Wind-Induced Responses of Corroded Angle-Steel Transmission Tower
Abstract
1. Introduction
2. Materials and Methods
3. Simulation of Random Wind Loads
3.1. Simulation of Random Wind Field
3.2. Wind Loads on Tower
3.3. Wind Loads on Conductors and Ground Wires
4. Collapse Analysis Methodologies of Transmission Tower
4.1. Explicit Integration Method
4.2. Failure Criterion of the Component
4.3. Effects of Failure Members
4.4. Case of Progressive Collapse Analysis
5. Natural Vibration Characteristics of Corroded Towers
6. Wind-Induced Collapse Modes of Corroded Angle-Steel Towers
6.1. Loading Procedure
6.2. Collapse Modes
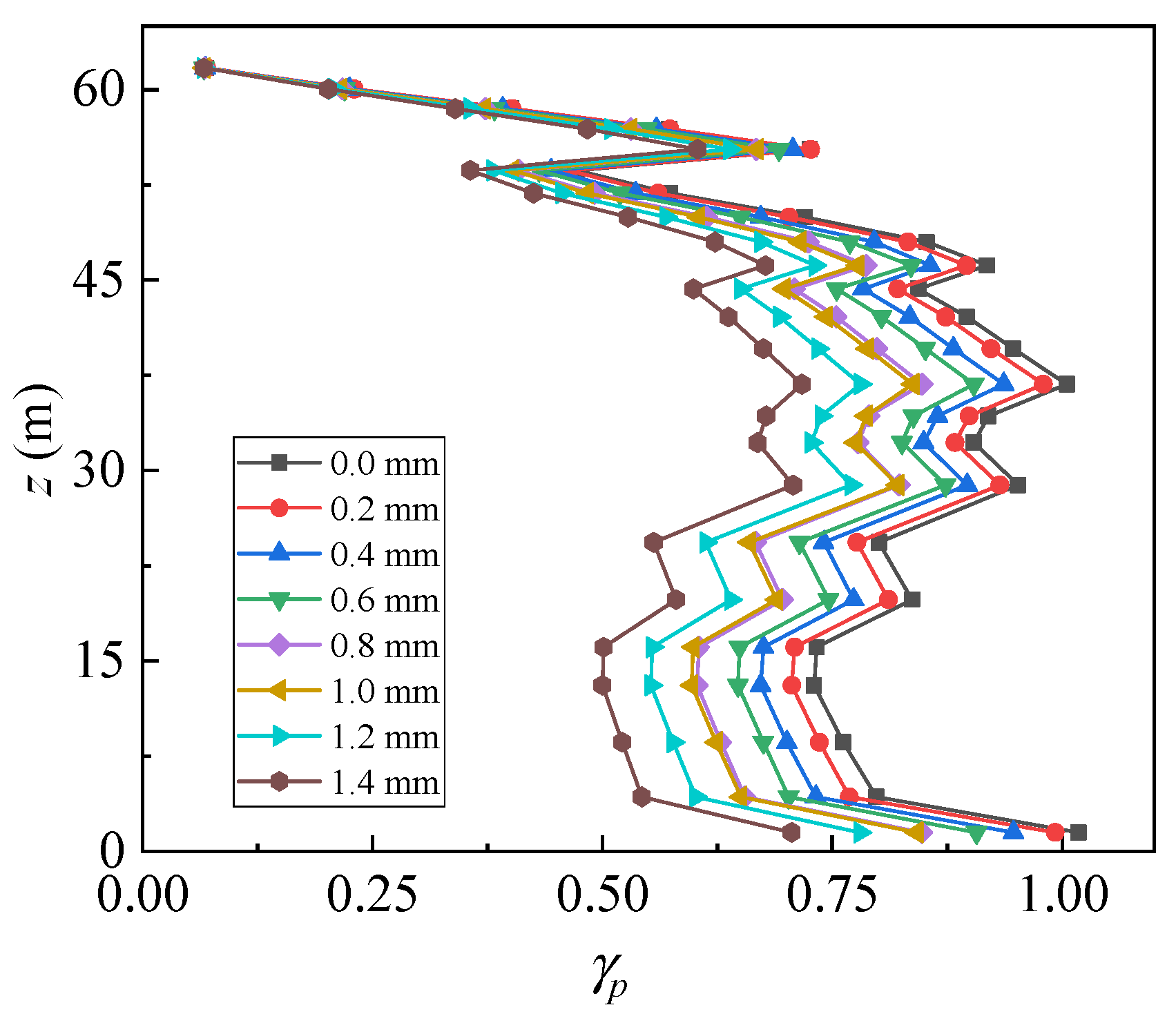
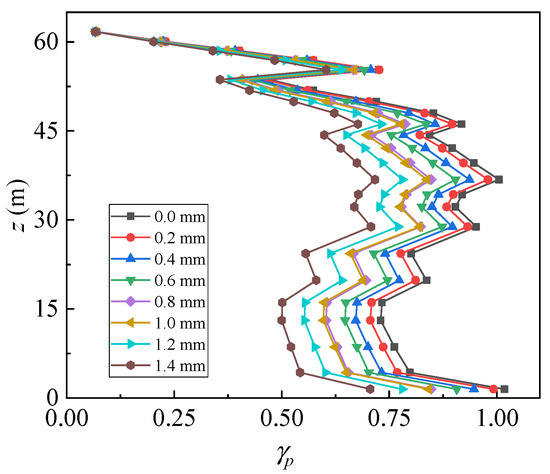
6.3. Wind-Induced Stress
7. Conclusions
- (1)
- The natural frequency of the structure decreased along with the increase of corrosion depth. When the corrosion depth was larger than 1.2 mm, the first-order mode of the structure changed from first-order X bending mode to first torsional mode;
- (2)
- When the corrosion depth was small, the overall failure of the structure occurred under the action of strong wind. The most unfavorable diagonal component between the lower and middle cross arms failed first and, then, failure gradually spread to the components below the lower cross arm. When the corrosion depth was large, the overall failure was limited between the lower and middle cross arms and did not spread to other components. Local failure of the auxiliary component at the upper cross arm did not cause overall structural failure;
- (3)
- The oblique component components located between the lower and middle cross arms, which resulted in the largest capacity ratio and failed first under the action of strong wind, were the key components. In the wind-resistant design of a transmission tower at the highly corrosive areas, these components should be reinforced.
Author Contributions
Funding
Data Availability Statement
Acknowledgments
Conflicts of Interest
References
- Shan, K.Y.; Li, T. Influence of Tower Feet orrosion on Safety Performance of Power Transmission Tower. Corros. Prot. 2021, 42, 28–33+63. [Google Scholar]
- Cheng, L.; Ma, G. Corrosion and Protection of Steel Structures for Transmission and Distribution Project. Steel Struct. 2014, 29, 76–79. [Google Scholar]
- Zu, Y.F.; Li, Z.L. Experimental study on corrosion fatigue behavior of Q420Bangle in simulated acid rain atmospheric environment. J. Build. Struct. 2020, 41, 105–115. [Google Scholar]
- Zhang, C.T.; Fan, W.L. Experimental research on the corrosion fatigue properties of Q345 equal angles. J. Vib. Shock 2014, 33, 193–198. [Google Scholar]
- Zhang, M. Corrosion of High Strength Steel Bolt Friction Type Connection Test of Performance Degradation. Master’s Thesis, Xi an University of Architecture and Technology, Xi’an, China, 2011. [Google Scholar]
- Chen, L.; Xu, S.H. Application of Finite Element Method to Safety Assessment on Corroded Transmission Towers. Steel Struct. 2010, 25, 76–78+10. [Google Scholar]
- Zheng, H.W.; Yu, J.F. Influence of Corrosion on Mechanical Properties of Cross Inclined Materials of Transmission Tower. In Proceedings of the 2022 Industrial Architecture Academic Exchange, Beijing, China, 14 October 2022; Volume 5. [Google Scholar]
- Li, J.; Wu, S.J. Safety Analysis and Evaluation of Corroded Transmission Tower Structure. Water Resour. Power 2016, 34, 176–178. [Google Scholar]
- Huang, X.L. Study on the Natural Vibration Period of the Bucket Transmission Tower and the Overall Safety Performance While Corrosive. Master’s Thesis, South China University of Technology, Guangzhou, China, 2017. [Google Scholar]
- Qian, X.H.; Liang, H. Corroded Component Durability Evaluation for Service Tower of Transmission Line. East China Electr. Power 2013, 41, 1695–1698. [Google Scholar]
- Wang, Y.M. Evaluation of Wind Resistance Performance of Steel Transmission Tower Considering the Influence of Corrosion. Master’s Thesis, Chongqing Jiaotong University, Chongqing, China, 2021. [Google Scholar]
- Guo, H.R. Reliability Analysis of the Transmission Tower considering Corrosion Fatigue of Joints. Master’s Thesis, Chongqing University, Chongqing, China, 2019. [Google Scholar]
- Deng, C.Z.; Guo, Y.L.; Zhang, K.; Zhao, X.; Niu, H.R. Reinforcenment Measures and Simulation Calculation of Corrosion Tower Leg of Transmission Line Tower. J. China Three Gorges Univ. (Nat. Sci.) 2019, 41, 76–80. [Google Scholar]
- Liu, J.; Huang, Q.D. Research of the Natural Vibration Period of the Transmission Tower and the Overall Safety Performance in Corrosive Environment. Steel Struct. 2018, 41, 113–117. [Google Scholar]
- Salazar, J.E.; Mendoza, J.A. Life Prediction of Electrical Power Transmission Towers. In Proceedings of the ASME 2008 9th Biennial Conference on Engineering Systems Design and Analysis, Haifa, Israel, 7–9 July 2008; pp. 313–323. [Google Scholar]
- GB 50009-2012; Load Code for the Design of Building Structures. Ministry of Housing and Urban-Rural Department of the People’s Republic of China; China Architecture and Building Press: Beijing, China, 2012.
- DLT 5154-2012; Technical Regulation for Structural Design of Overhead Transmission Line Poles and Towers. Ministry of Housing and Urban-Rural Department of the People’s Republic of China; China Architecture and Building Press: Beijing, China, 2012.
- Tian, L.; Yu, Q. The collapse analysis of a transmission tower under wind excitation. Open Civ. Eng. J. 2014, 8, 136–142. [Google Scholar] [CrossRef]
- Zhang, Z.; Li, H. The Numerical Analysis of Transmission Tower-Line System Wind-Induced Collapsed Performance. Math. Probl. Eng. 2013, 2013 Pt 6, 413275. [Google Scholar] [CrossRef]
- Li, Y.; Chen, Y. Member capacity-based progressive collapse analysis of transmission towers under wind load. Wind Struct. 2021, 33, 317–329. [Google Scholar]
- Vamvatsikos, D.; Cornell, C.A. Incremental dynamic analysis. Earthq. Eng. Struct. Dyn. 2002, 31, 491–514. [Google Scholar] [CrossRef]















| Steel Grade | σy (MPa) | E (MPa) | μ | ρ (kg/m3) |
|---|---|---|---|---|
| Q420 | 420 | 210,000 | 0.3 | 7800 |
| Q345 | 345 | 210,000 | 0.3 | 7800 |
| Q235 | 235 | 210,000 | 0.3 | 7800 |
| Locations of Particles | Fw,q (kN) |
|---|---|
| Lower cross arm | 49.99 |
| Middle cross arm | 52.34 |
| Upper cross arm | 54.36 |
| Hang point of ground wires | 14.06 |
| Case | Corrosion Depth (mm) |
|---|---|
| Gk1 | 0 |
| Gk2 | 0.2 |
| Gk3 | 0.4 |
| Gk4 | 0.6 |
| Gk5 | 0.8 |
| Gk6 | 1.0 |
| Gk7 | 1.2 |
| Gk8 | 1.4 |
| Case | f1 (Hz) | f2 (Hz) | f3 (Hz) |
|---|---|---|---|
| Gk1 | 0.97 | 1.00 | 1.05 |
| Gk2 | 0.96 | 1.00 | 1.03 |
| Gk3 | 0.96 | 0.99 | 1.02 |
| Gk4 | 0.96 | 0.99 | 1.00 |
| Gk5 | 0.95 | 0.98 | 0.99 |
| Gk6 | 0.95 | 0.97 | 0.98 |
| Gk7 | 0.95 | 0.95 | 0.98 |
| Gk8 | 0.93 | 0.94 | 0.98 |
| Corrosion Depth | 0~0.8 mm | 1.0 mm | 1.2~1.4 mm |
|---|---|---|---|
| First mode | X bending | X bending | torsion |
| Second mode | Y bending | torsion | X bending |
| Third mode | torsion | Y bending | Y bending |
Disclaimer/Publisher’s Note: The statements, opinions and data contained in all publications are solely those of the individual author(s) and contributor(s) and not of MDPI and/or the editor(s). MDPI and/or the editor(s) disclaim responsibility for any injury to people or property resulting from any ideas, methods, instructions or products referred to in the content. |
© 2023 by the authors. Licensee MDPI, Basel, Switzerland. This article is an open access article distributed under the terms and conditions of the Creative Commons Attribution (CC BY) license (https://creativecommons.org/licenses/by/4.0/).
Share and Cite
Zhang, L.; Ren, Y.; Zhou, X.; Shen, G.; Tu, Z.; Yao, J. Wind-Induced Responses of Corroded Angle-Steel Transmission Tower. Energies 2023, 16, 5429. https://doi.org/10.3390/en16145429
Zhang L, Ren Y, Zhou X, Shen G, Tu Z, Yao J. Wind-Induced Responses of Corroded Angle-Steel Transmission Tower. Energies. 2023; 16(14):5429. https://doi.org/10.3390/en16145429
Chicago/Turabian StyleZhang, Ligang, Yuan Ren, Xing Zhou, Guohui Shen, Zhibin Tu, and Jianfeng Yao. 2023. "Wind-Induced Responses of Corroded Angle-Steel Transmission Tower" Energies 16, no. 14: 5429. https://doi.org/10.3390/en16145429
APA StyleZhang, L., Ren, Y., Zhou, X., Shen, G., Tu, Z., & Yao, J. (2023). Wind-Induced Responses of Corroded Angle-Steel Transmission Tower. Energies, 16(14), 5429. https://doi.org/10.3390/en16145429

