An Automated and Interpretable Machine Learning Scheme for Power System Transient Stability Assessment
Abstract
1. Introduction
- (i)
- To realize successful application, human experts are heavily involved in the four steps of ML, i.e., feature engineering, model selection, hyperparameter optimization, and performance evaluation, especially hyperparameter optimization [20]. Existing work on ML-based TSA assumes that the predefined input features and parameters of the trained model are always optimal for application. However, this assumption may not be true for power systems due to many practical issues, such as model updating, topology change, and variation of operating conditions. Since human experts are usually limited, to improve the accuracy and adaptability, many repeated manual feature adjustments and much heuristic parameter tuning are required during the debugging of ML-based TSA. This is highly tedious, inefficient, and time-consuming [21].
- (ii)
- On the other hand, the state-of-the-art ML-based TSA approaches have relatively poor transparency, because their models establish the mapping capability through black-box structures, such as deep learning and ensemble learning algorithms [12,13,15]. It is difficult for power system operators to interpret the behaviors of complex ML models and understand how particular decisions are made by these models. Hence, the uninterpretable results produced by ML-based TSA are often not actionable. This lack of interpretability has thus limited the use of ML-based TSA approaches in power industries.
- (i)
- An AutoML scheme is designed for online TSA, which consists of auto-feature selection, CatBoost, Bayesian optimization, and performance evaluation. To ensure the best performance of the CatBoost-based ensemble learning, auto-feature selection and Bayesian optimization are introduced to automatically determine the best input features and optimal hyperparameters, respectively. By leveraging the adopted techniques, performance improvement is achieved while saving a substantial amount of time for manual feature adjustments and heuristic parameter tuning.
- (ii)
- To address the interpretability issue, this paper introduces SHAP to interpret the outputs of the proposed AutoML-based TSA. The impact of each input feature on AutoML’s prediction is represented using SHAP values. The distribution of the SHAP values about the feature with a significant impact on the obtained prediction can provide additional insights into the decision interpretation.
2. Automated Machine Learning
2.1. Auto-Feature Selection
2.2. CatBoost
2.3. Bayesian Optimization
2.4. Evaluation Indices
3. Proposed AutoML-Based TSA with Interpretability Analysis
3.1. Offline Training
- (1)
- Historical PMU data and fault recordings are used as the dataset for offline training. When historical data is insufficient, simulation can be conducted to obtain a certain amount of dataset. The postfault system stability can be determined by the transient stability index (TSI) [16]:where denotes the absolute value of the maximum angle deviation of any two generators. The system is considered stable only when η > 0. Combining historical and offline simulation data, a sample dataset with diversity can be obtained.
- (2)
- The comprehensive dataset is divided into a training set and a validation set to test the performance of the AutoML-based TSA.
- (3)
- During the offline training process of CatBoost, the individual impact factor fIF of each original input feature (i.e., active and reactive power of transmission lines, phase angle, voltage amplitude [11]) is calculated by Equation (1). Then, critical features are automatically selected as input features based on impact factor fIF and threshold value p.
- (4)
- Bayesian optimization is used to automatically search the optimal hyperparameters of the CatBoost learning model. Because TSA is a non-equilibrium classification problem, i.e., unstable samples rarely appear in practice, the AutoML’s capability to recognize transient instability may be greatly affected if only one single indicator (i.e., accuracy) is used as the objective. To obtain better performance of the CatBoost learning model, we introduce multiple indices (i.e., Accuracy, Recall, AUC) into the objective function:where wj is the weight of the j-th evaluation index; p1, p2, p3, and p4 represent the parameters of CatBoost, i.e., learning rate, l2 leaf regularization (l2_leaf_reg), the maximum depth of trees (max_depth), and the number of estimators (n_estimators). As the unstable status judged to be stable will cause cascading failure or even widespread blackout, the capability to accurately identify unstable samples (Recall) needs more attention in the hyperparameter optimization. Hence, the weight of Recall in the objective function (16) should be set larger than those of Accuracy and AUC. Through the GP and POI mechanism, Bayesian optimization iteratively validates hyperparameter combinations to maximize the objective function with multiple indices.
3.2. Online Application
3.3. Interpretability Analysis
| Algorithm 1. The process of interpretability analysis |
| Input:f(x)—Trained AutoML model; X_train—Trained data; X_e—A stable or unstable instance that needs to be explained. Output: SHAP values for each input system features 1: Train an explainer through (f(x), X_train) 2: for each i ∈ input features(X_train) do 3: Use EXPVALUE method to estimate E[f(x)│xS] 4: procedure EXPVALUE(x, S, tree) 5: procedure G(j, w) 6: if vj ≠ internal then 7: return 8: else 9: if dj ϵ S then 10: return G(aj, w) if xdj ≤ tj else G(bj, w) 11: else 12: return G(aj, wraj/rj) + G(bj, wrbj/rj) 13: return G(1,1) 14: end procedure 15: end procedure 14: Calculating attribute values ɸi by (19) 15: Establishing an explanation model g by (18) 16: return g 17: Interpretability for X_e 18: for each i ∈ input system features(X_e) do 19: SHAP values [i] ← explainer.shapvalues(X_e, i) 20: return SHAP values [i] 21: A certain predicted status of the power system can be interpreted based on the sum of SHAP values [i]. |
4. Case Study
4.1. Database Generation
4.2. The Selection of Important Features
4.3. Bayesian Optimization
4.4. Comparison of the Classifiers’ Performance
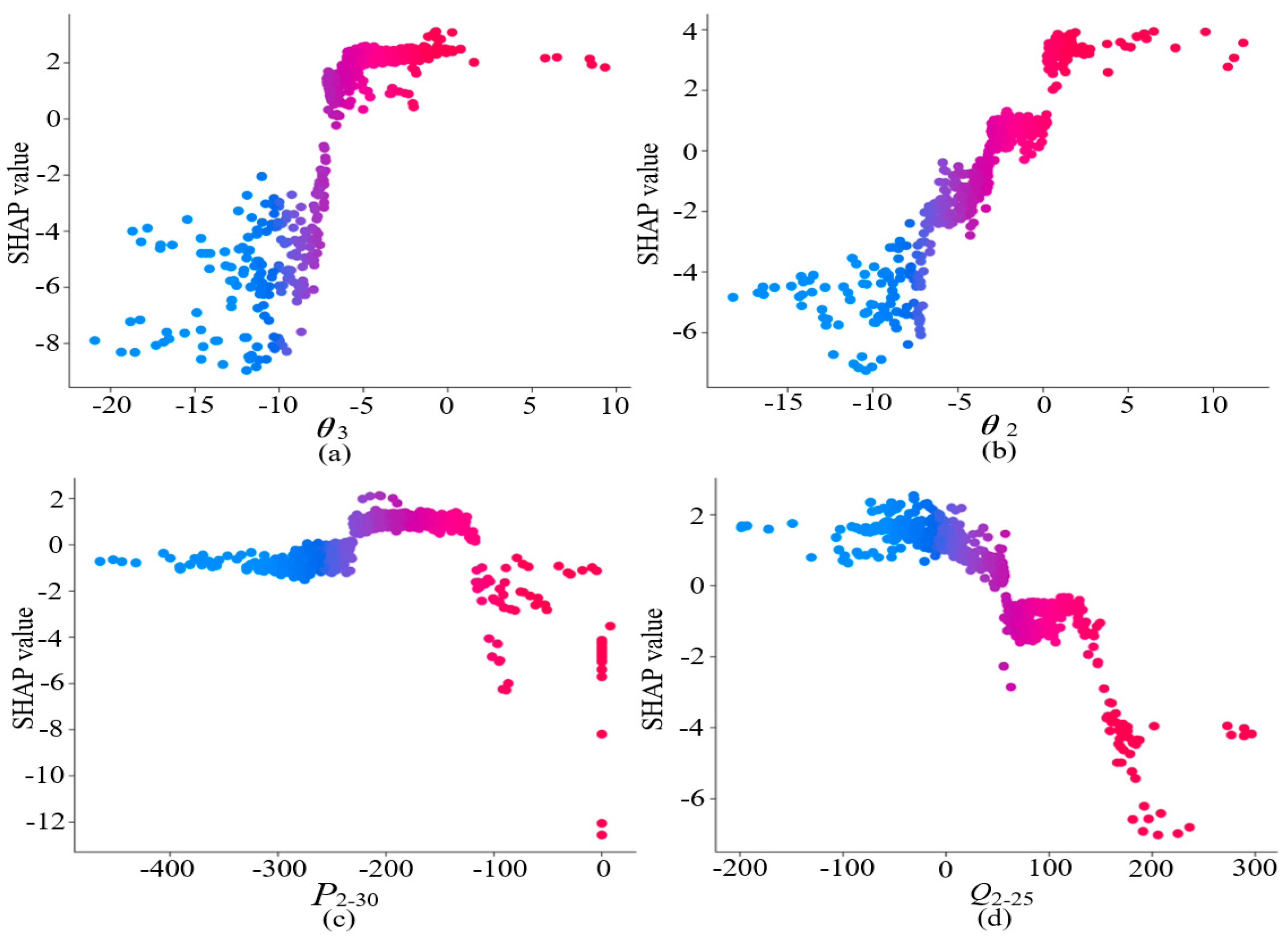
4.5. Interpretability Analysis
5. Conclusions
Author Contributions
Funding
Institutional Review Board Statement
Informed Consent Statement
Data Availability Statement
Conflicts of Interest
References
- Wen, Y.; Zhan, J.; Chung, C.Y.; Li, W. Frequency Stability Enhancement of Integrated AC/VSC-MTDC Systems With Massive Infeed of Offshore Wind Generation. IEEE Trans. Power Syst. 2018, 33, 5135–5146. [Google Scholar] [CrossRef]
- Bueno, P.G.; Hernández, J.C.; Ruiz-Rodriguez, F.J. Stability assessment for transmission systems with large utility-scale photovoltaic units. IET Renew. Power Gener. 2016, 10, 584–597. [Google Scholar] [CrossRef]
- Liu, Y.; Wang, J.; Yue, Z. Improved Multi-point estimation method based probabilistic transient stability assessment for power system with wind power. Int. J. Electr. Power Energy Syst. 2022, 142, 108283. [Google Scholar] [CrossRef]
- Kundur, P. Power System Stability and Control; McGraw-Hill, Inc.: New York, NY, USA, 1994; ISBN 978-0070-35958-1. [Google Scholar]
- Rahimi, F.A.; Lauby, M.G.; Wrubel, J.N.; Lee, K.L. Evaluation of the transient energy function method for on-line dynamic security analysis. IEEE Trans. Power Syst. 1993, 8, 497–507. [Google Scholar] [CrossRef]
- Xue, Y.; Van Custem, T.; Ribbens-Pavella, M. Extended equal area criterion justifications, generalizations, applications. IEEE Trans. Power Syst. 1989, 4, 44–52. [Google Scholar] [CrossRef]
- Tang, L.; Sun, W. An Automated Transient Stability Constrained Optimal Power Flow Based on Trajectory Sensitivity Analysis. IEEE Trans. Power Syst. 2017, 32, 590–599. [Google Scholar] [CrossRef]
- Xu, Y.; Dong, Z.Y.; Zhang, R.; Xue, Y.; Hill, D.J. A Decomposition-Based Practical Approach to Transient Stability-Constrained Unit Commitment. IEEE Trans. Power Syst. 2015, 30, 1455–1464. [Google Scholar] [CrossRef]
- Gurusinghe, D.R.; Rajapakse, A.D. Post-Disturbance Transient Stability Status Prediction Using Synchrophasor Measurements. IEEE Trans. Power Syst. 2016, 31, 3656–3664. [Google Scholar] [CrossRef]
- Yu, J.J.Q.; Hill, D.J.; Lam, A.Y.S.; Gu, J.; Li, V.O.K. Intelligent Time-Adaptive Transient Stability Assessment System. IEEE Trans. Power Syst. 2018, 33, 1049–1058. [Google Scholar] [CrossRef]
- Xu, Y.; Dong, Z.; Meng, K.; Zhang, R.; Wong, K. Real-time transient stability assessment model using extreme learning machine. IET Gener. Transm. Distrib. 2011, 5, 314–322. [Google Scholar] [CrossRef]
- Yan, R.; Geng, G.; Jiang, Q.; Li, Y. Fast Transient Stability Batch Assessment Using Cascaded Convolutional Neural Networks. In Proceedings of the 2020 IEEE Power & Energy Society General Meeting (PESGM), Montreal, QC, Canada, 2–6 August 2020; IEEE: Montreal, QC, Canada, 2020; pp. 2802–2813. [Google Scholar]
- Zhu, L.; Hill, D.J.; Lu, C. Hierarchical Deep Learning Machine for Power System Online Transient Stability Prediction. IEEE Trans. Power Syst. 2020, 35, 2399–2411. [Google Scholar] [CrossRef]
- He, M.; Vittal, V.; Zhang, J. Online dynamic security assessment with missing pmu measurements: A data mining approach. IEEE Trans. Power Syst. 2013, 28, 1969–1977. [Google Scholar] [CrossRef]
- Zhang, Y.; Xu, Y.; Dong, Z.Y. Robust Ensemble Data Analytics for Incomplete PMU Measurements-Based Power System Stability Assessment. IEEE Trans. Power Syst. 2018, 33, 1124–1126. [Google Scholar] [CrossRef]
- Wang, H.; Hu, L.; Zhang, Y. SVM based imbalanced correction method for Power Systems Transient stability evaluation. ISA Trans. 2022. [Google Scholar] [CrossRef] [PubMed]
- Wang, Q.; Pang, C.; Qian, C. Sparse Dictionary Learning for Transient Stability Assessment. Front. Energy Res. 2022, 10, 932770. [Google Scholar] [CrossRef]
- Zhang, R.; Yao, W.; Shi, Z.; Zeng, L.; Tang, Y.; Wen, J. A graph attention networks-based model to distinguish the transient rotor angle instability and short-term voltage instability in power systems. Int. J. Electr. Power Energy Syst. 2022, 137, 107783. [Google Scholar] [CrossRef]
- Zhou, Y.; Zhang, P. Noise-Resilient Quantum Machine Learning for Stability Assessment of Power Systems. IEEE Trans. Power Syst. 2023, 38, 475–487. [Google Scholar] [CrossRef]
- He, X.; Zhao, K.; Chu, X. AutoML: A survey of the state-of-the-art. Knowl.-Based Syst. 2021, 212, 106622. [Google Scholar] [CrossRef]
- Li, Z.; Guo, H.; Wang, W.M.; Guan, Y.; Barenji, A.V.; Huang, G.Q.; McFall, K.S.; Chen, X. A Blockchain and AutoML Approach for Open and Automated Customer Service. IEEE Trans. Ind. Inform. 2019, 15, 3642–3651. [Google Scholar] [CrossRef]
- Tuggener, L.; Amirian, M.; Rombach, K.; Lörwald, S.; Varlet, A.; Westermann, C.; Stadelmann, T. Automated Machine Learning in Practice: State of the Art and Recent Results. In Proceedings of the 2019 6th Swiss Conference on Data Science (SDS), Bern, Switzerland, 14 June 2019; pp. 31–36. [Google Scholar]
- Lundberg, S.M.; Lee, S.-I. A Unified Approach to Interpreting Model Predictions. In Proceedings of the Advances in Neural Information Processing Systems, Long Beach, CA, USA, 4–9 December 2017; Guyon, I., Luxburg, U.V., Bengio, S., Wallach, H., Fergus, R., Vishwanathan, S., Garnett, R., Eds.; Curran Associates, Inc.: Red Hook, NY, USA, 2017; Volume 30. [Google Scholar]
- Feature Importance. Available online: https://catboost.ai/en/docs/concepts/fstr (accessed on 16 March 2022).
- Anuradha, P.; David, V.K. Feature Selection and Prediction of Heart Diseases Using Gradient Boosting Algorithms. In Proceedings of the 2021 International Conference on Artificial Intelligence and Smart Systems (ICAIS), Coimbatore, India, 25–27 March 2021; pp. 711–717. [Google Scholar]
- Prokhorenkova, L.; Gusev, G.; Vorobev, A.; Dorogush, A.V.; Gulin, A. CatBoost: Unbiased Boosting with Categorical Features. In Proceedings of the Advances in Neural Information Processing Systems, Montreal, QC, Canada, 3–8 December 2018; Bengio, S., Wallach, H., Larochelle, H., Grauman, K., Cesa-Bianchi, N., Garnett, R., Eds.; Curran Associates, Inc.: Red Hook, NY, USA, 2018; Volume 31. [Google Scholar]
- Punmiya, R.; Choe, S. Energy Theft Detection Using Gradient Boosting Theft Detector With Feature Engineering-Based Preprocessing. IEEE Trans. Smart Grid 2019, 10, 2326–2329. [Google Scholar] [CrossRef]
- Deng, K.; Zhang, X.; Cheng, Y.; Zheng, Z.; Jiang, F.; Liu, W.; Peng, J. A remaining useful life prediction method with long-short term feature processing for aircraft engines. Appl. Soft Comput. 2020, 93, 106344. [Google Scholar] [CrossRef]
- Shahriari, B.; Swersky, K.; Wang, Z.; Adams, R.P.; de Freitas, N. Taking the Human Out of the Loop: A Review of Bayesian Optimization. Proc. IEEE 2016, 104, 148–175. [Google Scholar] [CrossRef]
- van Hoof, J.; Vanschoren, J. Hyperboost: Hyperparameter Optimization by Gradient Boosting Surrogate Models 2021. arXiv 2021, arXiv:2101.02289. [Google Scholar]
- Wang, R.; Liu, Y.; Ye, X.; Tang, Q.; Gou, J.; Huang, M.; Wen, Y. Power System Transient Stability Assessment Based on Bayesian Optimized LightGBM. In Proceedings of the 2019 IEEE 3rd Conference on Energy Internet and Energy System Integration (EI2), Changsha, China, 8–10 November 2019; IEEE: Changsha, China, 2019; pp. 263–268. [Google Scholar]
- Lyu, W.; Xue, P.; Yang, F.; Yan, C.; Hong, Z.; Zeng, X.; Zhou, D. An Efficient Bayesian Optimization Approach for Automated Optimization of Analog Circuits. IEEE Trans. Circuits Syst. I Regul. Pap. 2018, 65, 1954–1967. [Google Scholar] [CrossRef]
- Li, X.; Liu, C.; Guo, P.; Liu, S.; Ning, J. Deep learning-based transient stability assessment framework for large-scale modern power system. Int. J. Electr. Power Energy Syst. 2022, 139, 108010. [Google Scholar] [CrossRef]
- Bradley, A.P. The use of the area under the ROC curve in the evaluation of machine learning algorithms. Pattern Recognit. 1997, 30, 1145–1159. [Google Scholar] [CrossRef]
- Shap PyPI. Available online: https://pypi.org/project/shap/ (accessed on 22 May 2022).









| System | No. of Instances | Unstable Instances | Stable Instances | Raw Features | Selected Features |
|---|---|---|---|---|---|
| 39-bus | 3668 | 973 | 2695 | 170 | 36 |
| 118-bus | 6781 | 1394 | 5387 | 586 | 37 |
| PPG | 9495 | 2705 | 7920 | 828 | 45 |
| Method | System | Tuning Time | Accuracy/% | Recall/% | AUC/% |
|---|---|---|---|---|---|
| BO | 39-bus | 93.1 s | 98.77 | 98.44 | 98.67 |
| GS | 39-bus | 25 h | 98.36 | 97.39 | 97.86 |
| RS | 39-bus | 214.7 s | 98.36 | 96.87 | 97.63 |
| BO | 118-bus | 102.3 s | 97.19 | 96.80 | 97.08 |
| GS | 118-bus | 25 h | 97.13 | 96.09 | 96.74 |
| RS | 118-bus | 220.3 s | 96.46 | 96.08 | 96.32 |
| BO | PPG | 114.1 s | 97.85 | 96.22 | 97.23 |
| GS | PPG | 26 h | 97.51 | 95.41 | 96.84 |
| RS | PPG | 256.8 s | 97.18 | 94.71 | 96.39 |
| Method | System | Accuracy/% | Recall/% | AUC/% |
|---|---|---|---|---|
| AutoML | 39-bus | 98.77 | 98.44 | 98.67 |
| LSTM | 39-bus | 97.57 | 95.92 | 97.04 |
| XGBoost | 39-bus | 97.68 | 95.83 | 98.09 |
| RF | 39-bus | 96.19 | 94.55 | 95.71 |
| DT | 39-bus | 95.43 | 91.51 | 94.39 |
| AutoML | 118-bus | 97.20 | 96.80 | 97.05 |
| LSTM | 118-bus | 95.58 | 93.23 | 94.71 |
| XGBoost | 118-bus | 95.51 | 95.30 | 95.45 |
| RF | 118-bus | 94.85 | 94.67 | 94.78 |
| DT | 118-bus | 93.37 | 90.75 | 92.40 |
| AutoML | PPG | 97.85 | 96.22 | 97.23 |
| LSTM | PPG | 96.57 | 92.94 | 95.42 |
| XGBoost | PPG | 97.37 | 93.47 | 96.13 |
| RF | PPG | 95.54 | 89.06 | 93.47 |
| DT | PPG | 94.23 | 89.94 | 92.87 |
| Systems | Training Time of AutoML | Testing Time of AutoML | Time of TDS |
|---|---|---|---|
| 39-bus system | 1.18 s | 0.02 s | 0.69 h |
| 118-bus system | 2.16 s | 0.02 s | 1.13 h |
| PPG | 2.27 s | 0.01 s | 17.71 h |
Disclaimer/Publisher’s Note: The statements, opinions and data contained in all publications are solely those of the individual author(s) and contributor(s) and not of MDPI and/or the editor(s). MDPI and/or the editor(s) disclaim responsibility for any injury to people or property resulting from any ideas, methods, instructions or products referred to in the content. |
© 2023 by the authors. Licensee MDPI, Basel, Switzerland. This article is an open access article distributed under the terms and conditions of the Creative Commons Attribution (CC BY) license (https://creativecommons.org/licenses/by/4.0/).
Share and Cite
Liu, F.; Wang, X.; Li, T.; Huang, M.; Hu, T.; Wen, Y.; Su, Y. An Automated and Interpretable Machine Learning Scheme for Power System Transient Stability Assessment. Energies 2023, 16, 1956. https://doi.org/10.3390/en16041956
Liu F, Wang X, Li T, Huang M, Hu T, Wen Y, Su Y. An Automated and Interpretable Machine Learning Scheme for Power System Transient Stability Assessment. Energies. 2023; 16(4):1956. https://doi.org/10.3390/en16041956
Chicago/Turabian StyleLiu, Fang, Xiaodi Wang, Ting Li, Mingzeng Huang, Tao Hu, Yunfeng Wen, and Yunche Su. 2023. "An Automated and Interpretable Machine Learning Scheme for Power System Transient Stability Assessment" Energies 16, no. 4: 1956. https://doi.org/10.3390/en16041956
APA StyleLiu, F., Wang, X., Li, T., Huang, M., Hu, T., Wen, Y., & Su, Y. (2023). An Automated and Interpretable Machine Learning Scheme for Power System Transient Stability Assessment. Energies, 16(4), 1956. https://doi.org/10.3390/en16041956
