Radial Magnetic Bearings for Rotor–Shaft Support in Electric Jet Engine
Abstract
:1. Introduction
- The elimination of friction forces between cooperating elements, owing to the non-contact support of the rotor–shaft, ensures high durability of the journals and a lack of tribological wear;
- There is no need for lubrication, which, thanks to the removal of the lubrication system, significantly reduces the aircraft’s weight and shortens service time;
- Smaller radial stiffness, resulting in a reduction in critical speeds, owing to which there is a greater range of operating speeds at which the rotor–shaft tends to self-centre;
- Reduction in noise level and pollution generated by removing the lubrication system, which is a source of toxic materials that threaten the natural environment and operating personnel.
2. Study Object: Radial Active Magnetic Bearing
2.1. Active Magnetic Bearing Theory
2.2. AMB Model in Comsol Multiphysics Software
3. Results
3.1. Theoretical Studies with the Use of Comsol Multiphysics Software
3.2. Experimental Verification
4. Discussion
5. Conclusions
- The distribution of magnetic flux density in the magnetic circuit of the magnetic bearing (the steal and an air gap);
- The distribution of the magnetic field;
- The distribution of the neglected magnetic field;
- Magnetisation;
- The density of the electric current;
- The density of the induced current;
- The magnetic notch phenomenon;
- The influence of control current and the position of the rotor in the air gap for magnetic forces.
Author Contributions
Funding
Institutional Review Board Statement
Informed Consent Statement
Data Availability Statement
Conflicts of Interest
References
- Botten, S.L.; Whitley, C.; King, A.D. Flight control actuation Technology for next-generation all-electric aircraft. Technol. Rev. J. 2000, 8, 55–68. [Google Scholar]
- Kozakiewicz, A.; Grzegorczyk, T. Electric Aircraft Propulsion. J. KONBiN 2021, 51, 49–66. [Google Scholar] [CrossRef]
- Saucedo-Dorantes, J.J.; Arellano-Espitia, F.; Delgado-Prieto, M.; Osornio-Rios, R.A. Diagnosis methodology based on deep feature learning for fault identification in metallic, hybrid and ceramic bearings. Sensors 2021, 21, 5832. [Google Scholar] [CrossRef] [PubMed]
- Gosiewski, Z.; Henzel, M.; Falkowski, K.; Żokowski, M. Numerical and Experimental Testing of Bearingless Induction Motor. Solid State Phenom. 2013, 198, 382–387. [Google Scholar] [CrossRef]
- Chiba, A.; Fukao, T.; Ichikawa, O.; Oshima, M.; Takemoto, M.; Dorrell, D. Magnetic Bearings and Bearingless Drives; Elsevier’s Science Technology Rights Department in Oxford: Oxford, UK, 2005; pp. 1–96. [Google Scholar]
- Sandtner, J.; Bleuler, H. Electrodynamic Passive Magnetic Bearing with Planar Halbach Arrays. In Proceedings of the 9th Int. Symposium on Magnetic Bearings, Lexington, KY, USA, 3–6 August 2004. [Google Scholar]
- Falkowski, K. The ring with molecular current as the model of the passive magnetic bearing. J. Vibroengineering 2012, 14, 135–142. [Google Scholar]
- Sun, X.; Su, B.; Chen, L.; Yang, Z.; Li, K. Design and analysis of interior composite-rotor bearingless permanent magnet synchronous motors with two layer permanent magnets. Bull. Pol. Acad. Sci. Tech. Sci. 2017, 65, 833–843. [Google Scholar] [CrossRef]
- ISO14839-1; “Mechanical Vibration—Vibration of Rotating Machinery Equipped with Active Magnetic Bearings”—Part 1: Vocabulary. 2nd ed. 2018. Available online: https://www.iso.org/standard/68127.html (accessed on 30 October 2018).
- Filatov, A.V.; Maslen, E.H.; Gillies, G.T. A method of non-contact suspension of rotating bodies using electromagnetic forces. J. Appl. Phys. 2002, 91, 2355–2371. [Google Scholar] [CrossRef]
- Filatov, A.V.; Maslen, E.H.; Gillies, G.T. Stability of an electro-dynamic suspension. J. Appl. Phys. 2002, 92, 3345–3353. [Google Scholar] [CrossRef]
- Lembke, T.A. Design and Analysis of a Novel Low Loss Homopolar Electro-Dynamic Bearing. Ph.D. Thesis, KTH Electrical Engineering, Stockholm, Sweden, 2005. [Google Scholar]
- Amati, N.; De Lépine, X.; Tonoli, A. Modeling of electro-dynamic bearings. ASME J. Vib. Acoust. 2008, 130, 061007–061016. [Google Scholar] [CrossRef]
- Detoni, J.G.; Impinna, F.; Tonoli, A.; Amati, N. Unified modeling of passive homopolar and heteropolar electro-dynamic bearings. J. Sound Vib. 2012, 331, 4219–4232. [Google Scholar] [CrossRef]
- Cui, P.; He, J.; Fang, J.; Xu, X.; Cui, J.; Yang, S. Research on method for adaptive imbalance vibration control for rotor of variable-speed mscmg with active-passive magnetic bearings. J. Vib. Control. 2015, 23, 167–180. [Google Scholar] [CrossRef]
- Impinna, F.; Detoni, J.G.; Tonoli, A.; Amati, N.; Piccolo, M.P. Test and Theory of Electro-Dynamic Bearings Coupled to Active Magnetic Dampers. In Proceedings of the 14th Int. Symposium on Magnetic Bearings, Linz, Austria, 11–14 August 2014. [Google Scholar]
- Cui, Q. Stabilization of Electrodynamic Bearings with Active Magnetic Dampers. Ph.D. Thesis, No. 7334. École Polytechnique Fédérale de Lausanne, Lausanne, Switzerland, 2016. [Google Scholar]
- Detoni, J.G.; Impinna, F.; Amati, N.; Tonoli, A.; Piccolo, M.P.; Genta, G. Stability of a 4 Degree of Freedom Rotor on Electro-Dynamic Passive Magnetic Bearings. In Proceedings of the 14th Int. Symposium on Magnetic Bearings, Linz, Austria, 11–14 August 2014. [Google Scholar]
- Szolc, T.; Falkowski, K.; Henzel, M.; Kurnyta-Mazurek, P. The determination of parameters for a design of the stable electro-dynamic passive magnetic support of a high-speed flexible rotor. Bull. Pol. Acad. Sci. Tech. Sci. 2019, 67, 91–105. [Google Scholar]
- Szolc, T.; Falkowski, K.; Kurnyta-Mazurek, P. Design of a combined self-stabilizing electro-dynamic passive magnetic bearing support for the automotive turbocharger rotor. J. Vib. Control. 2020, 27, 815–826. [Google Scholar] [CrossRef]
- Carvalho Souza, F.E.; Silva, W.; Ortiz Salazar, A.; Paiva, J.; Moura, D.; Villarreal, E.R.L. A Novel Driving Scheme for Three-Phase Bearingless Induction Machine with Split Winding. Energies 2021, 14, 4930. [Google Scholar] [CrossRef]
- Chen, Y.; Bu, W.; Qiao, Y. Research on the Speed Sliding Mode Observation Method of a Bearingless Induction Motor. Energies 2021, 14, 864. [Google Scholar] [CrossRef]
- Hua, Y.; Zhu, H.; Gao, M.; Ji, Z. Design and Analysis of Two Permanent-Magnet-Assisted Bearingless Synchronous Reluctance Motors with Different Rotor Structure. Energies 2021, 14, 879. [Google Scholar] [CrossRef]
- Wang, X.; Zhang, Y.; Gao, P. Design and Analysis of Second-Order Sliding Mode Controller for Active Magnetic Bearing. Energies 2020, 13, 5965. [Google Scholar] [CrossRef]




























| Parameters | Symbol | Value | Unit |
|---|---|---|---|
| Stator outer diameter | d2 | 90 | mm |
| Stator inner diameter | d1 | 48 | mm |
| Stator length | l | 40 | mm |
| Air gap (operation point) | x0 | 0.25 | mm |
| Pole area | A | 374.4 | mm2 |
| Coil turns | N | 30 | - |
| Max. current for operation point | i0 | 4 | A |
| (a) | |||
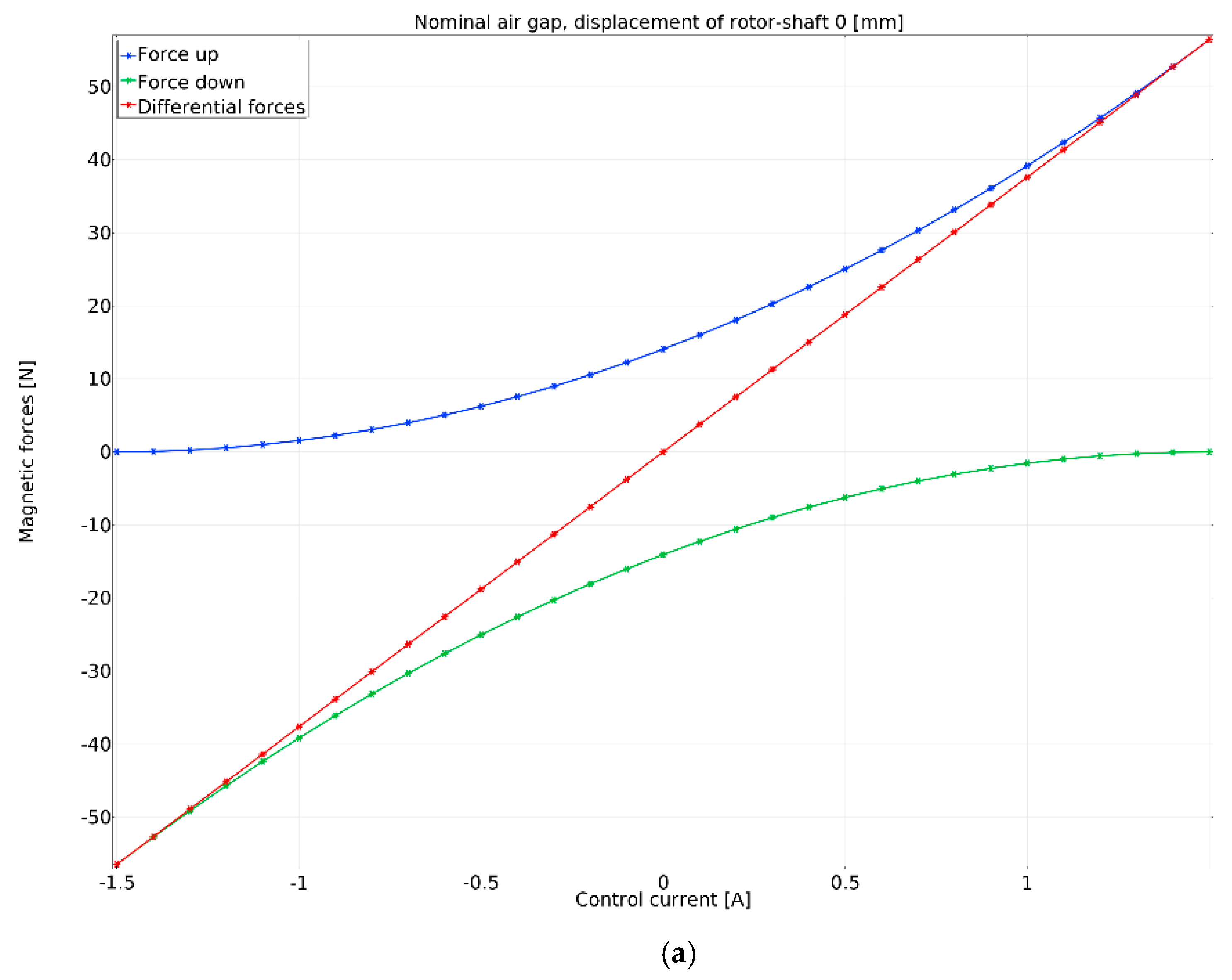
| Control Current | Force up (Magnetic Force Generated by Upper Electromagnet) | Force Down (Magnetic Force Generated by Bottom Electromagnet) | Resultant Force |
| −1.5000 | 0.0000 | −56.451 | −56.451 |
| −1.4000 | 0.062211 | −52.741 | −52.679 |
| −1.3000 | 0.24884 | −49.159 | −48.910 |
| −1.2000 | 0.55991 | −45.702 | −45.142 |
| −1.1000 | 0.99546 | −42.372 | −41.377 |
| −1.0000 | 1.5556 | −39.168 | −37.612 |
| −0.90000 | 2.2409 | −36.089 | −33.849 |
| −0.80000 | 3.0518 | −33.137 | −30.085 |
| −0.70000 | 3.9884 | −30.311 | −26.322 |
| −0.60000 | 5.0502 | −27.611 | −22.560 |
| −0.50000 | 6.2378 | −25.037 | −18.799 |
| −0.40000 | 7.5510 | −22.590 | −15.039 |
| −0.30000 | 8.9898 | −20.269 | −11.279 |
| −0.20000 | 10.555 | −18.074 | −7.5190 |
| −0.10000 | 12.245 | −16.005 | −3.7595 |
| 0.0000 | 14.062 | −14.062 | 0.0000 |
| 0.10000 | 16.005 | −12.245 | 3.7595 |
| 0.20000 | 18.074 | −10.555 | 7.5190 |
| 0.30000 | 20.269 | −8.9898 | 11.279 |
| 0.40000 | 22.590 | −7.5510 | 15.039 |
| 0.50000 | 25.037 | −6.2378 | 18.799 |
| 0.60000 | 27.611 | −5.0502 | 22.560 |
| 0.70000 | 30.311 | −3.9884 | 26.322 |
| 0.80000 | 33.137 | −3.0518 | 30.085 |
| 0.90000 | 36.089 | −2.2409 | 33.849 |
| 1.0000 | 39.168 | −1.5556 | 37.612 |
| 1.1000 | 42.372 | −0.99546 | 41.377 |
| 1.2000 | 45.702 | −0.55991 | 45.142 |
| 1.3000 | 49.159 | −0.24884 | 48.910 |
| 1.4000 | 52.741 | −0.062211 | 52.679 |
| 1.5000 | 56.451 | 0.0000 | 56.451 |
| (b) | |||
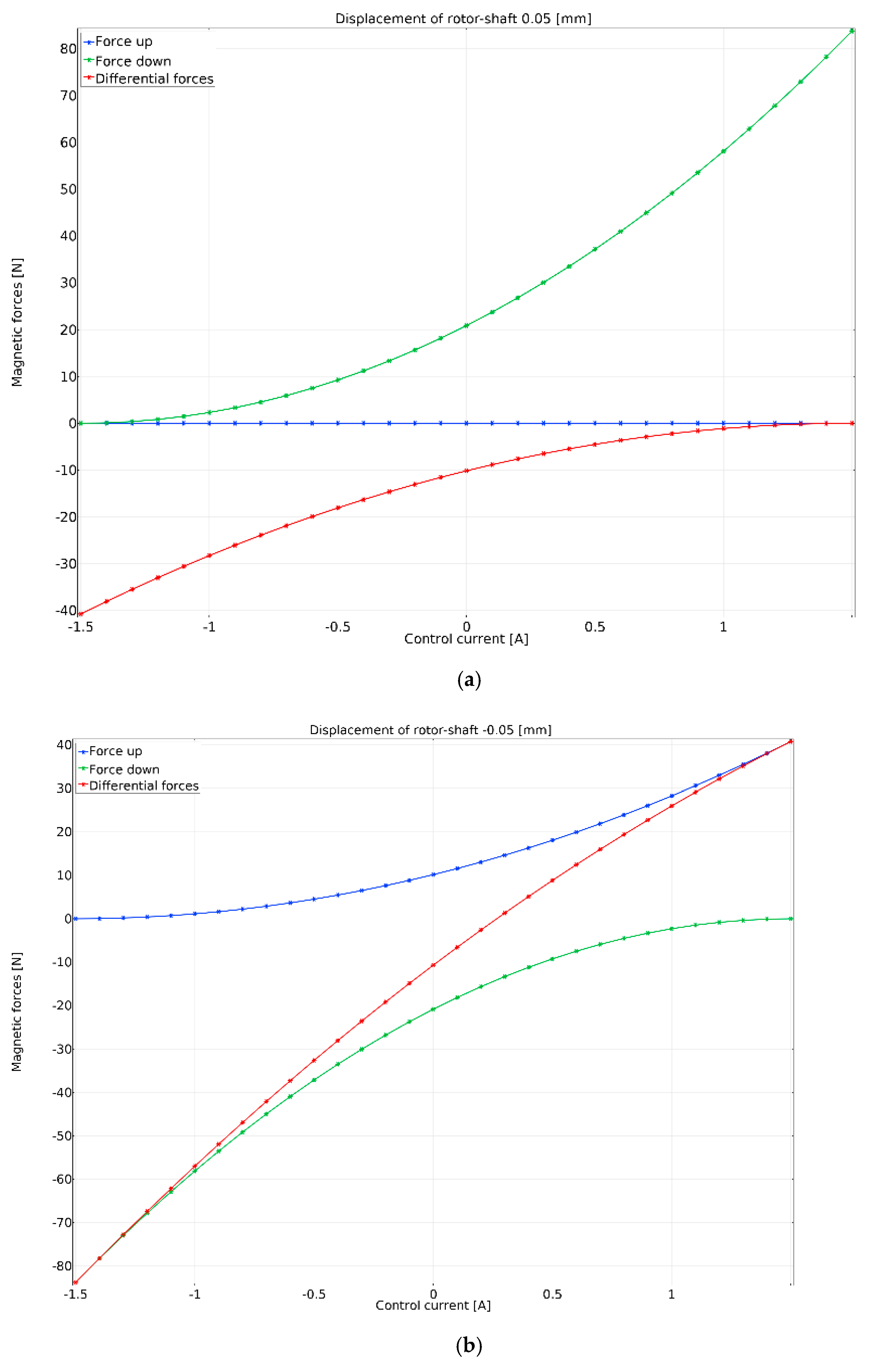
| Control Current | Force up (Magnetic Force Generated by Upper Electromagnet) | Force Down (Magnetic Force Generated by Bottom Electromagnet) | Resultant Force |
| −0.00012000 | 6.9406 | −43.533 | −36.592 |
| −0.00010000 | 7.6708 | −34.228 | −26.557 |
| −0.000080000 | 8.5331 | −27.642 | −19.109 |
| −0.000060000 | 9.5706 | −22.800 | −13.229 |
| −0.000050000 | 10.156 | −20.858 | −10.702 |
| −0.000040000 | 10.790 | −19.110 | −8.3200 |
| −0.000030000 | 11.491 | −17.631 | −6.1396 |
| −0.000020000 | 12.259 | −16.321 | −4.0617 |
| −0.000010000 | 13.111 | −15.110 | −1.9990 |
| 0.0000 | 14.062 | −14.062 | 0.0000 |
| 0.000010000 | 15.110 | −13.111 | 1.9990 |
| 0.000020000 | 16.321 | −12.259 | 4.0617 |
| 0.000030000 | 17.631 | −11.491 | 6.1396 |
| 0.000040000 | 19.110 | −10.790 | 8.3200 |
| 0.000050000 | 20.858 | −10.156 | 10.702 |
| 0.000060000 | 22.800 | −9.5706 | 13.229 |
| 0.000080000 | 27.642 | −8.5331 | 19.109 |
| 0.00010000 | 34.228 | −7.6708 | 26.557 |
| 0.00012000 | 43.533 | −6.9406 | 36.592 |
| Parameters | Symbol | Value | Unit |
|---|---|---|---|
| Analytical current stiffness | ki | 40.6687 for i0 = 1.5 A, x0 = 0.25 mm | N/A |
| Analytical displacement stiffness | kx | 2.4401 × 105 for i0 = 1.5 A, x0 = 0.25 mm | N/m |
| Current stiffness calculated in Comsol Multiphysics software | ki | 37.6152 for i0 = 1.5 A, x0 = 0.25 mm, I = 1.1 A | N/A |
| Displacement stiffness calculated in Comsol Multiphysics software | kx | 2.080 × 105 for i0 = 1.5 A, x0 = 0.25 mm, x = −0.04 mm | N/m |
| Displacement stiffness calculated in Comsol Multiphysics software | kx | 2.205 × 105 for i0 = 1.5 A, x0 = 0.25 mm, x = −0.06 mm | N/m |
| Shaft Raceway Displacement x (m) | Control Current i (A) | Electromagnetic Force F (N) |
|---|---|---|
| −0.00004247 | 1.040 | 31.9323 |
| −0.00004729 | 1.076 | 32.2203 |
| −0.00004905 | 1.087 | 32.2382 |
| −0.00005237 | 1.117 | 32.6481 |
| −0.00005407 | 1.141 | 33.2094 |
| −0.00005938 | 1.203 | 34.4351 |
| (a) | ||
| Control Current (A) | Experimental Electromagnetic Force (N) | Theoretical Electromagnetic Force (Comsol Multiphysics) (N) |
| 1.04 | 32 | 29.2 |
| 1.08 | 32.2 | 30.5 |
| 1.09 | 32.2 | 30.7 |
| 1.12 | 32.6 | 31.8 |
| 1.14 | 33.2 | 33.2 |
| (b) | ||
| Control current [A] | Experimental electromagnetic force (N) | Theoretical electromagnetic force (Comsol Multiphysics) (N) |
| 1.04 | 30.3 | 29.2 |
| 1.08 | 30.6 | 30.5 |
| 1.09 | 30.7 | 30.7 |
| 1.12 | 31.1 | 31.8 |
| 1.14 | 31.7 | 33.2 |
| (a) | ||
| Control Current (A) | Experimental Electromagnetic Force (N) | Theoretical Electromagnetic Force (Comsol Multiphysics) (N) |
| 1.04 | 32 | 25.2 |
| 1.08 | 32.2 | 26.5 |
| 1.09 | 32.2 | 27.1 |
| 1.12 | 32.6 | 27.9 |
| 1.14 | 33.2 | 28.5 |
| (b) | ||
| Control Current (A) | Experimental Electromagnetic Force (N) | Theoretical Electromagnetic Force (Comsol Multiphysics) (N) |
| 1.04 | 29.8 | 25.2 |
| 1.08 | 30.0 | 26.5 |
| 1.09 | 30.1 | 27.1 |
| 1.12 | 32.6 | 27.9 |
| 1.14 | 30.5 | 28.5 |
Publisher’s Note: MDPI stays neutral with regard to jurisdictional claims in published maps and institutional affiliations. |
© 2022 by the authors. Licensee MDPI, Basel, Switzerland. This article is an open access article distributed under the terms and conditions of the Creative Commons Attribution (CC BY) license (https://creativecommons.org/licenses/by/4.0/).
Share and Cite
Falkowski, K.; Kurnyta-Mazurek, P.; Szolc, T.; Henzel, M. Radial Magnetic Bearings for Rotor–Shaft Support in Electric Jet Engine. Energies 2022, 15, 3339. https://doi.org/10.3390/en15093339
Falkowski K, Kurnyta-Mazurek P, Szolc T, Henzel M. Radial Magnetic Bearings for Rotor–Shaft Support in Electric Jet Engine. Energies. 2022; 15(9):3339. https://doi.org/10.3390/en15093339
Chicago/Turabian StyleFalkowski, Krzysztof, Paulina Kurnyta-Mazurek, Tomasz Szolc, and Maciej Henzel. 2022. "Radial Magnetic Bearings for Rotor–Shaft Support in Electric Jet Engine" Energies 15, no. 9: 3339. https://doi.org/10.3390/en15093339
APA StyleFalkowski, K., Kurnyta-Mazurek, P., Szolc, T., & Henzel, M. (2022). Radial Magnetic Bearings for Rotor–Shaft Support in Electric Jet Engine. Energies, 15(9), 3339. https://doi.org/10.3390/en15093339

