of the Electronic Current Transformer for Transformation of Distorted Current Higher Harmonics. Energies 2022, 15, 4368. [Google Scholar] [CrossRef]
- Wang, D.; Liu, C. Combination Optimization Configuration Method of Capacitance and Resistance Devices for Suppressing DC Bias in Transformers. Energies 2019, 12, 1813. [Google Scholar] [CrossRef]
- GB/T 20840.14-2022; Instrument Transformers—Part 14: Additional Requirements for Current Transformers for DC Applications. Standards Press of China: Beijing, China, 2022.









Disclaimer/Publisher’s Note: The statements, opinions and data contained in all publications are solely those of the individual author(s) and contributor(s) and not of MDPI and/or the editor(s). MDPI and/or the editor(s) disclaim responsibility for any injury to people or property resulting from any ideas, methods, instructions or products referred to in the content. |
© 2023 by the authors. Licensee MDPI, Basel, Switzerland. This article is an open access article distributed under the terms and conditions of the Creative Commons Attribution (CC BY) license (https://creativecommons.org/licenses/by/4.0/).
Share and Cite
Zhu, M.; Tang, H.; He, Z.; Liao, Y.; Tang, B.; Zhang, Q.; Shu, H.; Deng, Y.; Zeng, F.; Cao, P. Field Test Method and Equivalence Analysis of Delay Characteristics of DC Electronic Current Transformer. Energies 2023, 16, 5727. https://doi.org/10.3390/en16155727
Zhu M, Tang H, He Z, Liao Y, Tang B, Zhang Q, Shu H, Deng Y, Zeng F, Cao P. Field Test Method and Equivalence Analysis of Delay Characteristics of DC Electronic Current Transformer. Energies. 2023; 16(15):5727. https://doi.org/10.3390/en16155727
Chicago/Turabian StyleZhu, Mengmeng, Hongda Tang, Zhaolei He, Yaohua Liao, Biao Tang, Qunqun Zhang, Hongchun Shu, Yaqi Deng, Fang Zeng, and Pulin Cao. 2023. "Field Test Method and Equivalence Analysis of Delay Characteristics of DC Electronic Current Transformer" Energies 16, no. 15: 5727. https://doi.org/10.3390/en16155727
APA StyleZhu, M., Tang, H., He, Z., Liao, Y., Tang, B., Zhang, Q., Shu, H., Deng, Y., Zeng, F., & Cao, P. (2023). Field Test Method and Equivalence Analysis of Delay Characteristics of DC Electronic Current Transformer. Energies, 16(15), 5727. https://doi.org/10.3390/en16155727
