Next Article in Journal
Hydrogen Technologies: A Critical Review and Feasibility Study
Previous Article in Journal
Open-Access Model of a PV–BESS System: Quantifying Power and Energy Exchange for Peak-Shaving and Self Consumption Applications
 
 
Font Type:
Arial Georgia Verdana
Font Size:
Aa Aa Aa
Line Spacing:
Column Width:
Background:
Article

Sliding Mode Control for Perturbed Nonlinear Systems with State and Control Signal Constraints

Institute of Automatic Control, Łodź University of Technology, 90-924 Łodź, Poland
*
Author to whom correspondence should be addressed.
Energies 2023, 16(14), 5481; https://doi.org/10.3390/en16145481
Submission received: 30 March 2023 / Revised: 27 April 2023 / Accepted: 17 July 2023 / Published: 19 July 2023

Abstract

:
In this paper, the continuous nonlinear perturbed system is discussed. A sliding mode controller was designed using the reaching law technique. The main goal was to satisfy the state constraints in the form of linear combinations for the whole regulation process. We also took into account the control signal limitation and did not require that the external disturbances fulfill the matching conditions. Moreover, we aimed to ensure the fastest, monotonic, and finite-time convergence of the representative point to the sliding hyperplane.

1. Introduction

In recent years, the popularity of the variable structure control approach has been gradually increasing, both in the theoretical field as well as in practical applications [1,2,3,4,5,6]. The main reason is the intense research to find the method that will efficiently reject the external disturbances and model uncertainties. This is one of the most important topics in the control theory because unpredictable perturbations can cause a major reduction in the system performance or even make it unstable. Among the most popular applications of the sliding mode control one can find power converter and electric drive systems. The reason for this is that the disadvantage of the “basic” sliding mode control paradigm, i.e., the discontinuous control signal is not an issue, as the control signal in those systems is naturally discontinuous (switching transistor on or off). However, for any other system, this basic control method can be changed in various ways to produce a continuous signal.
One of the leading approaches to address this issue, in the area of variable structure control, is the sliding mode [7,8,9,10]. This technique provides robustness to a wide class of external disturbances and model uncertainties, even if they do not satisfy the matching conditions. Moreover, the sliding mode control can be applied to both continuous-time and discrete-time systems, which is of great importance, since modern control processes are commonly applied digitally. Moreover, sliding mode control usually requires a small computational effort.
The roots of this strategy can be traced down to the early 1960s when Emelyanov [11] made an interesting observation: switching between separately unstable systems may result in a stable system. Later, Drazenowić in [12] stated and proved the theorem that the sliding mode control is more the just robust—it can ensure the insensitivity to all external disturbances. Since then, researchers have investigated this technique to adjust it to handle many different control problems [13,14,15,16].
The main concept of the sliding mode control is to lead the system’s representative point to the predefined sliding hyperplane and then enforce the stable sliding motion along it, until the moment when the desired state is settled. Thus, during the control process, we distinguish the reaching phase and the sliding phase. The significant improvement of the sliding mode control design methodology was the introduction of the reaching law approach. Instead of investigating the stability of the sliding motion by Lyapunov’s theorem, the alternative way is to predefine the evolution of the sliding variable. This variable, in some sense, reflects the distance between the state and the sliding hyperplane. This approach greatly reduces the complexity of the controller design, since the existence of a stable sliding mode results directly from the reaching law and thus does not need to be demonstrated. Such a method was found to be very popular for both continuous-time and discrete-time systems. Various authors have presented a wide range of reaching laws, to claim the favorable system properties.
Nonetheless, in the literature, an insufficient emphasis has been placed on the problem of constraining the state and, at the same time, ensuring fast convergence of the representative point to the sliding hyperplane [17,18,19,20,21,22]. In particular, there are few works on this topic for nonlinear systems in which disturbances do not satisfy the matching conditions. In [23], a second-order sliding mode controller for nonlinear systems was proposed. It had some important advantages, as a second-order sliding mode inherently removed the chattering. Unfortunately, only constraining the output of the system was considered, and not all of the states. In [24], a sliding mode controller was proposed, and its validity was demonstrated for a quadrotor system. Unfortunately, the authors took into account only the limits of the control signal, not all the state variables. Moreover, the approach was presented only for second-order systems. In [25], a sliding mode controller for attitude control of a satellite was analyzed. It took into account the saturations of reaction wheels and the maximum torques that could be exerted by them. Unfortunately, the approach was developed specifically for this task, and it was not clear how it could be extended to a general dynamical system. In [26], sliding mode control of a micropositioning piezo stage was analyzed. In order to cope with constraints, such as the maximum input voltage, the controller used the model predictive paradigm. The controller action was tested in computer simulations as well as in experimental tests. A drawback of introducing the predictive part was that it increased the computational complexity. Moreover, this approach, similarly to [25] was developed for a specific task, and it was not evident how it could be generalized; furthermore, only control signal constraints were taken into account. In [27], the authors proposed an adaptive sliding mode controller for a linear motor positioner. The approach was based on the barrier function, which enabled variation of the control effort, as the disturbance magnitude varied. The results were verified analytically as well as in real laboratory tests. Unfortunately, the results were obtained for a particular second-order system, and it was not entirely clear how they could be generalized. In [28], authors also used the adaptive control approach to obtain fault tolerant control of Euler–Lagrange systems. Unfortunately, even for a relatively simple example of a two-link manipulator, there seemed to be many parameters to tune, and the authors did not present any clear guidelines on their selection. In [29], a sliding mode controller for trajectory control of Permanent Magnet Synchronous Machines was developed. One of the interesting aspects was the use of iterative feedback tuning, which allowed them to take into account the results of a single task and fine-tune the parameters to obtain better performance when this task was repeated.
In this paper, we demonstrate the technique to limit the linear combinations of the state variables and also restrict the control input. What is more, we guarantee the fast, monotonic, and finite-time convergence of the sliding variable to zero. We also present the a priori sufficient condition that determines if the mentioned system properties are assured for the whole regulation period, even if the external disturbances are the most unfavorable. Another advantage of our control strategy is that it does not need any additional parameter tuning.
This paper is organized in the following way. Section 2 introduces the considered system dynamics, the proposed reaching law, and the preliminary controller design. Then, in Section 3, the details about the sliding variable convergence rates are considered. These rates address the issue of fulfilling the enforced constraints. Section 4 proposes the general control strategy and presents the sufficient condition for monotonic, finite-time convergence of the representative point to the sliding hyperplane without violating the imposed restrictions. Section 5, demonstrates the simulation results while Section 6 concludes the paper.

2. Materials and Methods

In this paper, we take into consideration the class of disturbed, nonlinear plants. Therefore, the system dynamic can be described in the state space as
x ˙ t = f x t + g x t u t + d t ,
where x t is a n × 1 dimensional state vector, f , g are nonlinear functions that process the state into the same dimensional output, u t is a scalar control input and d t denotes the unknown but bounded, external perturbations: | d i t   | <   D i for i { 1 , , n } . For the sake of clarity, we define D = D 1 , , D n T . Subsequently, the sliding hyperplane is selected as
c T x t = 0 ,
where c T = c 1 , , c n . The distance between the representative point and the sliding hyperplane will be reflected by the sliding variable s t = c T x t . Let us note that vector c has to satisfy c T g x 0 . Otherwise, the control input would not have a direct impact on the sliding variable.
Predetermining the evolution of the sliding variable comes with many benefits, such as simplicity in controller design or significant insight into the reaching phase. Thus, we consider the following, simple reaching law:
s ˙ t = K sgn s t + c T d t ,
where K determines the controller impact on the sliding variable. In the above equation, as well as in the remainder of the paper, “sgn” denotes the sign function; it is equal to one for positive arguments, −1 for negative, and is equal to zero when its argument is zero. In the upcoming section, we will adjust this convergence rate in such a manner to match all requirements that were mentioned in the introduction.
Let us notice that the introduced reaching law is not free from external disturbances. If this was not true, the unknown disturbances would appear in the control signal, making it unfeasible. Another important observation is that the convergence range K should exceed the most extreme impact of the perturbations. Otherwise, we would not be able to guarantee the monotonic and finite-time convergence of the sliding variable to zero. Precisely, the convergence rate needs to be designed so that the condition
sgn s t s ˙ t λ > 0
is fulfilled up to the moment when the sliding hyperplane is reached. The above inequality is equivalent to
K c T d t sgn s t λ > 0 ,
which is more descriptive in terms of the convergence rate. We can further simplify this, without the loss of generality, by introducing
D max = c 1 D 1 + c n 1 D n 1 + c n D n ,
so the final requirement is
K D max λ > 0 .
Subsequently, the controller design is performed by taking into account (1) and (2). As a result we obtain
u t = c T g x t 1 c T f x t + K sgn s t .
Once again, let us observe that the uncertain terms are not present in the formula for the control signal, even though the external disturbances occur in the reaching law. Another benefit of predefining the evolution of the sliding variable is that we can approximate the duration of the reaching phase. The only uncertainty will be caused by the unknown perturbations.

3. State and Control Input Restriction

In this section we will design the convergence rates K u , K α i , i { 1 , , m } , where m denotes the number of state restrictions. These convergence rates correspond to the control signal constraint and the linear combinations of the state variable constraints: α i x = α i 1 x 1 + + α i n x n , α i j . We presume that the constraints result in a compact region.
The general approach used in this paper is similar to the one already applied in [30]. However, there are some significant improvements. First of all, in this paper, we consider a nonlinear system that extends the applicability of the results. Moreover, we introduce a method that, by taking into account the initial state, can extend the range of systems for which the proposed approach guarantees satisfying the constraints. Thirdly, the input vector, by which the control signal is multiplied, is allowed to vary with the state, which also extends the results.
To clarify the upcoming formulas, we introduce α i e = α i 1 , , α i n . First of all, let us explicitly specify the admissible set:
X 0 = { x n : i { 1 , , m } α i x r i , | c T x | | c T x 0 | } ,
where x 0 = x 0 is the initial state. As one can observe, the form (9) allows to constrain any linear combinations of the state. Moreover, those constraints do not need to be symmetric with respect to the origin. As the controller ensures convergence to the sliding hyperplane, only the part of the admissible region, which is “closer” to the sliding hyperplane (namely for which | c T x |     | c T x 0 | ) than the initial state needs to be considered. Nonetheless, if the initial state is unidentified, then the form of the admissible set is
X = { x n : i { 1 , , m } α i x r i } .
Next, we consider the state variable constraints α i x r i . The idea is to ensure α i ˙ x 0 (which is equivalent to α i x ˙ 0 ), when α i x = r i . Then, the restriction will not be violated. To reach this goal, let us rewrite this condition using (1). As a result, we obtain
0 α i e f x t + α i d α i e g x t c T g x t 1 { c T f x t + K sgn s t } .
To improve clarity, we introduce the maximal possible disturbance that acts in the direction of the considered linear combination:
D α i = α i 1 , , α i n D .
The inequality (11) describes the condition that the convergence rate must satisfy, in order not to violate the i-th constraint. Thus, we can obtain from it the maximum convergence rate (assuming the “worst” possible disturbance values) that will be used when the state slides along the i-th constraint. As K is a general symbol for the convergence rate, we mark this new convergence rate as K α i ; it will be used only when the state lies on the i-th constraint.
K α i = sgn s t c T f x t + sgn s t c T g x t α i e g x t 1 α i e f x t + D α i .
Let us notice that we need to require α i e g x t 0 . Else, the control input would not have a direct impact in the direction of the respective linear combination of state variables. What is more, let us observe from (11) that when
sgn α i e g x t c T g x t s t = 1
and α i x = r i , then diminishing the convergence rate K below K α i will not cause exceeding the respective limitation. However, in such case, raising the convergence rate above (13) may cause the respective constraint violation—it depends on the impact of the perturbations. Whereas if (14) is not satisfied, then we can increase the convergence rate up the level corresponding to the control signal constraint. Thus, we denote K α i = K α i if (14) is satisfied and K α i = K α i + otherwise. We can observe, that if we substitute (13) to the formula for the control signal, we obtain u t = α i e g x t 1 α i e f x t + D α i . In our notation, u ( t ) corresponds to the control signal that will actually be generated by the controller. We additionally introduce U i ( t ) , which is the control signal that would be used in order to “slide” along the i-th constraint so as not to violate it. This allows us to write the following equations in a more compact and readable form. Thus, we denote the direct control input in the situation when K α i is used:
U i t = α i e g x t 1 α i e f x t + D α i .
As a consequence, we can rewrite (13) in a more meaningful and clear form
K α i = sgn s t c T g x t U i t sgn s t c T f x t .
Lastly, let us design the convergence rate K u connected with the control signal restriction | u t | r u . Let us point out, that our approach could take into account non-symmetric bounds on the control signal. In every case considered below, one would then have to split the state space into two regions: one where a positive control signal is generated and one where a negative one is used. Then one would need to demonstrate the validity of the theorems presented in the next section separately for those two regions. We have chosen not to do this in the presented paper, as in our view, it would make the derivations significantly harder to follow. Using the formula for the control signal, we rewrite the limitation to obtain
r u c T g x t 1 c T f x t + K sgn s t r u .
As the sign of the sliding variable is constant and non-zero in the reaching phase, we derive the biggest
K u = c T g x t r u sgn s t c T f x t
and the smallest
K min u = c T g x t r u sgn s t c T f x t
convergence rates that satisfy (17). Hence, using (18) we have u t = sgn c T g x t r u whereas using (19) we have u t = sgn c T g x t r u .

4. Sufficient Condition and Control Strategy

In this section, we will present the regulation strategy that determines how to choose the convergence in each possible case. Moreover, we will formulate sufficient conditions for the monotonic and finite-time convergence of the representative point to the sliding hyperplane, at the same time maintaining the state and control input constraints. It will be divided into four theorems for readability reasons so that each of them will clearly determine its purpose.
First of all, the control signal limitation must be sufficient to overcome the perturbation and guarantee that the sliding variable will gradually decrease to zero. This condition can be written in the following way:
K u D max λ > 0 .
The above inequality needs to be true up to the moment when the sliding motion begins.
Theorem 1.
To fulfill inequality (20) it is sufficient to satisfy
r u c T g x t 1 sgn s t c T f x t + D max + λ ,
for x t in the admissible set.
Proof. 
The inequality (21) can be directly obtained by substituting (18) to (20) and then dividing both sides by c T g x t . □
Since any (21) results in satisfying K min u 0 , thus any positive convergence rate will not be too small to violate the control signal constraint.
Secondly, we must ensure the analogous condition for the state constraint. However, if K α i = K α i + , then the convergence rate can be increased; we just need to enforce the condition in the case when K α i = K α i . Therefore, we only require
K α i D max λ > 0 ,
for i { 1 , , m } .
Theorem 2.
To fulfill inequality (22) it is sufficient to satisfy
sgn α i e g x t U i t c T g x t 1 sgn s t c T f x t + D max + λ ,
for i { 1 , , m } , when K α i = K α i , α i x = r i and x t belonging to the admissible set.
Proof. 
After substituting (16) into (22), subtracting from both sides the λ and then dividing both sides by c T g x t we obtain
sgn c T g x t s t U i t c T g x t 1 sgn s t c T f x t + D max + λ 0 .
Now, taking into account that (14) is true we have sgn c T g x t s t = sgn α i e g x t . Therefore, we obtain (23). □
Even though a similar condition to the (22) for K α i + is not required, we must guarantee that the allowed control signal value range enables us to implement K α i + when it is needed. As a consequence, we must satisfy
K u K α i + .
Theorem 3.
To fulfill inequality (25) it is sufficient to satisfy
sgn α i e g x t U i t + r u 0 ,
for i { 1 , , m } , when K α i = K α i + , α i x = r i and x t belonging to the admissible set.
Proof. 
Let us begin with multiplying both sides of the above inequality by c T g x t . Then, we subtract from both sides the expression sgn s t c T f x t . As a consequence we obtain
c T g x t r u sgn s t c T f x t c T g x t sgn α i e g x t U i t sgn s t c T f x t .
We can notice that the left-hand side of the inequality is the formula for K u . To transform the right hand side to K α i + we observe that since K α i = K α i + , then sgn α i e g x t c T g x t s t = 1 . From this we have that sgn α i e g x t = sgn c T g x t s t . Hence, the right-hand side is equal to K α i + , which ends the proof. □
Up to this point, we guaranteed that K α i , K u are large enough to overcome the perturbation and that the control signal limitation will not contradict the particular state limitation. Now, we need to ensure that two different state constraints will not contradict each other. To obtain this goal, we must consider the case only on the intersection of i-th and j-th state limitation. Therefore, we need to satisfy
K α i K α j + ,
or else at least one of the constraints will be exceeded.
Theorem 4.
To fulfill inequality (28) it is sufficient to satisfy
sgn α i e g x t U i t + sgn α j e g x t U j t 0 ,
for i , j { 1 , , m } , i j , when α i x = r i , α j x = r j and x t belonging to the admissible set.
Proof. 
First of all, let us notice that if K α i = K α i , K α j = K α j + , then sgn α i e g x t = sgn c T g x t s t as well as sgn α j e g x t = sgn c T g x t s t . Therefore, we can write
sgn c T g x t s t U i t sgn c T g x t s t U j t .
Secondly, we need to multiply both sides by c T g x t and then subtract from both sides sgn s t c T f x t . As a result, we obtain (28). □
As we mentioned at the beginning of this section, we have to design the regulation strategy that will determine which convergence rate should be selected in each case. Let us remember that our purpose is to obtain the fastest, monotonic, and finite-time convergence of the sliding variable to zero, simultaneously limiting the control input and the state variables. Therefore, if we can, we should select K u , and if is not possible, then choose the biggest possible convergence rate allowed—so only a respective K α i , because if K = K α i + , then we can rise the rate up to K u .

Control Strategy

1.
If the representative point belongs to the interior of the admissible set or to its boundary/boundaries for which (14) is not satisfied, then we choose K = K u .
2.
Otherwise, K = min { K u , K α i 1 , K α i 2 , , K α i l } , for those K α j for which α j x = r j .
3.
After the sliding hyperplane is reached, K should be chosen big enough to overcome the extreme impact of the external disturbances on the sliding variable K D max .
Another benefit of the above regulation strategy is that the designer will be assured in advance that the constraints will hold for the whole control process.
Nevertheless, the presented strategy may result in a chattering effect even during the reaching phase. This undesirable effect can be caused by fast switching between two different convergence rates. Let us explain in detail the reasons for that. When the boundary of the admissible region is reached, for which K = K α i , the convergence rate K α i is selected. However, this convergence rate is designed with a safe margin, so as to handle even the extreme impact of the disturbance. As the extreme impact is rarely probable to occur, this will drive the representative point back into the interior of the admissible set. As a consequence, the convergence rate K u will be selected, and the state will reach the constraint again. This repeating process will be reflected in chattering. To prevent this from happening, we can implement a smooth transition between K u and K α i . This can be obtained for instance, by implementing the convex combination: α i x + ε r i ε K α i + r i α i x ε K u , if α i x r i ε . The neighborhood width ε is arbitrary, but it should be narrow. Moreover, if α i x r i ε is true for many limitations, we should consider only the one for which K α i is the smallest.

5. Results

For the purpose of illustrating the theoretical results, we performed computer simulations of the system (1) with
f x t = sgn x 2 t | x 2 t | 1.5 x 3 t sin x 1 t , g x t = 0.1 1   +   | x 1 t | 2 + 0.1 sin x 2 t ,
c T = 1 0.5 3 , d t = 5 1 10 t 10 sin 10 t 2 sin 20 t .
Therefore, the biggest impact of the external disturbances in the direction of the sliding hyperplane is D max = 36 . Moreover, the sliding hyperplane was designed so that the sliding motion is assured and c T g x t 0 .
Our goal was to drive the representative point from the initial state x 0 = 70 , 2 , 5 T to 0 , 0 , 0 T and satisfy the following limitations from the very beginning of the control process: 70 x 1 t 70 , 10 x 2 t 10 , 8 1.5 x 2 t + x 3 t 8 and 150 u ( t ) 150 . Thus, α 1 e = 1 , 0 , 0 , α 2 e = 1 , 0 , 0 , α 3 e = 0 , 1 , 0 , α 4 e = 0 , 1 , 0 , α 5 e = 0 , 1.5 , 1 , α 6 e = 0 , 1.5 , 1 and r 1 = r 2 = 70 , r 3 = r 4 = 10 , r 5 = r 6 = 8 , r u = 150 . Moreover, we required that the sliding hyperplane would be reached monotonically and in finite time. The initial state was chosen on the boundary of the admissible set (on the intersection of two different constraints) to demonstrate the properties of our regulation strategy. We could observe that the sufficient condition, presented in the previous section, was fulfilled. In order to remove the chattering effect during the sliding phase, the convergence rate K was reduced in a small vicinity of the sliding hyperplane, using the saturation function.
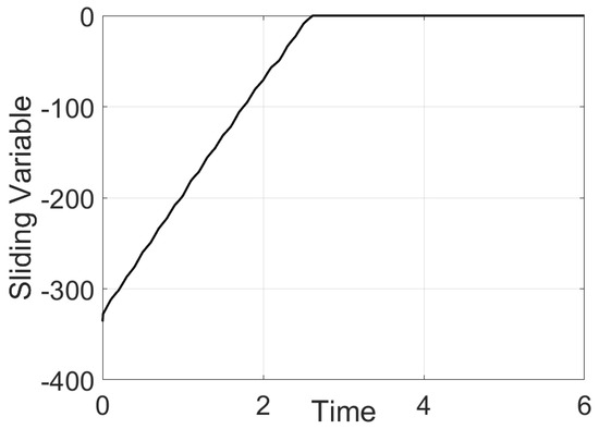
Figure 1 presents the sliding variable. As we can see, the sliding hyperplane is reached monotonically and in finite time. Then, the quasi-sliding motion was preserved for the purpose of avoiding the chattering effect. This can be verified in Figure 2, where the control signal is illustrated and is achieved by replacing the sign function with a saturation function in the vicinity of the sliding hyperplane. Moreover, from Figure 2, we can see that the maximal possible value is used just for a brief period of time (for one millisecond). It is a consequence of rapidly driving the representative point onto the state constraint, for which (14) is satisfied. This can be seen in Figure 3, where the evolution of state combination 1.5 x 2 t + x 3 t is depicted. We can observe that the state combination swiftly decreases from its maximal possible value. The reason for that is the use of the maximal possible control signal, which was described above, and the fact that (14) is false for this constraint. Then, the motion similar to quasi-sliding motion is obtained along the limitation 1.5 x 2 t + x 3 t = 8 . This is a result of the smooth transition between the convergence rates. The benefit of this approach is removing the chattering effect. Next, Figure 4 presents the first state variable. Due to the fact that (14) is true for i = 2 , the K u is implemented. Thus, the representative point leaves the constraint x 1 t = 70 . Lastly, Figure 5 depicts the evolution of the second state variable. In the beginning, the second state variable value increases from 2 to approximately 9 and then remains in the interval [ 10 , 2 ] , so the second state variable limitation holds for the whole regulation time.

6. Discussion

In this paper, the issue of constraining the state variables and the control signal in the sliding mode control was discussed. The nonlinear continuous system, impacted by external disturbances that did not need to fulfill the matching conditions, was analyzed. The sliding mode controller was designed using the reaching law approach. After that, the method for choosing a proper convergence rate in each case was demonstrated. As a result, we established a method to obtain fast, monotonic, and finite-time convergence of the sliding variable to zero. The sufficient condition that guarantees imposed properties was then stated and formally proved. What is more, the simulation results illustrated the benefits of the proposed technique. Our next aim is to enhance the control strategy by taking into account the nonlinear constraints and time-varying parameter uncertainties.

Author Contributions

Conceptualization, P.L.; Methodology, P.L. and M.J.; Validation, M.J. All authors have read and agreed to the published version of the manuscript.

Funding

This research received no external funding.

Data Availability Statement

Not applicable.

Conflicts of Interest

The authors declare no conflict of interest.

References

  1. Jedda, O.; Douik, A. Optimal discrete-time sliding mode control for nonlinear systems. In Proceedings of the 15th International Multi-Conference on Systems, Signals & Devices, Hammamet, Tunisia, 19–22 March 2018; pp. 1369–1373. [Google Scholar]
  2. Keleher, P.; Stonier, R. Sliding mode control of a PR manipulator at physical constraint boundaries. In Proceedings of the 7th International Conference on Control Automation, Robotics and Vision, Singapore, 2–5 December 2002; pp. 833–838. [Google Scholar]
  3. Schreibeis, J.; Wulff, K.; Reger, J.; Moreno, J. Lyapunov-stability for the sliding-mode control of a turbocharger subject to state constraints. In In Proceedings of the 43rd Annual Conference of the IEEE Industrial Electronics Society, Beijing, China, 29 October–1 November; 2017; pp. 4068–4073. [Google Scholar]
  4. Wu, Q.; Wang, C.; Li, A.; Huang, B. Integral sliding mode controller design for near space vehicle with input constraints. In Proceedings of the IEEE Chinese Guidance, Navigation and Control Conference, Nanjing, China, 12–14 August 2016; pp. 187–191. [Google Scholar]
  5. Zhang, K.; Yang, S. Fast convergent nonsingular terminal sliding mode guidance law with impact angle constraint. In Proceedings of the 37th Chinese Control Conference, Wuhan, China, 25–27 July 2018; pp. 2964–2968. [Google Scholar]
  6. Zhou, M.; Zhou, J.; Guo, Z. Finite-time sliding mode based terminal area guidance with multiple constraints. In Proceedings of the 3rd International Conference on Control and Robotics Engineering (ICCRE), Nagoya, Japan, 20 April 2018; pp. 60–64. [Google Scholar]
  7. Bartoszewicz, A.; Nowacka-Leverton, A. SMC without the reaching phase—The switching plane design for the third order system. Proc. IET Part D Control Theory Appl. 2007, 1, 1461–1470. [Google Scholar] [CrossRef]
  8. Bartoszewicz, A.; Leśniewski, P. Reaching law approach to the sliding mode control of periodic review inventory systems. IEEE Trans. Autom. Sci. Eng. 2014, 11, 810–817. [Google Scholar] [CrossRef]
  9. Janardhanan, S.; Bandyopadhyay, B. Output feedback sliding-mode control for uncertain systems using fast output sampling technique. IEEE Trans. Ind. Electron. 2006, 53, 1677–1682. [Google Scholar] [CrossRef]
  10. Junejo, K.; Xu, W.; Ismail, M.; Liu, Y. Adaptive Speed Control of PMSM Drive System Based A New Sliding-Mode Reaching Law. IEEE Trans. Pow. Electron. 2020, 35, 2110–12121. [Google Scholar] [CrossRef]
  11. Emelyanov, S. Variable Structure Control Systems; Nauka: Moscow, Russia, 1967. [Google Scholar]
  12. Draženović, B. The invariance conditions in variable structure systems. Automatica 1969, 5, 287–295. [Google Scholar] [CrossRef]
  13. DeCarlo, R.; Żak, S.; Mathews, G. Variable structure control of nonlinear multivariable systems: A tutorial. Proc. IEEE 1988, 76, 212–232. [Google Scholar] [CrossRef]
  14. Milosavljević, Č. General conditions for the existence of a quasisliding mode on the switching hyperplane in discrete variable structure systems. Autom. Remote Control 1985, 46, 307–314. [Google Scholar]
  15. Utkin, V.; Drakunow, S. On discrete-time sliding mode control. IFAC Conf. Nonlinear Control 1989, 22, 484–489. [Google Scholar]
  16. Bartoszewicz, A. Discrete-time quasi-sliding-mode control strategies. IEEE Trans. Ind. Electron. 1998, 45, 633–637. [Google Scholar] [CrossRef]
  17. Gao, W.; Hung, J. Variable structure control of nonlinear systems: A new approach. IEEE Trans. Ind. Electron. 1993, 40, 45–55. [Google Scholar]
  18. Zhou, J.; Liu, Z.; Pei, R. Sliding mode model predictive control with terminal constraints. In Proceedings of the 3rd World Congress on Intelligent Control and Automation, Hefei, China, 28 June–2 July 2000; pp. 2791–2795. [Google Scholar]
  19. Innocenti, M.; Falorni, M. State constrained sliding mode controllers. In Proceedings of the 1998 American Control Conference (ACC), Philadelphia, PA, USA, 26–26 June 1998; pp. 104–108. [Google Scholar]
  20. Dinuzzo, F. A second order sliding mode controller with polygonal constraints. In Proceedings of the 48th IEEE Conference on Decision and Control (CDC) Held Jointly with 2009 28th Chinese Control Conference, Shanghai, China, 15–18 December 2009; pp. 6715–6719. [Google Scholar]
  21. Bartoszewicz, A. A new reaching law for sliding mode control of continuous time systems with constraints. Trans. Inst. Meas. Control 2015, 37, 515–521. [Google Scholar] [CrossRef]
  22. Haroon, F.; Aamir, M.; Waqar, A. Second-Order Rotating Sliding Mode Control with Composite Reaching Law for Two Level Single Phase Voltage Source Inverters. IEEE Access 2022, 10, 60177–60188. [Google Scholar] [CrossRef]
  23. Zhang, L.; Ding, S.; Ma, L.; Pan, T. SOSM Controller Design for Output Constrained Systems Subject to Disturbances with Unknown Magnitudes. IEEE Trans. Circuits Syst. 2022, 69, 3799–3803. [Google Scholar] [CrossRef]
  24. Liu, K.; Wang, R. Antisaturation Adaptive Fixed-Time Sliding Mode Controller Design to Achieve Faster Convergence Rate and Its Application. IEEE Trans. Circuits Syst. 2022, 69, 3555–3559. [Google Scholar] [CrossRef]
  25. Mancini, M.; Capello, E. Reaching Law-Based SMC for Spacecraft Applications with Actuators Constraints. IEEE Control Syst. Lett. 2022, 6, 2036–2041. [Google Scholar] [CrossRef]
  26. Kang, S.; Wu, H.; Yang, X.; Yao, J.; Chen, B.; Lu, H. Discrete-Time Predictive Sliding Mode Control for a Constrained Parallel Micropositioning Piezostage. IEEE Trans. Syst. Man Cybern. 2022, 52, 3025–3036. [Google Scholar] [CrossRef]
  27. Shao, K.; Zheng, J.; Wang, H.; Wang, X.; Lu, R.; Man, Z. Tracking Control of a Linear Motor Positioner Based on Barrier Function Adaptive Sliding Mode. IEEE Trans. Ind. Informat. 2021, 17, 7479–7488. [Google Scholar] [CrossRef]
  28. Shao, K.; Tang, R.; Xu, F.; Wang, X.; Zheng, J. Adaptive sliding mode control for uncertain Euler–Lagrange systems with input saturation. J. Frankl. Inst. 2021, 358, 8356–8376. [Google Scholar] [CrossRef]
  29. He, C.; Li, S.; Shao, K.; Meng, W.; Zhao, H. Robust Iterative Feedback Tuning Control of a Permanent Magnet Synchronous Motor with Repetitive Constraints: A Udwadia–Kalaba Approach. J. Vib. Eng. Tech. 2021, 10, 83–94. [Google Scholar] [CrossRef]
  30. Jaskuła, M.; Leśniewski, P. Constraining State Variables and Control Signal via Sliding Mode Control Approach. IEEE Access 2020, 8, 111475–111481. [Google Scholar] [CrossRef]
Figure 1. Sliding Variable.
Figure 1. Sliding Variable.
Energies 16 05481 g001
Figure 2. Control Signal.
Figure 2. Control Signal.
Energies 16 05481 g002
Figure 3. State Combination.
Figure 3. State Combination.
Energies 16 05481 g003
Figure 4. First State Variable.
Figure 4. First State Variable.
Energies 16 05481 g004
Figure 5. Second State Variable.
Figure 5. Second State Variable.
Energies 16 05481 g005
Disclaimer/Publisher’s Note: The statements, opinions and data contained in all publications are solely those of the individual author(s) and contributor(s) and not of MDPI and/or the editor(s). MDPI and/or the editor(s) disclaim responsibility for any injury to people or property resulting from any ideas, methods, instructions or products referred to in the content.

Share and Cite

MDPI and ACS Style

Leśniewski, P.; Jaskuła, M. Sliding Mode Control for Perturbed Nonlinear Systems with State and Control Signal Constraints. Energies 2023, 16, 5481. https://doi.org/10.3390/en16145481

AMA Style

Leśniewski P, Jaskuła M. Sliding Mode Control for Perturbed Nonlinear Systems with State and Control Signal Constraints. Energies. 2023; 16(14):5481. https://doi.org/10.3390/en16145481

Chicago/Turabian Style

Leśniewski, Piotr, and Marek Jaskuła. 2023. "Sliding Mode Control for Perturbed Nonlinear Systems with State and Control Signal Constraints" Energies 16, no. 14: 5481. https://doi.org/10.3390/en16145481

APA Style

Leśniewski, P., & Jaskuła, M. (2023). Sliding Mode Control for Perturbed Nonlinear Systems with State and Control Signal Constraints. Energies, 16(14), 5481. https://doi.org/10.3390/en16145481

Note that from the first issue of 2016, this journal uses article numbers instead of page numbers. See further details here.

Article Metrics

Back to TopTop