Investigation of Different Rotational Speed Characteristics of Multistage Axial Compressor in CAES System
Abstract
:1. Introduction
2. Research Methodology
2.1. Numerical Model
2.2. Numerical Method
2.3. Numerical Validation
2.4. Interpolation Method
2.5. Leakage Model
3. Results and Discussion
3.1. Overall Aerodynamic Performance Analysis
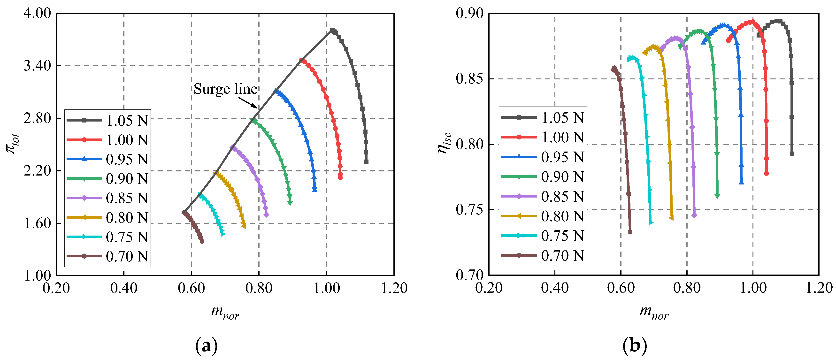
3.1.1. Characteristic Curves
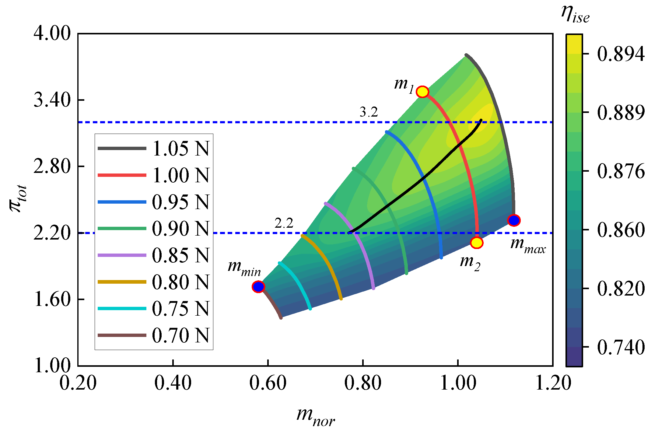
3.1.2. Comprehensive Performance Diagram
3.2. Inlet Stage Rotor Inlet Parameters Analysis
3.2.1. Spanwise Distribution
3.2.2. Comprehensive Change Diagram
3.3. Internal Flow Analysis
3.3.1. Three-Dimensional Streamlines
3.3.2. Limit Streamlines on Suction Surfaces
3.3.3. Tip Leakage Characteristics
3.4. Loss Analysis
3.4.1. Entropy Contours
3.4.2. Spanwise Distribution of
4. Conclusions
- (1)
- The rotational speed adjustment can effectively realize the operation targets of compressor parameters in a CAES system. With speed adjustment, the working flow range increases from 11.5% to 54.0%. The maximum efficiency operation curve gives the maximum efficiency under different rotational speeds, and provides a reference for the efficient operation of the compressor.
- (2)
- The relative Mach number and relative flow angle at the inlet of the inlet stage rotor rise uniformly with increases in the rotational speed; the comprehensive map of the inlet parameters gives a reasonable distribution range and the distribution at near-highest efficiency point, and provides a practical guidance for the stable operation of the compressor.
- (3)
- With the increase of rotational speeds, the corner separation is gradually enhanced, and the flow structure of the leakage does not change obviously, while the leakage flow velocity and leakage amount improve significantly. Leakage flow in front of the tip clearance is entangled with part of the streamlines on suction surfaces and develops clockwise downstream to adjacent channel. Streamlines from the rear part of the clearance forms secondary or multiple leakages.
- (4)
- With the increase of rotational speed, the loss caused by leakage increases significantly both in the circumferential and spanwise directions of the rotor tip.
5. Limitations and Future Work
Author Contributions
Funding
Data Availability Statement
Conflicts of Interest
Nomenclature
| Compressor mass flow | |
| Compressor mass flow at design condition | |
| Normalized mass flow | |
| Normalized mass flow at near choke condition | |
| Normalized mass flow at near stall condition | |
| Total pressure at compressor inlet | |
| normalized entropy generation | |
| entropy generation | |
| midspan entropy generation | |
| Static temperature at compressor outlet | |
| Static temperature at compressor inlet | |
| Non-dimensional wall distance for the first grid point | |
| Total pressure ratio | |
| Specific heat ratio | |
| Isentropic efficiency | |
| CAES | compressed air energy storage |
| DRS | different rotational speeds |
| IGV | inlet guide vanes |
| PS | Pressure surface |
| SS | Suction surface |
| LE | Leading edge |
| TE | Trailing edge |
References
- Chen, H.; Cong, T.N.; Yang, W.; Tan, C.; Li, Y.; Ding, Y. Progress in electrical energy storage system: A critical review. Prog. Nat. Sci. 2009, 19, 291–312. [Google Scholar] [CrossRef]
- Chen, H.; Ling, H.; Xu, Y. Physical Energy Storage Technology in Energy Revolution. Bull. Chin. Acad. Sci. 2019, 34, 450–459. [Google Scholar]
- Chen, H.; Li, H.; Ma, W.; Xu, Y.; Wang, Z.; Chen, M.; Hu, D.; Li, X.; Tang, X.; Hu, Y.; et al. Research progress of energy storage technology in China in 2021. Energy Storage Sci. Technol. 2022, 11, 1052–1076. [Google Scholar]
- Succar, S.; Williams, R.H. Compressed air energy storage: Theory, resources, and applications for wind power. Princet. Environ. Inst. Rep. 2008, 8, 81. [Google Scholar]
- Chen, H.; Liu, J.; Guo, H.; Xu, Y.; Tan, C. Technical principle of compressed air energy storage system. Energy Storage Sci. Technol. 2013, 2, 146–151. [Google Scholar]
- Gong, W.; Zhang, H.; Nie, C. Investigation on the aerodynamic adjustment between inlet guide-vane, stator, and operating speed of three-stage axial compressor. J. Aerosp. Power 2009, 24, 1122–1128. [Google Scholar]
- Hu, Y.; Nie, C. Exploration of combined adjustment laws about IGV, stator and rotational speed in off-design conditions in an axial compressor. Sci. Sin. Technol. 2010, 53, 969–975. [Google Scholar] [CrossRef]
- Steinke, R.J. Design of 9.271-Pressure-Ratio 5-Stage Core Compressor and Overall Performance for First 3 Stages; NASA-2597; NASA: Washington, DC, USA, 1986. [Google Scholar]
- Greitzer, E.M. Surge and Rotating Stall in Axial Flow Compressors-Part I: Theoretical Compression System Model. J. Eng. Power 1976, 98, 190–198. [Google Scholar] [CrossRef]
- Greitzer, E.M. Surge and Rotating Stall in Axial Flow Compressors-Part II: Experimental Results and Comparison with Theory. J. Eng. Power 1976, 98, 199–211. [Google Scholar] [CrossRef]
- Peacock, R.E. A review of turbomachinery tip gap effects: Part 1: Cascades. Int. J. Heat Fluid Flow 1982, 3, 185–193. [Google Scholar] [CrossRef]
- Peacock, R.E. A review of turbomachinery tip gap effects: Part 2: Rotating machinery. Int. J. Heat Fluid Flow 1983, 4, 3–16. [Google Scholar] [CrossRef]
- Copenhaver, W.W.; Mayhew, E.R.; Hah, C.; Wadia, A.R. The Effect of Tip Clearance on a Swept Transonic Compressor Rotor. J. Turbomach. 1996, 118, 230–239. [Google Scholar] [CrossRef]
- Du, J.; Lin, F.; Zhang, H.; Chen, J. Numerical Investigation on the Self-Induced Unsteadiness in Tip Leakage Flow for a Transonic Fan Rotor. J. Turbomach. 2010, 132, 021017.1–021017.9. [Google Scholar] [CrossRef]
- Kato, H.; Taniguchi, H.; Matsuda, K.; Funazaki, K.I.; Kato, D.; Pallot, G. Experimental and numerical investigation on compressor cascade flows with tip clearance at a low Reynolds number condition. J. Therm. Sci. 2011, 20, 481–485. [Google Scholar] [CrossRef]
- Yang, D.; Zheng, X.; Li, Q. An 11-stage axial compressor performance simulation considering the change of tip clearance in different operating conditions. Proc. Inst. Mech. Eng. Part A J. Power 2014, 228, 614–625. [Google Scholar]
- Mao, X.; Liu, B.; Zhang, B. Hub clearance effects of a cantilevered tandem stator on the performance and flow behaviors in a small-scale axial flow compressor. Aerosp. Sci. Technol. 2019, 91, 219–230. [Google Scholar] [CrossRef]
- Chen, Z.; Wu, Y.; Yang, G.; An, G.; Wang, B. Influence of Different Rotor Speeds on the Unsteady Flow Near Tip Region in a Subsonic Axial Flow Compressor Rotor. J. Eng. Thermophys. 2017, 38, 993–1000. [Google Scholar]
- Zhong, J.; Li, X.; Gao, Y. Loss characteristic of stator under different rotational speeds in transonic stage environment. J. Aerosp. Power 2017, 32, 2243–2252. [Google Scholar]
- Spalart, P.R.; Allmaras, S.R. A one-equation turbulence model for aerodynamic flows. In Proceedings of the 30th Aerospace Sciences Meeting and Exhibit, Reno, NV, USA, 6–9 January 1992. [Google Scholar]
- Inoue, M.; Kuroumaru, M.; Fukuhara, M. Behavior of Tip Leakage Flow in an Axial Flow Compressor Rotor. In Proceedings of the ASME Turbo Expo 2006: Power for Land, Sea, and Air, Barcelona, Spain, 8–11 May 2006; pp. 195–204. [Google Scholar]
- Reid, L.; Moore, R.D. Design and Overall Performance of Four Highly Loaded, High-Speed Inlet Stages for an Advanced High-Pressure-Ratio Core Compressor; NASA-TP-1337; NASA: Washington, DC, USA, 1978. [Google Scholar]
- Reid, L.; Moore, R.D. Performance of Single-Stage Axial-Flow Transonic Compressor with Rotor and Stator Aspect Ratios of 1.19 and 1.26, Respectively, and with Design Pressure Ratio of 1.82; NASA-TP-1338; NASA: Washington, DC, USA, 1978. [Google Scholar]
- Du, G.; Jia, L. Thin plate splines applied to interpolation of spatial data. Comput. Eng. Appl. 2009, 45, 238–240. [Google Scholar]
- Denton, J.D. Loss Mechanisms in Turbomachines. J. Turbomach. 1993, 115, 621–656. [Google Scholar] [CrossRef]
- Gui, X.; Teng, J.; Liu, B. Compressor Aerothermodynamics and Its Applications in Aircraft Engines; Shanghai Jiaotong University Press: Shanghai, China, 2014. [Google Scholar]
- Zhang, C.; Hu, J.; Wang, Z.; Yan, W.; Yin, C.; Gao, X. Numerical Study on Tip Clearance Flow Structure of an Axial Flow Compressor Rotor. Acta Aeronaut. Astronaut. Sin. 2014, 35, 1236–1245. [Google Scholar]
- Gbadebo, S.A.; Cumpsty, N.A.; Hynes, T.P. Three-Dimensional Separations in Axial Compressors. J. Turbomach. 2005, 127, 331–339. [Google Scholar] [CrossRef]





















| Parameter | Value | Parameter | Value |
|---|---|---|---|
| Inlet total pressure (kPa) | 99.525 | Stage count | 5 |
| Inlet total temperature (K) | 293.15 | IGV count | 33 |
| Total pressure ratio | 3.0 | Rotor vane count | 29/33/41/45/45 |
| Isentropic efficiency | 0.893 | Stator vane count | 41/47/59/67/67 |
| Model | Parameter | Value |
|---|---|---|
| Fluid model | Perfect gas | / |
| Flow model | Steady, Turbulent Navier-Stokes | / |
| Turbulence model | Spalart-Allmaras | / |
| R/S connection | Non-Reflecting 1D Mixing Plane | / |
| Inlet | Vr/∣V∣ (V extrapolated) | 0 |
| Vt/∣V∣ (V extrapolated) | 0 | |
| Vz/∣V∣ (V extrapolated) | 1 | |
| Absolute total pressure (kPa) | 99,525 Pa | |
| Absolute total temperature (K) | 293.15 K | |
| Turbulent viscosity | 2.0 × 10−5 | |
| Outlet | Averaged static pressure (Pa) | 1.5 × 105 |
| Solid wall surface | Adiabatic non-slip condition | / |
| Numerical model | CFL number | 3 |
| Initial Solution | Estimated static pressure for R/S (kPa) | / |
| 92.7/117.8/124.7/152.9/162.5/198.5/210.8/245.8/255.4/283.5 |
| Grid Number (Million) | Normalized Mass Flow | Total Pressure Ratio | Isentropic Efficiency | |||
|---|---|---|---|---|---|---|
| Value (%) | Error (%) | Value | Error (%) | Value (%) | Error (%) | |
| 6.9 | 99.33 | 0.77 | 3.014 | 0.89 | 88.51 | 0.87 |
| 8.2 | 99.75 | 0.35 | 3.021 | 0.66 | 89.06 | 0.31 |
| 9.6 | 100.07 | 0.04 | 3.036 | 0.16 | 89.26 | 0.02 |
| 10.9 | 100.10 | - | 3.041 | - | 89.28 | - |
| 12.1 | 100.10 | - | 3.041 | - | 89.28 | - |
| Parameter | Value | Parameter | Value |
|---|---|---|---|
| Rotor blade count | 36 | Total pressure ratio | 1.82 |
| Stator blade count | 46 | Adiabatic efficiency | 0.828 |
| Rotational speed (rpm) | 17,188.7 | Rotor aspect ratio | 1.19 |
| Mass flow (kg/s) | 20.8 | Stator aspect ratio | 1.26 |
| Normalized Mass Flow | Total Pressure Ratio | Isentropic Efficiency |
|---|---|---|
| 0.8819 | 1.909 | 0.7330 |
| 0.8867 | 1.911 | 0.7366 |
| 0.8949 | 1.915 | 0.7435 |
| - | - | - |
| 0.9995 | 1.741 | 0.8370 |
| 1.0000 | 1.689 | 0.8286 |
| Operation Targets | Inlet Guide Vane/Stator Adjustment | Rotation Speed Adjustment |
|---|---|---|
| Specified pressure ratio range | 2.2~3.2 | 2.2~3.2 |
| Normalized mass flow range (%) | 77.1~99.9 | 77~105.1 |
| Isentropic efficiency range | 0.854~0.891 | 0.879~0.894 |
Disclaimer/Publisher’s Note: The statements, opinions and data contained in all publications are solely those of the individual author(s) and contributor(s) and not of MDPI and/or the editor(s). MDPI and/or the editor(s) disclaim responsibility for any injury to people or property resulting from any ideas, methods, instructions or products referred to in the content. |
© 2023 by the authors. Licensee MDPI, Basel, Switzerland. This article is an open access article distributed under the terms and conditions of the Creative Commons Attribution (CC BY) license (https://creativecommons.org/licenses/by/4.0/).
Share and Cite
Li, P.; Zuo, Z.; Zhou, X.; Li, J.; Chen, H. Investigation of Different Rotational Speed Characteristics of Multistage Axial Compressor in CAES System. Energies 2023, 16, 4383. https://doi.org/10.3390/en16114383
Li P, Zuo Z, Zhou X, Li J, Chen H. Investigation of Different Rotational Speed Characteristics of Multistage Axial Compressor in CAES System. Energies. 2023; 16(11):4383. https://doi.org/10.3390/en16114383
Chicago/Turabian StyleLi, Pengfei, Zhitao Zuo, Xin Zhou, Jingxin Li, and Haisheng Chen. 2023. "Investigation of Different Rotational Speed Characteristics of Multistage Axial Compressor in CAES System" Energies 16, no. 11: 4383. https://doi.org/10.3390/en16114383
APA StyleLi, P., Zuo, Z., Zhou, X., Li, J., & Chen, H. (2023). Investigation of Different Rotational Speed Characteristics of Multistage Axial Compressor in CAES System. Energies, 16(11), 4383. https://doi.org/10.3390/en16114383

