A Comprehensive Survey of Alkaline Electrolyzer Modeling: Electrical Domain and Specific Electrolyte Conductivity
Abstract
:1. Introduction
2. Alkaline Electrolyser Technology
2.1. Operation and Characteristics
2.2. Static and Dynamic Operation
3. Electrical Domain Modeling
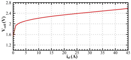
3.1. Static Modeling
3.1.1. Introduction
3.1.2. Semi-Empirical Modeling
3.1.3. Empirical Modeling
Reversible Potential
Activation Overpotential
Ohmic Overpotential
- a.
- Electrodes
- b.
- Electrolytes
- c.
- Membrane
3.2. Dynamic Modeling
- A DC source, Vrev, represents the reversible voltage (located on the cathode side where the hydrogen is generated).
- A current source (iact,a or iact,c) connected in parallel with a capacitor Ca or CC modeling the activation overvoltage and especially the well-known double-layer effect between the electrode (anode or cathode) and the electrolyte.
- Four resistors Ra, Rc, Rmem, and Rele model, respectively, the anode, cathode, membrane, and electrolyte.
3.3. Specific Electrolyte Conductivity
4. Conclusions
Author Contributions
Funding
Institutional Review Board Statement
Informed Consent Statement
Data Availability Statement
Acknowledgments
Conflicts of Interest
References
- Climate Change 2022: Impacts, Adaptation and Vulnerability. Available online: https://www.ipcc.ch/report/ar6/wg2/ (accessed on 29 April 2022).
- Carmo, M.; Fritz, D.L.; Mergel, J.; Stolten, D. A Comprehensive Review on PEM Water Electrolysis. Int. J. Hydrogen Energy 2013, 38, 4901–4934. [Google Scholar] [CrossRef]
- Falcão, D.S.; Pinto, A.M.F.R. A Review on PEM Electrolyzer Modelling: Guidelines for Beginners. J. Clean. Prod. 2020, 261, 121184. [Google Scholar] [CrossRef]
- Buttler, A.; Spliethoff, H. Current Status of Water Electrolysis for Energy Storage, Grid Balancing and Sector Coupling via Power-to-Gas and Power-to-Liquids: A Review. Renew. Sustain. Energy Rev. 2018, 82, 2440–2454. [Google Scholar] [CrossRef]
- Apostolou, D. Optimisation of a Hydrogen Production-Storage-Re-Powering System Participating in Electricity and Transportation Markets. A Case Study for Denmark. Appl. Energy 2020, 265, 114800. [Google Scholar] [CrossRef]
- Guilbert, D.; Vitale, G. Hydrogen as a Clean and Sustainable Energy Vector for Global Transition from Fossil-Based to Zero-Carbon. Clean Technol. 2021, 3, 881–909. [Google Scholar] [CrossRef]
- Available online: Https://Ec.Europa.Eu/Growth/Industry/Strategy/Hydrogen_en (accessed on 3 April 2022).
- Shiva Kumar, S.; Himabindu, V. Hydrogen Production by PEM Water Electrolysis—A Review. Mater. Sci. Energy Technol. 2019, 2, 442–454. [Google Scholar] [CrossRef]
- Yodwong, B.; Guilbert, D.; Phattanasak, M.; Kaewmanee, W.; Hinaje, M.; Vitale, G. AC-DC Converters for Electrolyzer Applications: State of the Art and Future Challenges. Electronics 2020, 9, 912. [Google Scholar] [CrossRef]
- Liaqat, K.; Fazil, S.; Rehman, W.; Saeed, S.; Menaa, F.; Shah, S.A.H.; Nawaz, M.; Alharbi, W.N.; Menaa, B.; Farooq, M. Sulfonated Polyimide Membranes Derived from a Novel Sulfonated Diamine with Pendant Benzenesulfonic Acid for Fuel Cells. Energies 2021, 14, 6050. [Google Scholar] [CrossRef]
- David, M.; Ocampo-Martínez, C.; Sánchez-Peña, R. Advances in Alkaline Water Electrolyzers: A Review. J. Energy Storage 2019, 23, 392–403. [Google Scholar] [CrossRef] [Green Version]
- Li, C.; Baek, J.-B. The Promise of Hydrogen Production from Alkaline Anion Exchange Membrane Electrolyzers. Nano Energy 2021, 87, 106162. [Google Scholar] [CrossRef]
- Carmo, M.; Stolten, D. Chapter 4—Energy Storage Using Hydrogen Produced from Excess Renewable Electricity: Power to Hydrogen. In Science and Engineering of Hydrogen-Based Energy Technologies; de Miranda, P.E.V., Ed.; Academic Press: Cambridge, MA, USA, 2019; pp. 165–199. ISBN 978-0-12-814251-6. [Google Scholar]
- Wulf, C.; Linssen, J.; Zapp, P. Chapter 9—Power-to-Gas—Concepts, Demonstration, and Prospects. In Hydrogen Supply Chains; Azzaro-Pantel, C., Ed.; Academic Press: Cambridge, MA, USA, 2018; pp. 309–345. ISBN 978-0-12-811197-0. [Google Scholar]
- Cao, Q.; Hao, S.; Wu, Y.; Pei, K.; You, W.; Che, R. Interfacial Charge Redistribution in Interconnected Network of Ni2P–Co2P Boosting Electrocatalytic Hydrogen Evolution in Both Acidic and Alkaline Conditions. Chem. Eng. J. 2021, 424, 130444. [Google Scholar] [CrossRef]
- Tang, J.; Wang, B.; Zhang, Y.; Zhang, X.; Shen, Q.; Qin, J.; Xue, S.; Guo, X.; Du, C.; Chen, J. One-Step Integration of Amorphous RuBx and Crystalline Ru Nanoparticles into B/N-Doped Porous Carbon Polyhedra for Robust Electrocatalytic Activity towards the HER in Both Acidic and Basic Media. J. Mater. Chem. A 2022, 10, 4181–4190. [Google Scholar] [CrossRef]
- Bessarabov, D.; Wang, H.; Li, H.; Zhao, N. (Eds.) PEM Electrolysis for Hydrogen Production: Principles and Applications; CRC Press: Boca Raton, FL, USA, 2015; ISBN 978-0-429-18360-7. [Google Scholar]
- Schalenbach, M.; Carmo, M.; Fritz, D.L.; Mergel, J.; Stolten, D. Pressurized PEM Water Electrolysis: Efficiency and Gas Crossover. Int. J. Hydrogen Energy 2013, 38, 14921–14933. [Google Scholar] [CrossRef]
- Hernández-Gómez, Á.; Ramirez, V.; Guilbert, D. Investigation of PEM Electrolyzer Modeling: Electrical Domain, Efficiency, and Specific Energy Consumption. Int. J. Hydrogen Energy 2020, 45, 14625–14639. [Google Scholar] [CrossRef]
- Yodwong, B.; Guilbert, D.; Phattanasak, M.; Kaewmanee, W.; Hinaje, M.; Vitale, G. Proton Exchange Membrane Electrolyzer Modeling for Power Electronics Control: A Short Review. C J. Carbon Res. 2020, 6, 29. [Google Scholar] [CrossRef]
- Millet, P.; Ranjbari, A.; de Guglielmo, F.; Grigoriev, S.A.; Auprêtre, F. Cell Failure Mechanisms in PEM Water Electrolyzers. Int. J. Hydrogen Energy 2012, 37, 17478–17487. [Google Scholar] [CrossRef]
- Brauns, J.; Turek, T. Alkaline Water Electrolysis Powered by Renewable Energy: A Review. Processes 2020, 8, 248. [Google Scholar] [CrossRef] [Green Version]
- Santos, A.L.; Cebola, M.-J.; Santos, D.M.F. Towards the Hydrogen Economy—A Review of the Parameters That Influence the Efficiency of Alkaline Water Electrolyzers. Energies 2021, 14, 3193. [Google Scholar] [CrossRef]
- Shirvanian, P.; Loh, A.; Sluijter, S.; Li, X. Novel Components in Anion Exchange Membrane Water Electrolyzers (AEMWE’s): Status, Challenges and Future Needs. A Mini Review. Electrochem. Commun. 2021, 132, 107140. [Google Scholar] [CrossRef]
- Wang, L.; Chen, M.; Küngas, R.; Lin, T.-E.; Diethelm, S.; Maréchal, F.; Van herle, J. Power-to-Fuels via Solid-Oxide Electrolyzer: Operating Window and Techno-Economics. Renew. Sustain. Energy Rev. 2019, 110, 174–187. [Google Scholar] [CrossRef]
- Demo4Grid Project. Available online: https://Www.Demo4grid.Eu/ (accessed on 11 January 2022).
- CEOG Project|McPhy. Available online: Https://Mcphy.Com/En/Press-Releases/Ceog-Project/?Cn-Reloaded=1 (accessed on 11 January 2022).
- Minke, C.; Suermann, M.; Bensmann, B.; Hanke-Rauschenbach, R. Is Iridium Demand a Potential Bottleneck in the Realization of Large-Scale PEM Water Electrolysis? Int. J. Hydrogen Energy 2021, 46, 23581–23590. [Google Scholar] [CrossRef]
- Doan, T.L.; Lee, H.E.; Kim, M.; Cho, W.C.; Cho, H.S.; Kim, T. Influence of IrO2/TiO2 Coated Titanium Porous Transport Layer on the Performance of PEM Water Electrolysis. J. Power Sources 2022, 533, 231370. [Google Scholar] [CrossRef]
- Laube, A.; Hofer, A.; Ressel, S.; Chica, A.; Bachmann, J.; Struckmann, T. PEM Water Electrolysis Cells with Catalyst Coating by Atomic Layer Deposition. Int. J. Hydrogen Energy 2021, 46, 38972–38982. [Google Scholar] [CrossRef]
- Scheepers, F.; Stähler, M.; Stähler, A.; Rauls, E.; Müller, M.; Carmo, M.; Lehnert, W. Improving the Efficiency of PEM Electrolyzers through Membrane-Specific Pressure Optimization. Energies 2020, 13, 612. [Google Scholar] [CrossRef] [Green Version]
- El-Shafie, M.; Kambara, S.; Hayakawa, Y. Hydrogen Production Technologies Overview. J. Power Energy Eng. 2019, 7, 107–154. [Google Scholar] [CrossRef] [Green Version]
- Yue, M.; Lambert, H.; Pahon, E.; Roche, R.; Jemei, S.; Hissel, D. Hydrogen Energy Systems: A Critical Review of Technologies, Applications, Trends and Challenges. Renew. Sustain. Energy Rev. 2021, 146, 111180. [Google Scholar] [CrossRef]
- Keddar, M.; Zhang, Z.; Periasamy, C.; Doumbia, M.L. Comparative Analysis of Thyristor-Based and Transistor-Based Rectifiers for PEM Water Electrolysis. In Proceedings of the 2021 12th International Renewable Energy Congress (IREC), Hammamet, Tunisia, 26–28 October 2021; pp. 1–5. [Google Scholar]
- Koponen, J.; Poluektov, A.; Ruuskanen, V.; Kosonen, A.; Niemelä, M.; Ahola, J. Comparison of Thyristor and Insulated-Gate Bipolar Transistor -Based Power Supply Topologies in Industrial Water Electrolysis Applications. J. Power Sources 2021, 491, 229443. [Google Scholar] [CrossRef]
- Brauns, J.; Turek, T. Experimental Evaluation of Dynamic Operating Concepts for Alkaline Water Electrolyzers Powered by Renewable Energy. Electrochim. Acta 2022, 404, 139715. [Google Scholar] [CrossRef]
- Ulleberg, Ø. Modeling of Advanced Alkaline Electrolyzers: A System Simulation Approach. Int. J. Hydrogen Energy 2003, 28, 21–33. [Google Scholar] [CrossRef]
- Sánchez, M.; Amores, E.; Rodríguez, L.; Clemente-Jul, C. Semi-Empirical Model and Experimental Validation for the Performance Evaluation of a 15 KW Alkaline Water Electrolyzer. Int. J. Hydrogen Energy 2018, 43, 20332–20345. [Google Scholar] [CrossRef]
- Ursúa, A.; San Martín, I.; Barrios, E.L.; Sanchis, P. Stand-Alone Operation of an Alkaline Water Electrolyser Fed by Wind and Photovoltaic Systems. Int. J. Hydrogen Energy 2013, 38, 14952–14967. [Google Scholar] [CrossRef]
- Amores, E.; Rodríguez, J.; Carreras, C. Influence of Operation Parameters in the Modeling of Alkaline Water Electrolyzers for Hydrogen Production. Int. J. Hydrogen Energy 2014, 39, 13063–13078. [Google Scholar] [CrossRef]
- Ma, Z.; Witteman, L.; Wrubel, J.A.; Bender, G. A Comprehensive Modeling Method for Proton Exchange Membrane Electrolyzer Development. Int. J. Hydrogen Energy 2021, 46, 17627–17643. [Google Scholar] [CrossRef]
- David, M.; Alvarez, H.; Ocampo-Martinez, C.; Sánchez-Peña, R. Dynamic Modelling of Alkaline Self-Pressurized Electrolyzers: A Phenomenological-Based Semiphysical Approach. Int. J. Hydrogen Energy 2020, 45, 22394–22407. [Google Scholar] [CrossRef]
- Ruuskanen, V.; Koponen, J.; Huoman, K.; Kosonen, A.; Niemelä, M.; Ahola, J. PEM Water Electrolyzer Model for a Power-Hardware-in-Loop Simulator. Int. J. Hydrogen Energy 2017, 42, 10775–10784. [Google Scholar] [CrossRef]
- Henao, C.; Agbossou, K.; Hammoudi, M.; Dubé, Y.; Cardenas, A. Simulation Tool Based on a Physics Model and an Electrical Analogy for an Alkaline Electrolyser. J. Power Sources 2014, 250, 58–67. [Google Scholar] [CrossRef]
- Ursúa, A.; Sanchis, P. Static–Dynamic Modelling of the Electrical Behaviour of a Commercial Advanced Alkaline Water Electrolyser. Int. J. Hydrogen Energy 2012, 37, 18598–18614. [Google Scholar] [CrossRef]
- Adibi, T.; Sojoudi, A.; Saha, S.C. Modeling of Thermal Performance of a Commercial Alkaline Electrolyzer Supplied with Various Electrical Currents. Int. J. 2022, 13, 100126. [Google Scholar] [CrossRef]
- Rodríguez, J.; Amores, E. CFD Modeling and Experimental Validation of an Alkaline Water Electrolysis Cell for Hydrogen Production. Processes 2020, 8, 1634. [Google Scholar] [CrossRef]
- Janjua, M.B.I.; Le Roy, R.L. Electrocatalyst Performance in Industrial Water Electrolysers. Int. J. Hydrogen Energy 1985, 10, 11–19. [Google Scholar] [CrossRef]
- Lavorante, M.J.; Franco, J. Performance of Stainless Steel 316L Electrodes with Modified Surface to Be Use in Alkaline Water Electrolyzers. Int. J. Hydrogen Energy 2016, 23, 9731–9737. [Google Scholar] [CrossRef]
- Brauns, J.; Schönebeck, J.; Kraglund, M.R.; Aili, D.; Hnát, J.; Žitka, J.; Mues, W.; Jensen, J.O.; Bouzek, K.; Turek, T. Evaluation of Diaphragms and Membranes as Separators for Alkaline Water Electrolysis. J. Electrochem. Soc. 2021, 168, 014510. [Google Scholar] [CrossRef]
- Gilliam, R.J.; Graydon, J.W.; Kirk, D.W.; Thorpe, S.J. A Review of Specific Conductivities of Potassium Hydroxide Solutions for Various Concentrations and Temperatures. Int. J. Hydrogen Energy 2007, 32, 359–364. [Google Scholar] [CrossRef]
- Speckmann, F.-W.; Bintz, S.; Birke, K.P. Influence of Rectifiers on the Energy Demand and Gas Quality of Alkaline Electrolysis Systems in Dynamic Operation. Appl. Energy 2019, 250, 855–863. [Google Scholar] [CrossRef]
- Hernández-Gómez, Á.; Ramirez, V.; Guilbert, D.; Saldivar, B. Self-Discharge of a Proton Exchange Membrane Electrolyzer: Investigation for Modeling Purposes. Membranes 2021, 11, 379. [Google Scholar] [CrossRef]
- Hernández-Gómez, Á.; Ramirez, V.; Guilbert, D.; Saldivar, B. Cell Voltage Static-Dynamic Modeling of a PEM Electrolyzer Based on Adaptive Parameters: Development and Experimental Validation. Renew. Energy 2021, 163, 1508–1522. [Google Scholar] [CrossRef]
- Maamouri, R.; Guilbert, D.; Zasadzinski, M.; Rafaralahy, H. Proton Exchange Membrane Water Electrolysis: Modeling for Hydrogen Flow Rate Control. Int. J. Hydrogen Energy 2021, 46, 7676–7700. [Google Scholar] [CrossRef]
- Guilbert, D.; Vitale, G. Variable Parameters Model of a PEM Electrolyzer Based Model Reference Adaptive System Approach. In Proceedings of the 2020 IEEE International Conference on Environment and Electrical Engineering and 2020 IEEE Industrial and Commercial Power Systems Europe (EEEIC/I CPS Europe), Madrid, Spain, 9–12 June 2020; pp. 1–6. [Google Scholar]
- Guilbert, D.; Sorbera, D.; Vitale, G. A Stacked Interleaved DC-DC Buck Converter for Proton Exchange Membrane Electrolyzer Applications: Design and Experimental Validation. Int. J. Hydrogen Energy 2020, 45, 64–79. [Google Scholar] [CrossRef]








| Strengths | Weaknesses |
|---|---|
|
|
| Opportunities | Threats |
|
|
| Strengths | Weaknesses |
|---|---|
|
|
| Opportunities | Threats |
|
|
| Specification | Alkaline Electrolyzer | PEM Electrolyzer |
|---|---|---|
| Electrolyte | 25–30% KOH aqueous solution | Solid polymer |
| Cell temperature | 60–80 °C | 50–80 °C |
| Gas purity | 99.999% | 99.999% |
| Pressure | 1–200 bar | 1–50 bar |
| Current density | 0.2–0.7 A·cm−² | 0.6–2.0 A·cm−² |
| Cell voltage | 1.5–2.6 V | 1.4–2.3 V |
| Cell voltage efficiency (LHV 1, HHV 2) | 58–77% | 57–83% |
| Stack voltage | 18–522 V | 4–125 V |
| Stack Current | 60–5250 A | 9–75 A |
| System efficiency | 55–73% | 55–75% |
| Specific energy consumption at stack | 3.8–4.4 kWh·Nm−3 | 4.53–7.3 kWh·Nm−3 |
| Production capacity dynamic range | 15–100% | 0–100% |
| Cell area | ≤4 m² | ≤300 m² |
| Hydrogen production rate | 1.5–3880 Nm3·h−1 | 0.22–5000 Nm3·h−1 |
| Hydrogen volume rate | Up to 8374 kg/24 h | Up to 10786 kg/24 h |
| Lifetime stack | <90,000 h (more than 10 years) | <60,000 h |
| Lifetime system incl. maintenance | 20 + years | 35,000–80,000 h (around 9 years) |
| Parameters | Value | Unit |
|---|---|---|
| Rated electrical power | 150 | W |
| Operating voltage range | 1.6–2.6 | V |
| Current range | 0–45 | A |
| Delivery output hydrogen pressure | 0.1–10.5 | Bar |
| Hydrogen purity | 99.999 | % |
| Cells number | 1 | - |
| Hydrogen volume range | 0–310 | mL·min−1 |
| Electrolyte | 32% weight KOH | - |
| Parameter | Equation (6) [22,37] | Equation (7) [22,38] | Equation (8) [40] | Unit |
|---|---|---|---|---|
| r1 | 8.05 × 10−5 | 4.45153 × 10−5 | 3.53855 × 10−4 | Ω m² |
| r2 | −2.5 × 10−7 | 6.88874 × 10−9 | −3.02150 × 10−6 | Ω m2 °C−1 |
| s | 0.185 | 0.33824 | 2.2396 × 10−1 | V |
| t1 | 1.002 | −0.01539 | 5.13093 | m2 A−1 |
| t2 | 8.424 | 2.00181 | −2.40447 × 102 | m2 °C A−1 |
| t3 | 247.3 | 15.24178 | 5.99576 × 103 | m2 °C2 A−1 |
| δ1 | - | −3.12996 × 10−6 | - | Ω m² |
| δ2 | - | 4.47137 × 10−7 | - | Ω m2 bar−1 |
| p1 | - | - | 3.410251 × 10−4 | Ω m2 |
| p2 | - | - | −7.489577 × 10−5 | Ω m2 mol−1 L |
| p3 | - | - | 3.916035 × 10−6 | Ω m2 mol−2 L2 |
| q1 | - | - | −1.576117 × 10−4 | Ω m² |
| q2 | - | - | 1.576117 × 10−5 | Ω m2 mm−1 |
| Parameter | Equation (41) | Unit | Equation (42) | Unit |
|---|---|---|---|---|
| K1 | 27.9844803 | S m−1 | −45.7 | S m−1 |
| K2 | −0.924129482 | S m−1 K−1 | 1.02 | S m−1 °C−1 |
| K3 | −0.0149660371 | S m−1 K−2 | 3200 | S m−1 |
| K4 | −0.0905209551 | S m−1 K−1 | −2990 | S m−1 |
| K5 | 0.0114933252 | S m−1 K−2 | 784 | S m−1 |
| K6 | 0.1765 | - | - | - |
| K7 | 6.96648518 | S m−1 K−1 | - | - |
| K8 | −2898.15658 | S m−1 K | - | - |
Publisher’s Note: MDPI stays neutral with regard to jurisdictional claims in published maps and institutional affiliations. |
© 2022 by the authors. Licensee MDPI, Basel, Switzerland. This article is an open access article distributed under the terms and conditions of the Creative Commons Attribution (CC BY) license (https://creativecommons.org/licenses/by/4.0/).
Share and Cite
Gambou, F.; Guilbert, D.; Zasadzinski, M.; Rafaralahy, H. A Comprehensive Survey of Alkaline Electrolyzer Modeling: Electrical Domain and Specific Electrolyte Conductivity. Energies 2022, 15, 3452. https://doi.org/10.3390/en15093452
Gambou F, Guilbert D, Zasadzinski M, Rafaralahy H. A Comprehensive Survey of Alkaline Electrolyzer Modeling: Electrical Domain and Specific Electrolyte Conductivity. Energies. 2022; 15(9):3452. https://doi.org/10.3390/en15093452
Chicago/Turabian StyleGambou, Frank, Damien Guilbert, Michel Zasadzinski, and Hugues Rafaralahy. 2022. "A Comprehensive Survey of Alkaline Electrolyzer Modeling: Electrical Domain and Specific Electrolyte Conductivity" Energies 15, no. 9: 3452. https://doi.org/10.3390/en15093452
APA StyleGambou, F., Guilbert, D., Zasadzinski, M., & Rafaralahy, H. (2022). A Comprehensive Survey of Alkaline Electrolyzer Modeling: Electrical Domain and Specific Electrolyte Conductivity. Energies, 15(9), 3452. https://doi.org/10.3390/en15093452

