Integrated Transmission Network Planning by Considering Wind Power’s Uncertainty and Disasters
Abstract
1. Introduction
- Use intelligent algorithms such as genetic algorithms [19]. This type of method can correspond well to the practical significance of line construction. However, for larger scale systems, the computation time grows exponentially.
- A bi-level network planning model is established to divide the problem into a decision level and an operation level, which effectively reduces the model’s complexity.
- The uncertainty of wind power is expressed in the form of chance constraint. They are converted into the probability inequalities by the convex relaxation method. That is useful for the solution under different confidence probabilities.
- The “big-M” method is used to separate the 0–1 decision variables, which effectively deals with the mixed-integer planning problem of integrated network planning.
2. Wind Power’s Uncertainty and Gaussian Mixture Model
2.1. Gaussian Mixture Model
2.2. AIC Evaluation
3. Skeleton Network’s Responsibilities and Framework of Integrated Network Planning
3.1. The Responsibilities of Skeleton Network against Disasters
3.2. The Framework of Integrated Network Planning for the Transmission
4. A Bi-Level Model for Integrated Network Planning for the Transmission
4.1. Bi-Level Planning Model
4.2. Integrated Network Planning Model for the Transmission
4.2.1. Upper-Level Model
4.2.2. Lower-Level Model
4.2.3. The Relationships between Upper and Lower-Level Model
5. Convert and Solve Chance Constrained Model Based on Convex Relaxation
5.1. Chance Constraint
5.2. The Reduction of Model Size
5.2.1. The Influence Area of Wind Power
5.2.2. WARD Equivalent
- All nodes connected with wind farms;
- All nodes at both ends of the lines within the wind farms’ influence area;
- The nodes at both ends of the optional construction lines.
5.3. Chance Constrained Transformation Based on Convex Relaxation
5.3.1. Convex Relaxation Method
5.3.2. Transformation of Chance Constrained Planning Model
6. Case Study
6.1. Parameters and Operating Environment Configuration
6.2. IEEE 118 Bus System
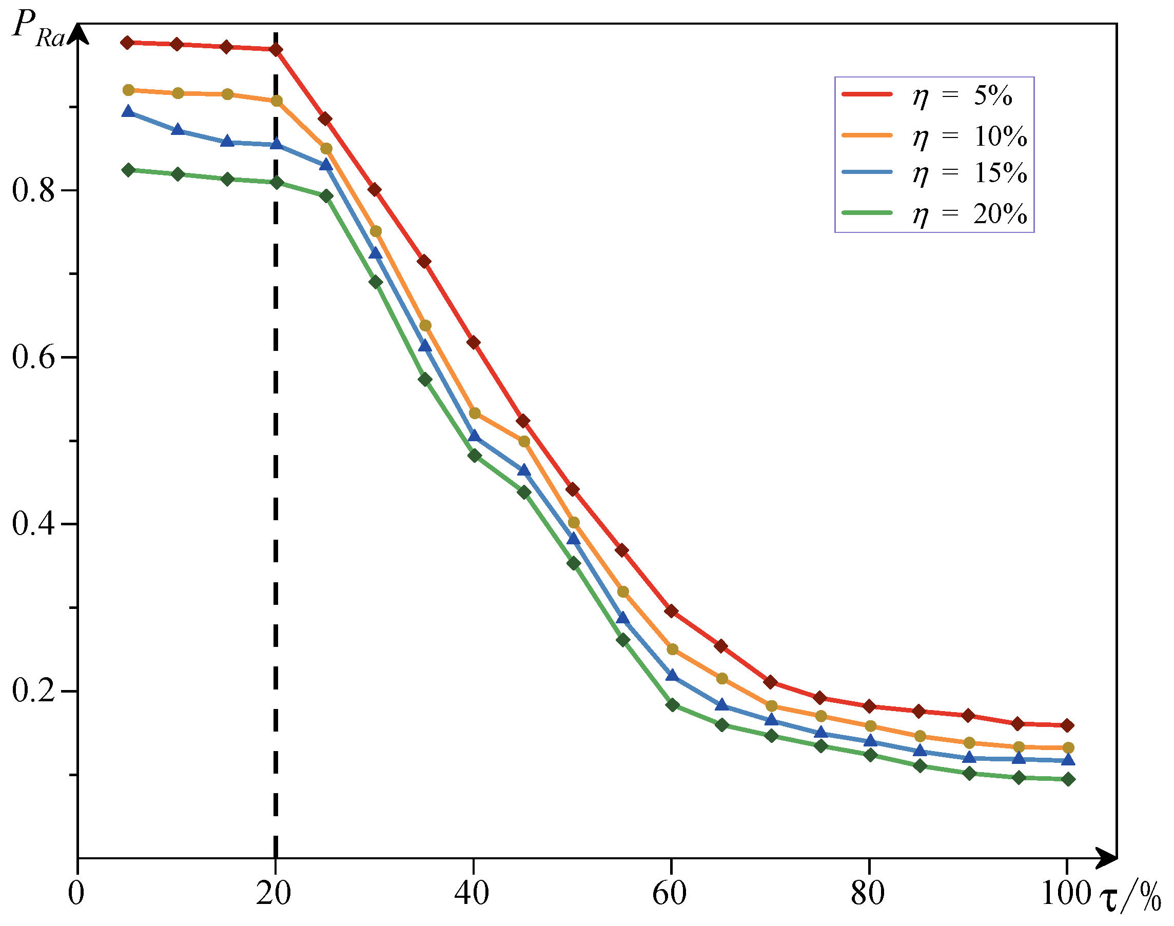
6.2.1. Quantitative Analysis of Wind Power’s Uncertainty
6.2.2. The Integrated Network Planning without Considering Wind Power’s Uncertainty
6.2.3. The Integrated Network Planning Considering Wind Power’s Uncertainty
7. Conclusions
Author Contributions
Funding
Data Availability Statement
Conflicts of Interest
Appendix A
Appendix B
| From Bus | To Bus | R (p.u.) | X (p.u.) |
|---|---|---|---|
| Bus-6 | Bus-11 | 0.00862 | 0.2570 |
| Bus-6 | Bus-16 | 0.00342 | 0.0514 |
| Bus-7 | Bus-11 | 0.02225 | 0.0731 |
| Bus-12 | Bus-13 | 0.0215 | 0.0707 |
| Bus-52 | Bus-54 | 0.0744 | 0.2444 |
| Bus-52 | Bus-56 | 0.0584 | 0.0349 |
| Bus-53 | Bus-56 | 0.0212 | 0.0834 |
| Bus-77 | Bus-83 | 0.0132 | 0.0437 |
| Bus-83 | Bus-88 | 0.0454 | 0.1801 |
| Bus-85 | Bus-87 | 0.0123 | 0.0505 |
| Bus-85 | Bus-90 | 0.0252 | 0.1170 |
| Bus-9 | Bus-30 | 0.0474 | 0.01563 |
| Bus-26 | Bus-38 | 0.0108 | 0.0331 |
| Bus-38 | Bus-68 | 0.0180 | 0.0919 |
| Bus-64 | Bus-68 | 0.0258 | 0.1170 |
| At Bus | Total Load (MW) | Critical Load (MW) | Critical Level | χL |
|---|---|---|---|---|
| Bus-1 | 51 | 20 | 4 | 1200 |
| Bus-3 | 39 | 15 | 1 | 300 |
| Bus-4 | 39 | 10 | 2 | 600 |
| Bus-7 | 19 | 10 | 2 | 600 |
| Bus-11 | 70 | 30 | 2 | 600 |
| Bus-15 | 90 | 42 | 1 | 300 |
| Bus-16 | 25 | 10 | 2 | 600 |
| Bus-19 | 45 | 30 | 2 | 600 |
| Bus-27 | 71 | 35 | 2 | 600 |
| Bus-29 | 24 | 10 | 2 | 600 |
| Bus-31 | 43 | 28 | 3 | 900 |
| Bus-33 | 23 | 20 | 3 | 900 |
| Bus-36 | 31 | 15 | 2 | 600 |
| Bus-40 | 66 | 10 | 2 | 600 |
| Bus-42 | 96 | 15 | 2 | 600 |
| Bus-43 | 18 | 10 | 2 | 600 |
| Bus-45 | 53 | 8 | 2 | 600 |
| Bus-46 | 28 | 10 | 2 | 600 |
| Bus-47 | 34 | 15 | 1 | 300 |
| Bus-49 | 87 | 40 | 1 | 300 |
| Bus-54 | 113 | 80 | 2 | 600 |
| Bus-55 | 22 | 40 | 4 | 1200 |
| Bus-56 | 18 | 50 | 1 | 300 |
| Bus-59 | 277 | 20 | 2 | 600 |
| Bus-60 | 78 | 40 | 2 | 600 |
| Bus-62 | 77 | 40 | 2 | 600 |
| Bus-66 | 39 | 10 | 3 | 900 |
| Bus-70 | 66 | 40 | 2 | 600 |
| Bus-74 | 68 | 50 | 3 | 900 |
| Bus-75 | 47 | 20 | 2 | 600 |
| Bus-76 | 68 | 50 | 2 | 600 |
| Bus-77 | 61 | 60 | 4 | 1200 |
| Bus-78 | 71 | 20 | 2 | 600 |
| Bus-80 | 130 | 90 | 2 | 600 |
| Bus-82 | 54 | 20 | 3 | 900 |
| Bus-85 | 24 | 10 | 2 | 600 |
| Bus-88 | 48 | 30 | 2 | 600 |
| Bus-90 | 163 | 50 | 3 | 900 |
| Bus-92 | 65 | 15 | 2 | 600 |
| Bus-95 | 42 | 20 | 2 | 600 |
| Bus-98 | 34 | 10 | 2 | 600 |
| Bus-100 | 37 | 35 | 4 | 1200 |
| Bus-101 | 22 | 10 | 2 | 600 |
| Bus-103 | 23 | 10 | 2 | 600 |
| Bus-104 | 38 | 15 | 1 | 300 |
| Bus-105 | 31 | 10 | 1 | 300 |
| Bus-107 | 50 | 14 | 1 | 300 |
| Bus-110 | 39 | 20 | 1 | 300 |
| Bus-115 | 22 | 10 | 2 | 600 |
| Cable Lines | |
|---|---|
| From Bus | To Bus |
| Bus-3 | Bus-11 |
| Bus-4 | Bus-11 |
| Bus-15 | Bus-19 |
| Bus-29 | Bus-31 |
| Bus-30 | Bus-38 |
| Bus-45 | Bus-49 |
| Bus-54 | Bus-55 |
| Bus-63 | Bus-64 |
| Bus-77 | Bus-80 |
| Bus-100 | Bus-104 |
| Bus-105 | Bus-107 |
| Bus-109 | Bus-110 |
References
- Alexandre, M.; Goran, S.; Rodrigo, M.; Alexandre, S.; Loannis, K. A Five-Level MILP Model for Flexible Transmissio-n Network Planning Under Uncertainty: A Min–Max Regret Approach. IEEE Trans. Power Syst. 2017, 33, 486–501. [Google Scholar] [CrossRef]
- Alexandre, M.; David, P.; Alexandre, S.; Enzo, S. Reliable Renewable Generation and Transmission Expansion Plannin-g: Co-Optimizing System’s Resources for Meeting Renewable Targets. IEEE Trans. Power Syst. 2017, 32, 3246–3257. [Google Scholar] [CrossRef]
- Jia, L.; Zuyi, L.; Feng, L.; Hongxing, Y.; Xuemin, Z.; Shengwei, M.; Naichao, C. Robust Coordinated Transmission an-d Generation Expansion Planning Considering Ramping Requirements and Construction Periods. IEEE Trans. Power Syst. 2018, 36, 268–280. [Google Scholar] [CrossRef]
- Weixin, Z.; Changzheng, S.; Bo, H.; Kaigui, X.; Pierluigi, S.; Maosen, C. Transmission Defense Hardening Against Typ-hoon Disasters Under Decision-Dependent Uncertainty. IEEE Trans. Power Syst. 2023, 38, 1653–2665. [Google Scholar] [CrossRef]
- Tao, D.; Ming, Q.; Zekai, W.; Bo, C.; Chen, C.; Mohammad, S. Power System Resilience Enhancement in Typhoons Using a Three-Stage Day-Ahead Unit Commitment. IEEE Trans. Power Syst. 2021, 12, 2153–2164. [Google Scholar] [CrossRef]
- Mahdavi, M.; Antunez, C.S.; Ajalli, M.; Romero, R. Transmission Expansion Planning: Literature Review and Classific-ation. IEEE Syst. J. 2019, 13, 3129–3140. [Google Scholar] [CrossRef]
- Zhenzhi, L.; Fushuan, W.; Huifang, W.; Guanqiang, L.; Xiaojun, Y. CRITIC-Based Bus Importance Evaluation in Skele-ton-Network Reconfiguration of Power Grids. IEEE Trans. Circuits Syst. II Exp. Briefs. 2018, 65, 206–210. [Google Scholar] [CrossRef]
- Zhang, H.; Heydt, G.T.; Vittal, V.; Quintero, J. An improved network model for transmission expansion planning consi-dering reactive power and network losses. IEEE Trans. Power Syst. 2013, 28, 3471–3479. [Google Scholar] [CrossRef]
- Yilin, X.; Ying, X. Transmission Expansion Planning Considering Wind Power and Load Uncertainties. Energies 2022, 15, 7140. [Google Scholar] [CrossRef]
- Yan, L.; Xueping, G. Skeleton-Network Reconfiguration Based on Topological Characteristics of Scale-Free Networks a-nd Discrete Particle Swarm Optimization. IEEE Trans. Power Syst. 2007, 22, 1267–1274. [Google Scholar] [CrossRef]
- Gu, X.; Zhong, H. Optimization of Network Reconfiguration Based on A Two-Layer Unit-Restarting Framework for P-ower System Restoration. IET Gener. Transm. Distrib. 2012, 6, 693–700. [Google Scholar] [CrossRef]
- Zhenzhi, L.; Fushuan, W.; Yusheng, X. A Restorative Self-Healing Algorithm for Transmission Systems Based on Complex Network Theory. IEEE Trans. Smart Grid. 2016, 7, 2154–2162. [Google Scholar] [CrossRef]
- Joshua, A.T.; Franz, S.H. Linear Relaxations for Transmission System Planning. IEEE Trans. Power Syst. 2011, 26, 2533–2538. [Google Scholar] [CrossRef]
- Romero, R.; Asada, E.N.; Carreno, E.; Rocha, C. Constructive Heuristic Algorithm in Branch-And-Bound Structure Ap-plied to Transmission Network Expansion Planning. IET Gen. Trans. Distrib. 2007, 1, 318–323. [Google Scholar] [CrossRef]
- Verma, A.; Panigrahi, B.K.; Bijwe, P.R. Harmony Search Algorithm for Transmission Network Expansion Planning. IET Gen. Trans. Distrib. 2010, 1, 663–673. [Google Scholar] [CrossRef]
- Leite da Silva, A.M.; Rezende, L.S.; Honorio, L.M.; Manso, L.A.F. Performance Comparison of Metaheuristics to Solv-e The Multi-Stage Transmission Expansion Planning Problem. IET Gen. Trans. Distrib. 2011, 1, 360–367. [Google Scholar] [CrossRef]
- Neeraj, G.; Mahdi, K.; Nilesh, P.; Tomanobu, S. A Bi-Level Evolutionary Optimization for Coordinated Transmission Expansion Planning. IEEE Access. 2018, 28, 48455–48477. [Google Scholar] [CrossRef]
- Mohsen, R.; Ruben, R.; Marcos, J.R. Strategies to Reduce the Number of Variables and the Combinatorial Search Space of the Multistage Transmission Expansion Planning Problem. IEEE Trans. Power Syst. 2013, 28, 2164–2173. [Google Scholar] [CrossRef]
- Jin, Y.X.; Cheng, H.Z.; Yan, H.Y.; Zhang, L. New Discrete Method for Particle Swarm Optimization and Its Applicatio-n in Transmission Network Expansion Planning. Elect. Power Syst. Res. 2007, 77, 227–233. [Google Scholar] [CrossRef]
- Pouria, M.; Seyed, H.H.; Majid, O.B.; Mohammad, S. A Scenario-Based Multi-Objective Model for Multi-Stage Transmis-sion Expansion Planning. IEEE Trans. Power Syst. 2011, 26, 470–478. [Google Scholar] [CrossRef]
- Dong, W.; Chen, X.; Yang, Q. Data-driven scenario generation of renewable energy production based on controllable g-enerative adversarial networks with interpretability. Appl. Energy 2022, 308, 118387. [Google Scholar] [CrossRef]
- Zhan, J.; Chung, C.; Zare, A. A fast solution method for stochastic transmission expansion planning. IEEE Trans. Power Syst. 2017, 32, 4684–4695. [Google Scholar] [CrossRef]
- Ma, Z.; Gao, J.; Hu, W.; Dinavahi, V. Risk-adjustable stochastic schedule based on sobol augmented latin hypercube sa-mpling considering correlation of wind power uncertainties. IET Renew. Power Gener. 2021, 15, 2356–2367. [Google Scholar] [CrossRef]
- Bukenberger, J.P.; Webster, M.D. Approximate latent factor algorithm for scenario selection and weighting in transmissi-on expansion planning. IEEE Trans. Power Syst. 2020, 35, 1099–1108. [Google Scholar] [CrossRef]
- Yu, H.; Chung, C.Y.; Wong, K.P.; Zhang, J.H. A Chance Constrained Transmission Network Expansion Planning Metho-d with Consideration of Load and Wind Farm Uncertainties. IEEE Trans. Power Syst. 2009, 24, 1568–1576. [Google Scholar] [CrossRef]
- Deping, K.; Chung, C.Y.; Yuanzhang, S. A Novel Probabilistic Optimal Power Flow Model with Uncertain Wind Pow-er Generation Described by Customized Gaussian Mixture Model. IEEE Trans. Sustain. Energy. 2016, 7, 200–212. [Google Scholar] [CrossRef]
- Valverde, G.; Saric, A.T.; Terzija, V. Probabilistic Load Flow with Non-Gaussian Correlated Random Variables Using G-aussian Mixture Models. IET Gen. Trans. Distrib. 2012, 6, 701–709. [Google Scholar] [CrossRef]
- Chen, J.F.; Sun, X.; Duan, X.Z.; Yang, Z.L.; Zhou, H.B.; Wang, J.B. A Chance-constrained Approach for Available Tra-nsfer Capability Evaluation for Power Systems with Wind Farm Integration. Proc. CSEE. 2019, 39, 6804–6814. [Google Scholar] [CrossRef]
- Hong, H.F.; Hu, Z.S.; Guo, R.P.; Ma, J.; Tian, J. Directed Graph-Based Distribution Network Reconfiguration for Oper-ation Mode Adjustment and Service Restoration Considering Distributed Generation. J. Mod. Power Syst. Clean. Energy. 2017, 5, 142–149. [Google Scholar] [CrossRef]
- Baldwin, T.L.; Mili, L.; Phadke, A.G. Dynamic Ward Equivalents for Transient Stability Analysis. IEEE Trans. Power Syst. 1994, 9, 59–67. [Google Scholar] [CrossRef]
- Shuwei, X.; Wenchuan, W.; Tao, Z.; Zhenyi, W. Convex Relaxation Based Iterative Solution Method for Stochastic Dynamic Economic Dispatch with Chance Constrain. Autom. Elect. Power Syst. 2020, 44, 43–51. [Google Scholar] [CrossRef]
- Ahmed, S. Convex Relaxations of Chance Constrained Optimization Problems. Optim. Letter. 2014, 8, 1–2. [Google Scholar] [CrossRef]
- Elia Group: Wind Power Generation. Available online: https://www.elia.be/en/grid-data/power-generation/wind-power-generation (accessed on 28 June 2023).










| Situation | Construction Scope | Title 3 |
|---|---|---|
| Without considering wind power’s uncertainty | original lines | Enhance: 1–3,3–5,4–5,4–11,5–6,6–7,5–8,8–30,15–19,15–33,15–17,17–30, 17–31,29–31,31–32,32–114,114–115,27–115,30–38,37–38, 34–36,34–37,37–39,39–40,40–42,54–55,54–56,55–59,59–63,63–64, 60–61,61–62,61–64,64–65,65–66,45–49,46–47,47–49,49–66,65–68, 68–81,70–74,74–75,75–118,76–118,76–77,77–78,77–80,80–81, 80–98,82–83,83–85,85–88,82–96,95–96,94–95,93–94,92–93,94–100, 100–101,100–103,100–104,104–105,105–107,105–108, 108–109,109–110 |
| optional construction lines | Build as ordinary lines: None | |
| Build as enhanced lines: 6–16,38–68,77–83,85–90 | ||
| Considering wind power’s uncertainty | original lines | Enhance: 1–3,3–5,4–5,4–11, 6–7, 5–8,8–30,15–19,15–33,15–17,17–30, 17–31,29–31,31–32,32–114,114–115,27–115,30–38,37–38, 34–36,34–37,37–39,39–40,40–42,54–56,55–56,55–59,59–63,63–64, 60–61,61–62,61–64,64–65,65–66,45–49,46–47,47–49,49–66,65–68, 68–81,70–74,74–75,75–118,76–118,76–77,77–78,77–80,80–81, 80–98,82–83,83–85,85–88,82–96,95–96,94–95,93–94,92–93,94–100, 100–101,100–103,100–104,104–105,105–107,105–108, 108–109,109–110 |
| optional construction lines | Build as ordinary lines: 52–54,53–56,83–88 | |
| Build as enhanced lines: 6–11,6–16,77–83,85–90 |
Disclaimer/Publisher’s Note: The statements, opinions and data contained in all publications are solely those of the individual author(s) and contributor(s) and not of MDPI and/or the editor(s). MDPI and/or the editor(s) disclaim responsibility for any injury to people or property resulting from any ideas, methods, instructions or products referred to in the content. |
© 2023 by the authors. Licensee MDPI, Basel, Switzerland. This article is an open access article distributed under the terms and conditions of the Creative Commons Attribution (CC BY) license (https://creativecommons.org/licenses/by/4.0/).
Share and Cite
Shi, Y.; Guo, R.; Tang, Y.; Lin, Y.; Yang, Z. Integrated Transmission Network Planning by Considering Wind Power’s Uncertainty and Disasters. Energies 2023, 16, 5336. https://doi.org/10.3390/en16145336
Shi Y, Guo R, Tang Y, Lin Y, Yang Z. Integrated Transmission Network Planning by Considering Wind Power’s Uncertainty and Disasters. Energies. 2023; 16(14):5336. https://doi.org/10.3390/en16145336
Chicago/Turabian StyleShi, Yishan, Ruipeng Guo, Yuchen Tang, Yi Lin, and Zhanxin Yang. 2023. "Integrated Transmission Network Planning by Considering Wind Power’s Uncertainty and Disasters" Energies 16, no. 14: 5336. https://doi.org/10.3390/en16145336
APA StyleShi, Y., Guo, R., Tang, Y., Lin, Y., & Yang, Z. (2023). Integrated Transmission Network Planning by Considering Wind Power’s Uncertainty and Disasters. Energies, 16(14), 5336. https://doi.org/10.3390/en16145336

