Abstract
With the gradual increases in the use of wind power and photovoltaic generation, the penetration rate of power electronics has increased in recent years. The inertia characteristics of power-electronic-based power sources are different from those of synchronous generators, making the evaluation of inertia difficult. In this paper, the inertia characteristics of power-electronic-based power sources are analyzed. A measurement-based inertia identification method for power-electronic-based power sources, as well as for high-power-electronic-penetrated power systems, is proposed by fitting the frequency and power data. The inertia characteristics of different control strategies and corresponding control parameters are discussed in a case study. It was proven that the inertia provided by power-electronic-based power sources can be much higher than that provided by a synchronous generator of the same capacity. It was also proven that the inertia provided by power-electronic-based power sources is not a constant value, but changes along with the output power of the sources.
1. Introduction
The replacement of traditional fossil power generation by renewable power generation is the key to dealing with environmental concerns. In recent years, the capacity of renewable energy sources (RESs), such as photovoltaics and wind power, has gradually increased [1]. For instance, the photovoltaic capacity of China increased from 3.4 GW to 393 GW during the past decade. RESs integrate with power grids through power electronic converters. Meanwhile, power-electronic-based devices, such as battery energy storage systems (BESSs) and high-voltage direct current (HVDC) transmission systems, are applied to promote renewable energy consumption. The abovementioned facts have resulted in a high penetration of power electronics in modern power systems. For a receiving-end power grid, RESs, HVDC systems, and BESSs can be considered power-electronic-based power sources (PEPSs).
In traditional power systems, synchronous generators (SGs) can release the rotational kinetic energy of the rotating shafts to impede frequency changes under power unbalances caused by faults or large load switching [2]. This kind of energy is also known as inertia. However, in high-power-electronic-penetrated modern power systems, PEPSs have no shaft system to release inertia (such as in photovoltaics, BESSs, and HVDC systems), or the shaft system is decoupled by converters (such as in wind power generators) [3]. These PEPSs cannot automatically provide inertia to the system and are regarded as “zero-inertia” power sources. High penetrations of “zero-inertia” power sources reduce the system inertia levels, and this weakens the frequency stability [4]. The South Australia power outage accident in 2016 is a typical example of such a situation. In this case, the penetration of RESs accounted for as high as 48.36% of the total capacity, leading to an insufficiency of system inertia. The power frequency dropped at a rate of 6.25 Hz/s in this accident [5].
To deal with the challenge of frequency instability caused by the integration of “zero-inertia” power sources, control techniques such as droop control, virtual inertia (VI) control, and virtual synchronous generator (VSG) control have been proposed [6,7]. Electronic converters can be controlled in two modes, known as the grid-forming mode and the grid-following mode [8,9]. The grid-following control converter operates in the form of current sources, and its output is controlled by the outer loop current reference. The grid-following source can provide frequency support to the system if frequency regulation control instructions are added [7]. Unlike the widely accepted and applied grid-following control, grid-forming control, particularly VSG control, has gained more attention in recent years and is still under discussion [10]. In grid-forming control, converters act as voltage sources such that the converter can respond instantaneously to system changes. The main control method for grid-forming sources is VSG control, which mimic the inertia and damping characteristic of generators. Thus, VSG units behave as a virtual inertia emulation when system frequency changes. Meanwhile, VSG control suffers the same issue of power fluctuations as do the SGs [11]. In summary, PEPSs with appropriate control strategies can provide inertia support for gird. In this paper, the PEPSs with additional inertia control are called virtual inertia power sources, and the term ‘virtual inertia’ is used to represent the energy released by virtual inertia power sources in inertia response.
Given the significant role of virtual inertia, it is essential to analyze the inertia characteristics of PEPSs under different control strategies, and to quantitatively evaluate the inertia level of the power-electronic-penetrated power system. At present, there is no mature theoretical method for studying the inertia characteristics of PEPSs. The work in [12] studied the dynamic performance of BESSs with different convertor controls and compared their frequency containment capabilities using evaluation indicators. However, Ref. [12] ignored the inertia characteristics analysis for BESSs and did not quantitatively evaluate their inertia support capabilities. In Ref. [13], an equivalent inertia estimation method for wind turbines was proposed on the basis of frequency dynamic response. Yet the method was not verified in a realistic system. Ref. [14] analyzed the inertia characteristics of photovoltaic converters based on generalized droop control by using the electrical torque analysis method, and the influences of control parameters on inertia characteristics were also analyzed in the study.
In addition, due to the application of wide-area measurement systems (WAMSs), the inertia levels of the grid or generating units can be estimated using actual system measurement data [15,16]. There has been some research on inertia estimation for power-electronic-penetrated power systems. In Ref. [17], the influence of HVDC systems on the inertia of power systems was considered. Refs. [18,19] considered the impact of wind power on inertia estimation. However, the above studies did not consider the actual inertia support of PEPSs under different control strategies and parameters.
Considering the aforementioned works, this paper analyzes the inertia characteristics of PEPSs by identifying their virtual inertia. Drawing from the inertia response mechanism, a system inertia identification method based on measurement data is proposed. The method is verified in a BESS-connected IEEE 39 bus system in which the inertia support provided by PEPSs has also been assessed.
The main contributions of this study are as follows:
- It reveals the nature of the virtual inertia of PEPSs and provides a defined expression for the equivalent inertia coefficient to reflect the actual inertia response of PEPSs.
- The inertia characteristics of PEPSs under different control strategies and control parameters are analyzed by the identification of equivalent inertia coefficients.
- It quantitatively assesses the inertia support provided by PEPS based on the proposed system inertia identification method.
The rest of the paper is organized as follows. Section 2 illustrates the similarities and differences between the virtual inertia of PEPSs and the inertia of SGs, and proposes the inertia calculation methods for high-power-electronic-penetrated power systems. Section 3 proposes the inertia identification method based on the polynomial fitting of frequency and power data curves. Section 4 subscribes the commonly used control strategies for PEPS converters. In Section 5, the validation of the proposed method is verified, and the inertia contribution of PEPSs is discussed. Conclusions are drawn in Section 6.
2. Inertia in High-Power-Electronic-Penetrated Power Systems
2.1. Inertia of a Synchronous Generator
In traditional power systems, inertia mainly comes from the rotational kinetic energy of synchronous generators. The rotational kinetic energy (EG) of an SG is provided by the following equation [20]:
where JG is the moment of inertia of the SG, ωG is the rotor speed, and fG is the rotor frequency.
The inertia time constant, also known as the inertia coefficient, is defined as the ratio of the rotational kinetic energy at rated conditions to its rated apparent power. The inertia time constant (HG) is expressed as follows:
where EG,n is the rotational kinetic energy at rated conditions, SG is the rated apparent power, and ωn is the rated rotor speed.
When the mechanical power and electrical power of a generator are unbalanced, the generator’s rotor speed will change. Due to the effect of inertia, the kinetic energy stored in the generator rotor is released, thus resisting the frequency change. Neglecting the influence of damping torque, the dynamic response of an synchronous generator can be expressed thus:
where Pm is the mechanical power of the synchronous generator and Pe is the electrical power. Typically, because frequency deviation is small, fG can be replaced by rated frequency fn:
Equation (4) is the swing equation, neglecting damping terms, which reflects the inertia response of SGs. From Equation (4), the inertia coefficient (HG) can be derived from its unbalanced power and RoCoF:
where ΔP is the unbalanced power of the SG.
Although the generator rotor stores a large amount of rotational kinetic energy, only a small portion of the stored rotational kinetic energy is released or absorbed during the inertia response due to the frequency deviation limitation. The energy absorbed or injected by the rotor of the generator into the system after a power disturbance (Eav) can be calculated by the following equation [21]:
where EG,n and EG,t represent the rotational kinetic energies of the SG under rated conditions and at a certain time t during the inertia response, respectively.
According to Equations (2) and (6), the expression for the energy released or absorbed by the generator rotor into the power system can be expressed thus:
From Equation (7), it can be seen that the inertia released by the SG after a large disturbance is not only determined by the inertia coefficient and rated capacity of the SG but also affected by the actual frequency deviation.
2.2. Virtual Inertia of PEPSs
PEPSs do not have rotating shafts, and so they cannot provide physical inertia for the power grid to which they are connected. However, PEPSs can provide frequency support when frequency control strategies are adopted for their converters. The energy provided by a PEPS does not come from the inertia of the actual rotor, so it is called virtual inertia. Therefore, in a high-power-electronic-penetrated power system, not only can SGs provide inertia, but PEPSs with additional inertia control can also provide inertia support for the grid.
The equivalent inertia coefficient (Heq) of a PEPS is defined to quantitatively characterize the suppression effect of the active output on frequency changes. Referring to the measurement method of the SG’s inertia coefficient mentioned above, the equivalent inertia coefficient (Heq) can be calculated using the following formula (8):
where Heq is the equivalent inertia coefficient of the PEPS (measured in seconds), Ses is the rated power of the PEPS, ΔPes is the unbalanced power of the PEPS, and fes is the virtual electrical frequency of the PEPS, usually equal to the frequency at the connection bus of the PEPS.
Analogous to Equations (2) and (7), the stored inertia and post-disturbance virtual inertia output of the PEPS can be expressed thus:
where Ees is the stored virtual inertia of the PEPS, Ees,t is the virtual inertia of the PEPS at time t, Heq is the equivalent inertia coefficient of the PEPS, Ses is the rated apparent power of the PEPS, and ft is the frequency of the PEPS at time t.
The PEPS equipped with virtual inertia needs to output an additional amount of power to impede frequency changes during disturbances. The energy output by the PEPS to achieve inertia support can be obtained by integrating the active power, as shown below:
where ΔEes represents the energy output by the PEPS and ΔPes represents the post-disturbance unbalanced power.
The equivalent inertia coefficient of a PEPS reflects the suppressive effect of its active power output on RoCoF during the inertia response. The equivalent inertia coefficients of PEPS are determined by the control strategies, control parameters, and circuit component parameters of the converter and are subject to the maximum output power of the converter. The equivalent inertia coefficient of a PEPS can be considered as the inertia coefficient of an SG with the same rated power. Additionally, the output energy of the PEPS should be equal to its virtual inertia. In other words, the results of Equations (10) and (11) should be consistent for the same time period.
2.3. Total Inertia of High-Power-Electronic-Penetrated Power Systems
The Center of Inertia (CoI) theory is mainly used for the transient stability analysis of entire power systems. According to the CoI theory, all generators in such a system can be represented as a large equivalent generator to describe the dynamic characteristics of the entire system. The system equivalent inertia coefficient Hsys is commonly used to measure the total inertia of the entire power system. In traditional power systems, inertia is mainly provided by SGs. The system inertia coefficient Hsys of traditional power systems is defined thus [22]:
where N is the number of SGs in the system, HG,i is the inertia constant of the i-th generator, and SG,i is the rated apparent power of the i-th generator.
The CoI frequency (fcoi) is defined as the weighted average of the frequencies of all generators in the system, with the inertia time constant as the weighting factor:
where fG,i and HG,i are the frequency and inertia time constant of the i-th SG, respectively.
When Equation (4) represents the swing equation of the equivalent generator, the frequency dynamic behavior of the power system can be expressed as follows:
where S is the total rated apparent power of the system’s generator, and Pm,i, Pe,i and ΔPG,i are the mechanical power, electrical power, and unbalanced power of the i-th SG, respectively.
The large-scale integration of PEPSs has changed the dynamic response of power systems. On the one hand, the integration of zero-inertia power sources will cause a decrease in system inertia, leading to frequency instability. On the other hand, control strategies such as VSG control make the converter output have inertia characteristics, and inject virtual inertia into the system, so that the system inertia has various forms such as rotational inertia and virtual inertia. Considering the impact of PEPSs, the calculation expression of the system equivalent inertia coefficient is modified. The equivalent inertia coefficient of a power system with PEPSs can be expressed thus:
where N represents the number of SGs, M represents the number of virtual inertia power sources, and R represents the number of zero-inertia power sources. HG,i and SG,i represent the inertia coefficient and rated apparent power of the i-th SG, respectively, Heq,j and Ses,j represent the inertia coefficient and rated apparent power of the j-th virtual inertia power sources, respectively, and Pk represents the active power of k-th zero-inertia power sources.
Based on Equation (15) and the CoI theory, the relationship between system inertia and CoI frequency can be expressed thus:
where ΔPG,i and ΔPes,j represent the power unbalances of the i-th SG and the j-th virtual inertia power source, respectively. S represents the total rated power of the system’s generating equipment, as shown below:
The CoI frequency of the high-power-electronic-penetrated power system is calculated by weighting the frequency of all generating equipment with inertia coefficients (or equivalent inertia coefficients):
where fG,i and fes,j represent the frequencies of SGs and the electric frequencies of PEPSs in the power system, respectively.
According to the Equation (16), the system inertia coefficient of high-power-electronic-penetrated power systems can be calculated by applying the total power unbalance of all generating equipment and the CoI frequency:
3. Inertia Identification Method Based on Polynomial Fitting of Measurement Data
Polynomial fitting is a simple and practical fitting method, and it helps to mitigate the impact of measurement-data noise and oscillation [20]. In this paper, the polynomial fitting is used to fit the active power and frequency measurement data, so as to identify the equivalent inertia coefficient of the PEPS or the system inertia coefficient of the power system. This study assumes that the required measurement data are available from the phase measurement unit (PMU).
Before the fitting carried out, the onset of the grid disturbance is identified by examining whether the absolute value of the RoCoF exceeds a preset threshold (for example, the threshold has been set to 0.05 Hz/s in [23]). This step is crucial in determining the starting point of the polynomial fitting.
This study uses the fixed-order polynomial fitting method to identify the equivalent inertia coefficients of PEPSs. The post-disturbance frequency measurement data is subjected to n1-th-order polynomial fitting, and the frequency fitting polynomial fes(t) can be expressed thus:
where t is the time (t ≥ 0, assuming that t0 = 0) and a0, a1, …, an1 are the fitted polynomial coefficients of the frequency data.
The power unbalance data of the PEPS is fitted with an n2-th-order polynomial to obtain the power fitting polynomial ΔPes, as shown in Equation (21).
where b0, b1, …, bn2 are the fitted polynomial coefficients of PEPS power.
Substituting the obtained fitting polynomial into Equation (8) yields the equivalent inertia coefficient of the PEPS:
It is worth noting that the power-frequency dynamic characteristics of PEPSs are influenced by the control and parameters of the converter. Therefore, the equivalent inertia coefficient Heq(t) of the PEPS is a function that varies with time.
To improve the identification accuracy of Hsys, this study refers to the variable-order polynomial fitting method proposed in [23]. Figure 1 shows the flowchart of the system inertia identification with the variable-order polynomial fitting method.
Figure 1.
Flow chart of inertia identification based on variable-order polynomial fitting.
Firstly, the CoI frequency and the total power unbalance of the generating units are calculated by processing the frequency and power measurements. The total active power unbalance fitting polynomial ΔP(t) is obtained by n3-th-order polynomial fitting:
where B0, B1, …, Bn3 are the coefficients of the power data fitting polynomial.
Typically, the instant of the disturbance (i.e., t = 0) is taken as the identification time. Set t = 0 to obtain the identified value of total active power unbalance ΔP at the instant of the disturbance. The maximum RoCoF is available from the measured frequency data. After obtaining RoCoFmax and ΔP, a rough estimate of the system inertia coefficient HRoCoF can be calculated using Equation (19). In case of low noise and low oscillation levels, HRoCoF is close to the actual system inertia coefficient. Therefore, HRoCoF is used as the benchmark value for the iterative convergence of the algorithms.
The next step is to initialize the starting order of the polynomial to n = 2. Then, a variable-order polynomial is fitted to the CoI frequency data from the 2-th-order, and the CoI frequency n-th-order polynomial can be expressed thus:
where A0, A1, …, An are the fitted polynomial coefficients of CoI frequency.
Based on the fitting curve, the post-disturbance RoCoF and active power unbalance are identified. The system inertia coefficient can be calculated thus:
Then, the calculated value (Hest,n) is compared with the rough estimated value (HRoCoF) and the estimated value in the last literation (Hest,n-1) to ensure that the estimate is within a reasonable limit. If the errors are smaller than their corresponding predefined tolerance values ε1 and ε2, then the loop terminates. If not, the loop continues with an increment in the order of the polynomial until convergence is met.
The order of polynomial fitting has a significant impact on the identification results. If the order is too small, the curve-fitting effect is poor. If the order is too large, it may cause overfitting, which also leads to poor identification results. Therefore, an upper limit nmax needs to be set. If the loop reaches the upper limit of the order and the error still cannot meet the requirements, the loop is terminated. The tolerance value can be increased until the loop converges. In Refs. [24,25], fifth-order and seventh-order polynomials are used to suppress the oscillatory components of frequency data, respectively. In this study, the upper limit of the order nmax was set at 12, and the tolerance values ε1 and ε2 were set at 0.3 s and 0.01 s, respectively.
The specific steps of the proposed inertia identification method are as follows:
- Step 1:
- Collect the frequency data and active power data of all generating units and determine the onset of the large disturbance.
- Step 2:
- Perform polynomial fitting on the frequency data and active power data of the PEPS, and identify the PEPS equivalent inertia coefficient according to Equation (22).
- Step 3:
- According to the data collected from each generating unit, the CoI frequency is calculated using Equation (18), and the total active power unbalance is also calculated.
- Step 4:
- The total active power unbalance and the CoI frequency are fitted by a variable-order polynomial iterative process to identify the system inertia coefficient.
4. Common Control Strategies for PEPSs
The power output of PEPS is primarily determined by control strategies and control parameters. This section introduces four typical converter control strategies and analyzes the active-frequency dynamic characteristics of different control strategies. Given the primary objective of this paper is to analyze the frequency characteristics of converters, the active-frequency control loop in each control strategy is described in detail.
Grid-connected converter control is mainly classified into two types: grid-following control and grid-forming control. In grid-following mode, the converter’s reference current is controlled by a phase-locked loop (PLL) to ensure synchronization between the grid-following source and the grid. The grid-following control method involves decoupling the control of active and reactive power in the outer loop [26]. Grid-following sources without additional frequency regulation control, such as in PQ control, can be approximated as constant power sources. If frequency regulation control instructions are added to an outer loop’s current reference, the concerned grid-following source can provide frequency support to the system. The active power-frequency droop control realizes frequency regulation by adding a frequency-deviation control instruction [7,8]. The VI control realizes inertia support by adding an inertia gain control instruction [7,8]. As is shown in Table 1, Kf represents the droop coefficient of droop control, and Tj represents the virtual inertia coefficient of VI control.
Table 1.
Comparison of common control strategies for PEPSs.
VSG control is a type of grid-forming control mode that introduces the swing equation of an SG in the control algorithm. The dynamic behavior of a VSG control converter is similar to that of an SG, involving inertia response and active power regulation. Meanwhile, VSG control has power oscillation issues in transient processes. The outer loop of VSG control consists of active and reactive power control modules, which generate the frequency (power angle) reference and voltage reference for the converter [27]. The inertia control parameter KH and the damping control parameter KD correspond to the inertia characteristics and damping characteristics of VSGs, respectively.
5. Case Study
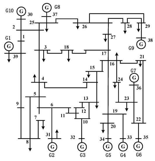
The test system used in the study was the IEEE 39-bus power system, which is shown in Figure 2, where “G” represents synchronous generator, and 1 to 39 represents different buses. The system includes generators G1–G10. G2–G5 are equipped with IEEE G3 hydroturbine governor models, each with a governor gain of 2 and a deadband of 0.03 Hz; G6–G9 are equipped with IEEE G3 hydroturbine governor models and have no primary frequency control; G10 is equipped with the IEEE G1 steam-turbine governor model with a governor gain of 2. The relevant parameters for each generator in the system are shown in Table 2.
Figure 2.
Topology diagram of the 39-bus power system.
Table 2.
Parameters of the generators of the 39-bus power system.
In this study, BESSs were used as representations for additional frequency control PEPSs. A BESS with a rated capacity of 80 MW/100.2 MWh was connected in bus29. The battery model used in the case study is provided in DIgSILENT/PowerFactory, and the battery model’s description can be seen in [28]. The wind turbine generator (WTG) adopts the Type 4 WTG generic model [29], which operates in a constant-power-output mode. A large disturbance fault was set at time 1 s, where the active power of load21 suddenly increased by 226 MW from 274 MW to 500 MW. This sudden active power increase caused a power unbalance and resulted in a system frequency drop.
5.1. Virtual Inertia Identification of PEPSs
5.1.1. Verification of the Accuracy of Virtual Inertia Identification
For an individual PEPS, Equations (20)–(22) form the theoretical basis for the virtual inertia identification of the PEPS. Therefore, the accuracy of the virtual inertia identification method can be reflected by the fitting degree of frequency and power data. To verify the accuracy and applicability of the virtual inertia identification method, taking the VSG-controlled BESS as an example, the fitting frequency and active power were compared with the corresponding measurements. The frequency-fitting curve and the power-fitting curve are shown in Figure 3.
Figure 3.
Curve fitting of measured frequency and active power. (a) Frequency fitting; (b) Active power fitting.
From Figure 3, it can be seen that the deviation between the actual frequency and the fitting frequency is within 0.001 Hz. Additionally, the deviation of the power data is within 0.05 MW. The fitting effect indicates that the method is able to accurately fit the measurement data for the identification of the equivalent inertia coefficient.
5.1.2. Inertia under Different VSG Control Parameters
The identified equivalent inertia coefficient Heq(t) can be derived from fitting frequency and fitting power. Figure 4 shows the curve of the VSG control equivalent inertia coefficient over time. The Heq(t) exhibits oscillation characteristics similar to those of the output power, fluctuating to some extent as the output power fluctuates but tending to stabilize as the output power stabilizes. Heq(t) reaches the first peak after approximately 1 s following a large disturbance and subsequently oscillates around the value of the inertia control parameter KH = 100. Due to the effects of converter control delay, Heq(0) cannot accurately reflect the inertia support capability of VSG control. Based on this reason, the obtained Heq(t) is sampled every 0.01 s from the first peak to the last valley point, discarding the part where the fault just occurred. The average value is taken as the identification value Heq of the equivalent inertia coefficient to characterize the inertia support capability of the VSG-controlled BESS. The identification value Heq of the VSG equivalent inertia coefficient is 101.33 s, which is slightly larger than the set value of the inertia control parameter KH = 100, with a deviation percentage of 1.33%. The main reasons for the error are the influence of power oscillation and errors in the fitting process. In addition, the frequency data of the BESS connection bus is used instead of the virtual frequency of the BESS to calculate the inertia identification value. In fact, the virtual frequency of the BESS and the connection bus frequency may not be completely consistent, and this affects the identification result of the equivalent inertia coefficient Heq(t).
Figure 4.
Heq(t) curve of VSG control.
To investigate the impact of the control parameter on VSG inertia support, two cases are set as follows:
- Case 1:
- Set KD to 1000 and KH to 50, 100, and 150;
- Case 2:
- Set KH to 100 and KD to 200, 600, and 1000.
It can be seen from Figure 5 that Heq(t) increases as KH increases, indicating that KH plays a significant role in the converter’s inertia support. The VSG damping control parameter KD has little influence on the equivalent inertia coefficient value, but increasing KD can reduce the oscillation amplitude of Heq(t), because the damping control parameter KD has a direct impact on the suppression of the active output oscillation.
Figure 5.
Heq(t) under different VSG control parameters: (a) changing KH and (b) changing KD.
The equivalent inertia coefficient identification value Heq, under different VSG control parameter combinations, is obtained according to the above average calculation method. The results are shown in Figure 6. It can be seen that KH plays a decisive role in inertia support, while KD has a relatively small impact in inertia support.
Figure 6.
The identification results of Heq under different VSG control parameters.
5.1.3. Inertia under Different Control Strategies
In order to analyze the inertia characteristics under different control strategies, the equivalent inertia coefficients of the BESS under different controls are identified in this section. Considering the constraints of BESS size [30], the control parameters are shown in Table 3.
Table 3.
Control parameters of various control.
The equivalent inertia coefficients of the various control strategies are identified by the proposed method, and the equivalent inertia coefficient Heq(t) curves of the corresponding control parameters are obtained as shown in Figure 7.
Figure 7.
Heq(t) under different control strategies.
From Figure 7, it can be seen that the output of PQ control is not affected by frequency changes. Thus, the Heq(t) of PQ control remains at zero. The Heq(t) of VI control responds similarly to that of the VSG control when there is no deadband or delay-time loop and the virtual inertia coefficient Tj is set to twice the inertia control coefficient KH. Droop control does not provide power output within the frequency deadband. However, once the frequency exceeds the deadband, it generates active power according to the frequency deviation, leading to a continuous increase in Heq(t). Therefore, it is difficult to quantitatively characterize the inertial effect of droop control with a constant. This proves that the Heq(t) of a PEPS is related to its control strategies. Even if the PEPS emulates the characteristics of a synchronous generator by using VSG control, its Heq(t) may not be constant due to its control period or control time-delay effect.
5.2. Inertia Identification of PEPS-Integrated Power Systems
5.2.1. Inertia under Different PEPS Compositions
When zero-inertia RESs are integrated with a power system, the inertia level of the system will be reduced, posing a threat to system frequency stability. However, on the grid side, a large-capacity VSG-controlled BESS can be directly connected to regulate the system frequency and improve the system’s inertia level.
To verify the effectiveness of the proposed method and quantitatively analyze the impact of PEPSs on system inertia, this section identifies the system inertia coefficients under different PEPS compositions. The specific scenario settings are as follows:
The inertia coefficient of G9 is set to 15 s.
- Scenario 1:
- All generating units are synchronous generators;
- Scenario 2:
- Replace G9 with 166 WTGs with a rated power of 5 MW per unit;
- Scenario 3:
- Replace G9 with 166 WTGs with a rated power of 5 MW per unit and configure the VSG-controlled BESS with the inertia control parameter KH set to 187.
Figure 8 shows the system frequency response curves for the three scenarios. The inertia identification results under different PEPS compositions are shown in Table 4.
Figure 8.
Frequency response before and after BESS is connected in a wind-power-integrated system.
Table 4.
Inertia identification under different PEPS compositions.
According to the results in Figure 8 and Table 4, it can be seen that after WTGs are integrated into the system, the Hsys of the system decreases by about 0.7 s, and the RoCoFmax increases. The integration of WTGs leads to a decrease in frequency stability. However, after the configuration of the VSG-controlled BESS, the system inertia is effectively supplemented. At this point, the system inertia coefficient is similar to that of the traditional system, and the inertia level is restored to that of a system without WTGs. Therefore, VSG-controlled BESSs has significant application value in power systems with high penetrations of RESs. The frequency response curves in Figure 8 and the inertia identification results in Table 4 verify the effectiveness of the proposed system-inertia-identification method.
5.2.2. Inertia under Different VSG Control Parameters of BESSs
As mentioned earlier, the inertia control parameter KH is directly related to the inertia support capability of the VSG-controlled BESS. Figure 9 displays the post-disturbance frequency dynamic response of the power system with BESSs configured with different inertia control parameters.
Figure 9.
Frequency response curves under different VSG control parameters KH.
From Figure 9, it can be seen that increasing the inertia control parameter can improve the system’s inertia support capability and thus improve the frequency stability of the system.
In order to quantitatively assess the inertia support capability of BESSs with different inertia control parameters, the power system inertia was identified by the proposed method in this paper. The identification and evaluation results are shown in Table 5.
Table 5.
Inertia identification under different VSG parameters.
In Table 5, the third column displays the “stored virtual inertia” provided by the BESS, and this is calculated by multiplying the equivalent inertia coefficient Heq by the rated apparent power of the BESS, according to Equation (11). From the perspective of system planning, the stored virtual inertia represents the inertia stored by the BESS if it is viewed as an equivalent generator. The stored virtual inertia of the VSG-controlled BESS is mainly determined by the control parameters rather than by the BESS’ capacity. This proves that the inertia provided by a BESS can be much higher than that of a synchronous generator of the same capacity.
From the perspective of an individual generating unit, it is observed that a larger KH results in a larger Heq. This indicates that if the BESS is viewed as an equivalent SG, its inertia coefficient is larger and its inertia support capability is better. From the perspective of the entire system, it can be seen from the results of Hsys identification that increasing the KH can improve the overall system inertia level. The inertia identification results can provide guidance for configuring control parameters according to system inertia requirements.
5.3. Energy Analysis of BESSs
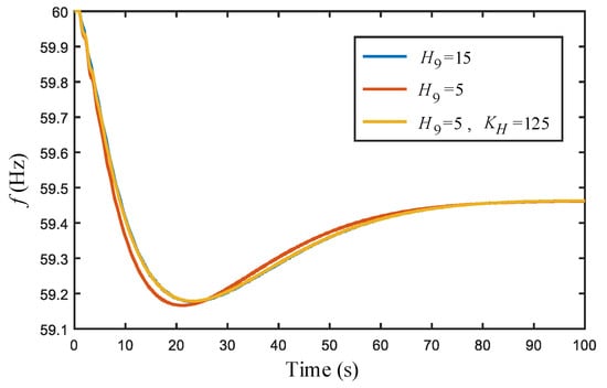
In a VSG-controlled BESS-connected power system, both the generator and BESS can absorb or inject energy into the system to provide inertia support when the system frequency changes. In order to verify the equivalence of virtual inertia, the inertia coefficient H9 of G9 is set to 15 s and 5 s to represent high-inertia and low-inertia systems, respectively. In the low-inertia system, the VSG-controlled BESS was connected with certain parameter configurations to make the frequency response curve as similar as possible to that of the high-inertia system’s frequency response curve.
Figure 10 shows the frequency response of the 39-bus system before and after a VSG-controlled BESS is configured. The inertia control parameter KH of the BESS is 125. It can be seen that the low-inertia system has a greater RoCoF and a lower-frequency nadir in the inertia response than the high-inertia system does. The yellow line shows that configuring the VSG-controlled BESS can significantly improve the inertia level of the system. After the VSG-controlled BESS is configured in the low-inertia system, the frequency response curve of the system is basically consistent with that of the high-inertia system, and the frequency nadir is very close: approximately 59.18 Hz for both systems.
Figure 10.
Frequency curve of the system with or without a VSG-controlled BESS.
Figure 11 shows that after the disturbance fault occurs, the VSG-controlled BESS immediately issues instructions to release active power to contain the frequency drop. Almost at the moment of disturbance, the active output of BESS reaches its maximum, and then decreases until the inertia response basically ends. By integrating the active power during the inertia response, the energy provided by the BESS can be obtained as follows:
Figure 11.
Active power curve of a VSG-controlled BESS.
According to Equation (7), the rotational kinetic energy provided by SGs in a high-inertia system and a low-inertia system can be calculated separately. EG,av1 and EG,av2 represent the rotational kinetic energy released by the generator in a high-inertia and low-inertia system, respectively. The reduction in rotational kinetic energy released by the generators is calculated as follows:
The reduction in rotational kinetic energy released by the synchronous generator (ΔEG,av) is approximately equal to the energy released by the BESS (Ees); i.e., the virtual inertia provided by the BESS just makes up for the reduction in the synchronous generator inertia, so that the frequency response curve of the low-inertia system is basically the same as the frequency response curve of the high-inertia system.
By utilizing the polynomial fitting method to identify the equivalent inertia coefficient of a BESS, the Heq is obtained as 128.04 s. According to Equation (10), the virtual inertia provided by a BESS in the inertia response is:
It can be seen that Ees is approximately equal to EBESS,av. The above analysis and calculations verify that VSG-controlled BESSs can provide inertia support like generators during the inertia response. A VSG-controlled BESS can be regarded as an SG with an inertia coefficient of Heq and a rated apparent power of Ses. The energy output from a BESS can be considered as the rotational kinetic energy released by the virtual rotor.
In addition, it is observed that the energy released to the system during the inertia response accounts for a small proportion of the actual capacity of a BESS. Therefore, the impact of the changes in the state of charge (SOC) need not be considered during the inertia response.
6. Conclusions
This paper starts from the physical viewpoint that power system inertia is the energy for impeding frequency changes and defines the concepts of virtual inertia and the equivalent inertia coefficient. Based on the theoretical analysis of inertia, an inertia identification method for high-power-electronic-penetrated power systems is proposed. The inertia characteristics of PEPSs under different strategies and parameters have been analyzed by using the proposed inertia identification method. The following conclusions are drawn based on the analyses in this paper.
Differing from what one might find in a synchronous generator, the virtual inertia provided by a PEPS is primarily affected by its control strategies and parameters. Thus, the inertia response effect of a PEPSs is time-varying. Even if the PEPS simulates the output characteristics of synchronous generators under VSG control, its equivalent inertia coefficient may not be a constant due to the impact of control periods or control time-delay effects.
The equivalent inertia coefficient of VSG control has certain fluctuations during output power fluctuations but tends to stabilize as output power stabilizes. Therefore, the inertia response effect of VSG control can be characterized by a constant that is close to the inertia control parameter. Additionally, the inertia control parameter KH plays a decisive role in inertia support.
The virtual inertia provided by VSG-controlled BESSs is equivalent to the inertia provided by synchronous generators. In high-power-electronic-penetrated power systems, the integration of zero-inertia RESs reduces system inertia levels, while VSG-controlled BESSs can compensate for the reduced inertia caused by integrating zero-inertia RESs.
The inertia identification method proposed in this paper can quantitatively assess the impact of PEPSs on power system inertia. The conclusions drawn in this paper can provide references for configuring power electronic equipment and its control parameters according to system inertia requirements.
Author Contributions
Conceptualization, J.M. and Y.L.; methodology, Z.X. and Y.G.; software, H.Y.; validation, Z.X.; formal analysis, L.W.; investigation, Z.X.; resources, H.Y.; data curation, H.Y.; writing—original draft preparation, Z.X.; writing—review and editing, J.M. and Y.L; visualization, Y.G.; supervision, Y.L.; project administration, J.M. and L.W.; funding acquisition, Y.L. and J.M.; All authors have read and agreed to the published version of the manuscript.
Funding
This research was funded by Youth Foundation of National Natural Science Foundation of China (NSFC), granted number 52007057, and Key Science and Technology Special Projects of Hunan Province, grant number 2020GK1011.
Data Availability Statement
The model data presented in this study are available in [IEEE Std C37.20.4-2001], where the modification. Parameters and simulation conditions that used in this study is given in manuscript.
Conflicts of Interest
The authors declare no conflict of interest.
References
- Alam, M.S.; Chowdhury, T.A.; Dhar, A.; Al-Ismail, F.S.; Choudhury, M.S.H.; Shafiullah, M.; Hossain, M.I.; Hossain, M.A.; Ullah, A.; Rahman, S.M. Solar and wind energy integrated system frequency control: A critical review on recent developments. Energies 2023, 16, 812. [Google Scholar] [CrossRef]
- Bevrani, H.; Golpira, H.; Messina, A.R.; Hatziargyriou, N.; Milano, F.; Ise, T. Power system frequency control: An updated review of current solutions and new challenges. Electr. Power Syst. Res. 2021, 194, 107114. [Google Scholar] [CrossRef]
- Qiang, L.; Bixing, R.; Weijia, T.; Dajiang, W.; Chenggen, W.; Zhenhua, L. Analyzing the inertia of power grid systems comprising diverse conventional and renewable energy sources. Energy Rep. 2022, 8, 15095–15105. [Google Scholar]
- Ulbig, A.; Borsche, T.S.; Andersson, G. Impact of low rotational inertia on power system stability and operation. IFAC Proc. Vol. 2014, 47, 7290–7297. [Google Scholar] [CrossRef]
- AEMO. Update Report—Black System Event in South Australia on 28 September 2016. Technical Report. 2016. Available online: https://apo.org.au/sites/default/files/resource-files/2016-10/apo-nid68095.pdf (accessed on 23 March 2023).
- Tamrakar, U.; Shrestha, D.; Maharjan, M.; Bhattarai, B.P.; Hansen, T.M.; Tonkoski, R. Virtual inertia: Current trends and future directions. Appl. Sci. 2017, 7, 654. [Google Scholar] [CrossRef]
- Abuagreb, M.; Allehyani, M.F.; Johnson, B.K. Overview of Virtual Synchronous Generators: Existing Projects, Challenges, and Future Trends. Electronics 2022, 11, 2843. [Google Scholar] [CrossRef]
- Rocabert, J.; Luna, A.; Blaabjerg, F.; Rodriguez, P. Control of power converters in AC microgrids. IEEE Trans. Power Electron. 2012, 27, 4734–4749. [Google Scholar] [CrossRef]
- Paolone, M.; Gaunt, T.; Guillaud, X.; Liserre, M.; Vournas, C. Fundamentals of power systems modelling in the presence of converter-interfaced generation. Electr. Power Syst. Res. 2020, 189, 106811. [Google Scholar] [CrossRef]
- Unruh, P.; Nuschke, M.; Strauß, P.; Welck, F. Overview on Grid-Forming Inverter Control Methods. Energies 2020, 13, 2589. [Google Scholar] [CrossRef]
- Suvorov, A.; Askarov, A.; Kievets, A.; Rudnik, V. A comprehensive assessment of the state-of-the-art virtual synchronous generator models. Electr. Power Syst. Res. 2022, 209, 108054. [Google Scholar] [CrossRef]
- Zuo, Y.; Yuan, Z.; Sossan, F.; Zecchino, A.; Cherkaoui, R.; Paolone, M. Performance assessment of grid-forming and grid-following converter-interfaced battery energy storage systems on frequency regulation in low-inertia power grids. Sustain. Energy Grids Netw. 2021, 27, 100496. [Google Scholar] [CrossRef]
- Zhang, N.; Zhu, X.; Wang, D.; Wu, X.; Bu, J. Estimation and Influencing Factors Analysis for Equivalent Inertia of Wind Turbines with Active Inertia Support. In Proceedings of the 2022 7th Asia Conference on Power and Electrical Engineering (ACPEE), Hangzhou, China, 15–17 April 2022. [Google Scholar]
- Zha, Y.; Lin, J.; Li, G.; Wang, Y.; Zhang, Y. Analysis of Inertia Characteristics of Photovoltaic Power Generation System Based on Generalized Droop Control. IEEE Access 2021, 9, 37834–37839. [Google Scholar] [CrossRef]
- Rossetto Moraes, G.; Ilea, V.; Berizzi, A.; Pisani, C.; Giannuzzi, G.; Zaottini, R. A Perturbation-based methodology to estimate the equivalent inertia of an area monitored by PMUs. Energies 2021, 14, 8477. [Google Scholar] [CrossRef]
- Nozal, L.; Kontis, E.O.; Mauricio, J.M.; Demoulias, C.S. Provision of inertial response as ancillary service from active distribution networks to the transmission system. IET Gener. Transm. Distrib. 2020, 14, 5123–5134. [Google Scholar] [CrossRef]
- Hu, L.; Li, Y.; Wang, W.; Tan, Y.; Cao, Y.; Lee, K. Inertia estimation of power grid with VSC-MTDC system. IFAC-PapersOnLine 2018, 51, 197–202. [Google Scholar] [CrossRef]
- Sun, F.; Sun, J.; Zhang, X.; Yang, H.; Qian, X.; Peng, Y. Measurement method of inertia constant of power system based on large-scale wind power grid connection. Energy Rep. 2022, 8, 200–209. [Google Scholar] [CrossRef]
- Beltran, O.; Pea, R.; Segundo, J.; Esparza, A.; Muljadi, E.; Wenzhong, D. Inertia estimation of wind power plants based on the swing equation and phasor measurement units. Appl. Sci. 2018, 8, 12. [Google Scholar] [CrossRef]
- Dimoulias, S.C.; Kontis, E.O.; Papagiannis, G.K. Inertia estimation of synchronous devices: Review of available techniques and comparative assessment of conventional measurement-based approaches. Energies 2022, 15, 7767. [Google Scholar] [CrossRef]
- Spahic, E.; Varma, D.; Beck, G.; Kuhn, G.; Hild, V. Impact of reduced system inertia on stable power system operation and an overview of possible solutions. In Proceedings of the 2016 IEEE Power and Energy Society General Meeting (PESGM), Boston, MA, USA, 17–21 July 2016. [Google Scholar]
- Carlini, E.M.; Pizzo, F.D.; Giannuzzi, G.M.; Lauria, D.; Pisani, C. Online analysis and prediction of the inertia in power systems with renewable power generation based on a minimum variance harmonic finite impulse response filter. Int. J. Electr. Power Energy Syst. 2021, 131, 107042. [Google Scholar] [CrossRef]
- Phurailatpam, C.; Rather, Z.H.; Bahrani, B.; Doolla, S. Measurement based estimation of inertia in AC microgrids. IEEE Trans. Sustain. Energy 2019, 11, 1975–1984. [Google Scholar] [CrossRef]
- Ashton, P.M.; Taylor, G.A.; Carter, A.M.; Bradley, M.E.; Hung, W. Application of phasor measurement units to estimate power system inertial frequency response. In Proceedings of the 2013 IEEE Power & Energy Society General Meeting, Vancouver, BC, Canada, 21–25 July 2013. [Google Scholar]
- Wang, B.; Sun, H.; Li, W.; Yang, C.; Wei, W.; Zhao, B.; Xu, S. Power system inertia estimation method based on maximum frequency deviation. IET Renew. Power Gener. 2022, 16, 622–633. [Google Scholar] [CrossRef]
- Wang, D.; Yan, Y.; Shen, Y.; Hu, Z. Active and Reactive Power Coupling Characteristics Based Inertial and Primary Frequency Control Strategy of Battery Energy Storage Station. In Proceedings of the 2020 12th IEEE PES Asia-Pacific Power and Energy Engineering Conference (APPEEC), Nanjing, China, 20–23 September 2020. [Google Scholar]
- Mallemaci, V.; Mandrile, F.; Rubino, S.; Mazza, A.; Carpaneto, E.; Bojoi, R. A comprehensive comparison of Virtual Synchronous Generators with focus on virtual inertia and frequency regulation. Electr. Power Syst. Res. 2021, 201, 107516. [Google Scholar] [CrossRef]
- Adrees, A.; Milanovic, J.V. Study of frequency response in power system with renewable generation and energy storage. In Proceedings of the 2016 Power Systems Computation Conference (PSCC), Genoa, Italy, 20–24 June 2016. [Google Scholar]
- Srensen, P.; Andresen, B.; Fortmann, J.; Pourbeik, P. Modular structure of wind turbine models in IEC 61400-27-1. In Proceedings of the 2013 IEEE Power & Energy Society General Meeting, Vancouver, BC, Canada, 21–25 July 2013. [Google Scholar]
- Abuagreb, M.; Abuhussein, A.; Alzahir, S. Sizing of Energy Storage System for Virtual Inertia Emulation. In Proceedings of the 2022 IEEE 31st International Symposium on Industrial Electronics (ISIE), Anchorage, AK, USA, 1–3 June 2022. [Google Scholar]
Disclaimer/Publisher’s Note: The statements, opinions and data contained in all publications are solely those of the individual author(s) and contributor(s) and not of MDPI and/or the editor(s). MDPI and/or the editor(s) disclaim responsibility for any injury to people or property resulting from any ideas, methods, instructions or products referred to in the content. |
© 2023 by the authors. Licensee MDPI, Basel, Switzerland. This article is an open access article distributed under the terms and conditions of the Creative Commons Attribution (CC BY) license (https://creativecommons.org/licenses/by/4.0/).



