Performance Enhancement of Photovoltaic-Thermal Modules Using a New Environmentally Friendly Paraffin Wax and Red Wine-rGO/H2O Nanofluid
Abstract
:1. Introduction
- Thermal properties: proper phase change temperature, high latent heat of phase change, good heat transfer.
- Physical properties: favorable phase balance, high density, low volume change, low vapor pressure, renewable phase change.
- Economic properties: availability, reasonable price, recyclability.
2. Materials and Methods
- Analysis of three new non-linear arrangements of the absorber tube for more fluid circulation and creating a higher temperature gradient between the structure and the fluid. In this non-linear equation, parameters and are variables.
- In the analysis of the electrical and thermal efficiency of the proposed designs with two types of phase change materials (PCM:Paraffin C18 and PCM:Paraffin C22), the simulated paraffin wax volume is about 2 kg.
- Analysis of fluid outlet temperature, PV/T-PCM surface temperature, and electrical and thermal efficiency in the presence of an eco-friendly nanofluid (red wine-rGO/H2O) for different concentrations (ϕ = 1% to 4%).
2.1. Boundary Conditions and Initial Conditions
2.2. Governing Equations
2.3. Eco-Friendly Nanofluid Specifications
2.4. Mesh Independence Study and Validation
3. Results and Discussions
3.1. PV/T Surface Temperature and Fluid Outlet Temperature
3.2. The Effect of Eco-Friendly Nanofluid on Tout and Tput
3.2.1. Thermal and Electrical Efficiency
3.2.2. The Effect of Eco-Friendly Nanofluid on ηth and ηel
3.3. The Exergy Analysis
3.4. The PCM Liquid Fraction
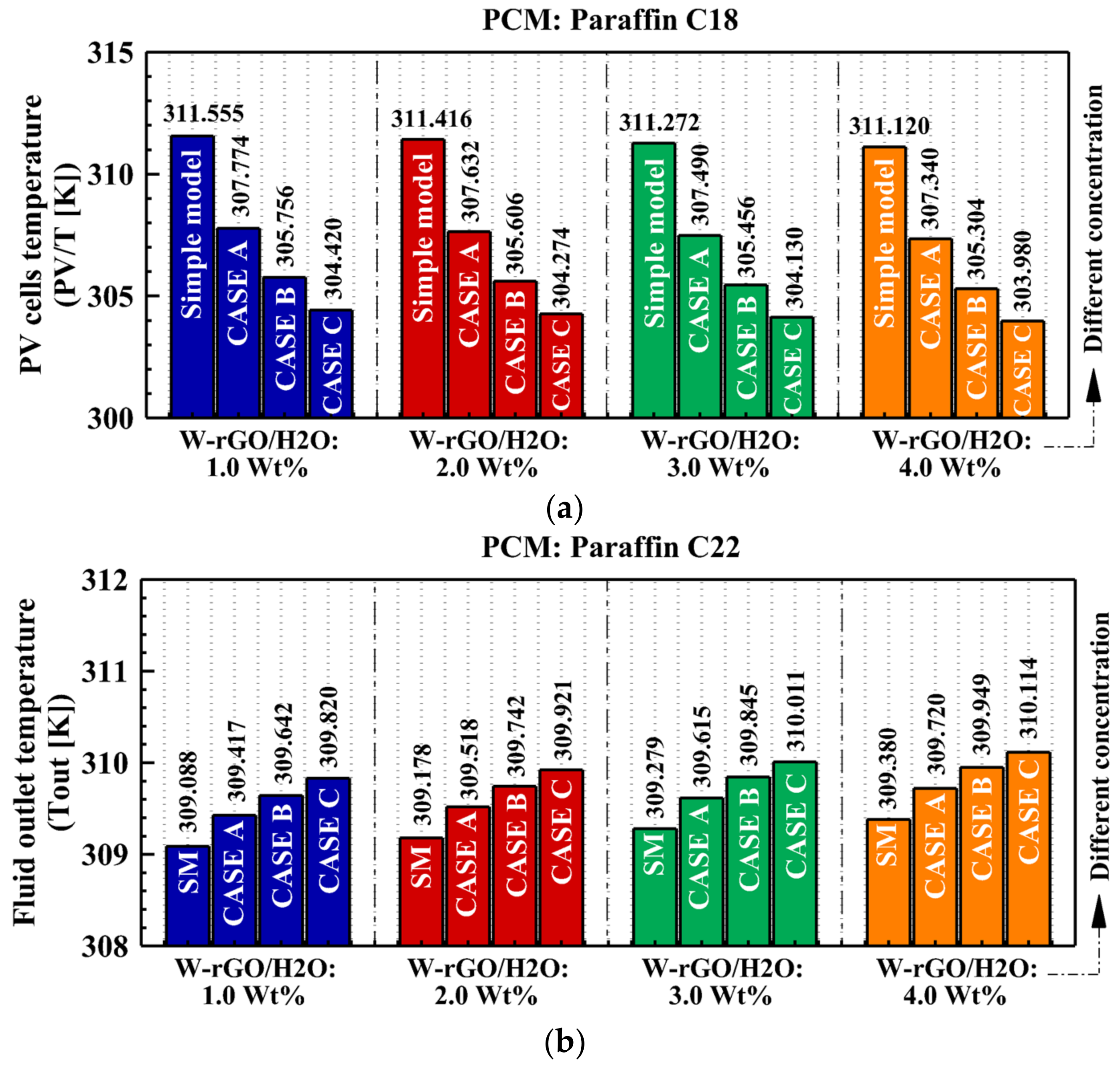
3.5. The PV/T Cell Temperature
4. Conclusions
- Using a serpentine tube that creates a more turbulent flow and creates more time for heat transfer (CASE C) is more efficient than other models in all studied items.
- The use of PCM significantly reduces the temperature of the photovoltaic cells. Among the used PCMs, Paraffin C18 has a better performance and reduces the temperature of simple, model A, model B, and model C cells by 4.3, 4.4, 4.7, and 5%, respectively, compared to the model without PCM.
- Paraffin C22 causes the outlet temperature of the fluid to be higher than Paraffin C18 and without PCM. Additionally, by increasing the concentration of nanofluid, the outlet temperature of the fluid can be increased. However, it should be noted that the effect of the concentration of nanofluid on the outlet temperature is insignificant.
- Using model C and paraffin C22 and paraffin C18 causes the thermal and electrical efficiency to increase by 60 and 11.5%, compared to the simple state. The effect of W-rGO/H2O concentration on thermal efficiency is about 6.33%, and for electrical efficiency, it is about 0.33%.
- The exergy analysis shows that CASE C has more exergy efficiency than the other models due to a higher outlet temperature and a lower cell temperature. Using model C and paraffin 18 increases the exergy efficiency by 4.2% compared to CASE A without PCM.
Author Contributions
Funding
Data Availability Statement
Conflicts of Interest
Appendix A


| PV Cells | Copper Collector | TPT | PV Cells | EVA |
|---|---|---|---|---|
| Type | - | - | Serpentine | Monocrystalline silicone |
| Cp/J kg−1 K−1 | 385 | 2090 | 385 | 700 |
| Density/kg m−3 | 8920 | 960 | 8920 | 2330 |
| Thermal conductivity/Wm−1 K−1 | 386.6 | 0.35 | 386.6 | 148 |
| Physical Properties | Specific Heat Capacity | Thermal Conductivity | Viscosity |
|---|---|---|---|
| W-rGO 1.0 wt%/H2O nanofluids | = 0.0009 T + 3.8801 | − 0.0132 T + 0.7089 | − 0.0313 T + 1.6015 |
| W-rGO 2.0 wt%/H2O nanofluids | = 0.0011 T + 3.8251 | − 0.0158 T + 0.7422 | − 0.0327 T + 1.6673 |
| W-rGO 3.0 wt%/H2O nanofluids | = 0.0016 T + 3.7621 | − 0.0187 T + 0.7826 | − 0.0343 T + 1.7304 |
| W-rGO 4.0 wt%/H2O nanofluids | = 0.002 T + 3.69640 | − 0.0193 T + 0.8058 | − 0.0349 T + 1.7810 |
| PCM | Heat Capacity (J kg−1 K−1) | Density (kg m3) | Melting Temperature (K) | Enthalpy of Fusion (KJ kg−1) |
|---|---|---|---|---|
| Paraffin C22 | 2950 (l) 2510 (s) | 760 (l) 818 (s) | 317 | 226 |
| Paraffin C18 | 2520 | 760 (l) 900 (s) | 302 | 244 |
References
- Praveenkumar, S.; Agyekum, E.B.; Kumar, A.; Velkin, V.I. Thermo-enviro-economic analysis of solar photovoltaic/thermal system incorporated with u-shaped grid copper pipe, thermal electric generators and nanofluids: An experimental investigation. J. Energy Storage 2023, 60, 106611. [Google Scholar] [CrossRef]
- Hussien, A.; Eltayesh, A.; El-Batsh, H.M. Experimental and numerical investigation for PV cooling by forced convection. Alex. Eng. J. 2022, 64, 427–440. [Google Scholar] [CrossRef]
- Bandaru, S.H.; Becerra, V.; Khanna, S.; Radulovic, J.; Hutchinson, D.; Khusainov, R. A Review of Photovoltaic Thermal (PVT) Technology for Residential Applications: Performance Indicators, Progress, and Opportunities. Energies 2021, 14, 3853. [Google Scholar] [CrossRef]
- Chen, Y.; Guo, M.; Liu, Y.; Wang, D.; Zhuang, Z.; Quan, M. Energy, exergy, and economic analysis of a centralized solar and biogas hybrid heating system for rural areas. Energy Convers. Manag. 2023, 276, 116591. [Google Scholar] [CrossRef]
- Abdul-Ganiyu, S.; Quansah, D.A.; Ramde, E.W.; Seidu, R.; Adaramola, M.S. Techno-economic analysis of solar photovoltaic (PV) and solar photovoltaic thermal (PVT) systems using exergy analysis. Sustain. Energy Technol. Assess. 2021, 47, 101520. [Google Scholar] [CrossRef]
- Nabi, H.; Gholinia, M.; Ganji, D.D. Employing the (SWCNTs-MWCNTs)/H2O nanofluid and topology structures on the microchannel heatsink for energy storage: A thermal case study. Case Stud. Therm. Eng. 2023, 42, 102697. [Google Scholar] [CrossRef]
- Nazri, N.S.; Fudholi, A.; Mustafa, W.; Yen, C.H.; Mohammad, M.; Ruslan, M.H.; Sopian, M.K. Exergy and improvement potential of hybrid photovoltaic thermal/thermoelectric (PVT/TE) air collector. Renew. Sustain. Energy Rev. 2019, 111, 132–144. [Google Scholar] [CrossRef]
- Ahmadinejad, M.; Moosavi, R. Energy and exergy evaluation of a baffled-nanofluid-based photovoltaic thermal system (PVT). Int. J. Heat Mass Transf. 2023, 203, 123775. [Google Scholar] [CrossRef]
- Dupeyrat, P.; Ménézo, C.; Fortuin, S. Study of the thermal and electrical performances of PVT solar hot water system. Energy Build. 2014, 68, 751–755. [Google Scholar] [CrossRef]
- Alous, S.; Kayfeci, M.; Uysal, A. Experimental investigations of using MWCNTs and graphene nanoplatelets water-based nanofluids as coolants in PVT systems. Appl. Therm. Eng. 2019, 162, 114265. [Google Scholar] [CrossRef]
- Sotehi, O.; Chaker, A.; Maalouf, C. Hybrid PV/T water solar collector for net zero energy building and fresh water production: A theoretical approach. Desalination 2016, 385, 1–11. [Google Scholar] [CrossRef]
- Nasrin, R.; Hasanuzzaman, M.; Rahim, N.A. Effect of high irradiation and cooling on power, energy and performance of a PVT system. Renew. Energy 2018, 116, 552–569. [Google Scholar] [CrossRef]
- Nižetić, S.; Papadopoulos, A.M.; Giama, E. Comprehensive analysis and general economic-environmental evaluation of cooling techniques for photovoltaic panels, Part I: Passive cooling techniques. Energy Convers. Manag. 2017, 149, 334–354. [Google Scholar] [CrossRef]
- Idoko, L.; Anaya-Lara, O.; McDonald, A. Enhancing PV modules efficiency and power output using multi-concept cooling technique. Energy Rep. 2018, 4, 357–369. [Google Scholar] [CrossRef]
- Khodadadi, M.; Sheikholeslami, M. Numerical simulation on the efficiency of PVT system integrated with PCM under the influence of using fins. Sol. Energy Mater. Sol. Cells 2021, 233, 111402. [Google Scholar] [CrossRef]
- Fu, Z.; Li, Y.; Liang, X.; Lou, S.; Qiu, Z.; Cheng, Z.; Zhu, Q. Experimental investigation on the enhanced performance of a solar PVT system using micro-encapsulated PCMs. Energy 2021, 228, 120509. [Google Scholar] [CrossRef]
- Moein-Jahromi, M.; Rahmanian-Koushkaki, H.; Rahmanian, S.; Jahromi, S.P. Evaluation of nanostructured GNP and CuO compositions in PCM-based heat sinks for photovoltaic systems. J. Energy Storage 2022, 53, 105240. [Google Scholar] [CrossRef]
- Javidan, M.; Asgari, M.; Gholinia, M.; Nozari, M.; Asgari, A.; Ganji, D.D. Investigation of convection and radiation heat transfer of paraffinic materials and storage of thermal energy in melting process of PCMs in the cavity with transparent inner walls. Energy Rep. 2022, 8, 5522–5532. [Google Scholar] [CrossRef]
- Alsaiari, A.O.; Shanmugan, S.; Abulkhair, H.; Bamasag, A.; Moustafa, E.B.; Alsulami, R.A.; Ahmad, I.; Elsheikh, A. Applications of TiO2/Jackfruit peel nanocomposites in solar still: Experimental analysis and performance evaluation. Case Stud. Therm. Eng. 2022, 38, 102292. [Google Scholar] [CrossRef]
- Ibrahim, A.M.M.; Omer, M.A.E.; Das, S.R.; Li, W.; Alsoufi, M.S.; Elsheikh, A. Evaluating the effect of minimum quantity lubrication during hard turning of AISI D3 steel using vegetable oil enriched with nano-additives. Alex. Eng. J. 2022, 61, 10925–10938. [Google Scholar] [CrossRef]
- Sardarabadi, M.; Passandideh-Fard, M.; Maghrebi, M.-J.; Ghazikhani, M. Experimental study of using both ZnO/water nanofluid and phase change material (PCM) in photovoltaic thermal systems. Sol. Energy Mater. Sol. Cells 2017, 161, 62–69. [Google Scholar] [CrossRef]
- Nada, S.A.; El-Nagar, D.H.; Hussein, H.M.S. Improving the thermal regulation and efficiency enhancement of PCM-Integrated PV modules using nano particles. Energy Convers. Manag. 2018, 166, 735–743. [Google Scholar] [CrossRef]
- Ghadikolaei, S.S.; Siahchehrehghadikolaei, S.; Gholinia, M.; Rahimi, M. A CFD modeling of heat transfer between CGNPs/H2O Eco-friendly nanofluid and the novel nature-based designs heat sink: Hybrid passive techniques for CPU cooling. Therm. Sci. Eng. Prog. 2023, 37, 101604. [Google Scholar] [CrossRef]
- Siahchehrehghadikolaei, S.; Gholinia, M.; Ghadikolaei, S.S.; Lin, C.-X. A CFD modeling of CPU cooling by eco-friendly nanofluid and fin heat sink passive cooling techniques. Adv. Powder Technol. 2023, 33, 103813. [Google Scholar] [CrossRef]
- Cui, Y.; Zhu, J.; Zhang, F.; Shao, Y.; Xue, Y. Current status and future development of hybrid PV/T system with PCM module: 4E (energy, exergy, economic and environmental) assessments. Renew. Sustain. Energy Rev. 2022, 158, 112147. [Google Scholar] [CrossRef]
- Al-Musawi, A.I.A.; Taheri, A.; Farzanehnia, A.; Sardarabadi, M.; Passandideh-Fard, M. Numerical study of the effects of nanofluids and phase-change materials in photovoltaic thermal (PVT) systems. J. Therm. Anal. Calorim. 2019, 137, 623–636. [Google Scholar] [CrossRef]
- Al-Abidi, A.A.; Mat, S.; Sopian, K.; Sulaiman, M.Y.; Mohammad, A.T. Numerical study of PCM solidification in a triplex tube heat exchanger with internal and external fins. Int. J. Heat Mass Transf. 2013, 61, 684–695. [Google Scholar] [CrossRef]
- Ehms, J.N.; Oliveski, R.D.C.; Rocha, L.O.; Biserni, C. Theoretical and numerical analysis on phase change materials (PCM): A case study of the solidification process of erythritol in spheres. Int. J. Heat Mass Transf. 2018, 119, 523–532. [Google Scholar] [CrossRef]
- Evans, D.L. Simplified method for predicting photovoltaic array output. Sol. Energy 1981, 27, 555–560. [Google Scholar] [CrossRef]
- Sardarabadi, M.; Passandideh-Fard, M.; Heris, S.Z. Experimental investigation of the effects of silica/water nanofluid on PV/T (photovoltaic thermal units). Energy 2014, 66, 264–272. [Google Scholar] [CrossRef]
- Nabi, H.; Pourfallah, M.; Gholinia, M.; Jahanian, O. Increasing heat transfer in flat plate solar collectors using various forms of turbulence-inducing elements and CNTs-CuO hybrid nanofluids. Case Stud. Therm. Eng. 2022, 33, 101909. [Google Scholar] [CrossRef]
- Saidur, R.; BoroumandJazi, G.; Mekhlif, S.; Jameel, M. Exergy analysis of solar energy applications. Renew. Sustain. Energy Rev. 2012, 16, 350–356. [Google Scholar] [CrossRef]
- Sadri, R.; Hosseini, M.; Kazi, S.; Bagheri, S.; Zubir, N.; Ahmadi, G.; Dahari, M.; Zaharinie, T. A novel, eco-friendly technique for covalent functionalization of graphene nanoplatelets and the potential of their nanofluids for heat transfer applications. Chem. Phys. Lett. 2017, 675, 92–97. [Google Scholar] [CrossRef]
- Sadri, R.; Hosseini, M.; Kazi, S.; Bagheri, S.; Zubir, N.; Solangi, K.; Zaharinie, T.; Badarudin, A. A bio-based, facile approach for the preparation of covalently functionalized carbon nanotubes aqueous suspensions and their potential as heat transfer fluids. J. Colloid Interface Sci. 2017, 504, 115–123. [Google Scholar] [CrossRef] [PubMed]
- Zhang, C.; Ping, J.; Ying, Y. Evaluation of trans-resveratrol level in grape wine using laser-induced porous graphene-based electrochemical sensor. Sci. Total. Environ. 2020, 714, 136687. [Google Scholar] [CrossRef] [PubMed]
- Shahsavar, A.; Eisapour, M.; Talebizadehsardari, P. Experimental evaluation of novel photovoltaic/thermal systems using serpentine cooling tubes with different cross-sections of circular, triangular and rectangular. Energy 2020, 208, 118409. [Google Scholar] [CrossRef]
- Mousavi, S.; Kasaeian, A.; Shafii, M.B.; Jahangir, M.H. Numerical investigation of the effects of a copper foam filled with phase change materials in a water-cooled photovoltaic/thermal system. Energy Convers. Manag. 2018, 163, 187–195. [Google Scholar] [CrossRef]
- Morad, A.M.; Selima, E.S.; Abu-Nab, A.K. Thermophysical bubble dynamics in N-dimensional Al2O3/H2O nanofluid between two-phase turbulent flow. Case Stud. Therm. Eng. 2021, 28, 101527. [Google Scholar] [CrossRef]
- Abu-Nab, A.K.; Selima, E.S.; Morad, A.M. Theoretical investigation of a single vapor bubble during Al2O3/H2O nanofluids in power-law fluid affected by a variable surface tension. Phys. Scr. 2021, 96, 035222. [Google Scholar] [CrossRef]
- Abu-Nab, A.K.; Morad, A.M.; Selima, E.S. Impact of magnetic-field on the dynamic of gas bubbles in N-dimensions of non-Newtonian hybrid nanofluid: Analytical study. Phys. Scr. 2022, 97, 105202. [Google Scholar] [CrossRef]















Disclaimer/Publisher’s Note: The statements, opinions and data contained in all publications are solely those of the individual author(s) and contributor(s) and not of MDPI and/or the editor(s). MDPI and/or the editor(s) disclaim responsibility for any injury to people or property resulting from any ideas, methods, instructions or products referred to in the content. |
© 2023 by the authors. Licensee MDPI, Basel, Switzerland. This article is an open access article distributed under the terms and conditions of the Creative Commons Attribution (CC BY) license (https://creativecommons.org/licenses/by/4.0/).
Share and Cite
Nabi, H.; Gholinia, M.; Khiadani, M.; Shafieian, A. Performance Enhancement of Photovoltaic-Thermal Modules Using a New Environmentally Friendly Paraffin Wax and Red Wine-rGO/H2O Nanofluid. Energies 2023, 16, 4332. https://doi.org/10.3390/en16114332
Nabi H, Gholinia M, Khiadani M, Shafieian A. Performance Enhancement of Photovoltaic-Thermal Modules Using a New Environmentally Friendly Paraffin Wax and Red Wine-rGO/H2O Nanofluid. Energies. 2023; 16(11):4332. https://doi.org/10.3390/en16114332
Chicago/Turabian StyleNabi, Hossein, Mosayeb Gholinia, Mehdi Khiadani, and Abdellah Shafieian. 2023. "Performance Enhancement of Photovoltaic-Thermal Modules Using a New Environmentally Friendly Paraffin Wax and Red Wine-rGO/H2O Nanofluid" Energies 16, no. 11: 4332. https://doi.org/10.3390/en16114332
APA StyleNabi, H., Gholinia, M., Khiadani, M., & Shafieian, A. (2023). Performance Enhancement of Photovoltaic-Thermal Modules Using a New Environmentally Friendly Paraffin Wax and Red Wine-rGO/H2O Nanofluid. Energies, 16(11), 4332. https://doi.org/10.3390/en16114332

