Effects of Ramp Rate Limit on Sizing of Energy Storage Systems for PV, Wind and PV–Wind Power Plants
Abstract
1. Introduction
2. Materials and Methods
2.1. Measurement Data
2.2. Experiment Formulation
2.3. PV and Wind Power Modeling
2.4. ESS Control Strategy
3. Results
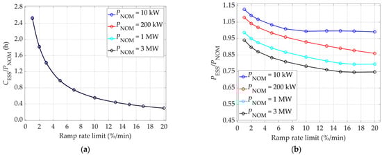
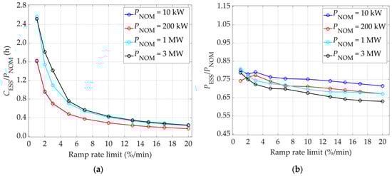
3.1. Power and Energy Requirements of the ESSs
3.2. Utilization Rate of the ESSs
4. Discussion
5. Conclusions
Author Contributions
Funding
Data Availability Statement
Conflicts of Interest
Nomenclature
| APV | area of the PV module array (m2) |
| Aswept | swept area of a WT (m2) |
| α | wind shear exponent |
| β | temperature coefficient of the PV module |
| Cp | power coefficient of a WT |
| EESS, min | minimum energy level of the ESS (J) |
| g | gravity constant (m/s2) |
| G | measured irradiance (W/m2) |
| Gs | spatially smoothed irradiance (W/m2) |
| GsTC | irradiance in STC (W/m2) |
| H | altitude above sea level (m) |
| h1 | wind speed measurement height (m) |
| h2 | wind speed extrapolated height (m) |
| n | number of PV modules |
| PESS | power of the ESS (W) |
| Pgen | generated power of a power plant (W) |
| Pgen, PV | generated PV power (W) |
| Pgen, WT | generated wind power (W) |
| Pgrid | power fed to the grid (W) |
| Pnom, PV | nominal power of the PV module (W) |
| Prated, WT | rated power of a WT (W) |
| PWT, pre | preliminary power of a WT (W) |
| p0 | sea level atmospheric pressure (Pa) |
| Rair | specific gas constant of air (J/(kg∙K)) |
| RRgrid | ramp rate of grid input power (W/s) |
| RRlim | ramp rate limit (W/s) |
| ρair | density of air (kg/m3) |
| s | Laplace transform variable |
| Tair | temperature of air (K) |
| TPVM | backside temperature of the PV module (°C) |
| TSTC | temperature of STC (°C) |
| τWT | time constant of a WT (s) |
| vcut-in | cut-in wind speed of a WT (m/s) |
| vcut-out | cut-out wind speed of a WT (m/s) |
| vrated | rated wind speed of a WT (m/s) |
| v1 | measured wind speed (m/s) |
| v2 | extrapolated wind speed (m/s) |
| Abbreviations | |
| ESS | energy storage system |
| PV | photovoltaic |
| RR | ramp rate |
| STC | standard test conditions |
| WP | wind power |
| WT | wind turbine |
References
- How Rapidly Will the Global Electricity Storage Market Grow by 2026? Available online: https://www.iea.org/articles/how-rapidly-will-the-global-electricity-storage-market-grow-by-2026 (accessed on 14 May 2023).
- European Commission. Energy Storage—Underpinning a Decarbonised and Secure EU Energy System; Commission Staff Working Document: Brussels, Belgium, 2023; Available online: https://energy.ec.europa.eu/topics/research-and-technology/energy-storage/recommendations-energy-storage_en (accessed on 14 May 2023).
- Martins, J.; Spataru, S.; Sera, D.; Stroe, D.-I.; Lashab, A. Comparative Study of Ramp-Rate Control Algorithms for PV with Energy Storage Systems. Energies 2019, 12, 1342. [Google Scholar] [CrossRef]
- Lappalainen, K.; Valkealahti, S. Experimental study of the maximum power point characteristics of partially shaded photovoltaic strings. Appl. Energy 2021, 301, 117436. [Google Scholar] [CrossRef]
- Marcos, J.; Marroyo, L.; Lorenzo, E.; Alvira, D.; Izco, E. Power output fluctuations in large scale PV plants: One year observations with one second resolution and a derived analytic model. Prog. Photovolt. Res. Appl. 2011, 19, 218–227. [Google Scholar] [CrossRef]
- Parsons, B.K.; Wan, Y.; Kirby, B. Wind Farm Power Fluctuations, Ancillary Services, and System Operating Impact Analysis Activities in the United States. In Proceedings of the European Wind Energy Conference, Copenhagen, Denmark, 2–6 July 2001. [Google Scholar]
- Gevorgian, V.; Booth, S. Review of PREPA Technical Requirements for Interconnecting Wind and Solar Generation; National Renewable Energy Laboratory (NREL): Golden, CO, USA, 2013. [CrossRef]
- Lappalainen, K.; Valkealahti, S. Sizing of energy storage systems for ramp rate control of photovoltaic strings. Renew. Energy 2022, 196, 1366–1375. [Google Scholar] [CrossRef]
- Schnabel, J.; Valkealahti, S. Energy Storage Requirements for PV Power Ramp Rate Control in Northern Europe. Int. J. Photoenergy 2016, 2016, 2863479. [Google Scholar] [CrossRef]
- Schnabel, J.; Valkealahti, S. Compensation of PV Generator Output Power Fluctuations with Energy Storage Systems. In Proceedings of the 31st European Photovoltaic Solar Energy Conference and Exhibition, Hamburg, Germany, 14–18 September 2015. [Google Scholar] [CrossRef]
- Makibar, A.; Narvarte, L.; Lorenzo, E. On the relation between battery size and PV power ramp rate limitation. Sol. Energy 2017, 142, 182–193. [Google Scholar] [CrossRef]
- Marcos, J.; Storkël, O.; Marroyo, L.; Garcia, M.; Lorenzo, E. Storage requirements for PV power ramp-rate control. Sol. Energy 2014, 99, 28–35. [Google Scholar] [CrossRef]
- Tadie, A.T.; Guo, Z.; Xu, Y. Hybrid Model-Based BESS Sizing and Control for Wind Energy Ramp Rate Control. Energies 2022, 15, 9244. [Google Scholar] [CrossRef]
- Brekken, T.K.A.; Yokochi, A.; von Jouanne, A.; Yen, Z.Z.; Hapke, H.M.; Halamay, D.A. Optimal Energy Storage Sizing and Control for Wind Power Applications. IEEE Trans. Sustain. Energy 2011, 2, 69–77. [Google Scholar] [CrossRef]
- Wang, W.; Mao, C.; Lu, J.; Wang, D. An Energy Storage System Sizing Method for Wind Power Integration. Energies 2013, 6, 3392–3404. [Google Scholar] [CrossRef]
- Li, B.; Ghiasi, M. A New Strategy for Economic Virtual Power Plant Utilization in Electricity Market Considering Energy Storage Effects and Ancillary Services. J. Electr. Eng. Technol. 2021, 16, 2863–2874. [Google Scholar] [CrossRef]
- Zhang, N.; Yang, N.-C.; Liu, J.-H. Optimal Sizing of PV/Wind/Battery Hybrid Microgrids Considering Lifetime of Battery Banks. Energies 2021, 14, 6655. [Google Scholar] [CrossRef]
- Al-Shereiqi, A.; Al-Hinai, A.; Albadi, M.; Al-Abri, R. Optimal Sizing of Hybrid Wind-Solar Power Systems to Suppress Output Fluctuation. Energies 2021, 14, 5377. [Google Scholar] [CrossRef]
- Geem, Z.W. Size optimization for a hybrid photovoltaic–wind energy system. Electr. Power Energy Syst. 2012, 42, 448–451. [Google Scholar] [CrossRef]
- Torres Lobera, D.; Mäki, A.; Huusari, J.; Lappalainen, K.; Suntio, T.; Valkealahti, S. Operation of TUT Solar PV Power Station Research Plant under Partial Shading Caused by Snow and Buildings. Int. J. Photoenergy 2013, 2013, 837310. [Google Scholar] [CrossRef]
- Headley, A.J.; Copp, D.A. Energy storage sizing for grid compatibility of intermittent renewable resources: A California case study. Energy 2020, 198, 117310. [Google Scholar] [CrossRef]
- Nørgård, P.; Giebel, G.; Holttinen, H.; Söder, L.; Petterteig, A. Fluctuations and Predictability of Wind and Hydropower. Deliverable 2.1. Forskningscenter Risoe, Risoe-R, Denmark. 2004. Available online: https://orbit.dtu.dk/en/publications/fluctuations-and-predictability-of-wind-and-hydropower-deliverabl (accessed on 14 May 2023).
- Marcos, J.; Marroyo, L.; Lorenzo, E.; Alvira, D.; Izco, E. From irradiance to output power fluctuations: The pv plant as a low pass filter. Prog. Photovolt. Res. Appl. 2011, 19, 505–510. [Google Scholar] [CrossRef]
- Ong, S.; Campbell, C.; Denholm, P.; Margolis, R.; Heath, G. Land-Use Requirements for Solar Power Plants in the United States; National Renewable Energy Laboratory (NREL): Golden, CO, USA, 2013. [CrossRef]
- Skoplaki, E.; Palyvos, J.A. On the temperature dependence of photovoltaic module electrical performance: A review of efficiency/power correlations. Sol. Energy 2009, 83, 614–624. [Google Scholar] [CrossRef]
- Söder, L.; Ackermann, T. Wind Power in Power Systems: An Introduction. In Wind Power in Power Systems, 1st ed.; Ackermann, T., Ed.; Wiley: Chichester, UK, 2005; pp. 25–52. [Google Scholar]
- Maanmittauslaitos—Karttapaikka. Available online: https://asiointi.maanmittauslaitos.fi/karttapaikka/ (accessed on 11 April 2023).
- Hadi, F.A. Diagnosis of the Best Method for Wind Speed Extrapolation. Int. J. Adv. Res. Electr. Electron. Instrum. Eng. 2015, 4, 8176–8183. [Google Scholar] [CrossRef]
- Sumair, M.; Aized, T.; Gardezi, S. Extrapolation of wind data using generalized versus site-specific wind power law for wind power production prospective at Shahbandar—A coastal site in Pakistan. Energy Explor. Exploit. 2021, 39, 2240–2256. [Google Scholar] [CrossRef]
- Carrillo, C.; Obando Montaño, A.F.; Cidrás, J.; Díaz-Dorado, E. Review of power curve modelling for wind turbines. Renew. Sustain. Energy Rev. 2013, 21, 572–581. [Google Scholar] [CrossRef]
- Rahman, S.; Akther, S.; Hoque, H.E. Comparison of Different Pitch Controller in Wind Farm for Integrated Power System. Am. J. Eng. Res. (AJER) 2018, 7, 288–299. [Google Scholar] [CrossRef]
- Okedu, K.E. Effect of ECS low-pass filter timing on grid frequency dynamics of a power network considering wind energy penetration. IET Renew. Power Gener. 2017, 11, 1194–1199. [Google Scholar] [CrossRef]
- Chae, S.H.; Kang, C.U.; Kim, E.-H. Field Test of Wind Power Output Fluctuation Control Using an Energy Storage System on Jeju Island. Energies 2020, 13, 5760. [Google Scholar] [CrossRef]
- Thiringer, T.; Linders, J. Control by Variable Rotor Speed of a Fixed-Pitch Wind Turbine Operating in a Wide Speed Range. IEEE Trans. Energy Convers. 1993, 8, 520–526. [Google Scholar] [CrossRef]
- RyseEnergy. Available online: https://www.ryse.energy/10kw-wind-turbines/ (accessed on 6 April 2023).
- Wind-Turbine-Models.com. Available online: https://en.wind-turbine-models.com/turbines/1829-aeolia-windtech-d2cf-200 (accessed on 6 April 2023).
- Wind-Turbine-Models.com. Available online: https://en.wind-turbine-models.com/turbines/114-enercon-e-58-10.58 (accessed on 6 April 2023).
- Wind-Watch. Available online: https://docs.wind-watch.org/Enercon.pdf (accessed on 6 April 2023).
- Lappalainen, K.; Kleissl, J. Analysis of the cloud enhancement phenomenon and its effects on photovoltaic generators based on cloud speed sensor measurements. J. Renew. Sustain. Energy 2020, 12, 043502. [Google Scholar] [CrossRef]
- Tang, C.; Pathmanathan, M.; Soong, W.L.; Ertugrul, N. Effects of Inertia on Dynamic Performance of Wind Turbines. In Proceedings of the 2008 Australasian Universities Power Engineering Conference, Sydney, Australia, 14–17 December 2008. [Google Scholar]










| Total Nominal Power | 20 kW | 400 kW | 2 MW | 6 MW |
|---|---|---|---|---|
| Nominal PV power | 10 kW | 200 kW | 1 MW | 3 MW |
| Number of PV modules | 53 | 1053 | 5263 | 15,789 |
| PV module array area | 149 m2 | 2957 m2 | 14,780 m2 | 44,340 m2 |
| Rated wind power | 10 kW | 200 kW | 1 MW | 3 MW |
| Wind turbine height | 16.5 m | 40.3 m | 70.5 m | 98 m |
| Swept area | 75.4 m2 | 650 m2 | 2697 m2 | 5281 m2 |
| Calculated power coefficient | 0.48 | 0.44 | 0.43 | 0.50 |
| Time constant | 15 s | 23 s | 30 s | 40 s |
| Cut-in wind speed | 2 m/s | 3 m/s | 2.5 m/s | 3 m/s |
| Rated wind speed | 9 m/s | 10.9 m/s | 12 m/s | 16 m/s |
| Cut-out wind speed | 30 m/s | 20 m/s | 34 m/s | 34 m/s |
| Power Plant | Nominal Power (kW) | Energy Capacity (kWh) | Power Capacity (kW) |
|---|---|---|---|
| PV | 10 | 5.567 | 9.946 |
| 200 | 110.6 | 185.9 | |
| 1000 | 553.4 | 838.4 | |
| 3000 | 1657 | 2347 | |
| Wind | 10 | 2.904 | 7.514 |
| 200 | 58.25 | 142.3 | |
| 1000 | 409.3 | 696.2 | |
| 3000 | 1291 | 2028 | |
| PV–wind | 20 | 6.043 | 12.80 |
| 400 | 120.2 | 236.5 | |
| 2000 | 717.2 | 1160 | |
| 6000 | 2232 | 3239 |
| RR 1%/min | RR 10%/min | RR 20%/min | |
|---|---|---|---|
| Time ESS charged (%) | 61.1 | 56.5 | 55.1 |
| Time ESS discharged (%) | 60.6 | 59.6 | 59.0 |
Disclaimer/Publisher’s Note: The statements, opinions and data contained in all publications are solely those of the individual author(s) and contributor(s) and not of MDPI and/or the editor(s). MDPI and/or the editor(s) disclaim responsibility for any injury to people or property resulting from any ideas, methods, instructions or products referred to in the content. |
© 2023 by the authors. Licensee MDPI, Basel, Switzerland. This article is an open access article distributed under the terms and conditions of the Creative Commons Attribution (CC BY) license (https://creativecommons.org/licenses/by/4.0/).
Share and Cite
Talvi, M.; Roinila, T.; Lappalainen, K. Effects of Ramp Rate Limit on Sizing of Energy Storage Systems for PV, Wind and PV–Wind Power Plants. Energies 2023, 16, 4313. https://doi.org/10.3390/en16114313
Talvi M, Roinila T, Lappalainen K. Effects of Ramp Rate Limit on Sizing of Energy Storage Systems for PV, Wind and PV–Wind Power Plants. Energies. 2023; 16(11):4313. https://doi.org/10.3390/en16114313
Chicago/Turabian StyleTalvi, Micke, Tomi Roinila, and Kari Lappalainen. 2023. "Effects of Ramp Rate Limit on Sizing of Energy Storage Systems for PV, Wind and PV–Wind Power Plants" Energies 16, no. 11: 4313. https://doi.org/10.3390/en16114313
APA StyleTalvi, M., Roinila, T., & Lappalainen, K. (2023). Effects of Ramp Rate Limit on Sizing of Energy Storage Systems for PV, Wind and PV–Wind Power Plants. Energies, 16(11), 4313. https://doi.org/10.3390/en16114313

