Biomimetic and Constructal Design of Alveolus-Inspired Extended Surfaces for Heat Dispersion
Abstract
1. Introduction
2. Methodology
2.1. Problem Description
2.2. Governing Equations
3. Numerical Modeling
3.1. Dimensionless Variables and Simulation Cases
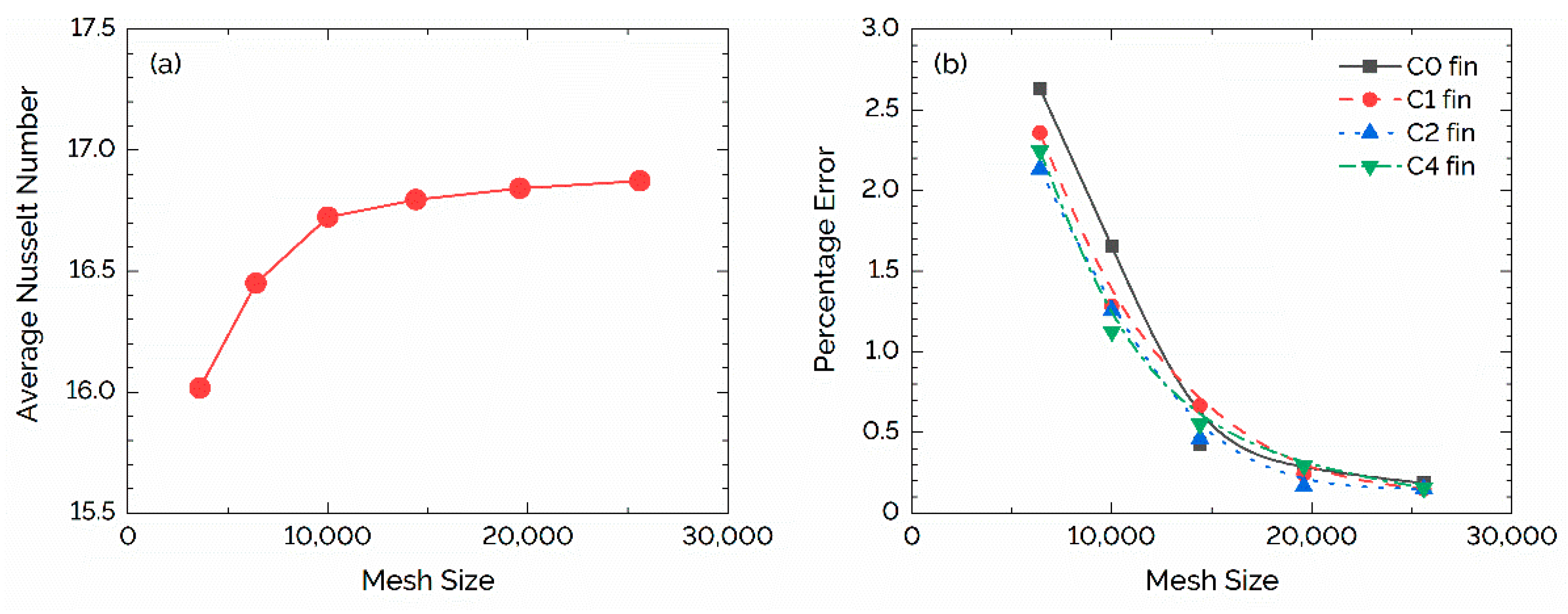
3.2. Grid Size Determination
3.3. Model Validation
4. Results and Analysis
4.1. Effects of Reynolds Number
4.2. Effects of Increasing Rayleigh Number
4.3. Effects of Increasing Reynolds Number
4.4. Effects of Richardson Number
5. Conclusions
Author Contributions
Funding
Data Availability Statement
Acknowledgments
Conflicts of Interest
References
- Starner, K.E.; McManus, H.N., Jr. An experimental investigation of free-convection heat transfer from rectangular-fin arrays. J. Heat Transf. 1963, 85, 273–277. [Google Scholar] [CrossRef]
- Mahmud, S.; Das, P.K.; Hyder, N. Laminar natural convection around an isothermal square cylinder at different orientations. Int. Commun. Heat Mass Transf. 2002, 29, 993–1003. [Google Scholar] [CrossRef]
- Harahap, F.; Rudianto, E.; Pradnyana, I.G.D.M.E. Measurements of steady-state heat dissipation from miniaturized horizontally-based straight rectangular fin arrays. Heat Mass Transf. 2005, 41, 280–288. [Google Scholar] [CrossRef]
- Shi, X.; Khodadadi, J.M. Laminar fluid flow and heat transfer in a lid-driven cavity due to a thin fin. J. Heat Transf. 2002, 124, 1056–1063. [Google Scholar] [CrossRef]
- Lorenzini, G.; Estrada, E.D.D.; dos Santos, E.D.; Isoldi, L.A.; Rocha, L.A.O. Constructal design of convective cavities inserted into a cylindrical solid body for cooling. Int. J. Heat Mass Transf. 2015, 83, 75–83. [Google Scholar] [CrossRef]
- Cong, R.; Ozaki, Y.; Machado, B.S.; Das, P.K. Constructal design of a rectangular fin in a mixed convective confined environment. Inventions 2018, 3, 27. [Google Scholar] [CrossRef]
- Ting, K.; Mozumder, A.K.; Das, P.K. Effect of surface roughness on heat transfer and entropy generation of mixed convection in nanofluid. Phys. Fluids 2019, 31, 093602. [Google Scholar] [CrossRef]
- Rodrigues, P.M.; Biserni, C.; de Escobar, C.C.; Rocha, L.A.O.; Isoldi, L.A.; dos Santos, E.D. Geometric optimization of a lid-driven cavity with two rectangular intrusions under mixed convection heat transfer: A numerical investigation motivated by constructal design. Int. Commun. Heat Mass Transf. 2020, 117, 104759. [Google Scholar] [CrossRef]
- Das, P.K.; Mahmud, S. Effect of eccentricity and radius ratio on fluid flow and heat transfer inside an eccentric semicircular enclosure. J. Therm. Sci. 2000, 9, 135–140. [Google Scholar] [CrossRef]
- Tasnim, S.H.; Mahmud, S.; Das, P.K. Effect of aspect ratio and eccentricity on heat transfer from a cylinder in a cavity. Int. J. Numer. Methods Heat Fluid Flow 2002, 12, 855–869. [Google Scholar] [CrossRef]
- Mahmud, S.; Das, P.K.; Hyder, N.; Islam, A.K.M.S. Free convection in an enclosure with vertical wavy walls. Int. J. Therm. Sci. 2002, 41, 440–446. [Google Scholar] [CrossRef]
- Das, P.K.; Mahmud, S. Numerical investigation of natural convection inside a wavy enclosure. Int. J. Therm. Sci. 2003, 42, 397–406. [Google Scholar] [CrossRef]
- Das, P.K.; Mahmud, S.; Tasnim, S.H.; Islam, A.K.M.S. Effect of surface waviness and aspect ratio on heat transfer inside a wavy enclosure. Int. J. Numer. Methods Heat Fluid Flow 2003, 13, 1097–1122. [Google Scholar] [CrossRef]
- Calamas, D.; Baker, J. Tree-like branching fins: Performance and natural convective heat transfer behavior. Int. J. Heat Mass Transf. 2013, 62, 350–361. [Google Scholar] [CrossRef]
- Kobayashi, H.; Lorente, S.; Anderson, R.; Bejan, A. Trees and serpentines in a conducting body. Int. J. Heat Mass Tran. 2013, 56, 488–494. [Google Scholar] [CrossRef]
- Lorenzini, G.; Medici, M.; Rocha, L.A.O. Convective analysis of constructal t-shaped fins. J. Eng. Thermophys. 2014, 23, 98–104. [Google Scholar] [CrossRef]
- Zhao, W.; Mozumder, A.K.; Das, P.K. Mixed convection of CuO-water nanofluid in a square enclosure with an intruded rectangular fin. AIP Conf. Proc. 2018, 1980, 050004. [Google Scholar]
- Hussain, S.; Jamal, M.; Geridonmez, B.P. Impact of fins and inclined magnetic field in double lid-driven cavity with Cu–water nanofluid. Int. J. Therm. Sci. 2021, 161, 106707. [Google Scholar] [CrossRef]
- Rot, M.; Kosec, G. Natural convection of non-newtonian fluids in a differentially heated closed cavity. In Proceedings of the 2021 44th International Convention on Information, Communication and Electronic Technology (MIPRO), Opatija, Croatia, 27 September–1 October 2021; pp. 259–264. [Google Scholar]
- Aziz, A. Optimum dimensions of extended surfaces operating in a convective environment. Appl. Mech. Rev. 1992, 45, 155–173. [Google Scholar] [CrossRef]
- Szodrai, F. Heat sink shape and topology optimization with pareto-vector length optimization for air cooling. Energies 2020, 13, 1661. [Google Scholar] [CrossRef]
- Tari, I.; Mehrtash, M. Natural convection heat transfer from inclined plate-fin heat sinks. Int. J. Heat Mass Transf. 2013, 56, 574–593. [Google Scholar] [CrossRef]
- Wang, L.; Wang, W.-W.; Cai, Y.; Liu, D.; Zhao, F.-Y. Effects of porous fins on mixed convection and heat transfer mechanics in lid-driven cavities: Full numerical modeling and parametric simulations. Transp. Porous Media 2020, 132, 495–534. [Google Scholar] [CrossRef]
- Bejan, A. Street network theory of organization in nature. J. Adv. Transp. 1996, 30, 85–107. [Google Scholar] [CrossRef]
- Razera, A.L.; da Fonseca, R.J.C.; Isoldi, L.A.; dos Santos, E.D.; Rocha, L.A.O.; Biserni, C. Constructal design of a semi-elliptical fin inserted in a lid-driven square cavity with mixed convection. Int. J. Heat Mass Transf. 2018, 126, 81–94. [Google Scholar] [CrossRef]
- Nemati, H.; Ardekani, M.M. Heat sink evolutionary optimization by natural construction method. Numer. Heat Transf. Part A: Appl. 2021, 80, 168–183. [Google Scholar] [CrossRef]
- Dirker, J.; Meyer, J.P. Topology optimization for an internal heat-conduction cooling scheme in a square domain for high heat flux applications. J. Heat Transf. 2013, 135, 111010. [Google Scholar] [CrossRef]
- Bejan, A.; Lorente, S. The constructal law and the evolution of design in nature. Phys. Life Rev. 2011, 8, 209–240. [Google Scholar] [CrossRef] [PubMed]
- Rogers, J.S.; Swofford, D.L. Multiple local maxima for likelihoods of phylogenetic trees: A simulation study. Mol. Biol. Evol. 1999, 16, 1079–1085. [Google Scholar] [CrossRef][Green Version]
- Basak, T.; Roy, S.; Sharma, P.K.; Pop, I. Analysis of mixed convection flows within a square cavity with uniform and non-uniform heating of bottom wall. Int. J. Therm. Sci. 2009, 48, 891–912. [Google Scholar] [CrossRef]
- Robertshaw, D. Mechanisms for the control of respiratory evaporative heat loss in panting animals. J. Appl. Physiol. 2006, 101, 664–668. [Google Scholar] [CrossRef]
- Knudsen, L.; Ochs, M. The micromechanics of lung alveoli: Structure and function of surfactant and tissue components. Histochem. Cell Biol. 2018, 150, 661–676. [Google Scholar] [CrossRef] [PubMed]
- Brinkman, H.C. The viscosity of concentrated suspensions and solutions. J. Chem. Phys. 1952, 20, 571. [Google Scholar] [CrossRef]
- Garnett, J.C.M. Colours in metal glasses and in metallic films. Philos. Trans. R. Soc. London. Ser. A Contain. Pap. A Math. Or Phys. Character 1904, 203, 385–420. [Google Scholar] [CrossRef]
- Das, P.K.; Li, X.; Liu, Z.S. Effective transport coefficients in PEM fuel cell catalyst and gas diffusion layers: Beyond Bruggeman approximation. Appl. Energy 2010, 87, 2785–2796. [Google Scholar] [CrossRef]
- Das, P.K.; Li, X.; Liu, Z.S. Analytical approach to polymer electrolyte membrane fuel cell performance and optimization. J. Electroanal. Chem. 2007, 604, 72–90. [Google Scholar] [CrossRef]
- Weber, A.Z.; Borup, R.L.; Darling, R.M.; Das, P.K.; Dursch, T.J.; Gu, W.B.; Harvey, D.; Kusoglu, A.; Litster, S.; Mench, M.M.; et al. A critical review of modeling transport phenomena in polymer-electrolyte fuel cells. J. Electrochem. Soc. 2014, 161, F1254–F1299. [Google Scholar] [CrossRef]















| Physical Property | Water | Al2O3 | Unit |
|---|---|---|---|
| Dynamic viscosity (µ) | 1 × 10−3 | - | kg⋅m−1 |
| Density (ρ) | 997.1 | 3970 | kg⋅m−3 |
| Thermal expansion (β) | 2.1 × 10−4 | 8.5 × 10−6 | K−1 |
| Heat conductivity (k) | 0.613 | 40 | W⋅m−1K−1 |
| Heat capacity (Cp) | 4179 | 765 | J⋅kg−1K−1 |
| Kinematic viscosity (ν) | 1.005 × 10−6 | - | m2⋅s−1 |
| Thermal diffusivity (α) | 1.471 × 10−7 | - | m2⋅s−1 |
Disclaimer/Publisher’s Note: The statements, opinions and data contained in all publications are solely those of the individual author(s) and contributor(s) and not of MDPI and/or the editor(s). MDPI and/or the editor(s) disclaim responsibility for any injury to people or property resulting from any ideas, methods, instructions or products referred to in the content. |
© 2022 by the authors. Licensee MDPI, Basel, Switzerland. This article is an open access article distributed under the terms and conditions of the Creative Commons Attribution (CC BY) license (https://creativecommons.org/licenses/by/4.0/).
Share and Cite
Robinson, A.; Das, P.K. Biomimetic and Constructal Design of Alveolus-Inspired Extended Surfaces for Heat Dispersion. Energies 2023, 16, 66. https://doi.org/10.3390/en16010066
Robinson A, Das PK. Biomimetic and Constructal Design of Alveolus-Inspired Extended Surfaces for Heat Dispersion. Energies. 2023; 16(1):66. https://doi.org/10.3390/en16010066
Chicago/Turabian StyleRobinson, Aidan, and Prodip K. Das. 2023. "Biomimetic and Constructal Design of Alveolus-Inspired Extended Surfaces for Heat Dispersion" Energies 16, no. 1: 66. https://doi.org/10.3390/en16010066
APA StyleRobinson, A., & Das, P. K. (2023). Biomimetic and Constructal Design of Alveolus-Inspired Extended Surfaces for Heat Dispersion. Energies, 16(1), 66. https://doi.org/10.3390/en16010066

