Wind Turbine Active Fault Tolerant Control Based on Backstepping Active Disturbance Rejection Control and a Neurofuzzy Detector
Abstract
1. Introduction
2. Wind Power System Modeling
2.1. Wind Turbine Model
2.2. Model Gearbox
2.3. Dynamic Model of Shaft
2.4. Generator Model
2.5. Maximum Power Point Tracking
3. Design of the AFTC Based on the BADRC and ANFIS
3.1. Design of FTC Based on the Backstepping ADRC Technique
3.2. Discussion of Overall Closed-Loop Stability
3.3. Actuator Fault Detection and Isolation
3.3.1. Neurofuzzy Detector Based on PCA Projections
3.3.2. Projection of Data on Principal Components
3.3.3. Learning Process of the Detector
3.3.4. Evaluation of the Detector
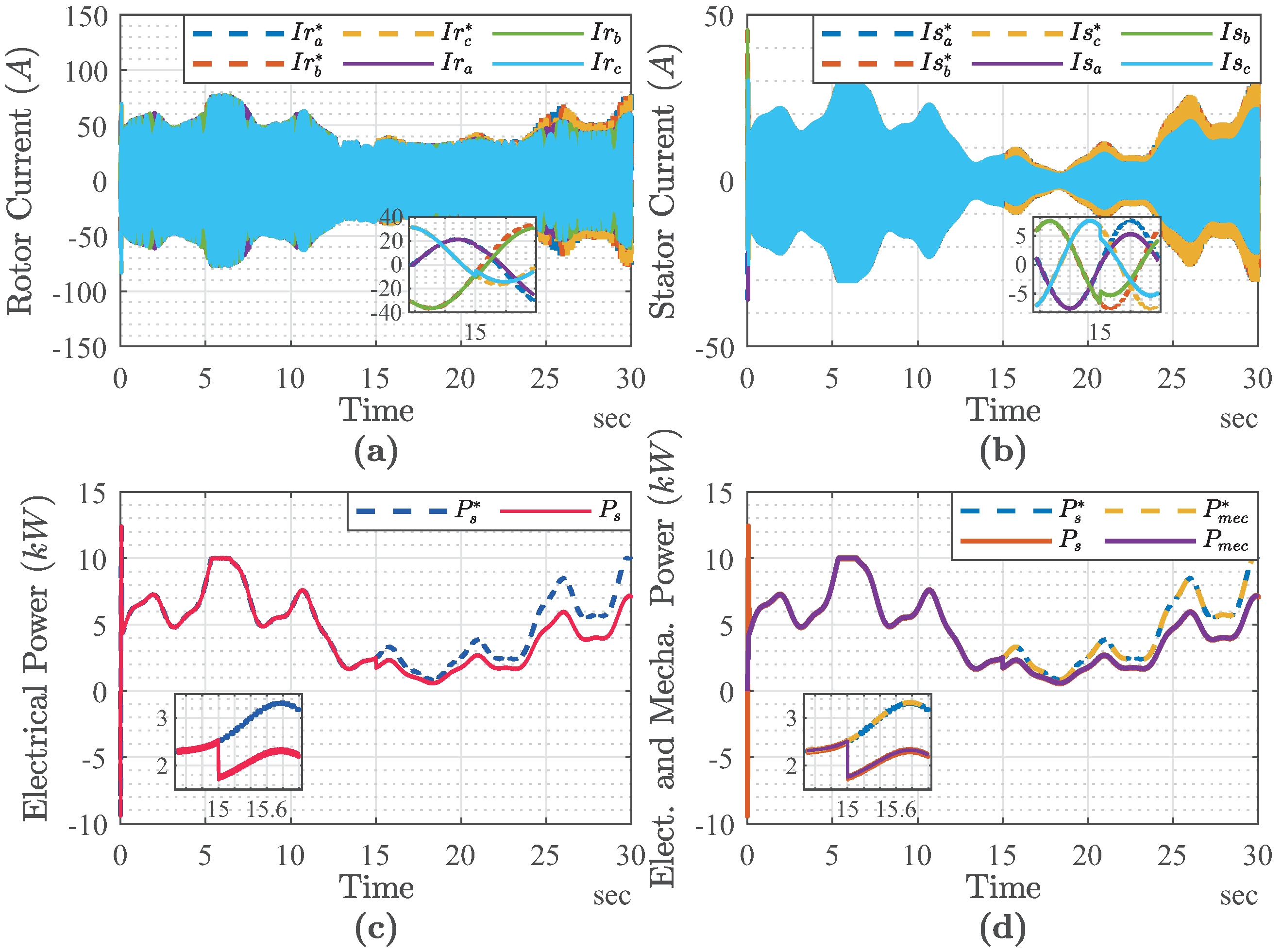
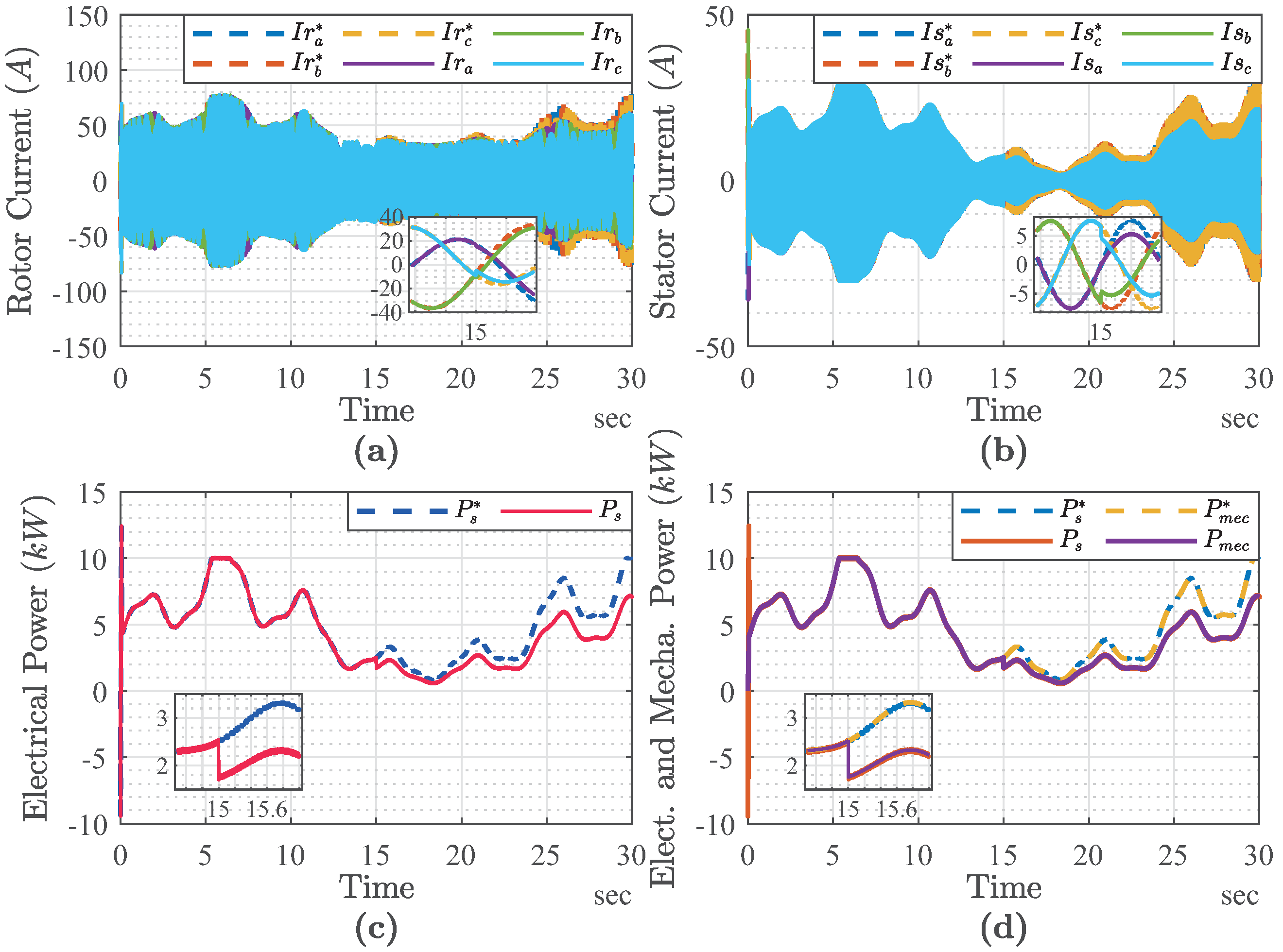
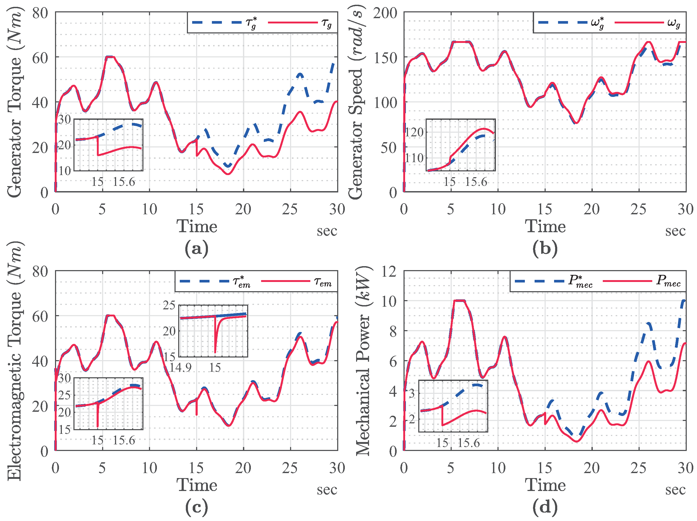
4. Simulation Result
4.1. Scenario 1
4.2. Scenario 2
4.3. Scenario 3
5. Conclusions
Author Contributions
Funding
Data Availability Statement
Acknowledgments
Conflicts of Interest
Abbreviations
| AFTC | Active Fault Tolerant Control |
| BADRC | Backstepping Active Disturbance Rejection Control |
| ANFIS | Adaptive Neurofuzzy Inference System |
| SDGs | Sustainable Development Goals |
| PCA | Principal Component Analysis |
| MPPT | Maximum Power Point Tracking |
| FTC | Fault Tolerant Control |
| FIS | Fuzzy Inference System |
| FDI | Fault Detection and Isolating |
| SVM | Support Vector Machine |
| DNN | Deep Neural Networks |
| ARRs | Analytical Redundancy Relations |
| TS | Takagi–Sugeno |
| qLPV | quasi-Linear Parameter Varying |
| HSS | High Speed Shaft |
| LSS | Low Speed Shaft |
| DFIG | Double Fed Induction Generator |
| FIS | Fuzzy Inference System |
| ESA | Exhaustive Search Algorithm |
| ANNs | Adaptive Neural Networks |
| RMSE | Root Mean Square Error |
| TSIO | Takagi–Sugeno Interval Observer |
| ANNK | Artificial Neural Networks and k-Nearest Neighbors |
| SVMKF | Support Vector Machine and Kalman Filter |
| RSVM | Residual Support Vector Machine |
| MBIO | Model-Based Interval Observer |
| Variables | |
| Aerodynamic Power | |
| R | The Rotor Radius |
| The Wind Speed | |
| The Power Coefficient | |
| The Tip Speed Ratio | |
| The Blade Pitch Angle | |
| The Shaft’s Angular Velocity | |
| The Highest Value of The Power Coefficient | |
| The Optimal Value of The Tip Speed Ratio | |
| The Optimal Value of The Shaft’s Angular Velocity | |
| Ratio of The Gearbox | |
| The Generator Speed | |
| The Turbine, Generator and Electromagnetic Torque | |
| J | The Total Inertia |
| The Turbine Inertia and The Generator Inertia | |
| The Measured Shaft’s Angular Velocity | |
| The d/q Stator Voltages | |
| The d/q Rotor Voltages | |
| The d/q Stator Currents | |
| The d/q Rotor Currents | |
| The d/q Flux Currents | |
| The d/q Flux Currents | |
| The Stator and Rortor Resistance | |
| The Stator and Rortor Inductance | |
| M | The Magnetising Inductance |
| The Stator and Rotor Electrical Speed | |
| The Observer Bandwidth. | |
| The Generator Power | |
| f | The Generator Viscous Friction Coefficient |
| S | The Output of The Detector |
| H, F | The Healthy Status of The Actuator and The Faulty Status of The Actuator |
| The Fault of Generator Torque | |
| , | The Sampling Time and The Diagnosis Time |
References
- Mauricio, J.M.; Marano, A.; Gomez-Exposito, A.; Martinez Ramos, J.L. Frequency Regulation Contribution Through Variable-Speed Wind Energy Conversion Systems. IEEE Trans. Power Syst. 2009, 24, 173–180. [Google Scholar] [CrossRef]
- Sarkar, D.; Shukla, S.; Alom, N.; Sharma, P.; Bora, B.J. Investigation of a Newly Developed Slotted Bladed Darrieus Vertical Axis Wind Turbine: A Numerical and Response Surface Methodology Analysis. J. Energy Resour. Technol. 2022, 145, 051302. [Google Scholar] [CrossRef]
- Fathabadi, H. Novel high-efficient unified maximum power point tracking controller for hybrid fuel cell/wind systems. Appl. Energy 2016, 183, 1498–1510. [Google Scholar] [CrossRef]
- Sarfejo, M.D.; Dehchil, M.N.; Jelodar, S.R. MPPT Approach for Fixed Speed wind Turbine by Using Proportional-Integral Controller. In Proceedings of the 2019 27th Iranian Conference on Electrical Engineering (ICEE), Yazd, Iran, 30 April–2 May 2019; pp. 598–601. [Google Scholar] [CrossRef]
- Kamal, E.; Aitouche, A.; ABBES, D. Robust fuzzy scheduler fault tolerant control of wind energy systems subject to sensor and actuator faults. Int. J. Electr. Power Energy Syst. 2014, 55, 402–419. [Google Scholar] [CrossRef]
- Zhang, Y.; Jiang, J. Bibliographical review on reconfigurable fault-tolerant control systems. Annu. Rev. Control. 2008, 32, 229–252. [Google Scholar] [CrossRef]
- Sheibat-Othman, N.; Othman, S.; Benlahrache, M.; Odgaard, P.F. Fault detection and isolation in wind turbines using support vector machines and observers. In Proceedings of the 2013 American Control Conference, Washington, DC, USA, 17–19 June 2013; pp. 4459–4464. [Google Scholar] [CrossRef]
- Zeng, J.; Lu, D.; Zhao, Y.; Zhang, Z.; Qiao, W.; Gong, X. Wind turbine fault detection and isolation using support vector machine and a residual-based method. In Proceedings of the 2013 American Control Conference, Washington, DC, USA, 17–19 June 2013; pp. 3661–3666. [Google Scholar]
- Wen, X.; Xu, Z. Wind turbine fault diagnosis based on ReliefF-PCA and DNN. Expert Syst. Appl. 2021, 178, 115016. [Google Scholar] [CrossRef]
- Sanchez, H.; Escobet, T.; Puig, V.; Odgaard, P.F. Fault diagnosis of an advanced wind turbine benchmark using interval-based ARRs and observers. IEEE Trans. Ind. Electron. 2015, 62, 3783–3793. [Google Scholar] [CrossRef]
- Qin, H.; Tan, P.; Chen, Z.; Sun, M.; Sun, Q. Deep reinforcement learning based active disturbance rejection control for ship course control. Neurocomputing 2022, 484, 99–108. [Google Scholar] [CrossRef]
- Pérez-Pérez, E.J.; López-Estrada, F.R.; Puig, V.; Valencia-Palomo, G.; Santos-Ruiz, I. Fault diagnosis in wind turbines based on ANFIS and Takagi–Sugeno interval observers. Expert Syst. Appl. 2022, 206, 117698. [Google Scholar] [CrossRef]
- Gopi, A.; Sharma, P.; Sudhakar, K.; Ngui, W.K.; Kirpichnikova, I.; Cuce, E. Weather Impact on Solar Farm Performance: A Comparative Analysis of Machine Learning Techniques. Sustainability 2023, 15, 439. [Google Scholar] [CrossRef]
- Pérez-Pérez, E.J.; Puig, V.; López-Estrada, F.R.; Valencia-Palomo, G.; Santos-Ruiz, I.; Samada, S.E. Fault detection and isolation in wind turbines based on neuro-fuzzy qLPV zonotopic observers. Mech. Syst. Signal Process. 2023, 191, 110183. [Google Scholar] [CrossRef]
- Borja-Jaimes, V.; Adam-Medina, M.; García-Morales, J.; Guerrero-Ramírez, G.V.; López-Zapata, B.Y.; Sánchez-Coronado, E.M. Actuator FDI Scheme for a Wind Turbine Benchmark Using Sliding Mode Observers. Processes 2023, 11, 1690. [Google Scholar] [CrossRef]
- Badihi, H.; Zhang, Y.; Hong, H. Wind Turbine Fault Diagnosis and Fault-Tolerant Torque Load Control Against Actuator Faults. IEEE Trans. Control. Syst. Technol. 2015, 23, 1351–1372. [Google Scholar] [CrossRef]
- Bustan, D.; Moodi, H. Adaptive Interval Type-2 Fuzzy Controller for Variable-speed Wind Turbine. J. Mod. Power Syst. Clean Energy 2022, 10, 524–530. [Google Scholar] [CrossRef]
- Ouari, K.; Belkhier, Y.; Djouadi, H.; Kasri, A.; Bajaj, M.; Alsharef, M.; Elattar, E.E.; Kamel, S. Improved nonlinear generalized model predictive control for robustness and power enhancement of a DFIG-based wind energy converter. Front. Energy Res. 2022, 10, 996206. [Google Scholar] [CrossRef]
- Qais, M.H.; Hasanien, H.M.; Alghuwainem, S. Whale optimization algorithm-based Sugeno fuzzy logic controller for fault ride-through improvement of grid-connected variable speed wind generators. Eng. Appl. Artif. Intell. 2020, 87, 103328. [Google Scholar] [CrossRef]
- Bakhtiari, F.; Nazarzadeh, J. Optimal Estimation and Tracking Control for Variable-speed Wind Turbine with PMSG. J. Mod. Power Syst. Clean Energy 2020, 8, 159–167. [Google Scholar] [CrossRef]
- Abdeddaim, S.; Betka, A. Optimal tracking and robust power control of the DFIG wind turbine. Int. J. Electr. Power Energy Syst. 2013, 49, 234–242. [Google Scholar] [CrossRef]
- Loucif, M.; Boumédiène, A. Modeling and direct power control for a DFIG under wind speed variation. In Proceedings of the 2015 3rd International Conference on Control, Engineering & Information Technology (CEIT), Tlemcen, Algeria, 25–27 May 2015; pp. 1–6. [Google Scholar] [CrossRef]
- Tiwari, R.; Babu, N.R.; Padmanaban, S.; Martirano, L.; Siano, P. Coordinated DTC and VOC control for PMSG based grid connected wind energy conversion system. In Proceedings of the 2017 IEEE International Conference on Environment and Electrical Engineering and 2017 IEEE Industrial and Commercial Power Systems Europe (EEEIC/I&CPS Europe), Milan, Italy, 6–9 June 2017; pp. 1–6. [Google Scholar] [CrossRef]
- Diallo, M.O.S.; Camara, M.B.; Youssef, S.; Gualous, H.; Dakyo, B. Génératrice Asynchrone à Double Alimentation pour la production d’énergie hydrolienne dans le Raz Blanchard- Modélisation et Simulations. 2014. Available online: https://hal.science/hal-01065223/ (accessed on 13 December 2022).
- Chhipą, A.A.; Chakrabarti, P.; Bolshev, V.; Chakrabarti, T.; Samarin, G.; Vasilyev, A.N.; Ghosh, S.; Kudryavtsev, A. Modeling and Control Strategy of Wind Energy Conversion System with Grid-Connected Doubly-Fed Induction Generator. Energies 2022, 15, 6694. [Google Scholar] [CrossRef]
- Majout, B.; Bossoufi, B.; Bouderbala, M.; Masud, M.; Al-Amri, J.F.; Taoussi, M.; El Mahfoud, M.; Motahhir, S.; Karim, M. Improvement of PMSG-Based Wind Energy Conversion System Using Developed Sliding Mode Control. Energies 2022, 15, 1625. [Google Scholar] [CrossRef]
- Gao, Z. Active disturbance rejection control: A paradigm shift in feedback control system design. In Proceedings of the 2006 American Control Conference, Minneapolis, MN, USA, 14–16 June 2006; p. 7. [Google Scholar] [CrossRef]
- Fareh, R.; Al-Shabi, M.; Bettayeb, M.; Ghommam, J. Robust Active Disturbance Rejection Control For Flexible Link Manipulator. Robotica 2020, 38, 118–135. [Google Scholar] [CrossRef]
- Banks, S.P. A note on non-linear observers. Int. J. Control. 1981, 34, 185–190. [Google Scholar] [CrossRef]
- Vidyasagar, M. Nonlinear Systems Analysis/M. Vidyasagar; Prentice-Hall: Englewood Cliffs, NJ, USA, 1978; p. 302. [Google Scholar]
- Machado, D.O.; Chicaiza, W.D.; Escaño, J.M.; Gallego, A.J.; de Andrade, G.A.; Normey-Rico, J.E.; Bordons, C.; Camacho, E.F. Digital twin of a Fresnel solar collector for solar cooling. Appl. Energy 2023, 339, 120944. [Google Scholar] [CrossRef]
- Chicaiza, W.D.; Dorado, F.; Rodríguez, F.; Gómez, J.; Escaño, J. Detección de ataques de inyección de datos falsos en turbinas eólicas mediante sistemas neuro-borrosos. In XVII Simposio CEA de ControlInteligente; Universidad de León: León, Spain, 2022; pp. 66–77. [Google Scholar] [CrossRef]
- Machado, D.O.; Chicaiza, W.D.; Escaño, J.M.; Gallego, A.J.; de Andrade, G.A.; Normey-Rico, J.E.; Bordons, C.; Camacho, E.F. Digital twin of an absorption chiller for solar cooling. Renew. Energy 2023, 208, 36–51. [Google Scholar] [CrossRef]
- Jang, J.S. ANFIS: Adaptive-network-based fuzzy inference system. IEEE Trans. Syst. Man Cybern. 1993, 23, 665–685. [Google Scholar] [CrossRef]
- Chiu, S. Fuzzy Model Identification Based on Cluster Estimation. J. Intell. Fuzzy Syst. 1994, 2, 267–278. [Google Scholar] [CrossRef]
- Loucif, M.; Mechernene, A.; Bossoufi, B. Integral Backstepping Power Control of DFIG Based Nonlinear Modeling Using Voltage Oriented Control. In Digital Technologies and Applications; Motahhir, S., Bossoufi, B., Eds.; Springer International Publishing: Cham, Switzerland, 2021; pp. 1725–1734. [Google Scholar]














| Description | ANFIS | |
|---|---|---|
| Type of MF | Gaussian | |
| Method of optimisation: | Hybrid | |
| Type of MF output: | Linear | |
| Norm | Fault | |
| MFs number: | 3 | 3 |
| Rules number: | 3 | 3 |
| The range of influence | ||
| The number of the epoch: | 1500 | 1500 |
| Error | Neurofuzzy Models | |
|---|---|---|
| Indexes | ||
| Actual | |||
| 1471 | 42 | ||
| 10 | 1503 | ||
| Precision | 97.22% | 99.34% | |
| Recall | 99.33% | ||
| Accuracy | 98.28% | ||
| Wind Turbine Parameters | Value |
|---|---|
| Power rate (kW) | 10 |
| Density of the air (kg/m) | |
| Number of blades | 3 |
| Rotor radius R (m) | 3 |
| Ratio of the gearbox ratio | |
| Total Inertia of the turbine J (kg·m) | |
| Coefficient of the total viscous friction B (Nm/s) | |
| Generator Parameters | Value |
| Nominal Power (kW) | 10 |
| Number of poles pair p | 2 |
| Nominal Speed (rpm) | 1440 |
| Rotor resistance | |
| Stator resistance | |
| Rotor inductance (mH) | |
| Stator inductance (mH) | |
| Mutual inductance Rotor/Stator M (mH) |
| Actual | Predicted | ||
| 1354 | 147 | ||
| 0 | 1501 | ||
| Precision | 90.20% | 100% | |
| Recall | 100% | ||
| Accuracy | 95.10% | ||
| Group | Electromagnetic Torque | |||
|---|---|---|---|---|
| Predicted | Actual | False Normal | False Fault | |
| Normal | 1354 | 1501 | 0 | 147 |
| Fault | 1501 | 1501 | 0 | 0 |
| Total samples | 3002 | 3002 | 0 | 147 |
|
ANFIS
Type | Inputs |
MF
Type | MFs |
Ant.
Param. |
Total
Rules |
Consq
Param. |
Total
Param. |
Trn
nRMSE |
Chk
nRMSE |
|---|---|---|---|---|---|---|---|---|---|
| Type 3 | 4 | Gaussian | 3 | 9 | 3 | 12 | 21 | ||
| Type 3 | 4 | Gaussian | 3 | 9 | 3 | 12 | 21 | ||
| Computational Burden | Time per sample (s) | Total Time (s) | |||||||
| 2.6193 | |||||||||
| Fault | (ms)
Required | (ms)
Obtained | ||||||
|---|---|---|---|---|---|---|---|---|
| Detector | qLPVZO | TSIO | ANNK | SVMKF | RSVM | MBIO | ||
| 25 | 225 | |||||||
Disclaimer/Publisher’s Note: The statements, opinions and data contained in all publications are solely those of the individual author(s) and contributor(s) and not of MDPI and/or the editor(s). MDPI and/or the editor(s) disclaim responsibility for any injury to people or property resulting from any ideas, methods, instructions or products referred to in the content. |
© 2023 by the authors. Licensee MDPI, Basel, Switzerland. This article is an open access article distributed under the terms and conditions of the Creative Commons Attribution (CC BY) license (https://creativecommons.org/licenses/by/4.0/).
Share and Cite
Assia, H.; Merabet Boulouiha, H.; Chicaiza, W.D.; Escaño, J.M.; Kacimi, A.; Martínez-Ramos, J.L.; Denai, M. Wind Turbine Active Fault Tolerant Control Based on Backstepping Active Disturbance Rejection Control and a Neurofuzzy Detector. Energies 2023, 16, 5455. https://doi.org/10.3390/en16145455
Assia H, Merabet Boulouiha H, Chicaiza WD, Escaño JM, Kacimi A, Martínez-Ramos JL, Denai M. Wind Turbine Active Fault Tolerant Control Based on Backstepping Active Disturbance Rejection Control and a Neurofuzzy Detector. Energies. 2023; 16(14):5455. https://doi.org/10.3390/en16145455
Chicago/Turabian StyleAssia, Hamza, Houari Merabet Boulouiha, William David Chicaiza, Juan Manuel Escaño, Abderrahmane Kacimi, José Luis Martínez-Ramos, and Mouloud Denai. 2023. "Wind Turbine Active Fault Tolerant Control Based on Backstepping Active Disturbance Rejection Control and a Neurofuzzy Detector" Energies 16, no. 14: 5455. https://doi.org/10.3390/en16145455
APA StyleAssia, H., Merabet Boulouiha, H., Chicaiza, W. D., Escaño, J. M., Kacimi, A., Martínez-Ramos, J. L., & Denai, M. (2023). Wind Turbine Active Fault Tolerant Control Based on Backstepping Active Disturbance Rejection Control and a Neurofuzzy Detector. Energies, 16(14), 5455. https://doi.org/10.3390/en16145455

