Abstract
This research focused on the design of a distributed approach using consensus theory to find an optimal solution of the economic dispatch problem (EDP) by considering the quadratic cost function along with the valve-point effect of generators and renewable energy systems (RESs). A distributed consensus approach is presented for the optimal economic dispatch under a complex valve-point effect by accounting for solar energy in addition to conventional power plants. By employing the beta distribution function and communication topology between generators, a new optimality condition for the dispatch problem was formulated. A novel distributed updation law for generation by considering the communication between generators was provided to deal with the valve-point effect. The convergence of the proposed updation law was proved analytically using Lyapunov stability and graph theory. An algorithm for ensuring a distributed economic dispatch via conventional power plants, integrated with solar energy, was addressed. To the best of the authors’ knowledge, a distributed nonlinear EDP approach for dealing with the valve-point loading issue via nonlinear incremental costs has been addressed for the first time. The designed approach was simulated for benchmark systems with and without a generation capacity constraint, and the results were compared with the existing centralized and distributed strategies.
1. Introduction
In recent years, great attention has been given to the study and development of optimization techniques; see, for instance [1,2,3,4,5]. One of the fundamental optimization problems in power systems is deciding the output power of generation facilities that minimizes the total generation cost, which is commonly referred to as the economic dispatch problem (EDP). The EDP has been widely investigated since the advent of computers, and efforts have been focused on developing centralized optimization algorithms [6,7]. Particle swarm optimization (PSO) is the most popular among other metaheuristic techniques, despite the fact that it may not converge to an optimal solution in the case of the non-convex power system optimization problem [8]. Inspired by PSO, economic dispatch algorithms were investigated by considering generation constraints [9] and wind power uncertainty [10].
The consideration of the valve-point effect (VPE), resulting from the sequential opening of control valves in thermal power plants, makes the cost function highly nonlinear. Due to the VPE, some ripples float over the cost function, which may be modeled as rectified sine waves. Different techniques are well-established in the literature for solving complex EDP considering the VPE. A genetic algorithm with a multi-parent crossover solution for the EDP with the VPE was presented in [11]. The coalescence of incremental rates and bee colony optimization methods were used in [12]. The authors in [13] used the iterative piece-wise linear function approximation and mixed integer programming to find an optimal solution, and the obtained solution was then improved using the nonlinear programming models. In [14] (see also [15]), a multi-population-based differential evolution algorithm was applied to optimize the cost function with the VPE. All of these approaches for solving the EDP with the VPE are centralized and require a central controller to receive information from available nodes.
Emerging technologies of renewable energy resources (RESs), such as solar energy, wind energy, and hydro-power, have influenced researchers to devise methods to solve the EDP, considering integrated power plants. Authors in [16] have exploited PSO, Newton–Raphson, and binary integer programming methods for finding a combined optimized solution for solar integrated power systems. The work of [17] considered a modified genetic algorithm for the consideration of thermal power cost optimization along with wind–solar constraints for a reduction in toxic emissions. The concept of a multi-generation system based on photovoltaic cells along with a battery system for the cost of energy optimization was revealed in [18]. To attain a low-carbon economic dispatch, through the consideration of bio-gas, wind, and solar sources, the work of [19] considered the stochastic optimization approach. The methods of [20,21] accounted for low-carbon energy optimization under various constraints by considering uncertainties in solar irradiance and energy efficiency, respectively. The major common concern in the above-mentioned algorithms [11,12,13,14,17,18,19,20,21] is that these methods apply a central dispatching facility, which gathers data of all generation nodes and gives a dispatch command to all nodes accordingly. The centralized approaches have several concerns, such as a single-point of failure (if the central node fails), system insecurity as the central processor can be vulnerable to cyber-attacks), and time-delays (due to the communication of all nodes with a central dispatch center). In addition, these centralized optimization methods have privacy of data issues in a competitive environment, increase the business of the main server due to requests from all generating nodes, and have computational issues due to a central facility. Owing to these shortcomings, efforts have been devoted in the recent era to investigate distributed techniques, as observed in [22,23,24,25,26,27,28,29].
Recently, the cooperative control of multiagent systems (MASs) has been widely investigated and the EDP has transformed into the consensus of MASs. Some recent works on applying consensus theory to resolve the EDP in a distributed manner were discussed in [30,31,32,33,34,35]. Authors in [36] showed that the distributed EDP is solvable, and an optimal solution can be obtained if the incremental costs (ICs) of all generation facilities reach an agreement. In [37], a fully distributed control strategy was designed using two-level control through an upper level for discovering the reference of optimal power generation and a lower level for reference tracking. The method in [38] utilized stochastic programming along with robust and distributed optimization methods to minimize the overall cost of all generation units, including uncertain and intermittent renewable generations. The work in [39] developed a distributed scheme via an alternating direction method of multipliers for resolving the EDP. To address communication delays, it was studied in [40] that a discrete-time consensus approach should be adopted because information flows discretely through the underlying communication network. A distributed consensus strategy for EDP with communication delays was presented in [41]. Adaptive consensus-based strategies for EDP under communication uncertainties were designed in [42,43]. Based on the literature review, a brief detail of different areas considered in the existing works is provided in Table 1. Most of the attention in the above-mentioned literature is paid to minimizing a quadratic cost function, which is a smooth and convex function. An attempt to solve EDP-VPE using a distributed consensus approach was presented in [44], where piece-wise linear approximation was used for each nonlinear region. Approximation results in a loss of information, and the consideration of multiple regions makes this approach highly conservative.
Table 1.
Area of research considered in existing works.
This paper deals with a distributed cooperative optimization (rather than the conventional central optimization) approach for the economic dispatch by considering thermal generators under the VPE and a solar energy system for attaining low-carbon footprints. A new algorithm for dispatching the powers economically by employing the beta distribution function for solar irradiance and by considering a smart-grid via cooperation and communication between generators through graph theory has been revealed. Here, a consensus-based distributed algorithm was designed to solve the EDP with a quadratic cost function and VPE, which takes the generator’s output power as the consensus update variable and local power mismatch as the feedback variable. It was shown that updating the generators’ output power in the consensus-based optimization protocol ultimately results in a consensus of the proposed modified ICs with the VPE under an initial supply–demand balance assumption according to RESs. The authors further improved the distributed algorithm to deal with the generation capacity constraint by adding a power limit compensation factor and by omitting the initial supply–demand balance restriction. It was shown that the proposed algorithms are able to solve the EDP with or without the generator capacity constraint, while the power demand and supply is balanced in addition to the consideration of RESs. The novel contributions of the presented work are four-fold:
- 1.
- Optimality Condition under VPE: A new optimality condition for the EDP under the VPE of power plants, integrated with solar energy (for the distributed optimization case), was revealed via the Lagrangian method. In contrast to existing conditions [2,30,33,36,42,43,45,46], the proposed conditions employ modified ICs with the VPE, and can be applied to more complicated scenarios of the EDP for considering the VPE.
- 2.
- Distributed Dispatching Strategy: A novel distributed approach for the optimal solution of the EDP under the VPE and solar energy is proposed. To the best of our knowledge, a distributed method by considering the communication topology between generators, without requiring a central dispatch facility, under the nonlinear handling of the VPE, has been provided for the first time. In contrast to central methods [11,12,13,14,17,18,19,20,21,36,47,48], the proposed distributed approach applies a smart-grid concept for cooperation between agents, which supports plug-and-play, privacy of data, a simple generator-level handling of the dispatch, and better security against cyber attacks. As opposed to existing centralized strategies in [11,12,13,14,17,18,19,20,21], the design of a distributed consensus algorithm avoids single-point failure, ensures the minimum interaction between nodes, reduces the computation burden, reduces lags due to the central facility and promotes the flexible use of communication resources.
- 3.
- Convergence of Algorithm: An analytical convergence analysis of the proposed method was performed under VPE constraints, in contrast to the conventional distributed methods [2,30,33,36,42,43,45,46]. The optimal convergence of the proposed approach was guaranteed via analysis through Lyapunov stability theory, dynamics of modified ICs, modified ICs consensus, generation dynamics analysis, and properties of graph theory, which are non-trivial in the analysis.
- 4.
- Consideration of Clean Energy: The integration of solar energy sources with conventional thermal power plants has a substantial influence on the cost and emission reduction, which was considered in this study, in contrast with the conventional (distributed) methods [2,30,33,36,42,43,45,46]. The incorporation of green energy sources has a favorable ecological impact and helps conventionally fuelled power plants to achieve better carbon trade-offs, resulting in lower carbon penalties imposed by environmental regulatory authorities. Furthermore, the application of renewable energy plays an important role in stabilizing state GDP because fuel imports are cut significantly.
Based on these contributions, the proposed approach can be applied for attaining the advantages of the distributed EDP (rather than the central EDP), along with the challenges of the VPE constraint and low-carbon footprints. However, the adaptation of this approach will require smart infrastructure at generating units, including communication devices, smart meters, and real-time computational facilities. The simulation was accomplished on two benchmark test systems, i.e., a ten-unit system and forty-unit system, to validate the theoretical results, and a comparison was provided with the existing centralized and distributed approaches. In comparison to [36,47,48], the proposed consensus algorithm gives a better optimal cost and requires less CPU time.
The remaining paper is organized as follows. In Section 2, the mathematical background of algebraic graphs and consensus in MASs is reviewed. The description of the problem is provided in Section 3. In Section 4, a distributed algorithm for the EDP considering the VPE, with and without the generation capacity constraint, is proposed. In Section 5, simulation results and comparisons are provided to validate the effectiveness of the algorithm. Finally, a conclusion is provided to conclude the article.
2. Preliminaries
Before presenting a detailed analysis of the proposed algorithm, a mathematical background of algebraic graph theory and the consensus of first-order MASs is provided.
2.1. Graph Theory
In a networked system, agents are represented as nodes and the communication between nodes is represented by edges. A graph is defined as , where V is the set of nodes, and E is the set of edges. An undirected edge in the network is denoted by an unordered pair of vertices . The degree of a vertex in an undirected graph is the total number of edges associated with it. For simplicity, it is assumed that there are no self-loops and that the graph is connected [36]. Two important associated matrices with graphs are the adjacency matrix and Laplacian matrix . We consider that if i and j are connected; otherwise, . The entries of the Laplacian matrix are taken as and , which ensures the diffusion that . The following lemma is required to prove the main results.
Lemma 1 ([36]).
- 1.
- The Laplacian matrix for a connected undirected graph has a zero eigenvalue and the remaining eigenvalues are positive.
- 2.
- The second least eigenvalue of the Laplacian matrix, denoted by , validates the following condition:
2.2. Consensus of First-Order MASs
The consensus protocol in MASs is defined as follows [49].
where is referred to as the control signal, is the state vector, which can represent a physical quantity, is the adjacency matrix entries, and is the Laplacian matrix entries. Consensus in multi-agents is achieved if the following holds.
An interesting result on the consensus of multi-agents is established in [50] as follows.
Lemma 2.
Consensus in multi-agents can be achieved for a connected undirected graph if the following condition holds.
where represents the average value of states of all agents.
3. System Description
We assumed a network of N generating facilities working cooperatively to achieve an optimal power dispatch in a power system or smart-grid. To this end, a quadratic cost function without the VPE for each generation facility was assumed, which is given as follows.
Thermal power plants apply a stream to run turbines, which are controlled sequentially through the opening of stream valves. This opening of valves is needed to increase the generation of a unit. However, the effect of this valve opening (namely, VPE) causes a nonlinear rippling effect at the cost function. Hence, a practical generating unit cannot have a simple quadratic cost function, leading to a highly nonlinear EDP. Including the VPE into the quadratic cost function leads to the following.
where are cost function coefficients, represents the output power of the ith generator, is the lower bound of the generation capacity and is the VPE in the cost function. The difference in cost functions (4) and (5) is depicted in Figure 1.
Figure 1.
The cost function with and without valve-point effect.
The below mathematical strategy may be employed to estimate the expense of photovoltaic energy (PE) production.
Under this scenario, represents the cost of solar energy, whereas and represent the number of solar panels and power, respectively. It is evident from Figure 1 that (4) is a convex function whereas (5) is a nonlinear, non-smooth, and non-convex function, which, in turn, inherits the difficulty in devising an optimization algorithm to solve the EDP subject to the VPE. The total cost of the power generation is given by
The research objective was to minimize the total generation cost by considering the valve-point loading effect under the constraint that the power demand and generation must be balanced; that is,
where is the total power demand. Sunlight rays, surrounding temperatures, and the efficiency characteristics of the photovoltaic panel all have a substantial effect on solar power production. Here, we incorporated the beta distribution function (BDF) to calculate the energy production, and the BDF was used to describe solar energy mathematically.
where and are the parameters of . We can write this function in terms of mean and standard deviation .
As said before, the following model can be used to predict how solar radiation and ambient temperature would affect the solar output.
Assumption A1.
The communication topology between generators is connected.
Assumption A2.
The initial condition of generators is such that .
An important constraint for generators is the capacity constraint, which is given by where and represent the minimum and maximum generation limits of the ith generator.
4. Main Results
Before presenting the main algorithm, conventional and proposed definitions of IC for generators are given.
Definition 1.
The incremental cost of the ith generator (by ignoring the VPE) is given by
Definition 2.
The incremental cost of the ith generator by incorporating the VPE has the form
where .
For dealing with the VPE, we applied the modified definition of ICs in Definition 2. Based on this modified definition, the EDP was resolved via the application of rather than conventional . Equation (15) can also be written in a convenient form as
where .
Note that the above condition provides the relation between the conventional IC and the modified IC for the issue of the VPE. The proposed Definition 2 can be interesting as it can be applied to deal with the EDP for addressing the non-convex valve-point loading effect.
Remark 1.
An expression for IC with the VPE was derived in the recent interesting and motivating study of [44]. This condition is given as , which is also equivalent to the present case of (15). However, the expression (15) is more convenient than the above condition as the signum function is better to understand, realize, and implement. It is also even easier to approximate than the MOD function. Due to this difficulty in [44], the definition provided in [44] for IC with the VPE is based on a piece-wise linear approximation of the mentioned MOD-based expression. The resultant approach for this approximation is conservative due to the loss of information owing to linearization. Furthermore, it is also difficult to design and implement due to the consideration of several regions. The switching between these regions may also cause a discontinuous operation, which can be fatal. The present work is based on the nonlinear and more relevant Definition 2, which does not have conservatism as observed in [44].
4.1. Proposed Optimality Condition
The optimization problem (8) can have an optimal solution if the conditions in Lemma 3 are satisfied.
Lemma 3.
Proof.
Using the Lagrange multiplier method, the Lagrange function for (8) was constructed as
where is the Lagrange multiplier. By the application of (5), we attain
Differentiating with respect to leads to
Putting the derivative equal to zero for achieving an optimality condition, we have
The above equation shows that all IC with the VPE should be equal to a constant. Therefore, we can say that
In addition, taking the derivative of with respect to the Lagrange multiplier produces
Putting the derivative equal to zero leads to
This completes our proof. □
Remark 2.
The conventional distributed IC consensus method [36] (see also [45,46]) does not consider the VPE. Therefore, it has . By using this condition in the proposed optimality condition of Lemma 3, the generalized optimal condition in (17) reduces to
Hence, the proposed condition in Lemma 3 is the generalization of the conventional condition. Our approach supports the use of the VPE for attaining coherency between generators for an effective cost minimization.
4.2. Proposed Consensus-Based Optimization Protocol
IC with the VPE contains nonlinearity, which is difficult to handle and update in a consensus protocol. Therefore, we proposed a novel consensus-based optimization protocol using power generation and updated it to reach the consensus of ICs with the VPE. The designed consensus protocol is as follows.
with the initial condition . For the novel proposed method (27), the following condition in Theorem 1 provides the optimal solution of the EDP (8).
Theorem 1.
Consider N distributed generators with generations , with individual cost functions (5)–(6) under the VPE, connected via a graph of Assumption 1, validating Assumption 2. The proposed optimization protocol (27) for under will ensure the optimal convergence of to , where is an optimal solution of the problem (8).
Proof.
Using the cost functions in (5)–(6), IC with the VPE is calculated as in (15). Expanding (15) leads to
Taking the time-derivative, we have
After combining all of these piece-wise functions, we have a generalized dynamics of IC with the VPE as follows.
Equation (30) can also be written as
where It is important to note that the following condition must be satisfied for a guaranteed consensus (which can be relaxed, to be discussed later)——to make . From (31), we have
which indicates that the dynamics of IC with the VPE and dynamics of power generation depend on each other; that is, . By multiplying on both sides in (27) and writing in terms of IC with the VPE, we can convert the generation dynamics into dynamics of IC with the VPE via
This indicates that the design of the EDP protocol using can ultimately result in the consensus of ICs with the VPE. In (33), is a time-dependent variable. This variable can be transformed into a linear parameter variable (LPV) model as follows [51].
Hence, by the application of LPV model, the relation (33) becomes
Now, we develop the consensus error dynamics of ICs with the VPE. Let the error as the consensus error, where and . As per Lemma 2, the consensus between ICs with the VPE will be achieved if this consensus error converges to zero. For constructing the error dynamics, we take the time-derivative of this error as follows.
Applying (35) leads to
The term reduces to zero, and we are left with
which can be further written as
The compact form of the error dynamics is attained as follows.
After attaining the error dynamics for ICs with the VPE, we show that this error converges to the origin. This convergence is required to attain the first optimization condition in Lemma 3. In addition, we also show that the supply–demand condition also holds. The conditions for the consensus of ICs with the VPE and supply–demand balance are investigated in Appendix A. By the application of Lemma 3, the proposed consensus-based optimization protocol (27) guarantees the convergence of to the optimal solution of (8). This completes the proof. □
Remark 3.
To solve the optimization problem using the consensus protocol designed according to Theorem 1, a Lagrangian method approach was used to derive the optimal conditions for the issue of the VPE. Since the optimization problem is non-convex, this implies that there may be multiple optimal solutions based on the initial point. This necessitates that the initial point should be chosen carefully to drive the solution to an optimum value. Therefore, we suggest applying this algorithm for fine-tuning. The conventional distributed optimization methods, by ignoring the VPE, can be applied for the initial solution, while the presented method can be used for fine tuning. Moreover, if different operational constraints are considered, then these constraints will drive the solution towards the global one.
Remark 4.
In Theorem 1, a distributed consensus-based algorithm is designed to dispatch power in a distributed manner in the presence of the VPE and RESs. This is different from conventional distributed strategies as they only consider a quadratic cost function [30,33,36,42,43,45,46].
Remark 5.
Conventional distributed approaches use IC as the consensus protocol variable [30,33,36,42,43,45,46]. In our approach, a modified IC with the VPE was taken as the consensus variable. In addition, the protocol’s update variable was also different (power generation ). The inclusion of the VPE in ICs and variation in the protocol update variable for (27) led us to apply the proposed distributed approach for a complex objective function with the valve-point loading effect.
Remark 6.
In this approach, the LPV model was used to transform a time-dependent variable through to reach the consensus of ICs with the VPE. The proposed optimization protocol is different from the existing studies, as it contains highly nonlinear terms as and , rather than linear terms as in [30,33,36,42,43,45,46]. These terms appeared due to a novel distributed optimization scenario of the VPE, which was considered in the present study. It should also be noted that optimization analysis for a highly nonlinear protocol (27) is also a challenging research task. The presented proof required the generation and IC dynamics with valve-point nonlinearities, LPV modeling, and LPV-based modified IC dynamics. Even the presented Lyapunov function and stability analysis are based on the LPV parameter .
Remark 7.
In the presented EDP approach of Theorem 1, we require making , which is a limitation of the proposed method. As for , the sign of can be either positive or negative (with unity gain). Usually, we have , and the further negative sign of will also contribute towards . Therefore, the term can have a positive value for most of the time, even if is not validated. The expected values of for can be positive, resulting in the consensus of expected values of the modified ICs. A simulation study is also provided in the next section to demonstrate the relaxation of the constraint . The simulation comparison demonstrated that the presented approach is still better than the conventional distributed optimization schemes.
Remark 8.
The problem of an optimal dispatch under the complex nonlinear VPE without any linearization is formulated in the framework of distributed consensus-based optimization. To the best of our knowledge, a nonlinear consensus-based distributed approach for the EDP under the VPE for smart-grid applications has been formulated for the first time. The proof of convergence analysis was provided, which is a non-trivial research problem for a distributed strategy. The problem becomes complicated as a central processor and the collection of information to the central unit were relaxed in our study.
To solve the EDP subject to the VPE in a distributed manner, the proposed distributed algorithm is summarized in steps in Algorithm 1. The proposed approaches in Theorem 1 and Algorithm 1 will remain valid as long as Assumption 2 is valid from the communication graph topology point of view. However, if a graph has more connections, the convergence of the algorithm can be faster. It should also be noted that the convergence of the proposed optimization protocol (27) can be improved by increasing the magnitude of c; however, it can also amplify the noise effects.
| Algorithm 1: Algorithm to solve EDP with VPE and RESs |
![]() |
4.3. Extension to Generator’s Capacity Constraints
The consensus protocol in (27) does not take the generator’s capacity constraint into account, and is hence unable to solve the EDP with the VPE in the presence of the capacity limit constraint. For this protocol to be able to solve this optimization problem, a power limit compensation factor along with a conditional statement for regulating the generation constraint was added. The proposed protocol (27) can be modified as follows.
where , and . The term represents an estimation of the power mismatch for the ith generation facility, computed via local knowledge. The estimate of the local power mismatch can be determined by the use of the local communication of neighboring units.
5. Simulation Results and Discussions
5.1. Simulation
In this subsection, the designed distributed algorithm is simulated, with and without the generation capacity constraint, to validate the results of the designed strategy. The simulations were carried out on an Intel Core M CPU @ GHz processor equipped with 4 GB RAM. For the sake of numerical simulation, two benchmark test systems were selected. One was the ten-unit system with MW, and the other was the forty-unit system with MW. The data set for both test systems was taken from [48]. The unit data for the ten-unit system is depicted in Table 2. The communication topology graph for generators in the case of the ten-unit system is shown in Figure 2. For the forty-unit system, a randomly generated connected graph was considered.
Table 2.
Unit data for ten-unit system.
Figure 2.
Communication topology graph for a ten-unit system.
5.1.1. Simulation on Ten-Unit System without Generation Constraint
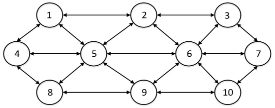
In this case, there is no generation capacity constraint imposed on the generation units and the initial condition is set such that . The consensus protocol (27) was used. The parameter for the optimization protocol (27) was selected as by virtue of Theorem 1. The total output power and generators’ active power are plotted in Figure 3 and Figure 4, respectively. Figure 5 shows that ICs with the VPE reach consensus. The optimal output power of each generation unit with the optimal cost and CPU time is given in Table 3.
Figure 3.
Total active power output without capacity constraint.
Figure 4.
Output power of ten generation nodes without capacity constraint.
Figure 5.
Consensus of ICs with the VPE.
Table 3.
Optimal output power of generation units and total cost in case of no capacity limits.
5.1.2. Simulation on Ten-Unit System Using Improved Algorithm with Capacity Constraint
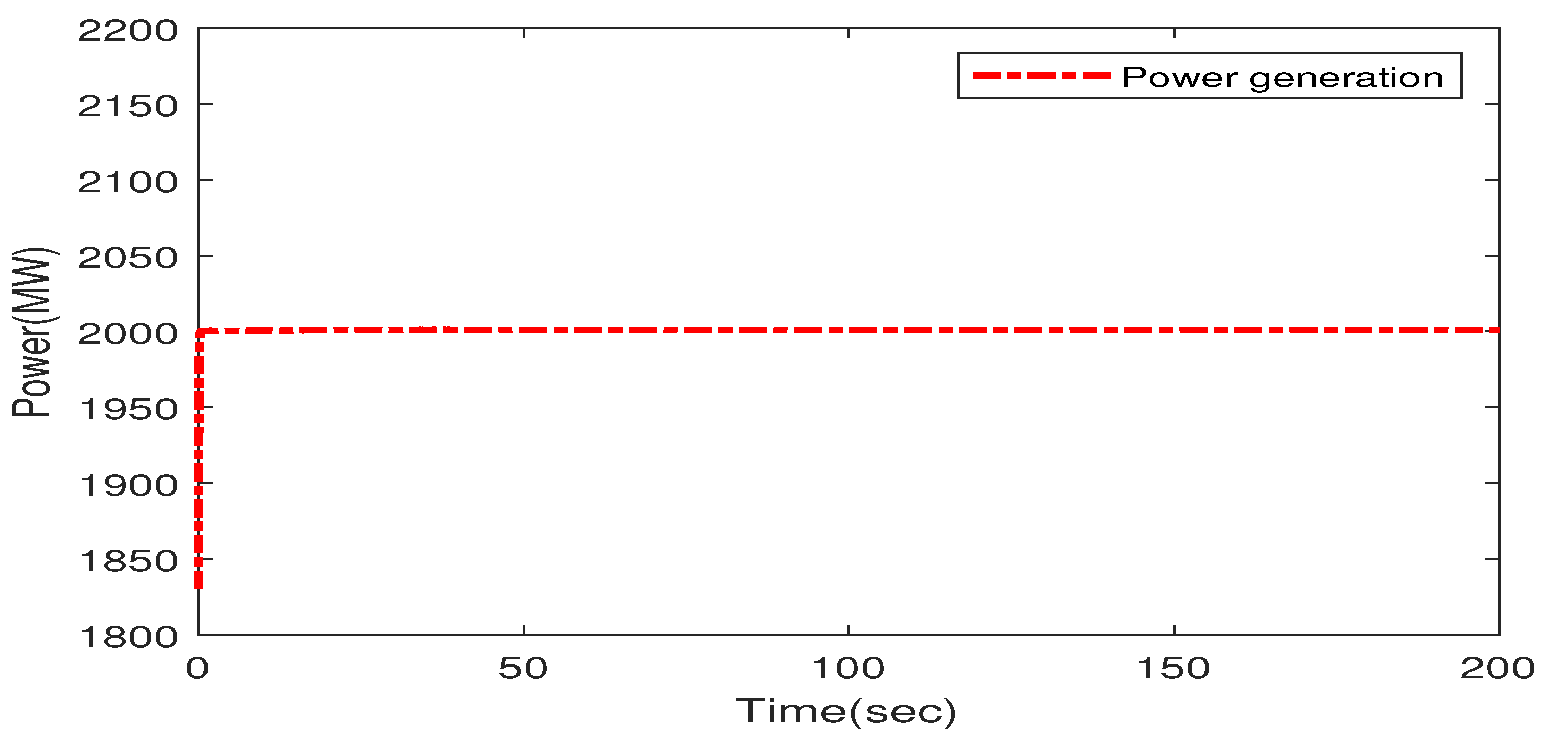
In this case, the improved distributed algorithm (41) is applied on a ten-unit system with a capacity constraint. In addition, the initial condition is not restricted to be equal to . Again, was selected, and we chose for the modified approach (41). The total active output power and generation units’ output power are plotted in Figure 6 and Figure 7, respectively. The initial condition on the total power generation was taken to be 1830 MW. The simulation shows that the algorithm is able to solve the EDP considering the generation capacity constraint and initial conditions other than . Figure 8 illustrates the IC with the VPE. These ICs tend to reach consensus up until when the generation of a generator is not saturated due to the capacity constraint, and therefore consensus is not fully achieved. Individual generations are restricted with generation capacity limits, which restricts generators in achieving complete consensus in the modified ICs. It can be seen in Figure 8 that some generation units tried to achieve consensus while few could not, due to the generation capacity limit, referring to Figure 7.
Figure 6.
Total active power output using improved consensus protocol considering capacity constraint.
Figure 7.
Output power of ten generation nodes for improved consensus protocol considering capacity constraint.
Figure 8.
Incremental cost consensus in case of generation capacity limit constraint.
5.1.3. Simulation on Forty-Unit System under RESs
To discuss the validity of the proposed method on large-scale systems, the proposed consensus protocol (41) was applied to a forty-unit system [48] in the presence of a capacity constraint. Additionally, the present work also considered the renewable energy sources in this simulation. We considered a share of 500MW from renewable sources, leading to MW. The initial conditions were taken balanced such that . The communication topology and adjacency matrix for this system was generated randomly using a standard uniform distribution on MATLAB for incorporating a random behavior. Again, was selected, and was chosen. The total power, which was , and the individual generation of each conventional unit are shown in Figure 9 and Figure 10, respectively. In Figure 11, the modified ICs are plotted for the sake of analysis. The results show that most of the units achieved consensus, whereas the remaining units attained partial consensus due to saturation to the maximum upper limit of power generation as imposed by the generator capacity constraint. Hence, the proposed approach can be applied to a large-scale system with capacity, non-convex, and renewable energy constraints.
Figure 9.
Total power generation in case of forty-unit system.
Figure 10.
Individual power generation of forty units.
Figure 11.
Modified IC consensus for forty-unit system.
5.2. Discussion and Comparison
5.2.1. Comparison with Centralized Algorithms
To authenticate the proposed distributed consensus-based algorithm, a comparison between the existing centralized strategies to solve EDP-VPE and the proposed strategy is presented in Table 4. The results obtained from the proposed algorithm are compared in Table 4, along with those obtained from multi-objective differential evolution (MODE) in [47] and new global particle swarm optimization (NGPSO) in [48]. For the comparison study, we considered the case of the capacity constraint and used the approach of the consensus protocol (41). It can be seen that the proposed strategy gives a comparable cost (because the central methods are multi-objective schemes) with the advantage of solving the problem in a distributed manner.
Table 4.
Generation, cost, and CPU time comparison for ten-unit system ( MW).
We also provided the expected time for a single node, as the previous CPU time was computed via the central processing unit. As the generating units are working independently in the proposed work, we can roughly compute the time of the individual node by dividing the CPU time by the total number of units in our case. Hence, the time in our case will be further reduced due to the use of distributed computing facilities. Note that the communication delays in central methods and the business of central processor issues are also eliminated in our approach. In addition, the proposed approach is not prone to single-point failure and is resilient against attacks due to its distributed nature compared to [11,12,13,14,17,18,19,20,21,36,47,48]. For launching a cyber attack, an expensive attack for blocking all generating units will be needed, rather than considering the central unit only. In addition, the proposed approach is flexible for increasing the number of generating units, as it will not require an enhancement of the communication and computational powers of the central facility. With these advantages, the proposed approach can be a better choice than the conventional central methods.
5.2.2. Comparison with Distributed Methods
The consensus protocol from [36], one of the fundamental distributed consensus-based strategies to solve EDP, was applied on a ten-unit system. This comparison study investigated the optimization protocol (27) under an unconstrained environment. For the sake of comparison, we took to be 100 times larger than that of Table 2, and no generation constraint was imposed in this experiment. The large value of was accounted for, as we wanted to attempt to solve the EDP with th eVPE in case of a violation of the constraint . The obtained power generation was used to calculate the cost from (4) and (5), and then the obtained results were compared with the results of the proposed algorithm in Table 5.
Table 5.
Comparison with distributed approach.
It is shown in Table 5 that the optimized cost for [36] with cost function (5) is more than the optimized cost with cost function (4), which is actually logical because cost function (4) is an ideal approximation of the fuel cost and does not incorporate the VPE. It is also evident that the proposed algorithm gives better optimal results compared to [36] when considering the VPE. In contrast to conventional methods [2,30,33,36,42,43,45,46], the presented approach considered the effect of RESs for the forty-unit system. In contrast to conventional distributed methods [2,30,33,36,42,43,45,46], the proposed approach considers the highly nonlinear VPE constraint and employs low-carbon energy sources in the form of solar energy. In addition to these two technical advantages, the theoretical convergence analysis of the proposed method via the stability theory of MASs was performed in the presence of new constraints through complex Lyapuov, graph theory, and dynamical analysis formulation, which improves the reliability of the proposed method.
5.3. CPU Time
To emphasize the fact that the proposed approach can solve the optimization problem significantly more quickly than the existing centralized methods, the CPU time was calculated for all test systems. Due to the distributed framework of optimization, the computation time was significantly reduced compared to central methods. This is shown and compared in Table 4. In addition, Table 6 is provided, which compares the CPU time for the proposed approach as applied on different benchmark test systems. The authors want to emphasize the fact that these CPU times were calculated for the whole simulation time, and should not be confused with the convergence time of the ICs. In addition, it should be noted that these simulations were conducted on a central processor. When this algorithm is implemented in real-time on a distributed controller in the framework of MASs, the CPU time will be much shorter than those reported in the article.
Table 6.
CPU time comparison.
Recently, some Lyapunov and energy function methods were reported for a better convergence analysis as in [52,53,54,55]. In the future, these methods can be applied for investigating comprehensive convergence properties.
6. Conclusions
This paper considered a distributed optimization approach for the EDP under the VPE and solar energy constraints over a communication topology. The generators were assumed to be equipped with smart devices, such as transmitters, receivers, and real-time computational facilities. The proposed strategy applied power generation as an updation variable and modified ICs as consensus variables for dealing with cost optimization under clean energy sources by accounting for solar energy distribution properties. In contrast with the conventional central optimization methods, the proposed distributed approach is cooperative, resilient against cyber attacks, not limited to one-point failure, does not have delays due to the dispatch center, and does not have a server business issue with respect to the central unit. In addition, it can be easily extended for increasing the number of units and requires less computational effort due to it having a simple algorithm and the division of the algorithm at several nodes. Compared with the existing distributed approaches, the designed distributed consensus protocol deals with the highly nonlinear constraint of the VPE and incorporates a solar energy system for attaining low-carbon footprints. Simulation results for medium-scale and large-scale systems were performed along with a comparison with central and distributed methods. With respect to central methods, the CPU time for the proposed algorithm was found to be quite better. Compared with the existing distributed methods, our approach provides a better optimal cost due to the consideration of the VPE constraint. In future, a more practical approach for considering a realistic network reconfiguration, including the sizing and allocation of the distributed energy hubs, will be considered for a distributed optimization framework.
Author Contributions
M.M. written the initail version of manuscript. W.A. and M.R. completed the final version of manuscript. W.A., M.I., N.U. and K.Z. conceived of the idea. M.M., W.A., N.U. and K.Z. developed the theoretical framework. M.R. and W.U. verified the analytical methods. M.M. and M.R. performed the simulation results. All authors have read and agreed to the published version of the manuscript.
Funding
This Research was Supported by Adaptive Controller Design and Validation of Electric Vehicle Charger (Project No. NUST-22-41-45).
Data Availability Statement
The data used in this study is included in the article. Further inquiries can be directed to the corresponding authors.
Conflicts of Interest
The authors declare no conflict of interest.
Appendix A. Consensus and Supply–Demand Conditions
We took support from Lyapunov stability theory, and considered the following Lyapunov function [56,57]:
Note that is a positive scalar because of , leading to , and resulting in the LPV parameter . Taking the time-derivative of V gives
Applying (40) leads to
The expansion and evaluation of these sums along with imply that
By application of Lemma 1, we have
Since , is made. This implies that ICs with the valve-point loading effect reach consensus with each other. Hence, the first optimality condition in Lemma 3 has been validated.
To assure the second condition of Lemma 3 related to the supply–demand balance, we move towards the generation dynamics. Substituting (32) into (33) leads to the generation dynamics for the ith generator as follows.
For achieving total generation dynamics, we applied the summation to the above-mentioned ith generation to achieve
The expansion and evaluation of these sums reduce the right side to zero. Therefore, the total generation dynamics will follow
Equation (A8) implies that remains constant during the dispatch process. Hence, , and the second optimality condition in Lemma 3 also holds.
References
- Samia, C.; Houssem, J. The Use of a Heuristic Optimization Method to Improve the Design of a Discrete-time Gain Scheduling Control. Int. J. Control Autom. Syst. 2021, 19, 1836–1846. [Google Scholar] [CrossRef]
- Meraihi, Y.; Gabis, A.B.; Mirjalili, S.; Ramdane-Cherif, A. Grasshopper Optimization Algorithm: Theory, Variants, and Applications. IEEE Access 2021, 9, 50001–50024. [Google Scholar] [CrossRef]
- Perng, J.W.; Kuo, Y.C.; Lu, K.C. Design of the PID controller for hydro-turbines based on optimization algorithms. Int. J. Control Autom. Syst. 2020, 18, 1758–1770. [Google Scholar] [CrossRef]
- Awal, M.A.; Masud, M.; Hossain, M.S.; Bulbul, A.A.M.; Mahmud, S.M.H.; Bairagi, A.K. A Novel Bayesian Optimization-Based Machine Learning Framework for COVID-19 Detection From Inpatient Facility Data. IEEE Access 2021, 9, 10263–10281. [Google Scholar] [CrossRef] [PubMed]
- Nelem, A.T.; Ele, P.; Ndiaye, P.A.; Essiane, S.N.; Pesdjock, M.J.P. Dynamic Optimization of Switching States of an Hybrid Power Network. Int. J. Control Autom. Syst. 2021, 19, 2468–2478. [Google Scholar] [CrossRef]
- Xia, X.; Elaiw, A. Optimal dynamic economic dispatch of generation: A review. Electr. Power Syst. Res. 2010, 80, 975–986. [Google Scholar] [CrossRef]
- Attaviriyanupap, P.; Kita, H.; Tanaka, E.; Hasegawa, J. A Hybrid EP and SQP for Dynamic Economic Dispatch with Nonsmooth Fuel Cost Function. IEEE Power Eng. Rev. 2002, 22, 77. [Google Scholar] [CrossRef]
- Abbas, G.; Gu, J.; Farooq, U.; Asad, M.U.; El-Hawary, M. Solution of an economic dispatch problem through particle swarm optimization: A detailed survey-part I. IEEE Access 2017, 5, 15105–15141. [Google Scholar] [CrossRef]
- Gaing, Z.L. Particle swarm optimization to solving the economic dispatch considering the generator constraints. IEEE Trans. Power Syst. 2003, 18, 1187–1195. [Google Scholar] [CrossRef]
- Yao, F.; Dong, Z.Y.; Meng, K.; Xu, Z.; Iu, H.H.C.; Wong, K.P. Quantum-inspired particle swarm optimization for power system operations considering wind power uncertainty and carbon tax in Australia. IEEE Trans. Ind. Inf. 2012, 8, 880–888. [Google Scholar] [CrossRef]
- Pulluri, H.; Vyshnavi, M.; Shraddha, P.; Priya, B.S.; Hari, T.S. Genetic Algorithm with Multi-Parent Crossover Solution for Economic Dispatch with Valve Point Loading Effects. In Innovations in Electrical and Electronics Engineering; Springer: Singapore, 2020; pp. 429–438. [Google Scholar]
- Khamsen, W.; Takeang, C.; Aunban, P. Hybrid method for solving the non smooth cost function economic dispatch problem. Int. J. Electr. Comput. Eng. 2020, 10, 609. [Google Scholar] [CrossRef][Green Version]
- Sharifzadeh, H. Sharp formulations of nonconvex piecewise linear functions to solve the economic dispatch problem with valve-point effects. Int. J. Electr. Power Energy Syst. 2021, 127, 106603. [Google Scholar] [CrossRef]
- Li, X.; Zhang, H.; Lu, Z. A differential evolution algorithm based on multi-population for economic dispatch problems with valve-point effects. IEEE Access 2019, 7, 95585–95609. [Google Scholar] [CrossRef]
- Sakthivel, V.P.; Goh, H.H.; Srikrishna, S.; Sathya, P.D.; Abdul Rahim, S.K. Multi-Objective Squirrel Search Algorithm for Multi-Area Economic Environmental Dispatch With Multiple Fuels and Valve Point Effects. IEEE Access 2020, 9, 3988–4007. [Google Scholar] [CrossRef]
- Khan, N.A.; Sidhu, G.A.S.; Gao, F. Optimizing combined emission economic dispatch for solar integrated power systems. IEEE Access 2016, 4, 3340–3348. [Google Scholar] [CrossRef]
- Kumar Dey, S.; Prasad Dash, D.; Basu, M. Application of NSGA-II for environmental constraint economic dispatch of thermal-wind-solar power system. Renew. Energy Focus 2022, 43, 239–245. [Google Scholar] [CrossRef]
- Zhang, C.; Xia, J.; Guo, X.; Huang, C.; Lin, P.; Zhang, X. Multi-optimal design and dispatch for a grid-connected solar photovoltaic-based multigeneration energy system through economic, energy and environmental assessment. Sol. Energy 2022, 243, 393–409. [Google Scholar] [CrossRef]
- Bakirtzis, A.; Petridis, V.; Kazarlis, S. Genetic algorithm solution to the economic dispatch problem. IEE Proc.-Gener. Transm. Distrib. 1994, 141, 377–382. [Google Scholar] [CrossRef]
- Kahvecioğlu, G.; Morton, D.P.; Wagner, M.J. Dispatch optimization of a concentrating solar power system under uncertain solar irradiance and energy prices. Appl. Energy 2022, 326, 119978. [Google Scholar] [CrossRef]
- Xu, Y.; Song, Y.; Deng, Y.; Liu, Z.; Guo, X.; Zhao, D. Low-carbon economic dispatch of integrated energy system considering the uncertainty of energy efficiency. Energy Rep. 2023, 9, 1003–1010. [Google Scholar] [CrossRef]
- Hua, M.; Ding, H.; Yao, X.Y.; Zhang, X. Distributed Fixed-time Formation-containment Control for Multiple Euler-Lagrange Systems with Directed Graphs. Int. J. Control Autom. Syst. 2021, 19, 837–849. [Google Scholar] [CrossRef]
- Nezami, Z.; Zamanifar, K.; Djemame, K.; Pournaras, E. Decentralized Edge-to-Cloud Load Balancing: Service Placement for the Internet of Things. IEEE Access 2021, 9, 64983–65000. [Google Scholar] [CrossRef]
- Jameel, A.; Rehan, M.; Hong, K.S.; Iqbal, N. Distributed adaptive consensus control of Lipschitz nonlinear multiagent systems using output feedback. Int. J. Control 2016, 89, 2336–2349. [Google Scholar] [CrossRef]
- Fu, H.; Cui, B.; Zhuang, B.; Zhang, J. Anti-collision and Obstacle Avoidance of Mobile Sensor-plus-actuator Networks over Distributed Parameter Systems with Time-varying Delay. Int. J. Control Autom. Syst. 2021, 19, 2373–2384. [Google Scholar] [CrossRef]
- Tang, X.; Li, M.; Wei, S.; Ding, B. Event-triggered Synchronous Distributed Model Predictive Control for Multi-agent Systems. Int. J. Control Autom. Syst. 2021, 19, 1273–1282. [Google Scholar] [CrossRef]
- Li, S.; Ai, W.; Wu, J.; Feng, Q. A fixed-time distributed algorithm for least square solutions of linear equations. Int. J. Control Autom. Syst. 2021, 19, 1311–1318. [Google Scholar] [CrossRef]
- Zhang, Q.; Gong, Z.; Yang, Z.; Chen, Z. Distributed convex optimization for flocking of nonlinear multiagent systems. Int. J. Control Autom. Syst. 2019, 17, 1177–1183. [Google Scholar] [CrossRef]
- Hu, C.; Meng, Z.; Qu, G.; Shin, H.S.; Tsourdos, A. Distributed cooperative path planning for tracking ground moving target by multiple fixed-wing UAVs via DMPC-GVD in urban environment. Int. J. Control Autom. Syst. 2021, 19, 823–836. [Google Scholar] [CrossRef]
- Wang, A.; Liu, W. Distributed incremental cost consensus-based optimization algorithms for economic dispatch in a microgrid. IEEE Access 2020, 8, 12933–12941. [Google Scholar] [CrossRef]
- Wang, R.; Li, Q.; Zhang, B.; Wang, L. Distributed consensus based algorithm for economic dispatch in a microgrid. IEEE Trans. Smart Grid 2019, 10, 3630–3640. [Google Scholar] [CrossRef]
- Zhang, Z.; Ying, X.; Chow, M.Y. Decentralizing the economic dispatch problem using a two-level incremental cost consensus algorithm in a smart grid environment. In Proceedings of the 2011 North American Power Symposium, Boston, MA, USA, 4–6 August 2011; pp. 1–7. [Google Scholar] [CrossRef]
- Zhang, Z.; Chow, M.Y. Incremental cost consensus algorithm in a smart grid environment. In Proceedings of the 2011 IEEE Power and Energy Society General Meeting, Detroit, MI, USA, 24–28 July 2011; pp. 1–6. [Google Scholar]
- Tang, Z.; Hill, D.J.; Liu, T. A novel consensus-based economic dispatch for microgrids. IEEE Trans. Smart Grid 2018, 9, 3920–3922. [Google Scholar] [CrossRef]
- Zhang, Z.; Chow, M.Y. Convergence Analysis of the Incremental Cost Consensus Algorithm Under Different Communication Network Topologies in a Smart Grid. IEEE Trans. Power Syst. 2012, 27, 1761–1768. [Google Scholar] [CrossRef]
- Yu, W.; Li, C.; Yu, X.; Wen, G.; Lü, J. Distributed consensus strategy for economic power dispatch in a smart grid. In Proceedings of the 2015 10th Asian Control Conference (ASCC), Kota Kinabalu, Malaysia, 31 May–3 June 2015; pp. 1–6. [Google Scholar]
- Xu, Y.; Li, Z. Distributed Optimal Resource Management Based on the Consensus Algorithm in a Microgrid. IEEE Trans. Ind. Electron. 2015, 62, 2584–2592. [Google Scholar] [CrossRef]
- Chang, X.; Xu, Y.; Gu, W.; Sun, H.; Chow, M.Y.; Yi, Z. Accelerated Distributed Hybrid Stochastic/Robust Energy Management of Smart Grids. IEEE Trans. Ind. Inf. 2021, 17, 5335–5347. [Google Scholar] [CrossRef]
- Li, P.; Hu, J. An ADMM based distributed finite-time algorithm for economic dispatch problems. IEEE Access 2018, 6, 30969–30976. [Google Scholar] [CrossRef]
- Zhang, Z.; Chow, M.Y. The influence of time delays on decentralized economic dispatch by using incremental cost consensus algorithm. In Control and Optimization Methods for Electric Smart Grids; Springer: New York, NY, USA, 2012; pp. 313–326. [Google Scholar]
- Zhu, Y.; Yu, W.; Wen, G. Distributed consensus strategy for economic power dispatch in a smart grid with communication time delays. In Proceedings of the 2016 IEEE International Conference on Industrial Technology (ICIT), Taipei, Taiwan, 14–17 March 2016; pp. 1384–1389. [Google Scholar]
- Wen, G.; Yu, W.; Yu, X.; Cao, J. Designing adaptive consensus-based scheme for economic dispatch of smart grid. In Proceedings of the 2016 Eighth International Conference on Advanced Computational Intelligence (ICACI), Chiang Mai, Thailand, 14–16 February 2016; pp. 236–241. [Google Scholar]
- Wen, G.; Yu, X.; Liu, Z.W.; Yu, W. Adaptive consensus-based robust strategy for economic dispatch of smart grids subject to communication uncertainties. IEEE Trans. Ind. Inf. 2017, 14, 2484–2496. [Google Scholar] [CrossRef]
- Zhou, Y.; Zhu, S.; Chen, Q. Distributed Prescribed Finite Time Consensus Scheme for Economic Dispatch of Smart Grids with the Valve Point Effect. Complexity 2020, 2020, 5476846. [Google Scholar] [CrossRef]
- Yu, M.; Song, C.; Feng, S.; Tan, W. A consensus approach for economic dispatch problem in a microgrid with random delay effects. Int. J. Electr. Power Energy Syst. 2020, 118, 105794. [Google Scholar] [CrossRef]
- Chen, W.; Li, T. Distributed Economic Dispatch for Energy Internet Based on Multiagent Consensus Control. IEEE Trans. Autom. Control 2021, 66, 137–152. [Google Scholar] [CrossRef]
- Basu, M. Economic environmental dispatch using multi-objective differential evolution. Appl. Soft Comput. 2011, 11, 2845–2853. [Google Scholar] [CrossRef]
- Zou, D.; Li, S.; Li, Z.; Kong, X. A new global particle swarm optimization for the economic emission dispatch with or without transmission losses. Energy Convers. Manag. 2017, 139, 45–70. [Google Scholar] [CrossRef]
- Olfati-Saber, R.; Murray, R.M. Consensus problems in networks of agents with switching topology and time-delays. IEEE Trans. Autom. Control 2004, 49, 1520–1533. [Google Scholar] [CrossRef]
- Ren, W.; Beard, R.W. Distributed Consensus in Multi-Vehicle Cooperative Control; Springer: Berlin/Heidelberg, Germany, 2008. [Google Scholar]
- Kamran, M.A.; Hong, K.S. Linear parameter-varying model and adaptive filtering technique for detecting neuronal activities: An fNIRS study. J. Neural Eng. 2013, 10, 056002. [Google Scholar] [CrossRef] [PubMed]
- Yao, Z.; Zhou, P.; Zhu, Z.; Ma, J. Phase synchronization between a light-dependent neuron and a thermosensitive neuron. Neurocomputing 2021, 423, 518–534. [Google Scholar] [CrossRef]
- Xu, L.; Qi, G.; Ma, J. Modeling of memristor-based Hindmarsh-Rose neuron and its dynamical analyses using energy method. Appl. Math. Model. 2022, 101, 503–516. [Google Scholar] [CrossRef]
- Zhou, P.; Hu, X.; Zhu, Z.; Ma, J. What is the most suitable Lyapunov function? Chaos Solitons Fractals 2021, 150, 111154. [Google Scholar] [CrossRef]
- Ahmad, S.; Rehan, M.; Hong, K.S. Observer-based robust control of one-sided Lipschitz nonlinear systems. ISA Trans. 2016, 65, 230–240. [Google Scholar] [CrossRef]
- Rehan, M.; Ahmad, S.; Hong, K.S. Novel results on observer-based control of one-sided Lipschitz systems under input saturation. Eur. J. Control 2020, 53, 29–42. [Google Scholar] [CrossRef]
- Hussain, M.; Rehan, M.; Ahn, C.K.; Hong, K.S.; Saqib, N.u. Simultaneous design of AWC and nonlinear controller for uncertain nonlinear systems under input saturation. Int. J. Robust Nonlinear Control 2019, 29, 2877–2897. [Google Scholar] [CrossRef]
Disclaimer/Publisher’s Note: The statements, opinions and data contained in all publications are solely those of the individual author(s) and contributor(s) and not of MDPI and/or the editor(s). MDPI and/or the editor(s) disclaim responsibility for any injury to people or property resulting from any ideas, methods, instructions or products referred to in the content. |
© 2022 by the authors. Licensee MDPI, Basel, Switzerland. This article is an open access article distributed under the terms and conditions of the Creative Commons Attribution (CC BY) license (https://creativecommons.org/licenses/by/4.0/).
