Entropy Generation of CuO-Water Nanofluid in a Cavity with an Intruded Rectangular Fin
Abstract
1. Introduction
2. Mathematical Modelling
2.1. Considered Problem
2.2. Governing Mathematical Equations
3. Numerical Modelling
3.1. Model Validation
3.2. Mesh Independence Test
4. Numerical Results and Discussion
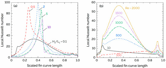
4.1. Effects of Fin Aspect Ratio
4.2. Effects of Inertial and Buoyancy Forces
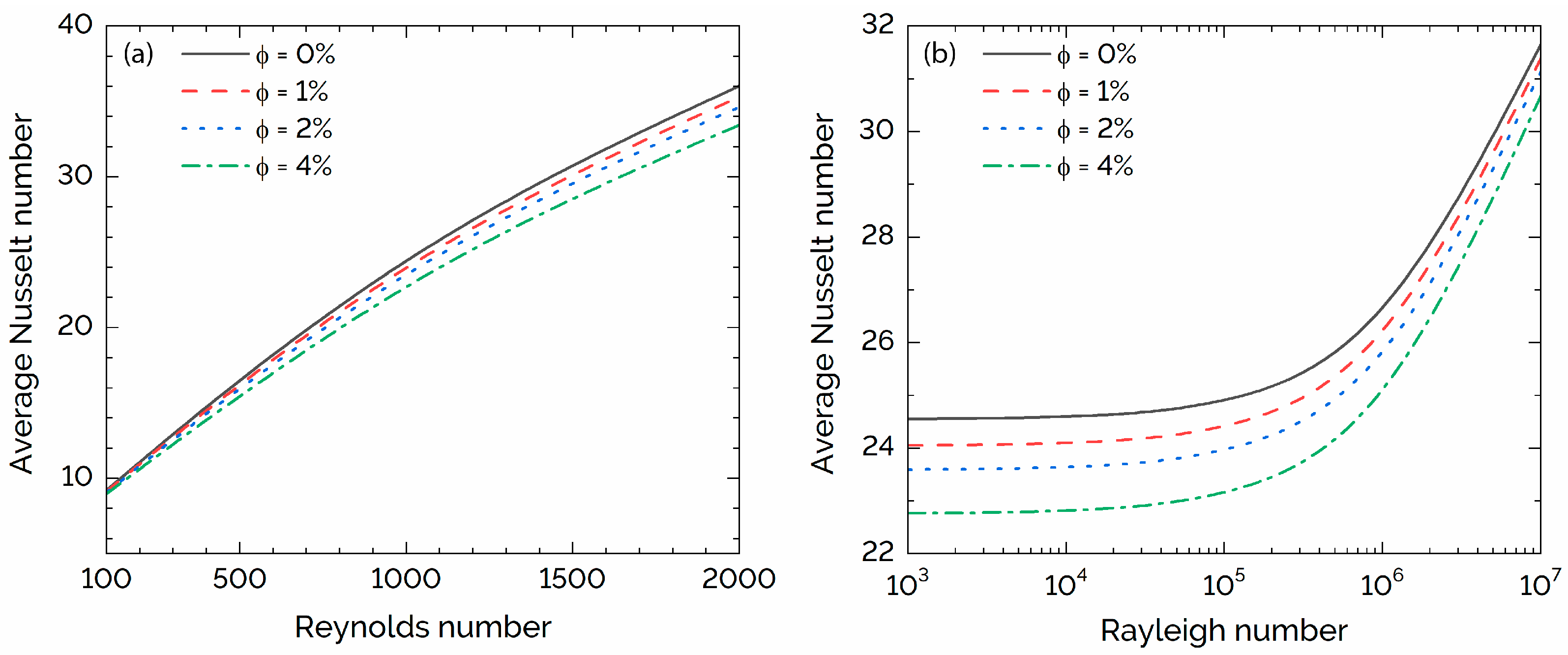
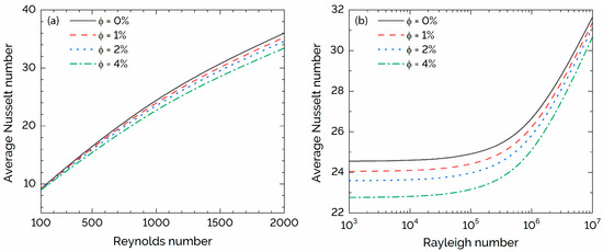
4.3. Effects of CuO-Nanoparticle Concentration
4.4. Entropy Generation
5. Conclusions
Author Contributions
Funding
Data Availability Statement
Conflicts of Interest
References
- Cong, R.; Ozaki, Y.; Machado, B.S.; Das, P.K. Constructal design of a rectangular fin in a mixed convective confined environment. Inventions 2018, 3, 27. [Google Scholar] [CrossRef]
- Shi, X.; Khodadadi, J.M. Laminar fluid flow and heat transfer in a lid-driven cavity due to a thin fin. J. Heat Transf. 2002, 124, 1056–1063. [Google Scholar] [CrossRef]
- Razera, A.L.; da Fonseca, R.J.C.; Isoldi, L.A.; dos Santos, E.D.; Rocha, L.A.O.; Biserni, C. Constructal design of a semi-elliptical fin inserted in a lid-driven square cavity with mixed convection. Int. J. Heat Mass Transf. 2018, 126, 81–94. [Google Scholar] [CrossRef]
- Ting, K.; Mozumder, A.K.; Das, P.K. Effect of surface roughness on heat transfer and entropy generation of mixed convection in nanofluid. Phys. Fluids 2019, 31, 093602. [Google Scholar] [CrossRef]
- Yang, O.A.W.-J. Mixed convection in cavities with a locally heated lower wall and moving sidewalls. Numer. Heat Transf. Part A Appl. 2000, 37, 695–710. [Google Scholar] [CrossRef]
- Ilis, G.G.; Mobedi, M.; Sunden, B. Effect of aspect ratio on entropy generation in a rectangular cavity with differentially heated vertical walls. Int. Commun. Heat Mass Transf. 2008, 35, 696–703. [Google Scholar] [CrossRef]
- Oztop, H.F.; Abu-Nada, E. Numerical study of natural convection in partially heated rectangular enclosures filled with nanofluids. Int. J. Heat Fluid Flow 2008, 29, 1326–1336. [Google Scholar] [CrossRef]
- Basak, T.; Roy, S.; Sharma, P.K.; Pop, I. Analysis of mixed convection flows within a square cavity with uniform and non-uniform heating of bottom wall. Int. J. Therm. Sci. 2009, 48, 891–912. [Google Scholar] [CrossRef]
- Mahmud, S.; Das, P.K.; Hyder, N.; Islam, A.K.M.S. Free convection in an enclosure with vertical wavy walls. Int. J. Therm. Sci. 2002, 41, 440–446. [Google Scholar] [CrossRef]
- Nayak, R.K.; Bhattacharyya, S.; Pop, I. Numerical study on mixed convection and entropy generation of Cu–water nanofluid in a differentially heated skewed enclosure. Int. J. Heat Mass Transf. 2015, 85, 620–634. [Google Scholar] [CrossRef]
- Das, P.K.; Mahmud, S. Effect of eccentricity and radius ratio on fluid flow and heat transfer inside an eccentric semicircular enclosure. J. Therm. Sci. 2000, 9, 135–140. [Google Scholar] [CrossRef]
- Mahmud, S.; Das, P.K.; Hyder, N. Laminar natural convection around an isothermal square cylinder at different orientations. Int. Commun. Heat Mass Transf. 2002, 29, 993–1003. [Google Scholar] [CrossRef]
- Tasnim, S.H.; Mahmud, S.; Das, P.K. Effect of aspect ratio and eccentricity on heat transfer from a cylinder in a cavity. Int. J. Numer. Methods Heat Fluid Flow 2002, 12, 855–869. [Google Scholar] [CrossRef]
- Das, P.K.; Mahmud, S. Numerical investigation of natural convection inside a wavy enclosure. Int. J. Therm. Sci. 2003, 42, 397–406. [Google Scholar] [CrossRef]
- Das, P.K.; Mahmud, S.; Tasnim, S.H.; Islam, A.K.M.S. Effect of surface waviness and aspect ratio on heat transfer inside a wavy enclosure. Int. J. Numer. Methods Heat Fluid Flow 2003, 13, 1097–1122. [Google Scholar] [CrossRef]
- Buongiorno, J. Convective transport in nanofluids. J. Heat Transf. 2006, 128, 240–250. [Google Scholar] [CrossRef]
- Ji, Y.; Zhang, H.-C.; Yang, X.; Shi, L. Entropy generation analysis and performance evaluation of turbulent forced convective heat transfer to nanofluids. Entropy 2017, 19, 108. [Google Scholar] [CrossRef]
- Khanafer, K.; Vafai, K.; Lightstone, M. Buoyancy-driven heat transfer enhancement in a two-dimensional enclosure utilizing nanofluids. Int. J. Heat Mass Transf. 2003, 46, 3639–3653. [Google Scholar] [CrossRef]
- Lee, S.; Choi, S.U.-S.; Li, S.; Eastman, J.A. Measuring thermal conductivity of fluids containing oxide nanoparticles. J. Heat Transf. 1999, 121, 280–289. [Google Scholar] [CrossRef]
- Choi, S.U.S. Enhancing Thermal Conductivity of Fluids with Nanoparticles; ASME International Mechanical Engineering Congress and Exposition: San Francisco, CA, USA, 1995; pp. 99–105. [Google Scholar]
- Wong, K.V.; De Leon, O. Applications of nanofluids: Current and future. Adv. Mech. Eng. 2010, 2, 519659. [Google Scholar] [CrossRef]
- Tiwari, R.K.; Das, M.K. Heat transfer augmentation in a two-sided lid-driven differentially heated square cavity utilizing nanofluids. Int. J. Heat Mass Transf. 2007, 50, 2002–2018. [Google Scholar] [CrossRef]
- Talebi, F.; Mahmoudi, A.H.; Shahi, M. Numerical study of mixed convection flows in a square lid-driven cavity utilizing nanofluid. Int. Commun. Heat Mass Transf. 2010, 37, 79–90. [Google Scholar] [CrossRef]
- Mansour, M.A.; Mohamed, R.A.; Abd-Elaziz, M.M.; Ahmed, S.E. Numerical simulation of mixed convection flows in a square lid-driven cavity partially heated from below using nanofluid. Int. Commun. Heat Mass Transf. 2010, 37, 1504–1512. [Google Scholar] [CrossRef]
- Atashafrooz, M. The effects of buoyancy force on mixed convection heat transfer of MHD nanofluid flow and entropy generation in an inclined duct with separation considering Brownian motion effects. J. Therm. Anal. Calorim. 2019, 138, 3109–3126. [Google Scholar] [CrossRef]
- Atashafrooz, M.; Sajjadi, H.; Amiri Delouei, A.; Yang, T.-F.; Yan, W.-M. Three-dimensional analysis of entropy generation for forced convection over an inclined step with presence of solid nanoparticles and magnetic force. Numer. Heat Transf. Part A Appl. 2021, 80, 318–335. [Google Scholar] [CrossRef]
- Hong, T.; Yang, H.; Choi, C.J. Study of the enhanced thermal conductivity of fe nanofluids. J. Appl. Phys. 1997, 205, 064311. [Google Scholar] [CrossRef]
- Bejan, A. Convection Heat Transfer, 4th ed.; John Wiley & Sons: Hoboken, NJ, USA, 2013. [Google Scholar]
- Bejan, A. From heat transfer principles to shape and structure in nature: Constructal theory. J. Heat Transf. 2000, 122, 430–449. [Google Scholar] [CrossRef]
- Bejan, A.; Almogbel, M. Constructal tT-shaped fins. Int. J. Heat Mass Transf. 2000, 43, 2101–2115. [Google Scholar] [CrossRef]
- Bejan, A.; Lorente, S. Design with constructal theory. Int. J. Eng. Educ. 2006, 22, 140–147. [Google Scholar]
- Lorenzini, G.; Moretti, S. A CFD application to optimize t-shaped fins: Comparisons to the constructal theory’s results. J. Electron. Packag. 2007, 129, 324–327. [Google Scholar] [CrossRef]
- Lorenzini, G.; Medici, M.; Rocha, L.A.O. Convective analysis of constructal T-shaped fins. J. Eng. Thermophys. 2014, 23, 98–104. [Google Scholar] [CrossRef]
- Lorenzini, G.; Machado, B.S.; Isoldi, L.A.; dos Santos, E.D.; Rocha, L.A.O. Constructal design of rectangular fin intruded into mixed convective lid-driven cavity flows. J. Heat Transf. 2016, 138, 102501. [Google Scholar] [CrossRef]
- Cong, R.; Zhou, X.; Machado, B.D.S.; Das, P.K. Mixed convection flow of nanofluid in a square enclosure with an intruded rectangular fin. AIP Conf. Proc. 2016, 1754, 050017. [Google Scholar]
- Cho, C.-C. Heat transfer and entropy generation of natural convection in nanofluid-filled square cavity with partially-heated wavy surface. Int. J. Heat Mass Transf. 2014, 77, 818–827. [Google Scholar] [CrossRef]
- Oliveski, R.D.C.; Macagnan, M.H.; Copetti, J.B. Entropy generation and natural convection in rectangular cavities. Appl. Therm. Eng. 2009, 29, 1417–1425. [Google Scholar] [CrossRef]
- Das, P.K.; Li, X.; Liu, Z.S. Effective transport coefficients in PEM fuel cell catalyst and gas diffusion layers: Beyond Bruggeman approximation. Appl. Energy 2010, 87, 2785–2796. [Google Scholar] [CrossRef]
- Zhao, W.; Mozumder, A.K.; Das, P.K. Mixed convection of CuO-water nanofluid in a square enclosure with an intruded rectangular fin. AIP Conf. Proc. 2018, 1980, 050004. [Google Scholar]
- Izadi, M.; Shahmardan, M.M.; Behzadmehr, A. Richardson number ratio effect on laminar mixed convection of a nanofluid flow in an annulus. Int. J. Comput. Methods Eng. Sci. Mech. 2013, 14, 304–316. [Google Scholar] [CrossRef]
- Bejan, A.; Kestin, J. Entropy generation through heat and fluid flow. J. Appl. Mech. 1983, 50, 475. [Google Scholar] [CrossRef]
- Nallasamy, M.; Prasad, K.K. On cavity flow at high Reynolds numbers. J. Fluid Mech. 1977, 79, 391–414. [Google Scholar] [CrossRef]
- Dixit, H.N.; Babu, V. Simulation of high Rayleigh number natural convection in a square cavity using the lattice Boltzmann method. Int. J. Heat Mass Transf. 2006, 49, 727–739. [Google Scholar] [CrossRef]











Disclaimer/Publisher’s Note: The statements, opinions and data contained in all publications are solely those of the individual author(s) and contributor(s) and not of MDPI and/or the editor(s). MDPI and/or the editor(s) disclaim responsibility for any injury to people or property resulting from any ideas, methods, instructions or products referred to in the content. |
© 2023 by the authors. Licensee MDPI, Basel, Switzerland. This article is an open access article distributed under the terms and conditions of the Creative Commons Attribution (CC BY) license (https://creativecommons.org/licenses/by/4.0/).
Share and Cite
Mountrichas, P.; Zhao, W.; Randeva, M.S.; Das, P.K. Entropy Generation of CuO-Water Nanofluid in a Cavity with an Intruded Rectangular Fin. Energies 2023, 16, 912. https://doi.org/10.3390/en16020912
Mountrichas P, Zhao W, Randeva MS, Das PK. Entropy Generation of CuO-Water Nanofluid in a Cavity with an Intruded Rectangular Fin. Energies. 2023; 16(2):912. https://doi.org/10.3390/en16020912
Chicago/Turabian StyleMountrichas, Periklis, Wendi Zhao, Mehtab Singh Randeva, and Prodip K. Das. 2023. "Entropy Generation of CuO-Water Nanofluid in a Cavity with an Intruded Rectangular Fin" Energies 16, no. 2: 912. https://doi.org/10.3390/en16020912
APA StyleMountrichas, P., Zhao, W., Randeva, M. S., & Das, P. K. (2023). Entropy Generation of CuO-Water Nanofluid in a Cavity with an Intruded Rectangular Fin. Energies, 16(2), 912. https://doi.org/10.3390/en16020912

