Evaluation of Selected Dynamic Parameters of Rotating Turbocharger Units Based on Comparative Model and Bench Tests
Abstract
1. Introduction
2. Research Method
2.1. Methodological Assumptions—Construction of a Turbocharger and Description of Phenomena Occurring in It
2.2. Bench Tests of Turbochargers
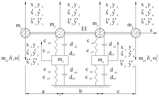
2.3. Dynamic Model of a Turbocharger Rotating Assembly
- cxx and cxy are the stiffness coefficients of the oil film in the plane OXZ,
- cyx and cyy are the stiffness coefficients of the oil film in the plane OYZ,
- dxx and dxy are the damping coefficients of the oil film in the plane OXZ,
- and dyx and dyy are the damping coefficients of the oil film in the plane OXY.
3. Test Results
4. Conclusions
- The turbocharger rotating assembly for relative eccentricity ε2 = 0.8, radial clearance quotients C*R = 0.5 and C*R = 1.12 and rotational speed range N1 = 26,000–42,000 rpm was stable. It was also stable for rotational speed N1 = 26,000 rpm, ε2 = 0.7, and C*R = 0.5 (Table 3 and Table 4). In the remaining analysed cases, the rotating assembly was unstable.
- In the range ε1,2 ∈ (0.1–0.4) the maximum temperatures, T1,2max, decrease, and for ε1,2 > 0.4 the maximum temperatures, T1,2max, increase.
- An increase in the radial clearance quotient C*R (Table 2) causes an increase in the speed quotient .
- The speed quotient increases with an increase in the speed N1 (Table 2).
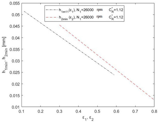
- An increase in the relative eccentricities, ε1,2 (Figure 12), causes a decrease in the minimum oil film heights, h1,2min.
- For C*R = 0.5 and C*R = 1.12 the largest vibration displacements occur in node no. 4 (Table 3).
- For C*R = 0.5 and C*R = 1.12 the largest amplitudes of vibration accelerations occur in node no. 6 (Table 4).
- For the radial clearance quotient C*R = 0.5, the vibration acceleration amplitudes related to the standard gravity in the tested speed range do not exceed the acceptable values.
Author Contributions
Funding
Institutional Review Board Statement
Informed Consent Statement
Data Availability Statement
Conflicts of Interest
Abbreviations
| a | Amplitude of vibration accelerations (m/s2), |
| B | Bearing bush width (m), |
| cxx, cxy, cyx, cyy | Oil film stiffness coefficients (N/m), |
| cp | Specific heat measured at constant pressure (J/kg °C), |
| CRi =Ri − RJi | Radial clearance (m), |
| C*R = CR2/CR1 | Radial clearance quotient (−), |
| dxx, dxy, dyx, dyy | Oil film damping coefficients (N·s/m), |
| D | Diameter (m), |
| e | Eccentricity (m), |
| F | Bearing load (N), |
| FL | Oil film load capacity (N), |
| h | Lubrication gap height (m), |
| N1 | Rotation of the turbocharger rotors in revolutions per minute (rpm), |
| M | Moment (N∙m), |
| Mt | Moment of friction (N∙m), |
| n | Rotational speed (rps), |
| p | Pressure (N/m2), |
| pz | Pressure of oil supplying the bearing (N/m2), |
| R | Radius (m), |
| xi = φl · Ri | Cartesian coordinate in the circumferential direction, amplitude of vibration displacements (m), |
| y | Cartesian coordinate in the radial direction, amplitude of vibration displacements (m), |
| z | Cartesian coordinate in the direction of the roll axis of the bearing (m), |
| βi | Angle between the centre lines and the start of the angular coordinates φi (rad), |
| εi | Relative eccentricity (−), |
| η | Dynamic viscosity of oil (Pa·s), |
| λ | Thermal conductivity coefficient (W/m·deg), |
| ρ | Oil density (kg/m3), |
| φi | Angular coordinate (rad), |
| ω | Angular speed (1/s), |
| J | Journal; rotor journal for inner oil film or floating ring for outer oil film, |
| i = 1 | Inner oil film, |
| i = 2 | Outer oil film, |
| lim | Limit value, |
| max | Maximum value, |
| w = 1 | Bearing on the turbine side, |
| w = 4 | Bearing on the compressor side, |
| * | Dimensionless value. |
References
- Copa, J.R.; Tuna, C.E.; Silveira, J.L.; Boloy, R.A.M.; Brito, P.; Silva, V.; Cardoso, J.; Eusébio, D. Techno-Economic Assessment of the Use of Syngas Generated from Biomass to Feed an Internal Combustion Engine. Energies 2020, 13, 3097. [Google Scholar] [CrossRef]
- Caban, J.; Vrabel, J.; Górnicka, D.; Nowak, R.; Jankiewicz, M.; Matijošius, J.; Palka, M. Overview of Energy Harvesting Technologies Used in Road Vehicles. Energies 2023, 16, 3787. [Google Scholar] [CrossRef]
- Wróblewski, P.; Drożdż, W.; Lewicki, W.; Dowejko, J. Total Cost of Ownership and Its Potential Consequences for the Development of the Hydrogen Fuel Cell Powered Vehicle Market in Poland. Energies 2021, 14, 2131. [Google Scholar] [CrossRef]
- Dziubak, T.; Karczewski, M. Experimental Studies of the Effect of Air Filter Pressure Drop on the Composition and Emission Changes of a Compression Ignition Internal Combustion Engine. Energies 2022, 15, 4815. [Google Scholar] [CrossRef]
- Yang, Z.; Konovalov, D.; Radchenko, M.; Radchenko, R.; Kobalava, H.; Radchenko, A.; Kornienko, V. Analysis of Efficiency of Thermopressor Application for Internal Combustion Engine. Energies 2022, 15, 2250. [Google Scholar] [CrossRef]
- Chen, W.J. Rotordynamics and bearing design of turbochargers. Mech. Syst. Signal Process. 2012, 29, 77–89. [Google Scholar] [CrossRef]
- Li, Y.; Liang, F.; Zhou, Y.; Ding, S.; Du, F.; Zhou, M.; Bi, J.; Cai, Y. Numerical and experimental investigation on thermohydrodynamic performance of turbocharger rotor-bearing system. Appl. Therm. Eng. 2017, 121, 27–38. [Google Scholar] [CrossRef]
- Ramos, D.J.; Daniel, G.B. A new concept of active hydrodynamic bearing for application in rotating systems. Tribol. Int. 2021, 153, 106592. [Google Scholar] [CrossRef]
- Ryu, K.; Yi, H. Wire Mesh Dampers for Semi-Floating Ring Bearings in Automotive Turbochargers: Measurements of Structural Stiffness and Damping Parameters. Energies 2018, 11, 812. [Google Scholar] [CrossRef]
- Adiletta, G. Stability Effects of Non-Circular Geometry in Floating Ring Bearings. Lubricants 2020, 8, 99. [Google Scholar] [CrossRef]
- Smolík, L.; Dyk, Š. Towards efficient and vibration-reducing full-floating ring bearings in turbochargers. Int. J. Mech. Sci. 2020, 175, 105516. [Google Scholar] [CrossRef]
- Allmaier, H.; Priestner, C.; Reich, F.M.; Priebsch, H.H.; Novotny-Farkas, F. Predicting friction reliably and accurately in journal bearings—Extending the EHD simulation model to TEHD. Tribol. Int. 2013, 58, 20–28. [Google Scholar] [CrossRef]
- Domes, B. Amplituden der Unwucht—Und SelbsterregenSchwingungenHochtourigermitRotierenden und nichtrotierendenSchwimmendenBüchsen. Ph.D. Thesis, Universität Karlsruhe, Karlsruhe, Germany, 1980. [Google Scholar]
- Peixoto, T.F.; Cavalca, K.L. Thrust bearing coupling effects on the lateral dynamics of turbochargers. Tribol. Int. 2020, 145, 106166. [Google Scholar] [CrossRef]
- Sander, D.E.; Allmaier, H.; Priebsch, H.H.; Witt, M.; Skiadas, A. Simulation of journal bearing friction in severe mixed lubrication—Validation and effect of surface smoothing due to running. Tribol. Int. 2016, 96, 173–183. [Google Scholar] [CrossRef]
- Buluschek, B. Das SchwimmbüchsenlagerbeistationäremBetrieb. Ph.D. Thesis, Institut für Grundlagen der MaschinenKonstruktion, ETH Zürich, Zürich, Switzerland, 1980. [Google Scholar]
- Kim, S.; Palazzolo, A.B. Effects of thermohydrodynamic (THD) floating ring bearing model on rotordynamic bifurcation. Int. J. Non-Linear Mech. 2017, 95, 30–41. [Google Scholar] [CrossRef]
- Tian, L.; Wang, W.J.; Peng, Z.J. Dynamic behaviours of a full floating ring bearing supported turbocharger rotor with engine excitation. J. Sound Vib. 2011, 330, 4851–4874. [Google Scholar] [CrossRef]
- Zhou, H.-L.; Feng, G.-Q.; Luo, G.-H.; Ai, Y.-T.; Sun, D. The dynamic characteristics of a rotor supported on ball bearings with different floating ring squeeze film dampers. Mech. Mach. Theory 2014, 80, 200–213. [Google Scholar] [CrossRef]
- Blaut, J.; Breńkacz, Ł. Applications of the Teager-Kaiser energy operator in diagnostics of a hydrodynamic bearing. Eksploat. I Niezawodn. Maint. Reliab. 2020, 22, 757–765. [Google Scholar] [CrossRef]
- Chasalevris, A.; Louis, J.-C. Evaluation of Transient Response of Turbochargers and Turbines Using Database Method for the Nonlinear Forces of Journal Bearings. Lubricants 2019, 7, 78. [Google Scholar] [CrossRef]
- Krause, R. Experimentelle Untersuchung eines dynamisch beanspruchten Schwimmbüchsenlagers. Ph.D. Thesis, Institut für Grundlagen der MaschinenKonstruktion, ETH Zürich, Zürich, Switzerland, 1987. [Google Scholar]














| Preset Parameters |
|---|
| 1. Inner diameter of the inner and outer bearing bush: D1 = 31.875, D2 = 37.986 mm; clearance quotient: C*R = CR2/CR1 = 0.5, 1.12, 2.0; bearing width: B = 8.71 mm |
| 2. Geometrical parameters of the rotating assembly: a = 0.055 (m), b = 0.075 (m), c = 0.045 (m), Ix = 0.15 × 10−6 (m4) |
| 3. Relative eccentricity: |
| 4. Rotational speed of the bearing journal: N1 = 26,000–42,000 rpm |
| 5. Oil viscosity: Pa·s. Oil density: ρ(T) = 896.25 − 1.4375·T + 6.25 × 10−3·T2 kg/m3. Specific heat: cp(T) = 1802.07 − 2.878·T + 0.0087·T2 J/kg∙°C. Thermal conductivity of oil: λ = 0.145 J/kg·°C |
| 6. Young’s modulus of elasticity: E = 1.915 × 1011 N/m2 |
| 7. Point masses: m1 = 5.0; m2 = 0.3; m3 = 0.25; m4 = 2.0; m5 = m6 = 0.055 N∙s2/m |
| 8. Imbalance of rotating masses: Nw1 = Nw4 = 0.5∙10−5 N∙s2 |
| 9. Ambient temperature and temperature of oil supplying the bearing: T0 = 20 Tz = 60 °C |
| 10. Pressure of oil supplying the bearings: pz = 0.1 MPa |
| Analysed Operating Parameters | N1 = 26,000 (rpm) | N1 = 34,000 (rpm) | N1 = 42,000 (rpm) | ||||||
|---|---|---|---|---|---|---|---|---|---|
| C*R = 0.5 | C*R = 1.12 | C*R = 2.0 | C*R = 0.5 | C*R = 1.12 | C*R = 2.0 | C*R = 0.5 | C*R = 1.12 | C*R = 2.0 | |
| FL (N) | 314.705 | 257.525 | 156.04 | 376.64 | 302.905 | 188.575 | 424.575 | 345.005 | 215.875 |
| ε1 (−) | 0.778 | 0.588 | 0.409 | 0.775 | 0.59 | 0.415 | 0.773 | 0.59 | 0.420 |
| ε2 (−) | 0.8 | 0.8 | 0.8 | 0.8 | 0.8 | 0.8 | 0.8 | 0.8 | 0.8 |
| T1max (°C) | 75.220 | 78.000 | 77.75 | 78.338 | 83.648 | 81.852 | 81.754 | 86.526 | 85.971 |
| T2max (°C) | 96.808 | 91.559 | 78,247 | 104.16 | 97.355 | 82.531 | 110.75 | 102.62 | 86.103 |
| P1max (MPa) | 4.3537 | 2.6157 | 1.2898 | 5.1428 | 3.0725 | 1.5743 | 5.7595 | 3.4956 | 1.8115 |
| p2max (MPa) | 3.6531 | 3.0543 | 1.9260 | 4.3212 | 3.5576 | 2.2879 | 4.8402 | 4.0213 | 2.5975 |
| h1min (μm) | 22.155 | 23.894 | 29.555 | 22.512 | 23.780 | 29.252 | 22.698 | 23.788 | 28.997 |
| h2min (μm) | 10.000 | 13.000 | 20.000 | 10.000 | 13.000 | 20.000 | 10.000 | 13.000 | 20.000 |
| N2 (obr/min) | 7110 | 9282 | 10,640 | 9474 | 11,980 | 13,846 | 11,755 | 14,759 | 16,866 |
| N2/N1 | 0.273 | 0.357 | 0.409 | 0.279 | 0.352 | 0.408 | 0.280 | 0.351 | 0.402 |
| C*R = 0.5 | C*R = 1.12 | |||||||
|---|---|---|---|---|---|---|---|---|
| N1 (rpm) | y1 (μm) | y2 (μm) | y3 (μm) | y4 (μm) | y1 (μm) | y2 (μm) | y3 (μm) | y4 (μm) |
| 26,000 | 1.11 | 1.64 | 2.42 | 2.92 | 1.07 | 1.58 | 2.31 | 2.78 |
| 34,000 | 1.13 | 1.64 | 2.43 | 2.95 | 1.10 | 1.60 | 2.35 | 2.85 |
| 42,000 | 1.13 | 1.63 | 2.41 | 2.95 | 1.10 | 1.59 | 2.34 | 2.85 |
| N1 (rpm) | x1 (μm) | x2 (μm) | x3 (μm) | x4 (μm) | x1 (μm) | x2 (μm) | x3 (μm) | x4 (μm) |
| 26,000 | 0.0619 | 0.0883 | 1.45 | 1.95 | 0.617 | 0.0879 | 1.46 | 1.98 |
| 34,000 | 1.04 | 1.41 | 2.49 | 3.54 | 0.904 | 1.27 | 1.95 | 2.52 |
| 42,000 | 1.26 | 1.64 | 2.71 | 3.77 | 1.17 | 1.56 | 2.49 | 3.37 |
| Operating Parameters | C*R = 0.5 | C*R = 1.12 | ||
|---|---|---|---|---|
| N1 (rpm) | a*y5 (−) | a*y6 (−) | a*y5 (−) | a*y6 (−) |
| 26,000 | 0.116 | 0.153 | 0.548 | 0.754 |
| 34,000 | 0.129 | 0.142 | 1.13 | 1.60 |
| 42,000 | 0.427 | 0.785 | 1.83 | 2.61 |
| N1 (rpm) | a*x (−) | a*x6 (−) | a*x5 (−) | a*x6 (−) |
| 26,000 | 0.114 | 0.180 | 0.135 | 0.220 |
| 34,000 | 0.324 | 0.558 | 0.376 | 0.564 |
| 42,000 | 0.543 | 0.897 | 0.660 | 1.04 |
Disclaimer/Publisher’s Note: The statements, opinions and data contained in all publications are solely those of the individual author(s) and contributor(s) and not of MDPI and/or the editor(s). MDPI and/or the editor(s) disclaim responsibility for any injury to people or property resulting from any ideas, methods, instructions or products referred to in the content. |
© 2023 by the authors. Licensee MDPI, Basel, Switzerland. This article is an open access article distributed under the terms and conditions of the Creative Commons Attribution (CC BY) license (https://creativecommons.org/licenses/by/4.0/).
Share and Cite
Mazurkow, A.; Homik, W.; Lewicki, W.; Łosiewicz, Z. Evaluation of Selected Dynamic Parameters of Rotating Turbocharger Units Based on Comparative Model and Bench Tests. Energies 2023, 16, 5550. https://doi.org/10.3390/en16145550
Mazurkow A, Homik W, Lewicki W, Łosiewicz Z. Evaluation of Selected Dynamic Parameters of Rotating Turbocharger Units Based on Comparative Model and Bench Tests. Energies. 2023; 16(14):5550. https://doi.org/10.3390/en16145550
Chicago/Turabian StyleMazurkow, Aleksander, Wojciech Homik, Wojciech Lewicki, and Zbigniew Łosiewicz. 2023. "Evaluation of Selected Dynamic Parameters of Rotating Turbocharger Units Based on Comparative Model and Bench Tests" Energies 16, no. 14: 5550. https://doi.org/10.3390/en16145550
APA StyleMazurkow, A., Homik, W., Lewicki, W., & Łosiewicz, Z. (2023). Evaluation of Selected Dynamic Parameters of Rotating Turbocharger Units Based on Comparative Model and Bench Tests. Energies, 16(14), 5550. https://doi.org/10.3390/en16145550

