Next Article in Journal
Wind-Induced Responses of Corroded Angle-Steel Transmission Tower
Next Article in Special Issue
Optimally Splitting Solar Spectrums by Concentrating Solar Spectrums Splitter for Hydrogen Production via Solid Oxide Electrolysis Cell
Previous Article in Journal
Characterization of Flow Parameters in Shale Nano-Porous Media Using Pore Network Model: A Field Example from Shale Oil Reservoir in Songliao Basin, China
Previous Article in Special Issue
Study on the Effect of Irradiance Variability on the Efficiency of the Perturb-and-Observe Maximum Power Point Tracking Algorithm
 
 
Font Type:
Arial Georgia Verdana
Font Size:
Aa Aa Aa
Line Spacing:
Column Width:
Background:
Article

Extraction of Single Diode Model Parameters of Solar Cells and PV Modules by Combining an Intelligent Optimization Algorithm with Simplified Explicit Equation Based on Lambert W Function

1
School of Materials Science and Engineering, Sun Yat-Sen University, Guangzhou 510006, China
2
Guangdong Provincial Key Laboratory of Photovoltaic Technologies, Sun Yat-Sen University, Guangzhou 510006, China
*
Authors to whom correspondence should be addressed.
Energies 2023, 16(14), 5425; https://doi.org/10.3390/en16145425
Submission received: 19 June 2023 / Revised: 12 July 2023 / Accepted: 14 July 2023 / Published: 17 July 2023
(This article belongs to the Special Issue Solar Cells, Circuits and Systems for PV Conversion)

Abstract

In this paper, the explicit equation of the single diode model (SDM) expressed by the Lambert W function was reduced to its simplified form through variable replacement; then the simplified explicit equation was combined with an intelligent optimization algorithm to estimate the SDM parameters of solar cells and PV modules. To evaluate the parameter extraction performance of the new method, eight typical intelligent optimization algorithms were combined with the implicit, explicit, and simplified explicit equation to extract the SDM parameters of a solar cell and three types of PV modules. The results show that the new method not only improves the accuracy of parameter extraction but also enhances the robustness and convergence speed. Most importantly, the new method can nearly improve the parameter extraction accuracy of a poor-performing algorithm in traditional methods to the level of other well-performing algorithms without enhancing the algorithm itself. In a word, this study offers a new choice for a more accurate and reliable extraction of SDM parameters from both solar cells and PV modules.

1. Introduction

Photovoltaic (PV) power generation has attracted more and more attention from both academia and industry because of its clean, resource-rich, and renewable characteristics. In order to bring the potentials and advantages of PV power generation into full play, it is indispensable to establish mathematical models describing the current–voltage (I-V) output characteristics of solar cells and PV modules. In this respect, the single diode model (SDM) and the double diode model (DDM) have been developed and widely applied in device fabrication process diagnosis, device performance analysis and optimization, PV system design, PV system simulation and performance prediction, economy estimation of PV power generation, etc. [1,2,3,4,5].
However, both the SDM and DDM are transcendental implicit equations without analytical solutions and contain multiple undetermined parameters (which are also called dark characteristic parameters). Specifically speaking, the SDM contains five undetermined parameters, namely, photogenerated current Iph, diode reverse saturation current I0, diode ideal factor n, series resistance Rs, and parallel resistance Rsh, while the DDM includes seven undetermined parameters, i.e., Iph, Rs, Rsh, reverse saturation current I01 of diode 1, reverse saturation current I02 of diode 2, ideal factor n1 of diode 1, and ideal factor n2 of diode 2. In order to obtain these dark characteristic parameters, researchers have developed many parameter extraction methods according to the measured light I-V characteristic curve of a solar cell or a PV module, which can be classified into three categories: analytical methods, methods using special functions, and methods based on computer iteration [1,2,5].
In the analytical method, some simplified assumptions or approximations were introduced so that the nonlinear transcendental equations can be solved to obtain approximate solutions of dark characteristic parameters. For example, Rsh and Rs can be approximated to the minus reciprocal of the slope of the measured light I-V characteristic curve at the point of the short-circuit current (Isc) and the open-circuit voltage (Voc), respectively. Although analytical methods offer a simple and direct way to determine the dark characteristic parameters, the accuracy of extracted dark characteristic parameters is relatively low; thus, the analytical method can only be used for a rough parameter evaluation [5,6].
With the help of special functions such as the Lambert W function [7], Special Trans Function Theory (STFT) [8], etc., the implicit equation of the PV model can be transformed into explicit equations. Thus, the dark characteristic parameters can be determined by fitting the explicit equation expressed by the special function to the measured I-V characteristic curve. However, such a solving process is still not easy. In addition, the parameter extraction method by utilizing the differential properties of the Lambert W function has also been reported, which has attracted the attention of researchers [9].
Iteration methods can be further divided into traditional iteration methods and intelligent optimization algorithms. The traditional iteration methods include the Newton Raphson method [10], the Levenberg Marquardt method [11], linear identification [12], etc. Using the gradient decreasing method as their basic working principle [13], they generally have a strong local search ability. However, these methods are sensitive to the setting of initial values. If the initial values are set inappropriately, the search results are easily trapped into the local optimum. Intelligent optimization algorithm is a global search method, which includes a genetic algorithm (GA) [14], differential evolution (DE) [15], particle swarm optimization (PSO) [16,17], teaching–learning-based optimization (TLBO) [18], artificial bee colony (ABC) [19], JAYA [20], INFO [21], etc. The core idea of these methods is to conduct parallel, random, and directional exploration in search space with intelligent iteration methods through simulating relevant phenomena or rules in biological, physical, social, and other systems so as to find the global optimum solution. So far, almost all of the intelligent optimization algorithms have been applied in the extraction of the dark characteristic parameters of solar cells or PV modules by minimizing the difference between the simulated light I-V characteristic curve and the measured one. In recent years, some improved intelligent optimization algorithms including enhanced adaptive differential evolution (EJADE) [22], triple archives particle swarm optimization (TAPSO) [23], improved teaching–learning-based optimization (ITLBO) [24], teaching–learning-based artificial bee colony (TLABC) [25], covariance matrix adaptation evolution strategy (CMAES) [26], enhanced JAYA (EJAYA) [27], and so on have been proposed, and their applications in PV model parameter estimation have also been reported. As compared with the original methods, it was claimed that the improved intelligent optimization algorithms either improved the accuracy of parameter extraction or enhanced the robustness of the algorithm or accelerated the convergence speed.
Although some progress has been made in using intelligent optimization algorithms to extract PV model parameters, most researchers combined intelligent optimization algorithms with the implicit equations of the SDM or the DDM to fit the measured light I-V characteristic data of solar cells or PV modules to obtain the dark characteristic parameters. Furthermore, it was found that in many articles the root mean square errors (RMSE) acting as the objective function of intelligent optimization algorithms were not calculated correctly since the exact expression for calculating the output current of a solar cell or PV module was not used [28]. To solve this problem, the exact equation for calculating RMSE based on the explicit expression of output current expressed by the Lambert W function was given [28]. Moreover, it was reported that the intelligent optimization algorithms combined with the explicit equation based on the Lambert W function can fit the I-V characteristic curves better and thus give more accurate dark characteristic parameters than those combined with the implicit equation [29]. On the other hand, although the explicit equation of the SDM based on the Lambert W function is accurate, it has a complex mathematical form, which would result in reduced accuracy, robustness, and convergence rate when applied in parameter extraction [30]. In addition, different intelligent optimization algorithms exhibit different parameter extraction capabilities, and some inferior algorithms combined with the implicit or explicit equation often yield unsatisfying results.
Aiming at the existing problem, it is necessary to develop an explicit equation in a concise form which can better fit different intelligent optimization algorithms and improve the parameter extraction accuracy. In this paper, the simplified explicit equations of a solar cell and a PV module were strictly derived from the explicit equations of the SDM expressed by the Lambert W function through variable substitution. Then, the simplified explicit equations were combined with eight randomly selected intelligent optimization algorithms to fit the light I-V characteristic curves of a solar cell and three types of PV modules to extract the five SDM parameters. The results were compared with those obtained by combining the corresponding algorithms with the implicit equation and the explicit equation based on the Lambert W function. It is found that for the chosen solar cell and three PV modules, almost all of the selected intelligent optimization algorithms combined with the simplified explicit equation can obtain satisfactory accuracy in parameter estimation. Furthermore, the new method has stronger robustness and a faster convergence speed than the two traditional methods. Moreover, with the help of the simplified explicit equation, some poor-performing algorithms in two traditional methods can achieve a similar RMSE value as other well-performing algorithms without improving the algorithms themselves.
The content of this paper is arranged as follows: Section 1 presents the introduction, Section 2 introduces the background knowledge related to the new method, Section 3 gives the results and discussion, and Section 4 draws the conclusion.

2. The Relevant Background Knowledge

2.1. Single Diode Model (SDM) of a Solar Cell and a PV Module

Figure 1 shows the equivalent circuit diagram of a solar cell under the framework of the SDM, which is composed of a constant current source, a diode, a parallel resistance, and a series resistance. According to the equivalent circuit diagram given by Figure 1, the I-V characteristic equation of a solar cell can be expressed as [31]
I = I p h I 0 e x p V + I · R s n · V t h 1 V + I · R s R s h
where I is the current on the load, Iph is the photogenerated current, I0 is the reverse saturation current of the diode, V is the voltage on the load, Rs is the series resistance, Rsh is the parallel resistance, n is the ideal factor of the diode, and Vth is the thermal voltage, which can be written as
V t h = k · T q
where T is the temperature of the solar cell, k is the Boltzmann constant, and q is the electron charge. It can be seen from Equation (1) that only when five undetermined parameters (Iph, I0, n, Rs, Rsh) are known can the I-V characteristic equation of a solar cell in the SDM framework be established.
Although PV modules are usually composed of several tens of solar cells connected in series, to make the research results be more widely applicable, we consider a more general situation where dozens of solar cells connect in series forming a solar cell string; then several solar cell strings connect in parallel, forming a PV module. Figure 2 shows the equivalent circuit diagram of a PV module under the framework of the SDM. According to Figure 2, the I-V characteristic equation of a PV module has the following form [32]
I = I p h N p I 0 N p e x p V + I · R s · N s / N p n · N s · V t h 1 V + I · R s · N s / N p R s h · N s / N p
where Np represents the number of solar cell strings connected in parallel, and Ns denotes the number of solar cells connected in series in a string. When all the solar cells are connected in series in a PV module, Np = 1. Iph, I0, n, Rs, and Rsh are the photogenerated current, the reverse saturation current of the diode, the ideal factor of the diode, the series resistance, and the parallel resistance, respectively. It should be emphasized that the PV module is assumed to consist of dozens of identical solar cells and the five undetermined parameters (Iph, I0, n, Rs, and Rsh) of the I-V characteristic equation of a PV module correspond to SDM parameters of a piece of solar cell in the PV module.

2.2. Lambert W Function

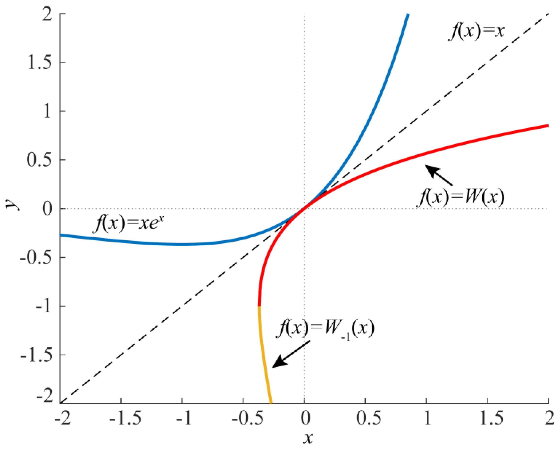
The Lambert W function is the inverse function of f x = x · e x p x . In the real number field, the solution of the equation z = x · e x p x z > 1 e is x = L W z , where LW (x) is the abbreviation of the Lambert W function. The graph of the Lambert W function is shown in Figure 3. It can be seen from Figure 3 that the curve of the Lambert W function is generally divided into two sections. If the definition domain is limited to [−1/e, +∞) and the range is [−1, +∞), this function is defined as W x (see the red branch in the Figure 3). If the definition domain is limited to (−1/e, 0) and the range is (−∞, −1), this function is defined as W 1 x (see the yellow branch in the Figure 3). Specifically, only the W x function was used in this work.

2.3. Derivation of Simplified Explicit Equations of a Solar Cell and a PV Module

With the help of the Lambert W function, the I-V characteristic equation of a solar cell under the SDM framework (i.e., Equation (1)) can be written as the following explicit equation [30]
I = R s h I p h + I 0 V R s + R s h n · V t h R s · W R s R s h I 0 n · V t h R s + R s h e x p R s h R s I p h + R s I 0 + V n · V t h R s + R s h
By introducing the five intermediate variables A, B, C, D, and E defined below,
A = R s h I p h + I 0
B = R s + R s h
C = n · V t h R s
D = R s h I 0
E = R s h R s
Equation (4) can be changed into the following concise form
I = A V B C · W D C · B e x p A + E · V C · B
By solving the Equations (5)–(9) reversely, the five SDM parameters of a solar cell can be expressed as
R s = B 1 + E
R s h = E · B 1 + E
n = C · B V t h 1 + E
I 0 = D 1 + E E · B
I p h = A D 1 + E E · B
In our new method, Equation (10) was combined with an intelligent optimization algorithm to fit the measured light I-V characteristic curve of a solar cell to determine the optimum values of the five intermediate variables (A, B, C, D, E). Then the five SDM parameters (Iph, I0, n, Rs, Rsh) of the solar cell were calculated by using Equations (11)–(15) and the five intermediate variables.
Similarly, the explicit equation of a PV module expressed by the Lambert W function can be derived from the implicit equation under the SDM framework (i.e., Equation (3)), namely
I = N s R s h I p h + I 0 V R s + R s h · N s / N p n V t h N p R s · W R s R s h I 0 n V t h · R s + R s h · e x p R s R s h N s I p h + I 0 + V · R s h n N s V t h · R s + R s h
By introducing the five intermediate variables A′, B′, C′, D′, and E′ defined below,
A = R s h I p h + I 0 · N s
B = R s + R s h · N s / N p
C = n V t h N p R s
D = R s h I 0 N s
E = R s h R s
Equation (16) can be converted into the following concise form
I = A V B C · W D C · B e x p A + E · V C · B
Obviously, Equation (22) has a form similar to Equation (10). By solving the Equations (17)–(21) reversely, the five SDM parameters of a PV module can be written as
R s = B 1 + E · N p / N s
R s h = E · B 1 + E · N p / N s
n = C · B V t h 1 + E · 1 / N s
I 0 = D 1 + E E · B · 1 / N p
I p h = A D 1 + E E · B · 1 / N p
Similarly, Equation (22) and an intelligent optimization algorithm were used to fit the measured light I-V characteristic curve of a PV module to determine the optimum values of the five intermediate variables (A′, B′, C′, D′, E′). Then the five SDM parameters (Iph, I0, n, Rs, Rsh) of the PV module were calculated from the five intermediate variables by using Equations (23)–(27).

2.4. Objective Function

In this work, the root mean square error (RMSE) representing the difference between the simulated (or calculated) current and the measured one for all the measured points was used as the objective function, which has the following form
R M S E = 1 N i = 1 N I i , m e a s u r e d ( V i ) I i , c a l c u l a t e d ( V i , X ) 2
where N is the number of measured I-V data points, Ii,measured is the measured current of the ith data point, and Ii,calculated is the calculated current of the ith data point. The parameter extraction process aims to search for a vector X (Iph, I0, n, Rs, Rsh) within a given range to minimize the RMSE value.

3. Results and Discussion

Since the measured current–voltage (I-V) characteristic data of a French R.T.C. silicon solar cell [10], Photowatt PWP 201 polycrystalline silicon PV module [10], STM6-40/36 monocrystalline silicon PV module [33], and STP6-120/36 polycrystalline silicon PV module [33] were frequently chosen as the standard data set in the literature to compare the parameter extraction performance of different algorithms, they were also selected as benchmarks in this work for performance comparison among three parameter estimation methods (i.e., an intelligent optimization algorithm is combined with the implicit equation, the explicit equation, and the simplified explicit equation). It should be mentioned that the I-V characteristic data of the French R.T.C. silicon solar cell were measured at 33 °C [10], while those of the Photowatt PWP 201 module, STM6-40/36 module, and STP6-120/36 module were measured at 45 °C, 51 °C, and 55 °C, respectively [10,33]. In addition, the three selected PV modules were all composed of 36 pieces of solar cells connected in series; thus Np = 1 and Ns = 36. Furthermore, in order to demonstrate the advantages of the new method (i.e., an intelligent optimization algorithm is combined with the simplified explicit equation), the following eight intelligent optimization algorithms were randomly selected and combined with the implicit equation (Equation (1) or (3)), the explicit equation (Equation (4) or (16)), and the simplified explicit equation (Equation (10) or (22)) to fit the abovementioned four sets of standard I-V characteristic data for SDM parameter extraction. They were INFO [21], JAYA [20], EJAYA [27], ITLBO [24], multiple learning backtracking search algorithm (MLBSA) [34], TLABC [25], CMAES [26], and TAPSO [23]. The parameter search ranges of the two traditional methods (i.e., an intelligent optimization algorithm is combined with the implicit equation and the explicit equation) for the solar cell and three PV modules were set according to Reference [35] (see Table 1), while those of the new method were estimated according to Table 1 and Equations (5)–(9) and (17)–(21), as shown in Table 2. For all the algorithms, Max_NFE (the maximum number of function evaluations) was set as 30,000 and operated independently for 30 times. In addition, all the selected intelligent optimization algorithms were recoded and run on the MATLAB R2021b platform, and all the calculations were performed on the Dell G3 3500 laptop produced by Dell (China) Co., Ltd., Fujian, China (Intel Core i7-10750H CPU @ 2.60 GHz, 8.00 GB RAM, with the Windows 10 64 bit OS).

3.1. Extraction of Five SDM Parameters from the French R.T.C. Silicon Solar Cell

Table 3 lists the parameter extraction results from the French R.T.C. silicon solar cell, which was obtained by combining the eight intelligent optimization algorithms with the implicit equation (Equation (1)), the explicit equation (Equation (4)), and the simplified explicit equation (Equation (10)). It can be seen from Table 3 that: (1) except for the CMAES, other algorithms combined with the implicit equation or the explicit equation obtain similar parameter extraction results; (2) all eight algorithms combined with the simplified explicit equation achieve similar SDM parameters and RMSE; (3) for all eight algorithms, the RMSE values obtained by combining the two explicit equations are better than those achieved by combining the implicit equation; (4) all algorithms but the CMAES combined with the explicit equation and all the algorithms except for the INFO and CMAES combined with the simplified explicit equation can achieve the minimum RMSE (7.73006 × 10−4) that has ever been reported for the French R.T.C. silicon solar cell [28]. In a word, the combination of the three SDM equations with the eight algorithms shows different parameter extraction performances. It should be highlighted that the new method can significantly improve the parameter estimation performance of CMAES. Specifically, the RMSE reduces from 2.27830 × 10−3 to 1.91638 × 10−3 then to 7.73055 × 10−4 when combining the CMAES with the implicit equation, explicit equation, and simplified explicit equation. Notably, the last RMSE value (7.73055 × 10−4) achieved by the CMAES has been quite close to the minimum value (7.73006 × 10−4) of other powerful algorithms.
Figure 4 shows the measured I-V and power–voltage (P-V) data points of the French R.T.C. silicon solar cell together with the calculated I-V and P-V curves determined by combining six typical algorithms with the simplified explicit equation. It can be seen from Figure 4 that the calculated I-V and P-V curves perfectly pass through the corresponding measured data points. Figure 5 compares the absolute errors between the measured data and the calculated curves determined by combing the six typical algorithms with the implicit equation and the simplified explicit equation. It can be known from Figure 5, for both I-V and P-V data, two methods show similar absolute error distributions in the low voltage range (−0.2~0.4 V) for different algorithms except for the CMAES, but the new method yields lower absolute errors in the high voltage range (>0.4 V). This result demonstrates that the calculated curves determined by the new method can fit the measured I-V and P-V data of the solar cell with higher accuracy. For the CMAES algorithm, it shows much larger absolute errors in fitting the I-V and P-V data than the other algorithms when combined with the implicit equation. However, when combined with the simplified explicit equation, it can achieve an absolute error distribution similar to other algorithms’ for both the I-V and P-V data.

3.2. Extraction of the Five SDM Parameters of the Three PV Modules

Table 4, Table 5 and Table 6 show the SDM parameters and RMSE values obtained by fitting the measured I-V data points of the Photowatt-PWP201, STM6-40/36, and STP6-120/36 modules using the eight intelligent optimization algorithms in combination with the implicit equation, the explicit equation, and the simplified explicit equation, respectively. For the Photowatt-PWP201 module, it can be seen from Table 4 that, except for the CMAES, the other algorithms combined with the implicit equation obtain similar SDM parameters and RMSE values, with RMSE values ranging from 2.06186 × 10−3 to 2.13853 × 10−3, while other algorithms combined with the explicit equation and the simplified explicit equation attain more consistent SDM parameters and RMSE values, with all of the RMSE values equal to 2.05296 × 10−3. It should be emphasized that the simplified explicit equation can significantly improve the parameter extraction accuracy of the CMAES, with RMSE reduced from 4.39501 × 10−3~4.58898 × 10−3 in the traditional methods to 2.05296 × 10−3, reaching the same minimum RMSE as other algorithms. From Table 5 and Table 6, we can see that, unlike the situation in the French R.T.C. silicon solar cell and Photowatt-PWP201 module where the CMAES shows the worst performance, the TAPSO exhibits the worst parameter extraction performance on the STM6-40/36 and STP6-120/36 modules. Specifically, when combined with the implicit and explicit equations, the RMSE values obtained by the TAPSO on the STM6-40/36 module are 1.61559 × 10−2 and 1.33369 × 10−2, respectively, which are one order of magnitude higher than those attained by the other algorithms, and the RMSE values obtained by the TAPSO on the STP6-120/36 module are 4.07365 × 10−2 and 2.67189 × 10−2, respectively, which are also higher than those achieved by the other algorithms. However, when combined with the simplified explicit equation, almost all of the eight algorithms obtain similar SDM parameters and the same minimum RMSE on the STM6-40/36 module (1.72192 × 10−3) and the STP6-120/36 module (1.42511 × 10−2). Obviously, the simplified explicit equation can significantly improve the parameter extraction accuracy of the poor-performing TAPSO algorithm when combining with the implicit and explicit equations, with the RMSE being decreased to the same minimum value as that of the other algorithms.
Similar to the situation in the French R.T.C. silicon solar cell, the RMSE was continuously improved in the three PV modules for all the eight algorithms when the SDM model changed from the implicit equation to the explicit equation then to the simplified explicit equation. Furthermore, all the eight algorithms yield more consistent parameter estimation results and RMSE values for the solar cell and three PV modules when combined with the simplified explicit equation. Moreover, even an intelligent optimization algorithm cannot achieve satisfying RMSE in combination with the implicit or the explicit equation; it can also reach the same minimum RMSE as the other algorithms’ in combination with the simplified explicit equation. In other words, the simplified explicit equation can improve the parameter extraction accuracy of an inferior algorithm to the level of other powerful algorithms without enhancing the algorithm itself. Obviously, the new method largely expands the scope of the intelligent optimization algorithms that can be used for SDM parameter extraction with high accuracy.
Figure 6, Figure 7 and Figure 8 show the measured I-V and P-V data points of the Photowatt-PWP201, STM6-40/36, and STP6-120/36 modules together with the fitting curves determined by six typical algorithms combined with the simplified explicit equation, respectively. As shown in Figure 6, Figure 7 and Figure 8, all the measured I-V and P-V data points of the three PV modules were perfectly fitted by the calculated curves.
Figure 9, Figure 10 and Figure 11 show the absolute errors between the measured I-V and P-V data and the calculated curves for the Photowatt-PWP201, STM6-40/36, and STP6-120/36 modules determined by combining six typical algorithms with the implicit and simplified explicit equations, respectively. It can be seen from Figure 9, Figure 10 and Figure 11 that, on the whole, the simplified explicit equation can achieve a lower absolute error than the implicit equation in fitting the measured I-V or P-V data of the three PV modules for all the six typical algorithms. For the Photowatt-PWP201 module, CMAES has the largest fitting error for I-V and P-V data when combined with the implicit equation. However, it achieves the same minimum fitting error as the other algorithms when combined with the simplified explicit equation. In other words, the simplified explicit equation can significantly improve the fitting accuracy of the CMAES on the Photowatt-PWP201 module. For the STM6-40/36 and STP6-120/36 modules, the simplified explicit equation can remarkably improve the fitting accuracy of TAPSO. The results above demonstrate that the calculated curves determined by the simplified explicit equation can fit the measured I-V and P-V data of the three PV modules more accurately.

3.3. Robustness

In order to evaluate the robustness of the new method, we compared the statistical results of the RMSE obtained from 30 times of the parameter extraction, including the minimum value (Min), the mean value (Mean), the maximum value (Max), and the standard deviation (STD) ( S T D = i = 1 n R M S E i R M S E 2 n 1 , where n = 30 and R M S E denotes the average value of RMSE). The smaller the STD, the smaller the divergence of RMSE, which means the better the robustness of the parameter extraction method. Table 7, Table 8, Table 9 and Table 10 show the statistical results of the RMSE attained from the French R.T.C. silicon solar cell, the Photowatt-PWP201 module, the STM6-40/36 module, and the STP6-120/36 module using the eight intelligent optimization algorithms combined with the implicit equation, the explicit equation, and the simplified explicit equation, respectively.
It can be seen from Table 7, Table 8, Table 9 and Table 10 that, for the French R.T.C. silicon solar cell and the three PV modules, most algorithms can achieve a continuously-reducing STD when combined with the implicit equation, explicit equation, and simplified explicit equation in turn. For the French R.T.C. silicon solar cell and the Photowatt-PWP201 module, most algorithms combined with the simplified explicit equation yield the lowest STD among the three methods. For the STM6-40/36 and STP6-120/36 modules, the new method achieves the lowest STD for all the eight algorithms. The above results demonstrate that the new method possesses better robustness in parameter extraction. Furthermore, we found that the simplified explicit equation can greatly improve the robustness of a poor-performing algorithm in traditional methods. Specifically speaking, for the French R.T.C. silicon solar cell, CMAES yields the largest STD among all the eight algorithms for the three SDM equations. When the SDM equation changes from the implicit equation to the explicit equation then to the simplified explicit equation, the STD obtained by the CMAES decreases from 3.06129 × 10−3 to 1.98098 × 10−3 then to 8.59741 × 10−5. For the Photowatt-PWP201 module, INFO shows the worst robustness when combined with the implicit equation, with the STD equal to 4.84396 × 10−1, while CMAES exhibits the worst robustness when combined with the explicit equation, with the STD equal to 1.16954 × 10−1. The simplified explicit equation greatly improves the robustness of the INFO and CMAES algorithms, with their STD reducing from 4.84396 × 10−1 and 1.16954 × 10−1 to 3.06241 × 10−6 and 2.26503 × 10−16, respectively. For the STM6-40/36 and STP6-120/36 modules, CMAES shows the worst robustness when combined with the implicit equation or the explicit equation, with the STD equal to 6.41122 × 10−2 or 5.90057 × 10−2 for the STM6-40/36 module and 6.66153 × 10−1 or 4.83351 × 10−1 for the STP6-120/36 module. However, when combined with the simplified explicit equation, the STD is greatly reduced to 5.68521 × 10−7 for the STM6-40/36 module and 2.94393 × 10−8 for the STP6-120/36 module.

3.4. Convergence Rate

Figure 12a–l show the convergence curves obtained by combining three algorithms (EJAYA, MLBSA and TLABC) with the three SDM equations (the implicit, explicit, and simplified explicit equation) to extract the SDM parameters of the French R.T.C. silicon solar cell and the three PV modules (Photowatt-PWP201, STM6-40/36, and STP6-120/36 module), respectively. It should be mentioned that, in Figure 12, the ordinate represents the average value of RMSE obtained from 30 times of parameter extraction, while the abscissa denotes the number of function evaluations (NFE). It can be seen from Figure 12 that, for the French R.T.C. silicon solar cell and the Photowatt-PWP201 module, the two traditional methods show similar convergence rates while the new method generally exhibits a faster convergence rate. For the STM6-40/36 and STP6-120/36 modules, the three methods show remarkably different convergence rates, with the convergence rate of the new method larger than that of the method using the explicit equation and further larger than that of the method using the implicit equation.

3.5. Discussion

We compare our results with similar works reported previously. In the field of PV model parameter extraction by combining an intelligent optimization algorithm with the implicit equation, Yang and Gong [27] used the EJAYA algorithm to extract the SDM parameters of the French R.T.C. silicon solar cell, the Photowatt-PWP201 module, the STM6-40/36 module, and the STP6-120/36 module; Yu et al. [34] extracted the SDM parameters of the French R.T.C. silicon solar cell and the Photowatt-PWP201 module using the MLBSA algorithm; Chen et al. [25] utilized the TLABC algorithm to estimate the SDM parameters of the French R.T.C. silicon solar cell and the Photowatt-PWP201 module. However, the SDM parameters, RMSE, and STD given by the abovementioned papers are not completely consistent with our results because an incorrect formula was used in these works to calculate the output current. This is a common problem found in PV model parameter extraction combining an intelligent optimization algorithm with the implicit equation, which has been disclosed and reported by Reference [28]. Our results are in good agreement with those of Reference [28], which used the exact analytical solution of RMSE, further confirming the correctness of our results. In addition, different papers used different parameter settings, which would also yield different results, e.g., Max_NFE was set to be 30,000 in this paper and Reference [27]; however, it was set to be 50,000 in References [25,34].
In the field of PV model parameter extraction by combining an intelligent optimization algorithm with the explicit equation, Gao et al. [29] used the rbcNM (restarting the bound constrained Nelder–Mead simple method) algorithm to extract the SDM parameters of the French R.T.C. silicon solar cell and the Photowatt-PWP201 module, with the best RMSE values equal to 7.7301 × 10−4 and 2.05296 × 10−3, respectively—which is consistent with our results. Yousri et al. [36] extracted the SDM parameters of the French R.T.C. silicon solar cell by using the AEO (artificial ecosystem-based optimization) algorithm, yielding the best RMSE value of 7.7301 × 10−4, which is also in good agreement with our results. El-Fergany et al. [37] used the ImSMA (improved slime mold algorithm) to extract the SDM parameters of the French R.T.C. silicon solar cell and the STP6-120/36 module, with the RMSE equal to 7.73006 × 10−4 and 1.3798 × 10−2, respectively. The former agrees with our results while the latter coincides with our results in the order of magnitude but disagrees with our results in values. However, our RMSE value obtained on the STP6-120/36 module is consistent with the results of Reference [38].
According to our research results, when the SDM equation changes from the implicit equation to the explicit equation then to the simplified explicit equation, both the RMSE and STD values obtained from the French R.T.C. silicon solar cell and the three PV modules gradually decrease for most intelligent optimization algorithms. This result coincides with the conclusion given by Reference [29] that the parameter extraction accuracy of the method using the explicit equation is higher than that of the method using the implicit equation. Obviously, the difference in both RMSE and STD among the three parameter extraction methods results from the different mathematical forms of the SDM equations. Specifically speaking, the SDM model is an implicit transcendental equation; there exist problems such as slow convergence rate, low accuracy and low robustness when it is combined with an intelligent optimization algorithm to extract the SDM parameters. Furthermore, the explicit equation expressed by the Lambert W function was strictly derived from the implicit equation, which is mathematically equivalent to the implicit equation. Therefore, substitution of the implicit equation with the explicit equation will not reduce the solution accuracy of the simulation current and thus RMSE but will reduce the difficulty in finding the global optimum solution by using an intelligent optimization algorithm. Moreover, the simplified explicit equation proposed in this paper is strictly derived from the explicit expression based on the Lambert W function; thus, it is mathematically equivalent to the explicit equation. For the same reason, this mathematical transformation reduces the difficulty and complexity in finding the best solution by an intelligent optimization algorithm. CMAES and TAPSO algorithms offer typical examples. They cannot achieve satisfying RMSE when combined with the implicit equation; however, when combined with the explicit equation and the simplified explicit equation, RMSE can be continuously improved, approaching or even reaching the same RMSE value as other powerful algorithms.
In short, this paper proposes a new method to extract the SDM parameters of solar cells and PV modules which has the advantages of high accuracy, strong robustness, and a fast convergence rate. However, in the new method, the five SDM parameters were calculated from five intermediate variables, which may induce small fluctuations in the calculated SDM parameters. In addition, to the best of our knowledge, the exact explicit equations of the DDM model of solar cells or PV modules expressed by the Lambert W function have not been strictly derived from the implicit equation yet due to their high nonlinearity [28]; thus, the variable substitution method cannot be used to simplify the explicit equations of the DDM model at present. To further improve the accuracy and robustness of parameter extraction, a more advanced intelligent optimization algorithm needs to be developed and applied in parameter estimation in combination with the simplified explicit equation. Moreover, the exact explicit equations of the DDM model expressed by the Lambert W function need to be strictly derived from the implicit equation of the DDM model of solar cells or PV modules so that the simplified explicit equations of the DDM model can be developed on this basis.

4. Conclusions

This paper proposes a new method to extract the SDM parameters of a solar cell or PV module by combining the simplified explicit equation with an intelligent optimization algorithm. The novelty of this method is that the complex explicit equation is reduced to its simplified form through variable substitution, then five intermediate variables are determined by combining the simplified explicit equation with an intelligent optimization algorithm to fit the light I-V characteristic curve of a solar cell or PV module, and then the five SDM parameters can be solved reversely from the five intermediate variables. In order to evaluate the parameter extraction performance of the new method, eight typical intelligent optimization algorithms were randomly selected and combined with the implicit equation, the explicit equation, and the simplified explicit equation to fit the light I-V characteristic curves of the French R.T.C. silicon solar cell, the Photowatt-PWP201 module, the STM6-40/36 module, and the STP6-120/36 module to obtain the SDM parameters, respectively. The results show that the new method can achieve the best RMSE values among the three methods for most algorithms, with the best RMSE values being 7.73006 × 10−4, 2.05296 × 10−3, 1.72192 × 10−3, and 1.42511 × 10−2 for the French R.T.C. silicon solar cell, the Photowatt-PWP201 module, the STM6-40/36 module, and the STP6-120/36 module, respectively. Furthermore, the biggest advantage of the new method is that it can significantly improve the parameter extraction accuracy of poor-performing algorithms in the traditional methods, with the RMSE approaching or even reaching the best value of other advanced algorithms. For the French R.T.C. silicon solar cell and the Photowatt-PWP201 module, the CMAES algorithm combined with the implicit equation or explicit equation had the worst parameter extraction accuracy, with RMSE equal to 1.98663 × 10−3 or 1.91638 × 10−3 for the solar cell and 4.39501 × 10−3 or 4.58898 × 10−3 for the module. The simplified explicit equation can significantly reduce the RMSE of the CMAES to 7.73055 × 10−4 for the French R.T.C. silicon solar cell and to 2.05296 × 10−3 for the Photowatt-PWP201 module, which have approached or reached the best RMSE value of the other algorithms (7.73006 × 10−4 for the solar cell and 2.05296 × 10−3 for the module). For the STM6-40/36 and STP6-120/36 modules, the TAPSO algorithm combined with the implicit equation or explicit equation possesses the worst parameter extraction accuracy, with RMSE equal to 1.61559 × 10−2 or 1.33369 × 10−2 for the STM6-40/36 module and 4.07365 × 10−2 or 2.67189 × 10−2 for STP6-120/36 module. The simplified explicit equation can significantly reduce the RMSE value of the TAPSO algorithm to 1.72192 × 10−3 for the STM6-40/36 module and 1.42511 × 10−2 for the STP6-120/36 module, which have reached the best RMSE values that the other algorithms can achieve. In addition, for most intelligent optimization algorithms, the new method has better robustness and a faster convergence rate than traditional methods using the implicit or explicit equation.

Author Contributions

Conceptualization, J.L. and B.A.; methodology, J.L. and B.A.; Software, J.L.; validation, C.Q. and C.Y.; formal analysis, J.L., C.Q., C.Y., B.A. and Y.Z.; investigation, J.L., C.Q. and C.Y.; resources, J.L., C.Q. and C.Y.; data curation, J.L., C.Q. and C.Y.; writing—original draft preparation, J.L.; writing—review and editing, J.L., C.Q., C.Y., B.A. and Y.Z.; visualization, J.L.; supervision, B.A.; project administration, B.A.; funding acquisition, B.A. All authors have read and agreed to the published version of the manuscript.

Funding

This research was funded by the National Natural Science Foundation of China, grant number 61774171.

Institutional Review Board Statement

Not applicable.

Informed Consent Statement

Not applicable.

Data Availability Statement

The data used to support the findings of this study are included within the paper.

Conflicts of Interest

The authors declare no conflict of interest.

Nomenclature

Icurrent on the load (A)
Iphphotogenerated current (A)
I0reverse saturation current of diode (A)
Vvoltage on the load (V)
nideal factor of diode
Rsseries resistance (Ω)
Rshparallel resistance (Ω)
Vththermal voltage (V)
kBoltzmann constant (J/K)
Ttemperature of the solar cell or PV module (K)
qelectron charge (C)
Npthe number of solar cell strings connected in parallel
Nsthe number of solar cells connected in series in a string
Nthe number of measured I-V data points
Ii,measuredthe measured current of the ith data point
Ii,calculatedthe calculated current of the ith data point
RMSEthe root mean square error
Max NFEthe maximum number of function evaluations
LBlower bound
UBupper bound
STDthe standard deviation

References

  1. Venkateswari, R.; Rajasekar, N. Review on parameter estimation techniques of solar photovoltaic systems. Int. Trans. Electr. Energy Syst. 2021, 31, e13113. [Google Scholar] [CrossRef]
  2. Li, S.; Gong, W.; Gu, Q. A comprehensive survey on meta-heuristic algorithms for parameter extraction of photovoltaic models. Renew. Sustain. Energy Rev. 2021, 141, 110828. [Google Scholar] [CrossRef]
  3. Abbassi, R.; Abbassi, A.; Jemli, M.; Chebbi, S. Identification of unknown parameters of solar cell models: A comprehensive overview of available approaches. Renew. Sustain. Energy Rev. 2018, 90, 453–474. [Google Scholar] [CrossRef]
  4. Libra, M.; Mrázek, D.; Tyukhov, I.; Severová, L.; Poulek, V.; Mach, J.; Šubrt, T.; Beránek, V.; Svoboda, R.; Sedláček, J. Reduced real lifetime of PV panels—Economic consequences. Sol. Energy 2023, 259, 229–234. [Google Scholar] [CrossRef]
  5. Humada, A.M.; Hojabri, M.; Mekhilef, S.; Hamada, H.M. Solar cell parameters extraction based on single and double-diode models: A review. Renew. Sustain. Energy Rev. 2016, 56, 494–509. [Google Scholar] [CrossRef]
  6. Toledo, F.J.; Blanes, J.M. Analytical and quasi-explicit four arbitrary point method for extraction of solar cell single-diode model parameters. Renew. Energy 2016, 92, 346–356. [Google Scholar] [CrossRef]
  7. Jain, A. Exact analytical solutions of the parameters of real solar cells using Lambert W-function. Sol. Energy Mater. Sol. Cells 2004, 81, 269–277. [Google Scholar] [CrossRef]
  8. Santakrus Singh, N.; Jain, A.; Kapoor, A. Determination of the solar cell junction ideality factor using special trans function theory (STFT). Sol. Energy Mater. Sol. Cells 2009, 93, 1423–1426. [Google Scholar] [CrossRef]
  9. Chen, Y.; Wang, X.; Li, D.; Hong, R.; Shen, H. Parameters extraction from commercial solar cells I–V characteristics and shunt analysis. Appl. Energy 2011, 88, 2239–2244. [Google Scholar] [CrossRef]
  10. Easwarakhanthan, T.; Bottin, J.; Bouhouch, I.; Boutrit, C. Nonlinear minimization algorithm for determining the solar cell parameters with microcomputers. Int. J. Sol. Energy 1986, 4, 1–12. [Google Scholar] [CrossRef]
  11. Dkhichi, F.; Oukarfi, B.; Fakkar, A.; Belbounaguia, N. Parameter identification of solar cell model using Levenberg–Marquardt algorithm combined with simulated annealing. Sol. Energy 2014, 110, 781–788. [Google Scholar] [CrossRef]
  12. Lim, L.H.I.; Ye, Z.; Ye, J.; Yang, D.; Du, H. A Linear Identification of Diode Models from Single I-V Characteristics of PV Panels. IEEE Trans. Ind. Electron. 2015, 62, 4181–4193. [Google Scholar] [CrossRef]
  13. Appelbaum, J.; Peled, A. Parameters extraction of solar cells—A comparative examination of three methods. Sol. Energy Mater. Sol. Cells 2014, 122, 164–173. [Google Scholar] [CrossRef]
  14. Zagrouba, M.; Sellami, A.; Bouaïcha, M.; Ksouri, M. Identification of PV solar cells and modules parameters using the genetic algorithms: Application to maximum power extraction. Sol. Energy 2010, 84, 860–866. [Google Scholar] [CrossRef]
  15. Chellaswamy, C.; Ramesh, R. Parameter extraction of solar cell models based on adaptive differential evolution algorithm. Renew. Energy 2016, 97, 823–837. [Google Scholar] [CrossRef]
  16. Ye, M.; Wang, X.; Xu, Y. Parameter extraction of solar cells using particle swarm optimization. J. Appl. Phys. 2009, 105, 94502. [Google Scholar] [CrossRef]
  17. Khare, A.; Rangnekar, S. A review of particle swarm optimization and its applications in Solar Photovoltaic system. Appl. Soft. Comput. 2013, 13, 2997–3006. [Google Scholar] [CrossRef]
  18. Rao, R.V.; Savsani, V.J.; Vakharia, D.P. Teaching–Learning-Based Optimization: An optimization method for continuous non-linear large scale problems. Inf. Sci. 2012, 183, 1–15. [Google Scholar] [CrossRef]
  19. Oliva, D.; Cuevas, E.; Pajares, G. Parameter identification of solar cells using artificial bee colony optimization. Energy 2014, 72, 93–102. [Google Scholar] [CrossRef]
  20. Yu, K.; Qu, B.; Yue, C.; Ge, S.; Chen, X.; Liang, J. A performance-guided JAYA algorithm for parameters identification of photovoltaic cell and module. Appl. Energy 2019, 237, 241–257. [Google Scholar] [CrossRef]
  21. Ahmadianfar, I.; Heidari, A.A.; Noshadian, S.; Chen, H.; Gandomi, A.H. INFO: An efficient optimization algorithm based on weighted mean of vectors. Expert Syst. Appl. 2022, 195, 116516. [Google Scholar] [CrossRef]
  22. Li, S.; Gu, Q.; Gong, W.; Ning, B. An enhanced adaptive differential evolution algorithm for parameter extraction of photovoltaic models. Energy Convers. Manag. 2020, 205, 112443. [Google Scholar] [CrossRef]
  23. Xia, X.; Gui, L.; Yu, F.; Wu, H.; Wei, B.; Zhang, Y.L.; Zhan, Z.H. Triple Archives Particle Swarm Optimization. IEEE Trans. Cybern. 2020, 50, 4862–4875. [Google Scholar] [CrossRef] [PubMed]
  24. Li, S.; Gong, W.; Yan, X.; Hu, C.; Bai, D.; Wang, L.; Gao, L. Parameter extraction of photovoltaic models using an improved teaching-learning-based optimization. Energy Convers. Manag. 2019, 186, 293–305. [Google Scholar] [CrossRef]
  25. Chen, X.; Xu, B.; Mei, C.; Ding, Y.; Li, K. Teaching–learning–based artificial bee colony for solar photovoltaic parameter estimation. Appl. Energy 2018, 212, 1578–1588. [Google Scholar] [CrossRef]
  26. Hansen, N.; Ostermeier, A. Completely derandomized self-adaptation in evolution strategies. Evol. Comput. 2001, 9, 159–195. [Google Scholar] [CrossRef] [PubMed]
  27. Yang, X.; Gong, W. Opposition-based JAYA with population reduction for parameter estimation of photovoltaic solar cells and modules. Appl. Soft Comput. 2021, 104, 107218. [Google Scholar] [CrossRef]
  28. Ćalasan, M.; Abdel Aleem, S.H.E.; Zobaa, A.F. On the root mean square error (RMSE) calculation for parameter estimation of photovoltaic models: A novel exact analytical solution based on Lambert W function. Energy Convers. Manag. 2020, 210, 112716. [Google Scholar] [CrossRef]
  29. Gao, X.; Yao, C.; Gao, X.; Yu, Y. Accuracy comparison between implicit and explicit single-diode models of photovoltaic cells and modules. Acta Phys. Sin. 2014, 63, 178401. [Google Scholar] [CrossRef]
  30. Gao, X.; Cui, Y.; Hu, J.; Tahir, N.; Xu, G. Performance comparison of exponential, Lambert W function and Special Trans function based single diode solar cell models. Energy Convers. Manag. 2018, 171, 1822–1842. [Google Scholar] [CrossRef]
  31. AlRashidi, M.R.; AlHajri, M.F.; El-Naggar, K.M.; Al-Othman, A.K. A new estimation approach for determining the I–V characteristics of solar cells. Sol. Energy 2011, 85, 1543–1550. [Google Scholar] [CrossRef]
  32. Gude, S.; Jana, K.C. A multiagent system based cuckoo search optimization for parameter identification of photovoltaic cell using Lambert W-function. Appl. Soft Comput. 2022, 120, 108678. [Google Scholar] [CrossRef]
  33. Tong, N.T.; Pora, W. A parameter extraction technique exploiting intrinsic properties of solar cells. Appl. Energy 2016, 176, 104–115. [Google Scholar] [CrossRef]
  34. Yu, K.; Liang, J.J.; Qu, B.Y.; Cheng, Z.; Wang, H. Multiple learning backtracking search algorithm for estimating parameters of photovoltaic models. Appl. Energy 2018, 226, 408–422. [Google Scholar] [CrossRef]
  35. Li, S.; Gong, W.; Yan, X.; Hu, C.; Bai, D.; Wang, L. Parameter estimation of photovoltaic models with memetic adaptive differential evolution. Sol. Energy 2019, 190, 465–474. [Google Scholar] [CrossRef]
  36. Yousri, D.; Rezk, H.; Fathy, A. Identifying the parameters of different configurations of photovoltaic models based on recent artificial ecosystem-based optimization approach. Int. J. Energy Res. 2020, 44, 11302–11322. [Google Scholar] [CrossRef]
  37. El-Fergany, A.A. Parameters identification of PV model using improved slime mould optimizer and Lambert W-function. Energy Rep. 2021, 7, 875–887. [Google Scholar] [CrossRef]
  38. Kler, D.; Goswami, Y.; Rana, K.P.S.; Kumar, V. A novel approach to parameter estimation of photovoltaic systems using hybridized optimizer. Energy Convers. Manag. 2019, 187, 486–511. [Google Scholar] [CrossRef]
Figure 1. Equivalent circuit of a solar cell under the framework of the single diode model.
Figure 1. Equivalent circuit of a solar cell under the framework of the single diode model.
Energies 16 05425 g001
Figure 2. Equivalent circuit of a PV module under the framework of the single diode model.
Figure 2. Equivalent circuit of a PV module under the framework of the single diode model.
Energies 16 05425 g002
Figure 3. The functional images of f (x) =xex and Lambert W function.
Figure 3. The functional images of f (x) =xex and Lambert W function.
Energies 16 05425 g003
Figure 4. The measured and calculated characteristic curves of the French R.T.C. silicon solar cell, with the latter determined by combining the different algorithms with the simplified explicit equation. (a) current–voltage characteristics; (b) power-voltage characteristics.
Figure 4. The measured and calculated characteristic curves of the French R.T.C. silicon solar cell, with the latter determined by combining the different algorithms with the simplified explicit equation. (a) current–voltage characteristics; (b) power-voltage characteristics.
Energies 16 05425 g004
Figure 5. The absolute errors in fitting the measured I-V and P-V characteristic data of the French R.T.C. silicon solar cell by the curves determined by combining different algorithms with the implicit equation and the simplified explicit equation. (a) absolute fitting errors of current–voltage characteristic data; (b) absolute fitting errors of power-voltage characteristic data.
Figure 5. The absolute errors in fitting the measured I-V and P-V characteristic data of the French R.T.C. silicon solar cell by the curves determined by combining different algorithms with the implicit equation and the simplified explicit equation. (a) absolute fitting errors of current–voltage characteristic data; (b) absolute fitting errors of power-voltage characteristic data.
Energies 16 05425 g005
Figure 6. The measured and calculated characteristic curves of the Photowatt-PWP201 module, with the latter determined by combining the different algorithms with the simplified explicit equation. (a) current–voltage characteristics; (b) power–voltage characteristics.
Figure 6. The measured and calculated characteristic curves of the Photowatt-PWP201 module, with the latter determined by combining the different algorithms with the simplified explicit equation. (a) current–voltage characteristics; (b) power–voltage characteristics.
Energies 16 05425 g006
Figure 7. The measured and calculated characteristic curves of the STM6-40/36 module, with the latter determined by combining the different algorithms with the simplified explicit equation. (a) current–voltage characteristics; (b) power–voltage characteristics.
Figure 7. The measured and calculated characteristic curves of the STM6-40/36 module, with the latter determined by combining the different algorithms with the simplified explicit equation. (a) current–voltage characteristics; (b) power–voltage characteristics.
Energies 16 05425 g007
Figure 8. The measured and calculated characteristic curves of the STP6-120/36 module, with the latter determined by combining the different algorithms with the simplified explicit equation. (a) current–voltage characteristics; (b) power–voltage characteristics.
Figure 8. The measured and calculated characteristic curves of the STP6-120/36 module, with the latter determined by combining the different algorithms with the simplified explicit equation. (a) current–voltage characteristics; (b) power–voltage characteristics.
Energies 16 05425 g008
Figure 9. The absolute errors in fitting the measured I-V and P-V characteristic data of the Photowatt-PWP201 module by the curves determined by combining different algorithms with the implicit equation and simplified explicit equation. (a) absolute fitting errors of current–voltage characteristic; (b) absolute fitting errors of power–voltage characteristic.
Figure 9. The absolute errors in fitting the measured I-V and P-V characteristic data of the Photowatt-PWP201 module by the curves determined by combining different algorithms with the implicit equation and simplified explicit equation. (a) absolute fitting errors of current–voltage characteristic; (b) absolute fitting errors of power–voltage characteristic.
Energies 16 05425 g009
Figure 10. The absolute errors in fitting the measured I-V and P-V characteristic data of the STM6-40/36 module by the curves determined by combining different algorithms with the implicit equation and simplified explicit equation. (a) absolute fitting errors of current–voltage characteristic; (b) absolute fitting errors of power–voltage characteristic.
Figure 10. The absolute errors in fitting the measured I-V and P-V characteristic data of the STM6-40/36 module by the curves determined by combining different algorithms with the implicit equation and simplified explicit equation. (a) absolute fitting errors of current–voltage characteristic; (b) absolute fitting errors of power–voltage characteristic.
Energies 16 05425 g010
Figure 11. The absolute errors in fitting the measured I-V and P-V characteristic data of the STP6-120/36 module by the curves determined by combining different algorithms with the implicit equation and simplified explicit equation. (a) absolute fitting errors of current–voltage characteristic; (b) absolute fitting errors of power–voltage characteristic.
Figure 11. The absolute errors in fitting the measured I-V and P-V characteristic data of the STP6-120/36 module by the curves determined by combining different algorithms with the implicit equation and simplified explicit equation. (a) absolute fitting errors of current–voltage characteristic; (b) absolute fitting errors of power–voltage characteristic.
Energies 16 05425 g011
Figure 12. The convergence curves obtained from the French R.T.C. silicon solar cell and the three PV modules by using three algorithms (EJAYA, MLBSA, and TLABC) combined with three SDM equations (the implicit, explicit, and simplified explicit equation). (a) The French R.T.C. silicon solar cell using the EJAYA algorithm; (b) the French R.T.C. silicon solar cell using the MLBSA algorithm; (c) the French R.T.C. silicon solar cell using the TLABC algorithm; (d) the Photowatt-PWP201 module using the EJAYA algorithm; (e) the Photowatt-PWP201 module using the MLBSA algorithm; (f) the Photowatt-PWP201 module using the TLABC algorithm; (g) the STM6-40/36 module using the EJAYA algorithm; (h) the STM6-40/36 module using the MLBSA algorithm; (i) the STM6-40/36 module using the TLABC algorithm; (j) the STP6-120/36 module using the EJAYA algorithm; (k) the STP6-120/36 module using the MLBSA algorithm; (l) the STP6-120/36 module using the TLABC algorithm.
Figure 12. The convergence curves obtained from the French R.T.C. silicon solar cell and the three PV modules by using three algorithms (EJAYA, MLBSA, and TLABC) combined with three SDM equations (the implicit, explicit, and simplified explicit equation). (a) The French R.T.C. silicon solar cell using the EJAYA algorithm; (b) the French R.T.C. silicon solar cell using the MLBSA algorithm; (c) the French R.T.C. silicon solar cell using the TLABC algorithm; (d) the Photowatt-PWP201 module using the EJAYA algorithm; (e) the Photowatt-PWP201 module using the MLBSA algorithm; (f) the Photowatt-PWP201 module using the TLABC algorithm; (g) the STM6-40/36 module using the EJAYA algorithm; (h) the STM6-40/36 module using the MLBSA algorithm; (i) the STM6-40/36 module using the TLABC algorithm; (j) the STP6-120/36 module using the EJAYA algorithm; (k) the STP6-120/36 module using the MLBSA algorithm; (l) the STP6-120/36 module using the TLABC algorithm.
Energies 16 05425 g012
Table 1. Search range of the SDM parameters of a solar cell and three PV modules used by the two traditional methods [35].
Table 1. Search range of the SDM parameters of a solar cell and three PV modules used by the two traditional methods [35].
ParameterR.T.C. Solar CellPhotowatt-PWP201STM6-40/36STP6-120/36
LBUBLBUBLBUBLBUB
Iph (A)01020208
I0 ( μ A )01050050050
Rs (Ω)00.50200.3600.36
Rsh (Ω)0100020000100001500
n12150160150
Table 2. Search range of the intermediate variables of a solar cell and three PV modules used by the new method.
Table 2. Search range of the intermediate variables of a solar cell and three PV modules used by the new method.
ParameterR.T.C. Solar CellPhotowatt-PWP201STM6-40/36STP6-120/36
LBUBLBUBLBUBLBUB
A3545820860900100042004300
B4555800850500600550600
C0.91.111.19117.27.8
D01 × 10−400.0500.200.1
E140015006506803600390033003400
Table 3. The parameter extraction results obtained from the French R.T.C. silicon solar cell by using different approaches.
Table 3. The parameter extraction results obtained from the French R.T.C. silicon solar cell by using different approaches.
AlgorithmIph (A)I0 (μA) Rs (Ω)Rsh (Ω)nRMSE
ImplicitEJAYA0.760780.323020.0363853.718521.481187.75391 × 10−4
INFO0.760780.320090.0364153.455711.480277.74429 × 10−4
JAYA0.760760.315480.0364853.412841.478807.73514 × 10−4
ITLBO0.760780.323020.0363853.718521.481187.75391 × 10−4
MLBSA0.760790.322630.0363853.603681.481067.75276 × 10−4
CMAES0.761050.911890.0318490.437701.593701.98663 × 10−3
TAPSO0.760780.323020.0363853.718531.481187.75391 × 10−4
TLABC0.760770.310990.0365352.793851.477387.73616 × 10−4
ExplicitEJAYA0.760790.310680.0365552.889791.477277.73006 × 10−4
INFO0.760790.310720.0365552.891991.477287.73006 × 10−4
JAYA0.760790.310680.0365552.889791.477277.73006 × 10−4
ITLBO0.760790.310680.0365552.889791.477277.73006 × 10−4
MLBSA0.760790.310680.0365552.889791.477277.73006 × 10−4
CMAES0.760900.877550.0316177.314211.589421.91638 × 10−3
TAPSO0.760790.310680.0365552.889791.477277.73006 × 10−4
TLABC0.760790.310680.0365552.889791.477277.73006 × 10−4
SimplifiedEJAYA0.760790.310680.0365552.889791.477277.73006 × 10−4
INFO0.760780.311190.0365452.988161.477437.73018 × 10−4
JAYA0.760790.310680.0365552.889791.477277.73006 × 10−4
ITLBO0.760790.310680.0365552.889791.477277.73006 × 10−4
MLBSA0.760790.310690.0365552.889901.477277.73006 × 10−4
CMAES0.760800.309490.0365652.689421.476887.73055 × 10−4
TAPSO0.760790.310680.0365552.889781.477277.73006 × 10−4
TLABC0.760790.310680.0365552.889791.477277.73006 × 10−4
Table 4. The parameter extraction results obtained from the Photowatt-PWP201 module by using different approaches.
Table 4. The parameter extraction results obtained from the Photowatt-PWP201 module by using different approaches.
AlgorithmIph (A)I0 (μA)Rs (Ω)Rsh (Ω)nRMSE
ImplicitEJAYA1.030513.482261.20127981.9822848.642832.13853 × 10−3
INFO1.031782.594621.23419780.8519147.539492.06186 × 10−3
JAYA1.031762.572751.23331770.5722047.509712.07572 × 10−3
ITLBO1.030513.482261.20127981.9821948.642832.13853 × 10−3
MLBSA1.031312.679451.23189838.4253647.655962.06382 × 10−3
CMAES1.024163.766301.183741125.3335148.968254.39501 × 10−3
TAPSO1.031762.793311.22412793.8653247.813452.07760 × 10−3
TLABC1.031022.942161.22162878.2231648.003692.06765 × 10−3
ExplicitEJAYA1.031432.638081.23563821.6413547.598222.05296 × 10−3
INFO1.031432.638321.23562821.7295047.598572.05296 × 10−3
JAYA1.031432.638081.23563821.6413347.598222.05296 × 10−3
ITLBO1.031432.638081.23563821.6413347.598222.05296 × 10−3
MLBSA1.031432.638081.23563821.6412247.598222.05296 × 10−3
CMAES1.042614.231441.14391415.0882249.461214.58898 × 10−3
TAPSO1.031432.638101.23563821.6418547.598252.05296 × 10−3
TLABC1.031432.638081.23563821.6413547.598222.05296 × 10−3
SimplifiedEJAYA1.031432.638081.23563821.6414147.598222.05296 × 10−3
INFO1.031442.636011.23573821.1981047.595342.05296 × 10−3
JAYA1.031432.638081.23563821.6413247.598222.05296 × 10−3
ITLBO1.031432.638081.23563821.6413047.598222.05296 × 10−3
MLBSA1.031432.638071.23563821.6400447.598222.05296 × 10−3
CMAES1.031432.638081.23563821.6413047.598222.05296 × 10−3
TAPSO1.031452.634991.23574820.3397947.593952.05296 × 10−3
TLABC1.031432.638081.23563821.6413747.598222.05296 × 10−3
Table 5. The parameter extraction results obtained from the STM6-40/36 module by using different approaches.
Table 5. The parameter extraction results obtained from the STM6-40/36 module by using different approaches.
AlgorithmIph (A)I0 (μA)Rs (Ω)Rsh (Ω)nRMSE
ImplicitEJAYA1.663901.738660.0042715.928291.520301.72193 × 10−3
INFO1.661762.466830.0031619.315401.559681.98598 × 10−3
JAYA1.663861.763530.0042316.002141.521871.72218 × 10−3
ITLBO1.663901.738960.0042715.928311.520321.72193 × 10−3
MLBSA1.663911.738470.0042715.923971.520291.72193 × 10−3
CMAES1.666681.487270.0050414.010671.503522.33499 × 10−3
TAPSO1.6631811.006640.00267341.173151.754151.61559 × 10−2
TLABC1.663901.736260.0042815.928151.520151.72195 × 10−3
ExplicitEJAYA1.663901.741250.0042715.931501.520471.72192 × 10−3
INFO1.663922.084030.0037216.410861.540581.80730 × 10−3
JAYA1.663691.917110.0039316.356391.531141.73812 × 10−3
ITLBO1.663901.741250.0042715.931501.520471.72192 × 10−3
MLBSA1.663062.132920.0036717.516161.543081.79895 × 10−3
CMAES1.663911.733770.0042815.892831.520001.72208 × 10−3
TAPSO1.654127.433280.00303372.589661.698021.33369 × 10−2
TLABC1.663052.678590.0028318.214681.569371.99845 × 10−3
SimplifiedEJAYA1.663901.741250.0042715.931501.520471.72192 × 10−3
INFO1.663901.748190.0042515.944841.520901.72195 × 10−3
JAYA1.663901.741250.0042715.931501.520471.72192 × 10−3
ITLBO1.663901.741250.0042715.931501.520471.72192 × 10−3
MLBSA1.663901.741250.0042715.931511.520471.72192 × 10−3
CMAES1.663901.740950.0042715.930341.520451.72192 × 10−3
TAPSO1.663901.741520.0042715.932671.520481.72192 × 10−3
TLABC1.663901.741250.0042715.931501.520471.72192 × 10−3
Table 6. The parameter extraction results obtained from the STP6-120/36 module by using different approaches.
Table 6. The parameter extraction results obtained from the STP6-120/36 module by using different approaches.
AlgorithmIph (A)I0 (μA)Rs (Ω)Rsh (Ω)nRMSE
ImplicitEJAYA7.472532.334990.0045922.219891.260101.44184 × 10−2
INFO7.474852.288810.0046018.770951.258451.44043 × 10−2
JAYA7.478072.257600.0046115.675621.257321.44303 × 10−2
ITLBO7.473752.295340.0046020.214011.258681.43963 × 10−2
MLBSA7.467872.571390.0045539.347061.268191.46143 × 10−2
CMAES7.464312.527700.0045765.955471.266721.46031 × 10−2
TAPSO7.5053724.587440.003081387.732961.493124.07365 × 10−2
TLABC7.472532.335030.0045922.224451.260101.44184 × 10−2
ExplicitEJAYA7.475281.930890.0046915.838811.244461.42511 × 10−2
INFO7.474981.948180.0046916.190941.245181.42514 × 10−2
JAYA7.473301.876250.0047116.932081.242121.42652 × 10−2
ITLBO7.475281.930890.0046915.838811.244461.42511 × 10−2
MLBSA7.475301.931280.0046915.838011.244471.42511 × 10−2
CMAES7.461372.257070.0046384.212381.257231.45267 × 10−2
TAPSO7.4895610.192180.003761496.934521.396672.67189 × 10−2
TLABC7.474771.962420.0046816.442511.245781.42529 × 10−2
SimplifiedEJAYA7.475281.930890.0046915.838821.244461.42511 × 10−2
INFO7.475291.930800.0046915.834821.244451.42511 × 10−2
JAYA7.475291.930730.0046915.834431.244451.42511 × 10−2
ITLBO7.475281.930890.0046915.838821.244461.42511 × 10−2
MLBSA7.475281.930890.0046915.838811.244461.42511 × 10−2
CMAES7.475281.931060.0046915.845351.244461.42511 × 10−2
TAPSO7.475281.930900.0046915.839361.244461.42511 × 10−2
TLABC7.475281.930890.0046915.838821.244461.42511 × 10−2
Table 7. Statistical results of RMSE obtained from 30 times of parameter extractions from the French R.T.C. silicon solar cell by using different algorithms and SDM equations.
Table 7. Statistical results of RMSE obtained from 30 times of parameter extractions from the French R.T.C. silicon solar cell by using different algorithms and SDM equations.
AlgorithmRMSE
MinMeanMaxSTD
ImplicitEJAYA7.75391 × 10−47.75391 × 10−47.75391 × 10−41.14120 × 10−11
INFO7.74429 × 10−48.16892 × 10−41.03605 × 10−36.88497 × 10−5
JAYA7.73514 × 10−41.09058 × 10−33.38656 × 10−35.00841 × 10−4
ITLBO7.75391 × 10−47.75391 × 10−47.75391 × 10−46.75355 × 10−12
MLBSA7.75276 × 10−47.76243 × 10−47.84888 × 10−42.05837 × 10−6
CMAES1.98663 × 10−34.08536 × 10−31.74664 × 10−23.06129 × 10−3
TAPSO7.75391 × 10−47.99299 × 10−41.25655 × 10−39.23284 × 10−5
TLABC7.73616 × 10−48.37316 × 10−41.08756 × 10−31.01493 × 10−4
ExplicitEJAYA7.73006 × 10−47.73006 × 10−47.73006 × 10−42.09161 × 10−17
INFO7.73006 × 10−47.98603 × 10−41.02656 × 10−35.55816 × 10−5
JAYA7.73006 × 10−49.92692 × 10−42.19092 × 10−33.02104 × 10−4
ITLBO7.73006 × 10−47.73006 × 10−47.73006 × 10−41.52524 × 10−17
MLBSA7.73006 × 10−47.73007 × 10−47.73020 × 10−42.63105 × 10−9
CMAES1.91638 × 10−33.46648 × 10−31.20613 × 10−21.98098 × 10−3
TAPSO7.73006 × 10−47.73006 × 10−47.73006 × 10−41.20954 × 10−12
TLABC7.73006 × 10−48.18547 × 10−41.24599 × 10−39.87613 × 10−5
SimplifiedEJAYA7.73006 × 10−47.73006 × 10−47.73006 × 10−42.37641 × 10−17
INFO7.73018 × 10−47.76205 × 10−47.92388 × 10−44.40038 × 10−6
JAYA7.73006 × 10−47.73682 × 10−47.76417 × 10−49.59773 × 10−7
ITLBO7.73006 × 10−47.73006 × 10−47.73006 × 10−41.51641 × 10−17
MLBSA7.73006 × 10−47.73007 × 10−47.73012 × 10−41.11034 × 10−9
CMAES7.73055 × 10−48.27601 × 10−41.11884 × 10−38.59741 × 10−5
TAPSO7.73006 × 10−47.73351 × 10−47.77133 × 10−41.07050 × 10−6
TLABC7.73006 × 10−47.73062 × 10−47.74151 × 10−42.26163 × 10−7
Table 8. Statistical results of RMSE obtained from 30 times of parameter extractions from the Photowatt-PWP201 module by using different algorithms and SDM equations.
Table 8. Statistical results of RMSE obtained from 30 times of parameter extractions from the Photowatt-PWP201 module by using different algorithms and SDM equations.
AlgorithmRMSE
MinMeanMaxSTD
ImplicitEJAYA2.13853 × 10−32.13853 × 10−32.13853 × 10−34.99119 × 10−11
INFO2.06186 × 10−32.84036 × 10−11.784994.84396 × 10−1
JAYA2.07572 × 10−32.18204 × 10−33.06515 × 10−31.74739 × 10−4
ITLBO2.13853 × 10−32.13853 × 10−32.13853 × 10−32.59981 × 10−11
MLBSA2.06382 × 10−32.13339 × 10−32.13857 × 10−31.48149 × 10−5
CMAES4.39501 × 10−34.73170 × 10−22.47876 × 10−15.55334 × 10−2
TAPSO2.07760 × 10−32.35966 × 10−34.42055 × 10−35.59649 × 10−4
TLABC2.06765 × 10−32.14299 × 10−32.40895 × 10−35.34010 × 10−5
ExplicitEJAYA2.05296 × 10−32.05296 × 10−32.05296 × 10−32.76570 × 10−17
INFO2.05296 × 10−32.06164 × 10−32.21478 × 10−33.02046 × 10−5
JAYA2.05296 × 10−32.09465 × 10−32.30547 × 10−36.71881 × 10−5
ITLBO2.05296 × 10−32.05296 × 10−32.05296 × 10−31.18820 × 10−17
MLBSA2.05296 × 10−32.05306 × 10−32.05564 × 10−34.89798 × 10−7
CMAES4.58898 × 10−35.78912 × 10−26.19818 × 10−11.16954 × 10−1
TAPSO2.05296 × 10−32.30520 × 10−34.37013 × 10−34.42187 × 10−4
TLABC2.05296 × 10−32.05495 × 10−32.08945 × 10−36.89634 × 10−6
SimplifiedEJAYA2.05296 × 10−32.05296 × 10−32.05296 × 10−32.24728 × 10−17
INFO2.05296 × 10−32.05401 × 10−32.06681 × 10−33.06241 × 10−6
JAYA2.05296 × 10−32.05303 × 10−32.05346 × 10−31.34473 × 10−7
ITLBO2.05296 × 10−32.05296 × 10−32.05296 × 10−31.41655 × 10−17
MLBSA2.05296 × 10−32.05296 × 10−32.05297 × 10−32.61860 × 10−9
CMAES2.05296 × 10−32.05296 × 10−32.05296 × 10−32.26503 × 10−16
TAPSO2.05296 × 10−32.05936 × 10−32.13934 × 10−31.85178 × 10−5
TLABC2.05296 × 10−32.05296 × 10−32.05296 × 10−33.34776 × 10−11
Table 9. Statistical results of RMSE obtained from 30 times of parameter extractions from the STM6-40/36 module by using different algorithms and SDM equations.
Table 9. Statistical results of RMSE obtained from 30 times of parameter extractions from the STM6-40/36 module by using different algorithms and SDM equations.
AlgorithmRMSE
MinMeanMaxSTD
ImplicitEJAYA1.72193 × 10−31.72193 × 10−31.72193 × 10−32.87140 × 10−13
INFO1.98598 × 10−32.96002 × 10−33.35734 × 10−34.90792 × 10−4
JAYA1.72218 × 10−31.18367 × 10−21.33748 × 10−12.59986 × 10−2
ITLBO1.72193 × 10−31.72440 × 10−31.79563 × 10−31.34534 × 10−5
MLBSA1.72193 × 10−32.14051 × 10−33.23978 × 10−33.28517 × 10−4
CMAES2.33499 × 10−39.84530 × 10−23.10757 × 10−16.41122 × 10−2
TAPSO1.61559 × 10−24.29111 × 10−21.55217 × 10−13.36312 × 10−2
TLABC1.72195 × 10−32.67330 × 10−38.45185 × 10−31.16085 × 10−3
ExplicitEJAYA1.72192 × 10−31.72192 × 10−31.72192 × 10−31.49851 × 10−17
INFO1.80730 × 10−33.02008 × 10−33.60080 × 10−34.93168 × 10−4
JAYA1.73812 × 10−33.34779 × 10−31.64127 × 10−22.58234 × 10−3
ITLBO1.72192 × 10−31.72192 × 10−31.72192 × 10−31.49348 × 10−16
MLBSA1.79895 × 10−32.15960 × 10−33.17970 × 10−33.45679 × 10−4
CMAES1.72208 × 10−38.55726 × 10−22.24444 × 10−15.90057 × 10−2
TAPSO1.33369 × 10−23.77141 × 10−21.21053 × 10−12.42494 × 10−2
TLABC1.99845 × 10−32.43504 × 10−33.52907 × 10−33.17683 × 10−4
SimplifiedEJAYA1.72192 × 10−31.72192 × 10−31.72192 × 10−31.23977 × 10−17
INFO1.72195 × 10−31.73016 × 10−31.78759 × 10−31.56711 × 10−5
JAYA1.72192 × 10−31.72422 × 10−31.74613 × 10−35.69221 × 10−6
ITLBO1.72192 × 10−31.72192 × 10−31.72192 × 10−36.11848 × 10−18
MLBSA1.72192 × 10−31.72220 × 10−31.72456 × 10−36.45140 × 10−7
CMAES1.72192 × 10−31.72254 × 10−31.72404 × 10−35.68521 × 10−7
TAPSO1.72192 × 10−31.86834 × 10−34.17261 × 10−35.60094 × 10−4
TLABC1.72192 × 10−31.72268 × 10−31.74330 × 10−33.89947 × 10−6
Table 10. Statistical results of RMSE obtained from 30 times of parameter extractions from the STP6-120/36 module by using different algorithms and SDM equations.
Table 10. Statistical results of RMSE obtained from 30 times of parameter extractions from the STP6-120/36 module by using different algorithms and SDM equations.
AlgorithmRMSE
MinMeanMaxStd
ImplicitEJAYA1.44184 × 10−21.44184 × 10−21.44184 × 10−21.59021 × 10−10
INFO1.44043 × 10−21.80608 × 10−11.413124.23034 × 10−1
JAYA1.44303 × 10−22.54971 × 10−24.12246 × 10−21.06048 × 10−2
ITLBO1.43963 × 10−21.45325 × 10−21.65617 × 10−23.99477 × 10−4
MLBSA1.46143 × 10−21.66293 × 10−23.05383 × 10−23.06147 × 10−3
CMAES1.46031 × 10−27.69069 × 10−11.413126.66153 × 10−1
TAPSO4.07365 × 10−25.92640 × 10−11.190393.69627 × 10−1
TLABC1.44184 × 10−21.82244 × 10−22.73022 × 10−23.04619 × 10−3
ExplicitEJAYA1.42511 × 10−21.42511 × 10−21.42511 × 10−21.80071 × 10−16
INFO1.42514 × 10−21.45637 × 10−21.49865 × 10−21.91525 × 10−4
JAYA1.42652 × 10−21.90284 × 10−24.39082 × 10−28.87983 × 10−3
ITLBO1.42511 × 10−21.42511 × 10−21.42511 × 10−28.76863 × 10−17
MLBSA1.42511 × 10−21.45849 × 10−21.47870 × 10−21.42013 × 10−4
CMAES1.45267 × 10−25.89438 × 10−11.413124.83351 × 10−1
TAPSO2.67189 × 10−21.63083 × 10−17.31996 × 10−11.86709 × 10−1
TLABC1.42529 × 10−21.52592 × 10−22.05632 × 10−21.21836 × 10−3
SimplifiedEJAYA1.42511 × 10−21.42511 × 10−21.42511 × 10−21.35462 × 10−16
INFO1.42511 × 10−21.42529 × 10−21.42807 × 10−26.96839 × 10−6
JAYA1.42511 × 10−21.42511 × 10−21.42512 × 10−23.07441 × 10−8
ITLBO1.42511 × 10−21.42511 × 10−21.42511 × 10−26.64892 × 10−17
MLBSA1.42511 × 10−21.42511 × 10−21.42511 × 10−25.01616 × 10−10
CMAES1.42511 × 10−21.42511 × 10−21.42512 × 10−22.94393 × 10−8
TAPSO1.42511 × 10−21.42550 × 10−21.43616 × 10−22.01436 × 10−5
TLABC1.42511 × 10−21.42511 × 10−21.42511 × 10−28.04860 × 10−9
Disclaimer/Publisher’s Note: The statements, opinions and data contained in all publications are solely those of the individual author(s) and contributor(s) and not of MDPI and/or the editor(s). MDPI and/or the editor(s) disclaim responsibility for any injury to people or property resulting from any ideas, methods, instructions or products referred to in the content.

Share and Cite

MDPI and ACS Style

Li, J.; Qin, C.; Yang, C.; Ai, B.; Zhou, Y. Extraction of Single Diode Model Parameters of Solar Cells and PV Modules by Combining an Intelligent Optimization Algorithm with Simplified Explicit Equation Based on Lambert W Function. Energies 2023, 16, 5425. https://doi.org/10.3390/en16145425

AMA Style

Li J, Qin C, Yang C, Ai B, Zhou Y. Extraction of Single Diode Model Parameters of Solar Cells and PV Modules by Combining an Intelligent Optimization Algorithm with Simplified Explicit Equation Based on Lambert W Function. Energies. 2023; 16(14):5425. https://doi.org/10.3390/en16145425

Chicago/Turabian Style

Li, Jianing, Cheng Qin, Chen Yang, Bin Ai, and Yecheng Zhou. 2023. "Extraction of Single Diode Model Parameters of Solar Cells and PV Modules by Combining an Intelligent Optimization Algorithm with Simplified Explicit Equation Based on Lambert W Function" Energies 16, no. 14: 5425. https://doi.org/10.3390/en16145425

APA Style

Li, J., Qin, C., Yang, C., Ai, B., & Zhou, Y. (2023). Extraction of Single Diode Model Parameters of Solar Cells and PV Modules by Combining an Intelligent Optimization Algorithm with Simplified Explicit Equation Based on Lambert W Function. Energies, 16(14), 5425. https://doi.org/10.3390/en16145425

Note that from the first issue of 2016, this journal uses article numbers instead of page numbers. See further details here.

Article Metrics

Back to TopTop