Abstract
This study proposes a simplified super-twisting algorithm (SSTA) control strategy for improving the power quality of grid-connected photovoltaic (PV) power systems. Some quality issues are considered in this study including the power factor, reducing the total harmonic distortion (THD) of current, compensating the reactive power, and injecting at the same time the energy supplied by the PV system into the grid considering non-linear load. This improvement is achieved by two topologies; controlling both the boost DC–DC converter and the DC–AC inverter that links the PV system to the grid. The DC–DC converter is controlled using proportional-integral (PI) and SSTA to maximize the power generated from the PV panel regardless of its normal and abnormal conditions, while the DC–AC inverter is employed to direct power control strategy with modified space vector modulation using the phase-locked loop (PLL) technique of a three-level neutral-point-clamped (NPC) inverter based on the proposed strategies (PI and SSTA). In addition, a shunt active power filter (SAPF) is used to connect the PV system to the AC grid and feed a non-linear load. To validate the simulation results presented in this paper using Matlab software, a comparative study between the PI controller and the SSTA is presented. The results show the effectiveness and moderation of the suggested SSTA technique in terms of feasibility, tracking performance, less power ripple, dynamic response, THD value, overshoot, steady-state error, and robustness under varying irradiation, temperature, and non-linear conditions.
1. Introduction
Recently, the availability of existing central electric energy generation has not been sufficient to meet the high and growing demand for this energy. This energy generation is considered a major and widely interesting research subject, represents a great challenge, and is one of the most important reasons for world countries’ economic development. Many countries and some private sectors invest huge amounts of money to cater to the high and growing demand locally, using mostly conventional generators such as coal, diesel turbine, or gas turbine. The use of these sources is becoming limited due to their high prices, and inefficient and untidy operation [1]. It is also known that this serious production contributes to increasing carbon dioxide emissions and global warming, as well as pollution of the Earth. It represents a depletion of natural resource stocks, which primarily constitutes a threat to future generation capabilities [2]. These obstacles made several governments of countries exploit all kinds of distributed energy resources based on renewable energy technologies or green energy technologies, due to their natural renewal. As they are environmentally friendly as well, they are clean and do not contribute to global warming.
Among the different renewable energy technologies (fuel cells, wind energy, hydropower, photovoltaic (PV), or solar energy, etc.), PV-system-based distributed energy resources are considered as one of the available resources in unlimited quantities in most world regions, and the most promising technology due to highreliability in operating, efficiency, and high potential capability [3,4,5]. The use of the PV system in generating electric power helps isolated villages and regions to supply energy continuously while relying on storing surplus energy for use in critical times. Also, the use of the PV system leads to a reduction in the cost of importing energy for non-oil-producing countries, as well as reducing the cost of energy production, which makes the consumption bill somewhat low, and this is a good thing. In addition, it is free of pollutants, which have recently drawn much attention and have encouraged researchers to develop better techniques to produce a good PV system [6,7]. The highest generation level from the available renewable sources is shown by PV. In 2018, it was 36%, while all other sources were just 26% [5]. In the electrical power world, one of the major issues in connecting PV systems to the grid is resolving the power quality problems caused by the rapid increase in non-linear loads connected to the electrical grids, such as harmonic currents or voltages, reactive power, power factor, and growing demand of active power [8]. A typical grid-connected PV system is composed of a PV, a DC–DC power converter, DC-link energy storage, a three-level multifunctional voltage source inverter (MVSI)-based shunt active power filter (SAPF), a grid filter, and the control circuit. The use of SAPF in the electric power generation system helps greatly to improve the quality of power and current, which makes the periodic maintenance of the equipment less while also reducing the cost. Moreover, SAPF is an inverter, which can be two or three levels. The higher the SAPF level, the higher the quality of the current, which helps protect the devices and significantly reduces the bill for changing spare parts.
The PV systems with MVSI are connected to the grid at the point of common coupling (PCC). Many control techniques, along with some flexible devices, are used to control voltage, current, and, consequently, the power injected from the PV system to the grid at this PCC. Hence, this PCC is effective in remedying and eliminating most power quality problems. In any PV grid-connected systems, the DC–DC boost converter with maximum power point tracking (MPPT) is used to modify the voltage to the desired value and to extract the maximum power obtained from the PV array through the adjustment of a duty cycle [9]. These modified voltages, at the maximum power value, transformed to the MVSI may be used as SAPFs for the control of the exchange of both the active and reactive powers between the PV system and grids [10]. The PV system and MVSI are used together to maximize energy production from the PV system and serve as active power filters devoted to enhancing power quality at the same time. The control of the MPPT in the PV system and the MVSI-based SAPF can be combined in one control circuit.
MPPT technique is a very important phase to improve the performance of the PV system by maximizing the energy harvested from the PV system during climate changes. Due to these changes and the non-linearity of the PV characteristic, efficient research and robust control techniques were conducted for MPPT techniques. These MPPT techniques include the perturbation and observation method (P and O) [11], inductance increment (INC) [12], open-circuit voltage [13], short-circuit current [14], and proportional-integral (PI) controller [15]. However, these techniques are ineffective when weather conditions change rapidly, as oscillations appear around the optimum point in the steady-state region. To deal with this problem, there are several techniques, such as non-linear control-type techniques such as sliding mode control (SMC) [16], backstepping control [17], synergetic control [18], and super-twisting algorithm (STA) [19]. These techniques have properties to control, mainly, the non-linear systems, and they are also distinguished by their precision, great robustness, and stability vis-à-vis the internal parameters system and the load uncertainties, but they seem difficult to use because they require a large amount of data regarding radiative change and temperature. Non-linear strategies, despite their high ability to improve system performance, reduce power ripples, and improve current quality, have many drawbacks, including complexity, as they are characterized by complexity, and difficulty in application to complex systems, as is the case in the backstepping control strategy.
Intelligent control systems such as fuzzy logic control (FLC) [20], neural network (NN) [21], and the hybrid of the two as an adaptive neuro-fuzzy inference system (ANFIS) [22] were presented to improve the MPPT techniques. The ANFIS algorithm can convert linguistics into numerical values through membership functions and best alternatives, but this process is time-consuming, and require sophisticated hardware and complicated programming. On the other hand, the advantage of smart strategies is that they are characterized by high accuracy, ease of use, ease of implementation, and high durability, as there are no mathematical rules that limit their spread. Smart strategies rely heavily on user experience.
Reducing the total harmonic distortion (THD) is one of the important issues of injecting energy into the grid from solar panels. The SAPF, which is implemented using two-level inverters, is well-recognized for its efficiency in eliminating harmonics and compensating reactive power [23]. This technique is primarily used to compensate for medium power range non-linear loads because of the limitations of semiconductor devices. However, high switching frequencies of the two-level inverter can result in problems when dealing with increased non-linear load power. Inverters’ static switches have high switch currents, and to reduce switched currents at a given power, multiple switches of the inverter may be necessary, leading to an increase in switch voltage [24,25]. To overcome this drawback, one possible solution is to interface the PV system to the utility grid via a multilevel inverter, since it offers many advantages such as lower harmonics rate, better electromagnetic compatibility, and lower switching losses [26,27]. The neutral-point-clamped (NPC) inverter topology is extensively used in medium- and high-power applications for compensating reactive power and eliminating harmonics in electrical networks, as described in reference [28,29]. These inverters offer numerous advantages such as reduced harmonics in the output voltages, decreased source current harmonics, lower switching losses, reduced voltage stress on power semiconductors, and the ability to overcome issues associated with SAPF based on two-level inverters. The performance of SAPF based on three-level NPC inverters is determined by the selected strategies for generating reference harmonic currents with good tracking quality; dynamic, robust, and stable injected currents; DC bus voltage regulation; and the precise generation of gate-switching pulses. The impact of switching frequency and gate-switching pulses on the performance of three-level NPC inverters has been explored by several researchers [30,31].
On the flip side, how well the SAPF performs is heavily reliant on its control strategies. To effectively regulate power flow in a power system, voltage-oriented control (VOC) is commonly employed, as it employs an internal current control loop that yields a strong dynamic response [32]. However, recent publications proposed other control strategies, such as predictive control [33] and direct power control (DPC) [34], as an alternative to the VOC technique.
Over the past few years, the DPC technique has gained wider usage due to its fast dynamic performance and simple control implementation when compared to other methods [34]. Also, the DPC strategy is one of the linear strategies that have spread recently in the field of renewable energies, as it depends on estimating capacities and can be easily applied to complex systems. DPC eliminates the need for internal current control loops and a pulse-width modulation (PWM) technique modulator block by using a switching table based on instantaneous errors between commanded and estimated values of active/reactive powers and voltage position vectors to select inverter switching states. The accurate and quick estimation of active and reactive line powers is crucial for successful DPC implementation. The DPC strategy depends on the use of two hysteresis comparators to control the active and reactive power, where the use of these traditional controllers creates several problems and defects, which limits their spread in the field of controlling electrical machines. DPC is based on direct torque control (DTC), which was originally proposed in 1986 by Takahashi and Nogushi for controlling an induction motor [35]. In 1995, Mannienen introduced basic principles of DTC control applied to the line inverter, which may have a similar structure to the induction motor, but with connections to the grid and a line filter [36]. In 1998, Noguchi proposed DPC for a PWM inverter without power source voltage sensors, and the same idea was developed by Malinowski in 2001 based on virtual flux estimation for a three-phase PWM rectifier system [37].
The proposed tables generally exhibit superior performance compared to the classical table in reference [38], but many of them, as indicated in reference [39], rely on assumptions that simplify the dependence solely on the grid voltage angle. This is noted in references [39,40]. To achieve a switching table that is both accurate and efficient across a wide range of power levels, information on line inductance is necessary, as mentioned in reference [38]. Malinowski [37] introduced an alternative control strategy called the DPC technique with space vector modulation (SVM), which combines the advantages of VOC and DPC and employs an SVM block instead of a switching table, resulting in a fixed switching frequency [41]. However, the conventional DPC–SVM technique uses a PI controller to determine the control angle and amplitude on reference voltage (Vref), and an overshoot in power can occur if the gain values of the PI controller are not correctly adjusted [41,42]. To prevent these issues, alternative solutions have been proposed.
Various techniques have been suggested to address the shortcomings of the DPC approach, including the implementation of smart techniques such as neural networks [43], fuzzy logic [44], genetic algorithms [45], and particle swarm optimization [46]. Even though these techniques have been successful in reducing problems such as energy ripples, they have not entirely removed them, and the overall quality issue still exists. Non-linear strategies such as the SMC technique [47], backstepping control [48], synergetic control [49], third-order SMC [50], and STA technique [51] have also been employed to enhance DPC performance, resulting in reduced power ripples and significantly improved current quality. However, these non-linear strategies add complexity and can result in undesirable phenomena such as chattering, which can negatively impact the system or hardware being studied. Therefore, it is important to identify a more efficient strategy that is simple and easy to implement and can serve as an optimal solution for controlling the three-phase SAPF. The aforementioned strategies used to control power generation systems to raise the quality of current and energy have their pros and cons, where the problem of some strategies lies in the complexity and difficulty of application. In addition, the connection of control strategies to the mathematical form of the system under study makes the response of the system in case of parameter change unsatisfactory. Therefore, a new strategy is given and used in this work that does not use the system parameters, which makes it provide excellent results in the case of changing the system parameters.
In this presented work, a simplified super-twisting algorithm (SSTA) control for grid-connected PV power systems and feeding non-linear load at the same time to a three-level multifunctional voltage source inverter to mitigate the power quality problems is used. This study presents a novel, SSTA control for grid-connected solar systems that consider feeding a non-linear load. In addition, a three-level multipurpose voltage source inverter is also introduced concurrently to mitigate power quality issues.
The primary goal of the proposed system is to face the power quality problems and alleviate their effects on the utility grid, with more emphasis on compensating for non-linear load harmonics and reactive power compensating. Furthermore, the use of a three-level NPC inverter in both compensating function and injecting active power into the grid is another way to enhance the power quality in the proposed power generation system. What is interesting in the proposed system is the optimal utilization of the PV energy sources through dual functioning by feeding energy to the utility grid and supporting the MSVI during harmonics disturbances compensation periods. The Matlab/Simulink platform is used to model the whole structure. The simulation results are provided, together with analysis and comparisons to the conventional PI, allowing evaluation of the proposed control measures.
The outline and contributions of this paper are presented as follows:
- The SSTA controller is designed to optimize the performance of the PV system;
- The design of the SSTA controller involves regulating the MVSI using the DPC–SVM technique, to reduce the THD value of the grid current;
- Enhance the power quality and robustness;
- The SSTA minimizes the tracking error and active powers ripples;
- Reduce the overshoot, and enhance the dynamic response of PV and DC bus voltages;
- Increase the durability of the filtration system;
- SSTA strategy guarantees the global stabilization of the PV–SAPAF despite the variation.
Thus, the combination of the work is as follows. In Section 2, PV–SAPF system models are presented. In Section 3, the proposed non-linear control-based SSTA technique is discussed. In Section 4, application for PV system and SAPF designed controllers is examined. Section 5 presents and discusses the numerical results of the research carried out. In Section 6, the conclusions are presented.
2. Design of the Proposed System
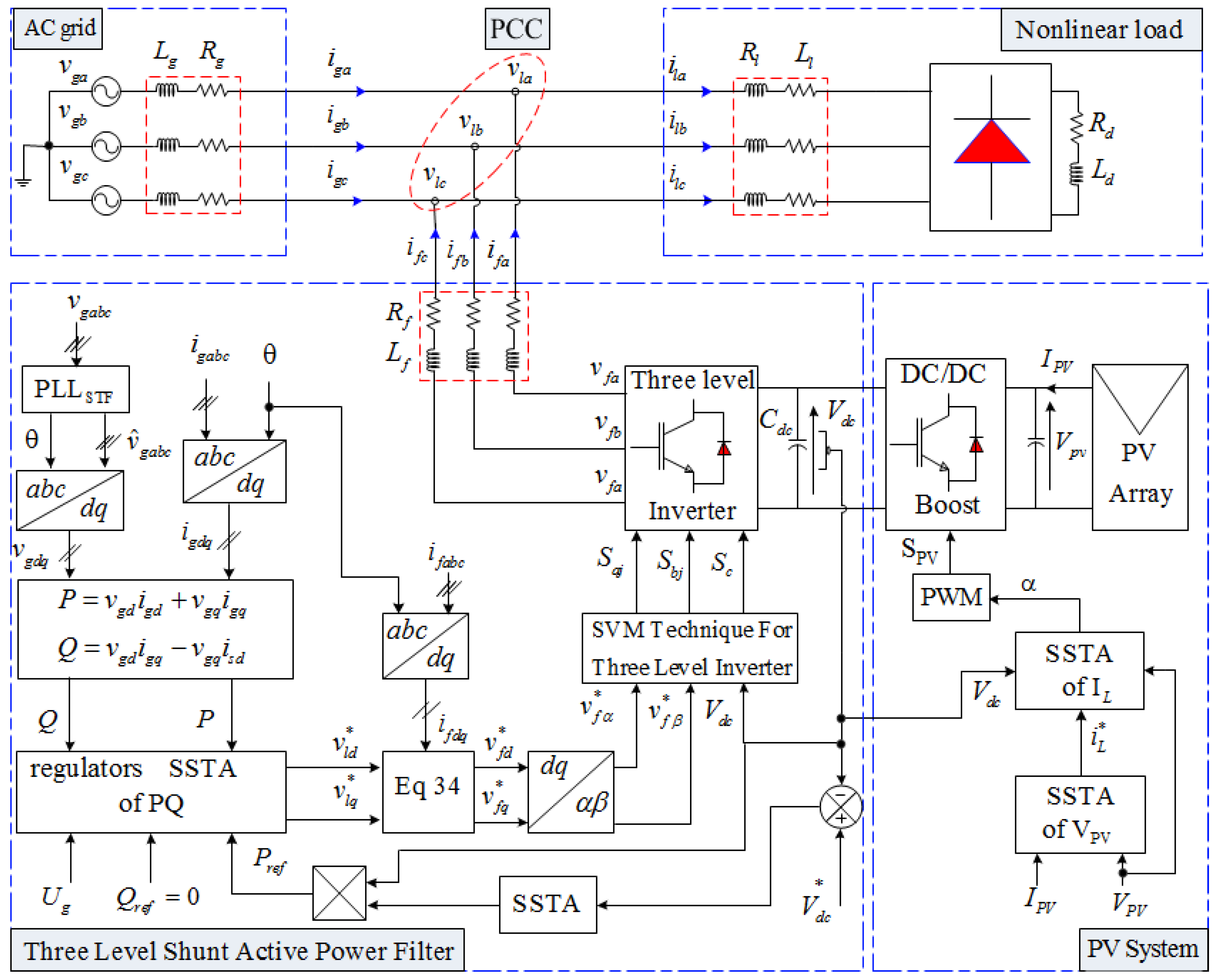
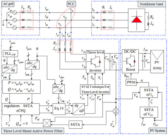
The configuration of the proposed system consists of a PV system coupled with a DC–DC converter of the boost type, which ensures the extraction of the MPPT technique from the PV generator, as illustrated in Figure 1. The boost output supplies a three-phase three-level SAPF, and this filter is connected directly to the three-phase network at the PCC via link inductors. The load consists of a three-phase uncontrolled rectifier with inductive load to obtain a load characterized by a non-linear behavior. The aforementioned system is capable of improving the power factor, eliminating harmonics, compensating reactive power, and simultaneously injecting the active power from the PV system into the load and/or distribution network.
Figure 1.
Structure of the PV–SAPF system along with SSTA controller.
3. Three-Level SAPF Model
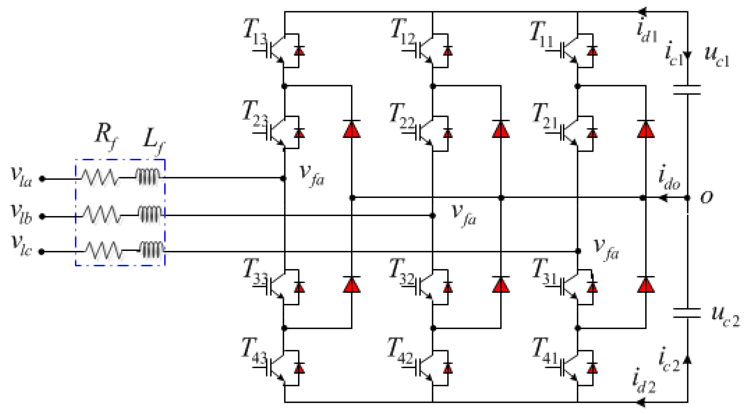
In this section, a three-level inverter (TLI)-based SAPF was employed to enhance the performance and greatly improve the current and power quality of the proposed system. The use of a TLI is well-known for its efficiency in significantly enhancing current quality and system characteristics, resulting in a considerable reduction in current and power ripples compared to traditional inverters [28,29]. The NPC topology is one of the most renowned configurations for inverters, owing to its simplicity, ease of control, low cost, easy implementation, and satisfactory results compared to traditional inverters. This topology is utilized in this paper to achieve a three-phase SAPE, thereby improving power quality and significantly reducing current ripples. A three-level SAPF was used to obtain better results, as it is known in the field of electronics that a three-level inverter is better than a two-level inverter in terms of current quality. However, the disadvantage of using a three-level inverter lies in the high cost and the increase in the number of electronic vehicles, which increases energy consumption.
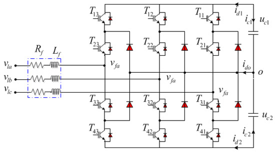
The topology of a three-level NPC inverter is depicted in Figure 2, which comprises three legs, each containing four bidirectional switches formed by a transistor and diode arranged in an anti-parallel configuration. To avoid short-circuiting the DC source at the inverter input or opening the AC load at the output, the four switches on one leg must not be closed or opened concurrently [30].
Figure 2.
Three-level NPC inverter structure.
The switching states of the switches , are given with the digits ‘−1’, ‘0’, and ‘1’, respectively, indicating that the relevant arm is connected to the positive (P), negative (N), or neutral (O) points of the DC link. Connection functions, as well as the corresponding output voltages, are given in Table 1.
Table 1.
Switching state for the three-level inverter.
The dynamic model describing the input currents and the DC bus voltage of the three-phase three-level SAPF can be given in the reference frame as follows [52]:
4. Modelling of PV System
The dynamic model of each subsystem is taken into consideration to develop the mathematical model of the system being studied.
4.1. Model of PV Array Subsystem
The direct conversion of sunlight energy into electricity is made possible by a solar cell that employs the photovoltaic effect observed in semiconductors with a P–N junction. The PV cell model is based on the static behavior of a standard P–N junction diode, and a circuit model of a PV cell is illustrated in Figure 3. The model includes a diode D and shunt resistance connected in parallel with a direct current source , and in series with a resistance . The calculation of the cell output current can be determined by Equation (2) [53,54,55].
Figure 3.
Equivalent circuit model for PV cell.
In case the solar irradiation and the temperature change, the photon current, PV panel reverse saturation current, and diode voltage are given as follows [55]:
where is the light-generated current, is the cell reverse saturation current, is the series resistance, is the shunt resistance due to the leakage current, and 10−19 C is the electronic charge.
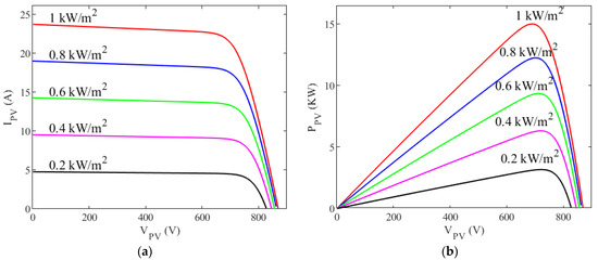
The current–voltage characteristic equation for a PV array with Ns PV cells connected in series and Np PV cells connected in parallel is given by Equation (4) and Figure 4 [56].
Figure 4.
Equivalent circuit model for solar PV array.
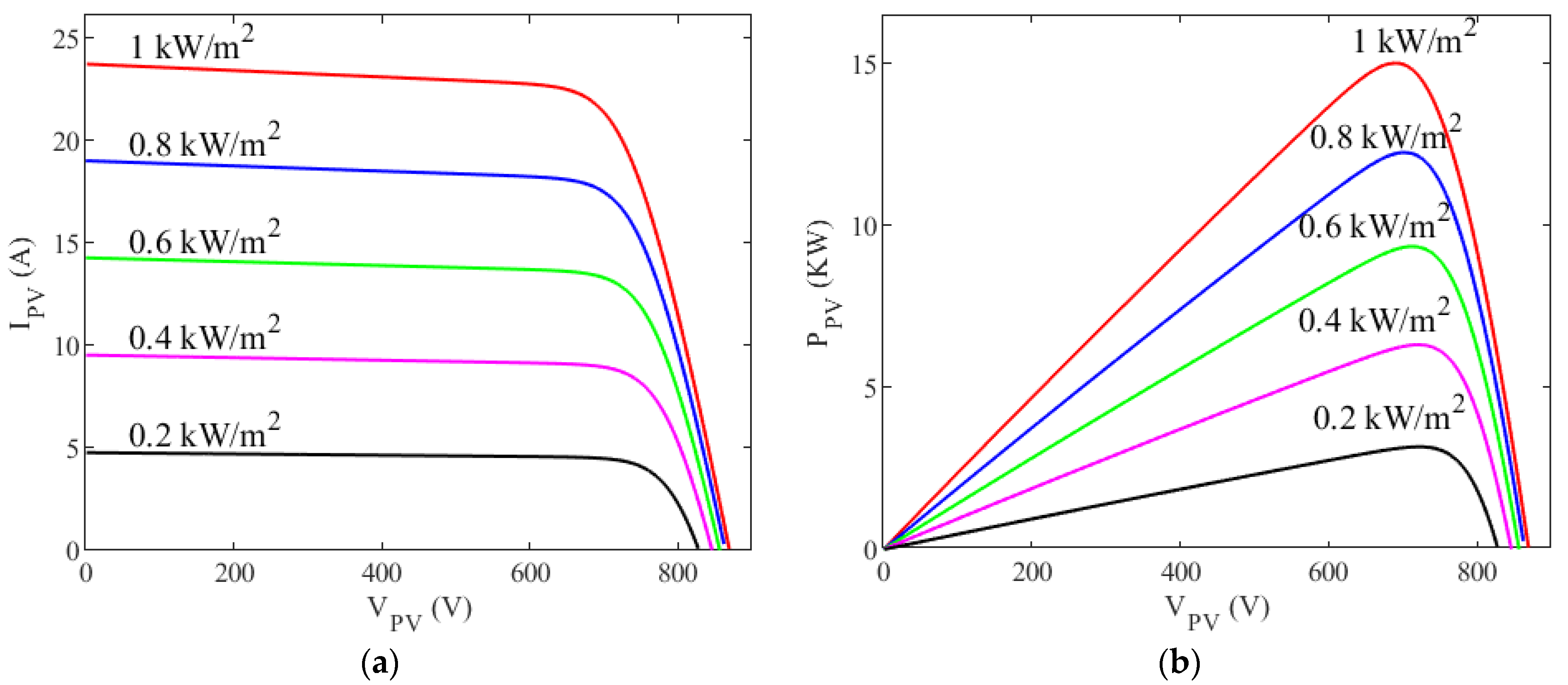
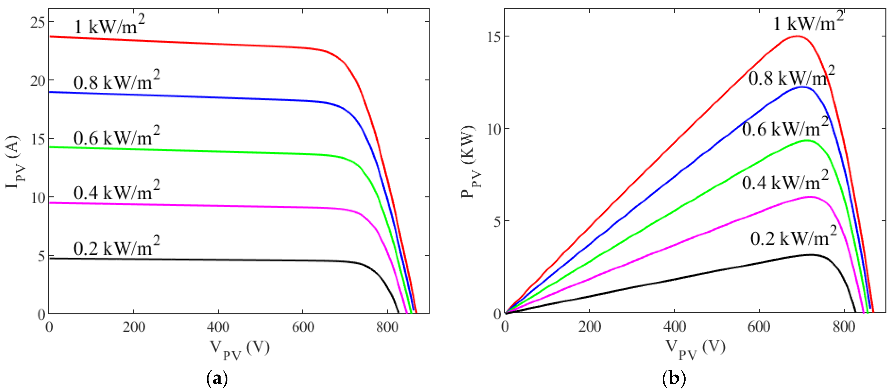
Figure 5 illustrates the computed current–voltage and power–voltage characteristics of the PV array under varying levels of irradiation and constant module temperature. These characteristics reveal that the power generated by the PV array is a non-linear function of operating voltage and has a MPP. It can be observed from the characteristics that the voltage and power of the PV array decrease as the irradiation level decreases.
Figure 5.
Characteristics PV array for constant temperature and variable irradiation: (a) current–voltage; (b) power–voltage.
4.2. Model of DC–DC Boost Converter Subsystem
The equivalent circuit diagram for the DC–DC boost converter is presented in Figure 6. Using this diagram, the dynamical model is established through the application of Kirchhoff’s voltage and current laws, and the diagram of the voltage and current of the grid is shown in Figure 7. The differential equations describing the boost converter can be expressed as follows [57]:
where , , and are the input voltage and current of (PVG), the input inductance current, the output current of the boost converter, respectively, and is the cycle. and are converter parameters.
Figure 6.
DC/DC boost power converter.
Figure 7.
Voltage and current of grid in stationary αβ and referential frame.
5. Grid Instantaneous Active and Reactive Power Modeling
The instantaneous active and reactive power of the network can be expressed in the referential as follow:
When the network voltages orientation
where the network voltage amplitude.
The instantaneous active and reactive powers supplied to the network are:
The network currents model, where the voltages network is aligned on the referential frame, is given by:
Therefore, the derivative of the grid instantaneous active and reactive power is:
Substituting Equation (10) into Equation (11) yields:
6. Robust PLL Technique
Traditionally, PLL is an interesting component control of power electronic converters in grid-connected applications. It is used as a means to retrieve phase and frequency information, which allows for controlling the utility phase angle. The inputs of the PLL design are the three-phase voltages measured on the grid side and the output is the estimated tracked phase angle. The PLL design is realized in synchronous reference frame, which signifies that a Park transformation is required. The phase-locking of this system is accomplished through controlling the q-axis voltage to zero. Commonly, a PI controller is utilized for this objective. By integrating the sum among the PI controller output and the reference frequency, the phase angle is achieved [58].
A robust PLL technique is presented in [59]. It is based on the basic concept of PLL technique with introducing a multivariable filter named self-tuning filter (STF) to extract the direct component of source voltage during distorted conditions. The block diagram of the PLL technique based on STF is presented in Figure 8.
Figure 8.
Diagram structure of the PLL technique with STF.
The STF is presented by the following Equations:
where is the cut-off frequency of STF and is the tuning parameter, the value of which is contained between 10 and 100.
and are voltage signals before and after filtering, respectively.
7. Simplified STA Controller
Under steady-state conditions, with an adequate control law, the sliding mode control forces the state of the system to meet the above conditions, i.e., , [60]. Usually, SMC law needs the measurement of the time derivative of the sliding function and provides a discontinuous form, which is sometimes inconvenient because of the chattering phenomenon [61]. The STA control represents an alternative to overcome this constraint. In fact, it provides a continuous output and needs only the measurement of the sliding functions [62]. On the other hand, the STA technique is a non-linear strategy that is characterized by simplicity and ease of implementation compared to several strategies such as backstepping control. Compared to the SMC technique, the STA technique delivers better results in terms of power ripples and improved current quality. Also, it significantly reduces the phenomenon of chattering. In addition, it can be easily applied in the case of complex systems, which makes it among the best solutions in the field of control. The classical STA control law is given by the following formula:
where is the error or sliding surface, and and are positive values.
The bloc diagram of this non-linear controller is represented in Figure 9. In Figure 10, an equivalent structure is represented for the STA technique; it behaves similar to a PI controller but with non-linear gains (because of sign ()). These gains can be deduced as follows:
where and are the fixed proportional and integral gains, respectively (entries in vectors and ). One can easily see that the obtained equivalent controllers have a similar form to a conventional PI controller, however, with non-linear gains and . These gains are adaptive with respect to σ, and the new proportional gain is smaller than the fixed one, when , and greater than when . As a result, during the transient state (especially in the case of load change), the tracking error (which is, in fact, S) is large (, and, therefore, the gain becomes lower than the fixed gain to improve the stability of the system. The same behavior of the adaptive integral action can be noted. In fact, during transient states, a smaller gain is imposed (), to reduce sensitivity to transient disturbance. When the system reaches the sliding surface, the sliding function is zero (or almost zero); in this case, the proportional and integral actions impose gains , or s, or , offering, therefore, better steady-state performances than a fixed PI controller.
Figure 9.
STA structure.
Figure 10.
Adaptive PI equivalent structure of super-twisting controller.
Despite the simplicity and ease of implementation, many drawbacks limit the spread of the STA strategy in the field of control, such as the difficulty of adjusting the dynamic response, its impact on changing system parameters, and the problem of chattering.
The study aims to enhance the dynamic response and simplify the STA algorithm. The SSTA technique is proposed as a new approach to the traditional STA algorithm in [63], which is represented by Equation (17). The stability of the proposed SSTA controller is evaluated using the Lyapunov theory [63]. However, the SSTA technique is a modification or change in the traditional strategy, where simplicity and ease of implementation are the biggest advantages of this controller. According to reference [63], the SSTA technique has higher robustness and performance compared to conventional control. The proposed SSTA algorithm is found to be simpler than the conventional STA technique.
where K is the positive gain (K ≠ 0).
By using the parameter (k), the response of the system can be easily adjusted, as the genetic algorithm can be used to determine the value of K, and, thus, obtain an ideal dynamic response.
The operational concept of the suggested SSTA controller is depicted in Figure 11. This figure demonstrates that the proposed SSTA controller can be easily and cost-effectively implemented in any system without the need for a mathematical representation of the system.
Figure 11.
The SSTA controller.
8. PV–SAPF System Control
The control scheme of the grid-connected PV system is shown in Figure 1. The objective is to obtain a grid sinusoidal current in phase with their corresponding voltages; this implies that the reactive power generated by the grid must be zero, with harmonics eliminating and simultaneously injecting the active power from the PV system into the load and/or distribution network. The generic control structure of the PV system connected to the grid consists of five control nested loops: the two-cascade power and current in the DC stage and an external loop for the control of the DC-link voltage and an internal loop for the control of the active/reactive power direct in AC stage.
8.1. Proposed MPPT–SSTA Voltage and Current Control Loops
The DC–DC boost converter is widely used for solar PV units, in which it amplifies and regulates the PV panel voltage at a specified level along with the extraction of maximum power. Figure 12 shows the structure of the MPPT control law by simplified super-twisting SSTA algorithm.
Figure 12.
PV generator control system.
A non-linear SSTA is applied to the PV current and voltage loops. The first SSTA loop ensures the PV voltage regulation and generates the inductance reference current and the second SSTA loop, which ensures the inductance current regulation with minimal steady-state error and generates the DC/DC boost converter duty cycle.
8.1.1. PV Power Controller Design
Using the same method, the SSTA of PV power controllers can be designed. The sliding surface of the PV power is defined as:
where SPV is the sliding surface of the PV power.
With:
The derivative of this is given by:
The SSTA control law for PV power controller can be given as:
where is the SSTA control gain.
The PV power control loop with compensation gives the reference current in Equation (42) and its controller block diagram is given in Figure 13.
Figure 13.
SSTA controller block diagram of the PV power.
8.1.2. Inductor current design
The sliding surface of the inductor current is defined as:
Therefore, the time derivative of the sliding surface
The SSTA control law for inductor current controller can be given as:
where is a positive value.
The inductor current control loop gives the reference of the duty cycle of the DC–DC boost converter, and is calculated as given by Equation (22), and Figure 14 presents its controller block diagram.
Figure 14.
SSTA controller block diagram of the inductor current.
8.2. Proposed DPC–SSTA–SVM Strategy
By utilizing DPC–SVM with a fixed switching frequency, the limitations of conventional DPC can be overcome. This involves replacing hysteresis controllers and switching tables with two SSTA robust controllers and an SVM block to achieve constant switching frequency operation and reduced power ripples [41]. The DPC–SVM control strategy employs various components, such as an active and reactive power estimator, an external control loop for the DC bus voltage based on SSTA for determining the reference active power Pref, two internal loops for active and reactive powers, which utilize SSTA regulators, and PLL technique to increase the robustness and make the system more stable. To ensure unity power factor operation, the reference for reactive power is maintained at zero. The output signals of the SSTA controllers, represented by the αβ coordinates, are transmitted to the SVM block, which is responsible for determining the current states of the inverter’s IGBTs. An overview of this control method can be found in Figure 15.
Figure 15.
Block diagram of the proposed DPC–SSTA–SVM method.
8.2.1. Design of Active and Reactive Powers Controller
To regulate the grid active and reactive powers, a simplified super-twisting algorithm using a simplified model of the grid in the synchronous rotating reference is used, with a grid voltage orientation as shown in Figure 7.
The simplified block diagram closed loop of grid active and reactive power control in synchronous frame, shown in Figure 16.
Figure 16.
Block diagram of power decoupling.
For the purpose of grid active and reactive power controller design, the following two surfaces need to be defined.
The first surface is defined as a function of the d-axis by:
The second surface is defined as a function of the q-axis tracking error by:
where and are the sliding surface of the grid active and reactive power, respectively.
Therefore, the time derivative of the sliding surface:
The reference voltages for both direct and quadrature (,) designed based on the STAs (see Figure 17 and Figure 18):
where and are positive constants.
Figure 17.
SSTA grid active power controller technique.
Figure 18.
SSTA grid reactive power controller technique.
Using system Equations (32) and (28), the switching control law and are as follows:
The control voltages of the shunt active filter ( and ) are estimated using the following equations:
8.2.2. DC Bus Voltage Controller Design
To ensure active power transfer among the PV, grid, and non-linear components, it is crucial to properly regulate the DC bus voltage. This is why the SSTA controller is often utilized to maintain the DC link voltage at the desired level. The concept of DC voltage control is depicted in Figure 19, where the difference between the measured DC bus voltage and its reference value is utilized with the aid of the SSTA to regulate the DC input current of the inverter, as described by the following equation.
Figure 19.
DC voltage control loop.
The sliding surface of DC voltage is defined by:
Therefore, the time derivative of the sliding surface is:
The switching control law is designed based on the SSTA algorithms as follows:
where is a positive constant.
The current is provided as given below:
Consequently, the reference power quantity is deduced as:
9. SVM Technique
SVM technique is among the techniques that are used for inverter control, whereby a series of pulses are generated necessary to operate the inverter relays. Compared to PWM technique, it is better and more robust, providing very satisfactory results for THD value. The disadvantage of this strategy is that it is complicated compared to the PWM technique, especially in the case of a multi-level inverter.
The reference voltage is modulated using the SVM technique. The following four steps can resume this one: localization of the sector, location of the region in the sector, calculation of the switching times, and, finally, finding the switching states. A TLI is characterized by 27 switching states or vectors represented by the hexagon in Figure 20, which is divided into six equal sectors, each of which is also divided into four regions. Among the 27 possible states, 24 are active states, and 3 are zero states that lie at the center of the hexagon [64,65]. The voltage vectors form four groups are, namely, the large vectors group, the medium vectors group, the small vectors group, and the zero vectors group, as shown in Table 2.
Figure 20.
Space vector diagram of the three-level converter.
Table 2.
Voltage vector groups in the three-level inverter.
In the reference frames, this vector has a magnitude and angle given as:
The reference voltage vector scans all six sectors at the fundamental frequency of the desired output voltage. Then, it is required to continuously detect the sector in which the voltage vector is progressing as follows:
If then is located in sector A;
If then is located in sector B;
If then is located in sector C;
If then is located in sector D;
If then is located in sector E;
If then is located in sector F.
Inside the located sector, one must define the region of the voltage vector. From the space vector diagram in Figure 19, the reference voltage vector can be seen as the sum of two components and , such as:
Now, the regions are located as follows:
If then is located in region 1;
If then is located in region 2;
If then is located in region 3;
If then is located in region 4.
Inside the region, the reference control vector is now expressed during a sample period by the nearest vectors. The simplest illustrative example is the case of region 2 in sector A, as illustrated in Figure 21 in which one can write.
Figure 21.
Vector combination and diagram for and in Sector A.
Splitting this into real and imaginary parts gives:
is the modulation index. Using the same procedure, the dwelling time in other regions in sector A can be obtained, as shown in Table 3.
Table 3.
Switching times for sector A.
10. Results
In this part, the results of the proposed SSTA strategy in this paper are compared with the results of the traditional PI strategy under different working conditions. The system parameters are represented in Table 4. In addition, the parameters of the SSTA technique are as follows: , and .
Table 4.
Simulated system parameters.
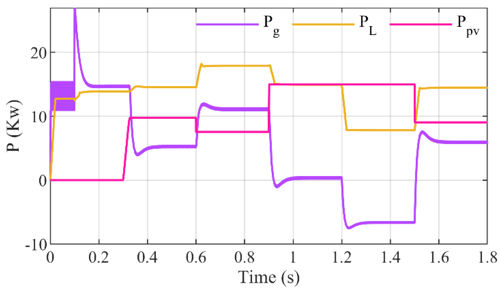
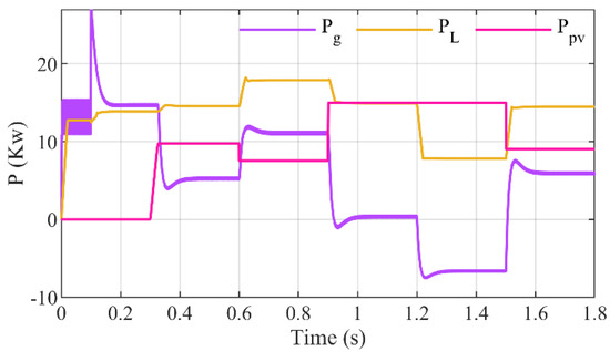
The obtained results are represented in Figure 22, Figure 23, Figure 24, Figure 25, Figure 26, Figure 27, Figure 28, Figure 29, Figure 30, Figure 31, Figure 32, Figure 33, Figure 34, Figure 35 and Figure 36. Figure 22, Figure 23 and Figure 24 represent the references (profile) used in this work for PV irradiation, temperature, and load power, respectively. Figure 25 represents the power flow at different modes based on SSTA control. Results indicate that the capabilities Pg, Pl, and Ppv perfectly track changes in reference values. In addition, larger ripples are observed in the time domain [0, 0.1 s] for power Pg before filtering. The distribution of power flow within the proposed system, from the sources of generation to the consumption of load, is categorized into six distinct cases:
Figure 22.
Solar irradiation profile.
Figure 23.
Temperature profile.
Figure 24.
Load power profile.
Figure 25.
Power flow at different modes based on the SSTA technique.
Figure 26.
PV output current, voltage, and power response.
Figure 27.
DCbus voltage response.
Figure 28.
Grid active power.
Figure 29.
Grid reactive power.
Figure 30.
The three-phase grid currents with PI control.
Figure 31.
The three-phase grid currents with SSTA technique.
Figure 32.
First phase of the grid current and voltage controlled by PI control.
Figure 33.
First phase of the grid current and voltage controlled by SSTA technique.
Figure 34.
Harmonic spectra of grid currents before filtering.
Figure 35.
FFT analysis of grid current phase (a) after filtering with SSTA controllers.
Figure 36.
FFT Analysis of grid current phase (a) after filtering with PI controller.
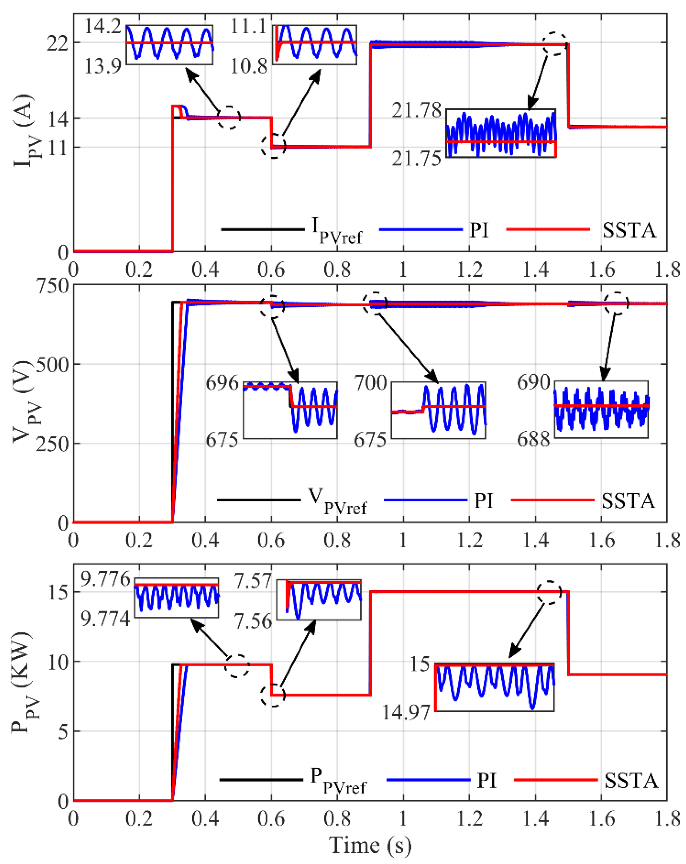
Case 1: It can be noticed that from t = 0 to 0.3 s when there is no irradiance, the grid supplies nearly 15 kW. The majority of this power is utilized by the non-linear load of 14.4 kW, and the remaining amount is utilized to balance the active filter losses to maintain the DC bus voltage constant. This can be expressed as , where ppv is equal to zero.
Case 2: During the time interval from t = 3 to 0.6 s, it is evident that the PV is generating almost 10 kW of power, and the grid is providing 4.2 kW while corresponding to the new irradiation profile, and temperature. The non-linear load of 14.4 kW is the main consumer of this power, and the rest of the power is used to balance the losses of the active filter so that the DC bus voltage remains constant. The equation expresses this relationship, with .
Case 3: Between t = 0.6 s and t = 0.9 s, there is an increase in load power by 18 kW while the PV power decreases by 7.6 kW. During this phase, the non-linear load is supplied by two power sources: PV and grid 11.3 kW, with the total power being the sum of the two sources , where .
Case 4: Between the time intervals of 0.9 s and 1.2 s, the power generated by the PV system 15 kW matches the power demand of the load of 14.8 kW. During this period, the utility grid does not generate any power, PL = PPV, and .
Case 5: During the time from 1.2 s to 1.5 s, the power generated by the PV system is 15 kW, which exceeds the power demand of 7.6 kW. As a result, 7.4 kW of surplus power is sent to the grid, and .
Case 6: Between 1.5 s and 1.8 s, there is a rise in the load power by 14.4 kW, while the PV power decreases by 8.7 kW. This mode bears resemblance to Case 2, and , with .
Figure 26 represents the PV output current, voltage, and power response for both the proposed and classical strategies. With this figure, the voltage, current, and power follow the references well with ripples in the case of using a PI controller compared to an SSTA controller. Moreover, the proposed strategy provides a better response time to voltage, current, and power than the PI controller. Figure 26 represents the PV output current, voltage, and power with their references for both the proposed and classical strategy before and after connecting at the grid at 0.3 s. Before connecting PV to the grid, the output current and power are equal to zero. The comparison of these behaviors shows that the PV output current and power perfectly track their references with zero ripple and steady-state error in the case of the SSTA technique. It can be observed that the PV output current, voltage, and power overshoot at all points of the varying irradiation are greatly reduced with very small response time to voltage, current, and power in the case of the SSTA technique compared to the PI controller.
Figure 27 depicts the response of the used controllers’ DC bus voltage. The voltage tracks its reference value of (800 V) both before and after connecting the PV to the grid at t = 0.3 s. The performance indicators provided in Table 5 reveal that the SSTA outperforms the PI in terms of response time. The DC link voltage stability is significantly impacted by changing irradiation levels and non-linear loads. The SSTA strategy demonstrates less overshoot and fewer ripples. Furthermore, the error in steady-state is minimal when using the SSTA strategy, compared to the PI controller. Grid active power is represented in Figure 28. This capacity follows the reference satisfactorily for both the traditional and the proposed strategy with an advantage to the proposed strategy in terms of ripples compared to the traditional strategy. The imaginary power on the grid side is illustrated in Figure 29. It can be observed that both control methods keep the imaginary power at zero, which verifies the earlier conclusion regarding the power factor. However, the SSTA technique demonstrates less fluctuation around zero compared to the traditional strategy, indicating that it may be a more effective means of regulating the power factor.
Table 5.
Quantitative analysis for DC bus voltage.
Figure 30 and Figure 31 represent the three-phase grid currents in the case of the traditional and proposed strategies, respectively. Through these forms, the current takes the form of a sinusoid, and its value is related to the values of the references used with the presence of ripples in the two controls, where these ripples are greater in the case of the traditional strategy. Figure 32 and Figure 33 represent the first phase of the grid current and voltage for the strategies used in this paper. The voltage and current take a sinusoidal form and their values are closely related to the system, as ripples are observed at the voltage and current levels. Figure 34 represents the value of THD of grid currents before and after filtering, where the value of THD of current is 23.30% and the amplitude of the fundamental signal (50 Hz) is 29.58 amperes. Figure 35 and Figure 36 represent the FFT analysis of grid current phase after filtering in the case of using the SSTA control and PI control, respectively. Through these two forms, the SSTA strategy provides better values of THD of grid current phase in different cases, with a larger fundamental (50 Hz) amplitude value compared to the traditional strategy, which indicates the robustness of the proposed strategy in improving the quality of the current.
The comparative results between the proposed SSTA control and the PI control are presented in Table 5, Table 6 and Table 7. From these tables, the proposed control provides superior values compared to the control based on the PI controller in terms of overshoot, THD value of source current, voltage ripples, setting time, undershoot, etc. Therefore, it can be said that the proposed control is the best in the field of control. Moreover, it is noted that the reduction percentage of the THD value of current is less in the case of after filtering G (W/m2) = 0 (see Table 7). However, the percentage reduction is greater in the case of after filtering G (W/m2) = 1000. Therefore, it can be said that the higher the value of G (W/m2), the greater the percentage of reduction in the value of THD of current.
Table 6.
Quantitative analysis for PV voltage.
Table 7.
Comparative of THD source current.
In Table 8, the work performed is compared with some works published in the same field in terms of the value of THD of current. Through this table, the proposed control presents a value of THD of current that is very satisfactory compared to several controls that have been published in scientific works. Accordingly, it can be said that SSTA control can be relied upon as one of the best solutions in the field of control, especially in the field of renewable energies. In addition, these obtained results prove the results obtained in the work [63].
Table 8.
Comparison of proposed control and same published strategies in terms of THD.
11. Conclusions
A robust control based on a simplified super-twisting algorithm for double-stage grid-connected PV systems is presented. This suggested technique, applied to the PV power and current loops of the MPPT technique, DC bus voltage control loop, and active/reactive powers control loops of grid-connected based on three level multi-functional voltage source inverter, has been proposed. In addition, a DPC with an SVM strategy for power quality improvement using SAPF and proper control of active/reactive power quantities exchange with the grid, and to exploit the extracted power to the non-linear load is demonstrated. The proposed SSTA succeeds at reducing the steady-state error and increasing the performance in the all-PV grid-connected control loops. The stability of this proposed control is demonstrated using the Lyapunov function.
The use of an SSTA controller for the DPC–SVM technique has a satisfactory performance for a grid-connected PV system in terms of reference tracking of all control loops, high quality of grid harmonics, unit power factor, better response time, zero steady-state error, and good robustness under any irradiation distortion and non-linear load unbalance compared to the DPC strategy based on the PI controller for grid-connected PV systems, while also functioning at a lower ripple rate, which is demonstrated by simulation results, and the proposed control strategy is very effective for overshoot and undershoot elimination.
In future work, other new and highly efficient techniques will be proposed, such as hybrid backstepping super-twisting sliding mode fractional order PID to control the PV system and shunt the active power filter. In addition, this work will be attempted experimentally and confirmed by the obtained simulated results.
Author Contributions
Methodology, N.D.; software, N.D. and B.D.; validation, B.D. and H.B.; formal analysis, H.B.; investigation, H.B. and Z.L.; writing—original draft, Z.L.; writing—review and editing, M.I.M. All authors have read and agreed to the published version of the manuscript.
Funding
This research received no external funding.
Data Availability Statement
Not applicable.
Conflicts of Interest
The authors declare no conflict of interest.
Abbreviations
| SMC | Sliding mode control |
| DTC | Direct torque control |
| STA | Super-twisting algorithm |
| VOC | Vector-oriented control |
| DPC | Direct power control |
| SSTA | Simplified super-twisting algorithm |
| PI | Proportional-integral |
| THD | Total harmonic distortion |
| PLL | Phase-locked loop |
| PV | Photovoltaic system |
| SVM | Space vector modulation |
| PWM | Pulse-width modulation |
| MPPT | Maximum point power tracking technique |
| NPC | Neutral-point-clamped |
| SAPF | Shunt active power filter |
| Ps | Active power |
| Qs | Reactive power |
| NN | Neural network |
| FLC | Fuzzy logic control |
| MVSI | Multifunctional voltage source inverter |
| PCC | Point of common coupling |
References
- Sabo, A.; Kolapo, B.Y.; Odoh, T.E.; Dyari, M.; Abdul Wahab, N.I.; Veerasamy, V. Solar, Wind and Their Hybridization Integration for Multi-Machine Power System Oscillation Controllers Optimization: A Review. Energies 2023, 16, 24. [Google Scholar] [CrossRef]
- Esenboğa, B.; Demirdelen, T. Soft-Switching Smart Transformer Design and Application for Photovoltaic Integrated Smart City Power Distribution. Sustainability 2023, 15, 32. [Google Scholar] [CrossRef]
- Guzman-Henao, J.; Grisales-Noreña, L.F.; Restrepo-Cuestas, B.J.; Montoya, O.D. Optimal Integration of Photovoltaic Systems in Distribution Networks from a Technical, Financial, and Environmental Perspective. Energies 2023, 16, 562. [Google Scholar] [CrossRef]
- Gevorkov, L.; Domínguez-García, J.L.; Romero, L.T. Review on Solar Photovoltaic-Powered Pumping Systems. Energies 2023, 16, 94. [Google Scholar] [CrossRef]
- Mosaad, M.I. Grid-Connected PV System Statistics and Evaluation; Review. YJES 2022, 19, 1–10. [Google Scholar] [CrossRef]
- Kibria, M.F.; Elsanabary, A.; Tey, K.S.; Mubin, M.; Mekhilef, S. A Comparative Review on Single Phase Transformer less Inverter Topologies for Grid-Connected Photovoltaic Systems. Energies 2023, 16, 1363. [Google Scholar] [CrossRef]
- Aldbaiat, B.; Nour, M.; Radwan, E.; Awada, E. Grid-Connected PV System with Reactive Power Management and an Optimized SRF-PLL Using Genetic Algorithm. Energies 2022, 15, 2177. [Google Scholar] [CrossRef]
- Yuan, W.; Yuan, X.; Xu, L.; Zhang, C.; Ma, X. Harmonic Loss Analysis of Low-Voltage Distribution Network Integrated with Distributed Photovoltaic. Sustainability 2023, 15, 4334. [Google Scholar] [CrossRef]
- Verma, D.; Nema, S.; Agrawal, R.; Sawle, Y.; Kumar, A. A Different Approach for Maximum Power Point Tracking (MPPT) Using Impedance Matching through Non-Isolated DC-DC Converters in Solar Photovoltaic Systems. Electronics 2022, 11, 1053. [Google Scholar] [CrossRef]
- Hazim, H.I.; Baharin, K.A.; Gan, C.K.; Sabry, A.H.; Humaidi, A.J. Review on Optimization Techniques of PV/Inverter Ratio for Grid-Tie PV Systems. Appl. Sci. 2023, 13, 3155. [Google Scholar] [CrossRef]
- Abo-Khalil, A.G.; El-Sharkawy, I.I.; Radwan, A.; Memon, S. Influence of a Hybrid MPPT Technique, SA-P&O, on PV System Performance under Partial Shading Conditions. Energies 2023, 16, 577. [Google Scholar] [CrossRef]
- Hilali, A.; El Ouanjli, N.; Mahfoud, S.; Al-Sumaiti, A.S.; Mossa, M.A. Optimization of a Solar Water Pumping System in Varying Weather Conditions by a New Hybrid Method Based on Fuzzy Logic and Incremental Conductance. Energies 2022, 15, 8518. [Google Scholar] [CrossRef]
- Marroquín-Arreola, R.; Lezama, J.; Hernández-De León, H.R.; Martínez-Romo, J.C.; Hoyo-Montaño, J.A.; Camas-Anzueto, J.L.; Escobar-Gómez, E.N.; Conde-Díaz, J.E.; Ponce-Silva, M.; Santos-Ruiz, I. Design of an MPPT Technique for the Indirect Measurement of the Open-Circuit Voltage Applied to Thermoelectric Generators. Energies 2022, 15, 3833. [Google Scholar] [CrossRef]
- Nguyen-Duc, T.; Le-Viet, T.; Nguyen-Dang, D.; Dao-Quang, T.; Bui-Quang, M. Photovoltaic Array Reconfiguration under Partial Shading Conditions Based on Short-Circuit Current Estimated by Convolutional Neural Network. Energies 2022, 15, 6341. [Google Scholar] [CrossRef]
- Mosaad, M.I.; Osama abed el-Raouf, M.; Al-Ahmar, M.A.; Banakher, F.A. Maximum Power Point Tracking of PV system Based Cuckoo Search Algorithm; review and comparison. Energy Procedia 2019, 162, 117–126. [Google Scholar]
- Zhang, Y.; Wang, Y.-J.; Yu, J.-Q. A Novel MPPT Algorithm for Photovoltaic Systems Based on Improved Sliding Mode Control. Electronics 2022, 11, 2421. [Google Scholar] [CrossRef]
- Zhang, W.; Pan, T.; Wu, D.; Xu, D. A Novel Command-Filtered Adaptive Backstepping Control Strategy with Prescribed Performance for Photovoltaic Grid-Connected Systems. Sustainability 2020, 12, 7429. [Google Scholar] [CrossRef]
- Nicola, M.; Nicola, C.-I.; Selișteanu, D. Improvement of the Control of a Grid Connected Photovoltaic System Based on Synergetic and Sliding Mode Controllers Using a Reinforcement Learning Deep Deterministic Policy Gradient Agent. Energies 2022, 15, 2392. [Google Scholar] [CrossRef]
- Liu, S.; Liu, X.; Jiang, S.; Zhao, Z.; Wang, N.; Liang, X.; Zhang, M.; Wang, L. Application of an Improved STSMC Method to the Bidirectional DC–DC Converter in Photovoltaic DC Microgrid. Energies 2022, 15, 1636. [Google Scholar] [CrossRef]
- Khan, M.J.; Mathew, L.; Alotaibi, M.A.; Malik, H.; Nassar, M.E. Fuzzy-Logic-Based Comparative Analysis of Different Maximum Power Point Tracking Controllers for Hybrid Renewal Energy Systems. Mathematics 2022, 10, 529. [Google Scholar] [CrossRef]
- Yuan, Z.; Xiong, G.; Fu, X. Artificial Neural Network for Fault Diagnosis of Solar Photovoltaic Systems: A Survey. Energies 2022, 15, 8693. [Google Scholar] [CrossRef]
- Irfan, M.M.; Rangarajan, S.; Collins, E.R.; Senjyu, T. Enhancing the Power Quality of the Grid Interactive Solar Photovoltaic-Electric Vehicle System. World Electr. Veh. J. 2021, 12, 98. [Google Scholar] [CrossRef]
- Imam, A.A.; Sreerama Kumar, R.; Al-Turki, Y.A. Modeling and Simulation of a PI Controlled Shunt Active Power Filter for Power Quality Enhancement Based on P-Q Theory. Electronics 2020, 9, 637. [Google Scholar] [CrossRef]
- Bielecka, A.; Wojciechowski, D. Stability Analysis of Shunt Active Power Filter with Predictive Closed-Loop Control of Supply Current. Energies 2021, 14, 2208. [Google Scholar] [CrossRef]
- Hoon, Y.; Mohd Radzi, M.A.; Mohd Zainuri, M.A.A.; Zawawi, M.A.M. Shunt Active Power Filter: A Review on Phase Synchronization Control Techniques. Electronics 2019, 8, 791. [Google Scholar] [CrossRef]
- Nyamathulla, S.; Chittathuru, D.; Muyeen, S.M. An Overview of Multilevel Inverters Lifetime Assessment for Grid-Connected Solar Photovoltaic Applications. Electronics 2023, 12, 1944. [Google Scholar] [CrossRef]
- Hoon, Y.; Mohd Radzi, M.A.; Hassan, M.K.; Mailah, N.F. DC-Link Capacitor Voltage Regulation for Three-Phase Three-Level Inverter-Based Shunt Active Power Filter with Inverted Error Deviation Control. Energies 2016, 9, 533. [Google Scholar] [CrossRef]
- MullaliKunnontakathPuthiyapurayil, M.R.; Nadir Nasirudeen, M.; Saywan, Y.A.; Ahmad, M.W.; Malik, H. A Review of Open-Circuit Switch Fault Diagnostic Methods for Neutral Point Clamped Inverter. Electronics 2022, 11, 3169. [Google Scholar] [CrossRef]
- Lee, J.S.; Kwak, R.; Lee, K.B. Novel discontinuous PWM method for a single-phase three-level neutral point clamped inverter with efficiency improvement and harmonic reduction. IEEE Trans. Power Electron. 2018, 33, 9253–9266. [Google Scholar] [CrossRef]
- Hoon, Y.; Mohd Radzi, M.A.; Hassan, M.K.; Mailah, N.F. A dual-function instantaneous power theory for operation of three-level neutral-point-clamped inverter-based shunt active power filter. Energies 2018, 11, 1592. [Google Scholar] [CrossRef]
- Choi, U.-M.; Lee, J.-S.; Blaabjerg, F.; Lee, K.-B. Open-Circuit Fault Diagnosis and Fault-Tolerant Control for a Grid-Connected NPC Inverter. IEEE Trans. Power Electron. 2016, 31, 7234–7247. [Google Scholar] [CrossRef]
- Kadri, R.; Gaubert, J.-P.; Champenois, G. An improved maximum power point tracking for photovoltaic grid-connected inverter based on voltage-oriented control. IEEE Trans. Ind. Electron. 2011, 58, 66–75. [Google Scholar] [CrossRef]
- Bhatti, M.Z.A.; Siddique, A.; Aslam, W.; Atiq, S.; Khan, H.S. Improved model predictive direct power control for parallel distributed generation in grid-tied microgrids. Energies 2023, 16, 1441. [Google Scholar] [CrossRef]
- Bouzidi, M.; Benaissa, A.; Barkat, S. Hybrid direct power/current control using feedback linearization of three-level four-leg voltage source shunt active power filter. Int. J. Electr. Power Energy Syst. 2014, 61, 629–646. [Google Scholar] [CrossRef]
- Do, T.D.; Choi, H.H.; Jung, J.-W. Nonlinear Optimal DTC Design and Stability Analysis for Interior Permanent Magnet Synchronous Motor Drives. IEEE/ASME Trans. Mechatron. 2015, 20, 2716–2725. [Google Scholar] [CrossRef]
- Hu, J.; Nian, H.; Hu, B.; He, Y.; Zhu, Z.Q. Direct Active and Reactive Power Regulation of DFIG Using Sliding-Mode Control Approach. IEEE Trans. Energy Convers. 2010, 25, 1028–1039. [Google Scholar] [CrossRef]
- Huang, J.; Zhang, A.; Zhang, H.; Ren, Z.; Wang, J.; Zhang, L.; Zhang, C. Improved direct power control for rectifier based on fuzzy sliding mode. IEEE Trans. Control Syst. Technol. 2014, 22, 1174–1180. [Google Scholar] [CrossRef]
- Noguchi, T.; Tomiki, H.; Kondo, S.; Takahashi, I. Direct power control of PWM converter without power-source voltage sensors. IEEE Trans. Ind. Appl. 1998, 34, 473–479. [Google Scholar] [CrossRef]
- Bouafia, A.; Krim, F.; Gaubert, J.-P. Fuzzy-Logic-Based Switching State Selection for Direct Power Control of Three-Phase PWM Rectifier. IEEE Trans. Ind. Electron. 2009, 56, 1984–1992. [Google Scholar] [CrossRef]
- Eloy-García, J.; Alves, R. DSP-based direct power control of a VSC with voltage angle estimation. In Proceedings of the 2006 IEEE/PES Transmission & Distribution Conference and Exposition: Latin America, Caracas, Venezuela, 15–18 August 2006. [Google Scholar] [CrossRef]
- Debdouche, N.; Chebabhi, A.; Ouchen, S.; Zarour, L. Direct power control of three-level SAPF with space vector modulation for power quality improvement. In Proceedings of the 2022 19th International Multi-Conference on Systems, Signals & Devices (SSD), Sétif, Algeria, 6–10 May 2022; pp. 103–108. [Google Scholar] [CrossRef]
- Ouchen, S.; Steinhart, H.; Blaabjerg, F.; Benbouzid, M.; Betka, A.; Gaubert, J.P. Performance analysis of direct power control with space vector modulation for shunt active power filter. In Proceedings of the IECON2019—45th Annual Conference of the IEEE Industrial Electronics Society, Lisbon, Portugal, 14–17 October 2019. [Google Scholar] [CrossRef]
- Benbouhenni, H. Two-level DPC strategy based on FNN algorithm of the DFIG-DRWT systems using two-level hysteresis controllers for reactive and active powers. Renew. Energy Res. Appl. (RERA) 2021, 2, 137–146. [Google Scholar] [CrossRef]
- Behara, R.K.; Saha, A.K. Artificial Intelligence Control System Applied in Smart Grid Integrated Doubly Fed Induction Generator-Based Wind Turbine: A Review. Energies 2022, 15, 6488. [Google Scholar] [CrossRef]
- Benbouhenni, H. Application of DPC and DPC-GA to the dual-rotor wind turbine system with DFIG. Int. J. Robot. Autom. 2021, 10, 224–234. [Google Scholar] [CrossRef]
- Bengourina, M.R.; Rahli, M.; Slami, S.; Hassaine, L. PSO based Direct Power Control for a Multifunctional Grid Connected Photovoltaic System. Int. J. Power Electron. Drive Syst. (IJPEDS) 2018, 9, 610–621. [Google Scholar] [CrossRef]
- Osman, A.M.; Alsokhiry, F. Sliding Mode Control for Grid Integration of Wind Power System Based on Direct Drive PMSG. IEEE Access 2022, 10, 26567–26579. [Google Scholar] [CrossRef]
- Parvaresh, A.; Abrazeh, S.; Mohseni, S.-R.; Zeitouni, M.J.; Gheisarnejad, M.; Khooban, M.-H. A Novel Deep Learning Backstepping Controller-Based Digital Twins Technology for Pitch Angle Control of Variable Speed Wind Turbine. Designs 2020, 4, 15. [Google Scholar] [CrossRef]
- Benbouhenni, H.; Bizon, N. Terminal Synergetic Control for Direct Active and Reactive Powers in Asynchronous Generator-Based Dual-Rotor Wind Power Systems. Electronics 2021, 10, 1880. [Google Scholar] [CrossRef]
- Benbouhenni, H.; Bizon, N. Third-Order Sliding Mode Applied to the Direct Field-Oriented Control of the Asynchronous Generator for Variable-Speed Contra-Rotating Wind Turbine Generation Systems. Energies 2021, 14, 5877. [Google Scholar] [CrossRef]
- Ouchen, S.; Benbouzid, M.; Blaabjerg, F.; Betka, A.; Steinhart, H. Direct Power Control of Shunt Active Power Filter Using Space Vector Modulation Based on Supertwisting Sliding Mode Control. IEEE J. Emerg. Sel. Top. Power Electron. 2021, 9, 3243–3253. [Google Scholar] [CrossRef]
- Debdouche, N.; Zarour, L.; Chebabhi, A.; Deffaf, B.; Ouchen, S. Super Twisting Sliding Mode Direct Power Control of SAPF with Space Vector Modulation for Power Quality improvement. In Proceedings of the2022 2nd International Conference on Advanced Electrical Engineering (ICAEE), Constantine, Algeria, 29–31 October 2022; pp. 1–6. [Google Scholar] [CrossRef]
- Banakhr, F.A.; Mosaad, M.I. High performance adaptive maximum power point tracking technique for off-grid photovoltaic systems. Sci. Rep. 2021, 11, 20400. [Google Scholar] [CrossRef]
- Vasantharaj, S.; Indragandhi, V.; Subramaniyaswamy, V.; Teekaraman, Y.; Kuppusamy, R.; Nikolovski, S. Efficient Control of DC Microgrid with Hybrid PV—Fuel Cell and Energy Storage Systems. Energies 2021, 14, 3234. [Google Scholar] [CrossRef]
- Gajewski, P.; Pieńkowski, K. Control of the Hybrid Renewable Energy System with Wind Turbine, Photovoltaic Panels and Battery Energy Storage. Energies 2021, 14, 1595. [Google Scholar] [CrossRef]
- Maaruf, M.; Khan, K.; Khalid, M. Robust Control for Optimized Islanded and Grid-Connected Operation of Solar/Wind/Battery Hybrid Energy. Sustainability 2022, 14, 5673. [Google Scholar] [CrossRef]
- Yeasmin, S.; Roy, T.K.; Ghosh, S.K. Design of Robust Integral Terminal Sliding Mode Controllers with Exponential Reaching Laws for Solar PV and BESS-Based DC Microgrids with Uncertainties. Sustainability 2022, 14, 7802. [Google Scholar] [CrossRef]
- Hoon, Y.; Mohd Radzi, M.A.; Hassan, M.K.; Mailah, N.F. A Refined Self-Tuning Filter-Based Instantaneous Power Theory Algorithm for Indirect Current Controlled Three-Level Inverter-Based Shunt Active Power Filters under Non-sinusoidal Source Voltage Conditions. Energies 2017, 10, 277. [Google Scholar] [CrossRef]
- Hoon, Y.; Mohd Radzi, M.A.; Hassan, M.K.; Mailah, N.F. A Self-Tuning Filter-Based Adaptive Linear Neuron Approach for Operation of Three-Level Inverter-Based Shunt Active Power Filters under Non-Ideal Source Voltage Conditions. Energies 2017, 10, 667. [Google Scholar] [CrossRef]
- Ma, R.; Han, Y.; Pan, W. Variable-Gain Super-Twisting Sliding Mode Damping Control of Series-Compensated DFIG-Based Wind Power System for SSCI Mitigation. Energies 2021, 14, 382. [Google Scholar] [CrossRef]
- Singh, S.K.; Singh, R.; Ashfaq, H.; Sharma, S.K.; Sharma, G.; Bokoro, P.N. Super-Twisting Algorithm-Based Virtual Synchronous Generator in Inverter Interfaced Distributed Generation (IIDG). Energies 2022, 15, 5890. [Google Scholar] [CrossRef]
- Sami, I.; Ullah, S.; Ali, Z.; Ullah, N.; Ro, J.-S. A Super Twisting Fractional Order Terminal Sliding Mode Control for DFIG-Based Wind Energy Conversion System. Energies 2020, 13, 2158. [Google Scholar] [CrossRef]
- Benbouhenni, H.; Bizon, N.; Colak, I.; Thounthong, P.; Takorabet, N. Simplified Super Twisting Sliding Mode Approaches of the Double-Powered Induction Generator-Based Multi-Rotor Wind Turbine System. Sustainability 2022, 14, 5014. [Google Scholar] [CrossRef]
- Madasamy, P.; Pongiannan, R.K.; Ravichandran, S.; Padmanaban, S.; Chokkalingam, B.; Hossain, E.; Adedayo, Y. A Simple Multilevel Space Vector Modulation Technique and MATLAB System Generator Built FPGA Implementation for Three-Level Neutral-Point Clamped Inverter. Energies 2019, 12, 4332. [Google Scholar] [CrossRef]
- Beniak, R.; Górecki, K.; Paduch, P.; Rogowski, K. Reduced Switch Count in Space Vector PWM for Three-Level NPC Inverter. Energies 2020, 13, 5945. [Google Scholar] [CrossRef]
- Koganti, S.; Koganti, K.J.; Salkuti, S.R. Design of Multi-Objective-Based Artificial Intelligence Controller for Wind/Battery-Connected Shunt Active Power Filter. Algorithms 2022, 15, 256. [Google Scholar] [CrossRef]
- Asadi, Y.; Eskandari, M.; Mansouri, M.; Chaharmahali, S.; Moradi, M.H.; Tahriri, M.S. Adaptive Neural Network for a Stabi-lizing Shunt Active Power Filter in Distorted Weak Grids. Appl. Sci. 2022, 12, 8060. [Google Scholar] [CrossRef]
- NikkhahKashani, H.; RouhiArdeshiri, R.; Gheisarnejad, M.; Khooban, M.-H. Optimal Cascade Non-Integer Controller for Shunt Active Power Filter: Real-Time Implementation. Designs 2022, 6, 32. [Google Scholar] [CrossRef]
- Gao, H.; Zhang, W.; Ren, M.; Liu, X. Three-Level Active Power Filter Based on Model Predictive Control. Electronics 2022, 11, 1291. [Google Scholar] [CrossRef]
- Musa, S.; Radzi, M.A.M.; Hizam, H.; Wahab, N.I.A.; Hoon, Y.; Zainuri, M.A.A.M. Modified Synchronous Reference Frame Based Shunt Active Power Filter with Fuzzy Logic Control Pulse Width Modulation Inverter. Energies 2017, 10, 758. [Google Scholar] [CrossRef]
- Alali, M.A.E.; Shtessel, Y.B.; Barbot, J.-P.; Di Gennaro, S. Sensor Effects in LCL-Type Grid-Connected Shunt Active Filters Control Using Higher-Order Sliding Mode Control Techniques. Sensors 2022, 22, 7516. [Google Scholar] [CrossRef]
Disclaimer/Publisher’s Note: The statements, opinions and data contained in all publications are solely those of the individual author(s) and contributor(s) and not of MDPI and/or the editor(s). MDPI and/or the editor(s) disclaim responsibility for any injury to people or property resulting from any ideas, methods, instructions or products referred to in the content. |
© 2023 by the authors. Licensee MDPI, Basel, Switzerland. This article is an open access article distributed under the terms and conditions of the Creative Commons Attribution (CC BY) license (https://creativecommons.org/licenses/by/4.0/).



































