Assessing the Uncertainties of Simulation Approaches for Solar Thermal Systems Coupled to Industrial Processes
Abstract
:1. Introduction
2. Assessment of Simulation Tools for SHIP Systems
3. Case Study
Comparison of Simulation Tools
4. Scenarios of Induced Errors/Simplifications
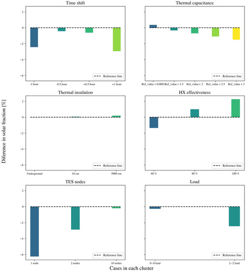
- Time shifting: Most of the simulation tools for solar thermal systems consider hourly radiation data as input, commonly in a TMY format (typical meteorological year format). In that context, the solar radiation is considered constant during the time step reported in the file. In addition, to compute the incident solar radiation on the collector’s plane, it is crucial to have a definition for the solar position during the time step. In this regard, important differences have been observed within the tools analyzed. Certain tools consider the solar position at the beginning of the time step, others at the middle, and others at the end; consequently, they may not agree with the timestamp of the TMY file.
- Thermal capacitance: The thermal capacitance of the solar field is commonly ignored when simulating the performance of SHIP systems. The effect of this simplification is low for small systems; however, it is particularly high in large-scale plants, leading to important deviations in the results of the yield assessment.
- Piping losses: Similarly, piping losses are commonly overlooked when simulating small-scale systems. Nonetheless, in large-scale plants, the length of distribution pipes may increase significantly, thus, the thermal losses also increase, leading to an overestimation of the plant’s energy yield.
- Heat Exchanger modeling: The modeling approach commonly employed for heat exchangers is the consideration of a constant effectiveness. However, determining this parameter depends on information that is not always available. Furthermore, the effectiveness of the heat exchanger may also vary according to the variation of the fluid stream inlets, especially between the heat exchanger coupling the solar field and the TES system. Hence, depending on the proper determination of the effectiveness value and the magnitude of the heat exchanger inlets’ temperature variation, significant deviations can be observed.
- TES modeling approach: The thermal energy storage (TES) system modeling approach has a large impact on the simulation results. The modeling approach may vary depending on the storage technology; however, in SHIP systems, it is common that the TES corresponds to a stratified liquid tank. To represent the temperature distribution associated with the stratification process, it is common to consider a plug flow modeling strategy, discretizing the storage tank in small volumes. Thus, depending on the number of nodes (volumes) considered, the simulation results may present important deviations. The approaches observed within the simulation tools analyzed range from simple approximations (e.g., 2 nodes) to highly detailed models, considering more than 20 nodes or even solving the differential equations that characterize the natural convection process inside the storage tank.
- Load profile: The definition of the load profile represents an important challenge in the task of constructing the yield assessment of SHIP systems. Usually, there is not enough detailed information to build a detailed load profile, and, thus, it is common to make rough approximations in this regard. To analyze the impact of the load profile on yield estimation, two alternative scenarios are considered based on the standardized load profiles defined in [33].
5. Methodology for Comparing Time Series from Simulation Tools
5.1. Statistical Comparison
- : If D < the two data sets have a highly similar distribution and could be statistically equivalent. Therefore, the distribution of events and nonevents follows the same sampling distribution.
- Otherwise, must be rejected, and it is considered that the distribution of events and nonevents does not follow the same sampling distribution.
5.2. Hourly Comparison
5.2.1. Dynamic Time Warping
- Extract the time series of length 8760 from the reference simulation () and from the i-th modified simulation ().
- Convert those arrays into matrices of shape .
- For each day, determine the value and ; therefore, the comparison is carried out between the hourly profiles.
- The resulting values are normalized: The DTW is normalized considering the daily demand of the process since it is a cumulative of the dynamic distances between the hourly profiles during the day. The MBE, on the other hand, is normalized by the hourly demand of the process, since it represents an average metric for the hourly values.
5.2.2. Dynamics of Residuals
- The residual is calculated instantaneously between the reference simulation and the simulation results from the induced error scenario: (1D array of length 8760).
- The objective is to determine the density distribution of the residuals during the day; therefore, the arrays from the previous point must be classified on an hourly scale from hour 0 to 23. Considering that, the Kernel Density Estimation method (KDE) is employed to determine the density distribution of the dataset [49].
6. Results
- An error in terms of time shifting, i.e., solar position, can induce a difference in the instantaneous heat delivered to the load up to 40% as observed in Figure 11. In this sense, evaluation can lead to errors in rating or sizing some operating systems in the plant, such as control schemes or feedback processes. Another behavior that is interesting to remark is that a +0.5 or +1 h of time shifting overestimates the values during the day and underestimates during the evening. On the other hand, a −0.5 or −1 h presents an inversed impact.
- The effect of thermal capacitance depends on whether the input is lower or larger than the reference. In the first case, there is a tendency on the residuals to be below zero ( overestimated), reaching values higher than the reference up to 10% of the hourly demand. For input values above the reference, during the day the heat to the load is less than the reference, and during the evening it rises. This phenomenon is caused by an increase in the thermal capacity, which is a common behavior obtained due to thermal inertia. In these cases, the reference values are underestimated by 12% of the hourly demand (Figure 12).
- The thermal insulation includes three cases: TES with 10 of insulation, highly insulated (5000 of insulation), and a case where the piping is buried underground. As observed, there are differences in the heat to the load with an amplitude of up to 3% (see Figure 13). Assuming an underground piping does not reflect a high impact on the heat delivered, compared to the reference case, due to the low thermal losses through the piping zones.
- Regarding the heat exchanger modeling approach, the residual distribution for different HX effectiveness scenarios show values lower and higher than the reference (Figure 14). For the values lower than the reference, there is a tendency of increasing the energy delivered to the load during the night and decreasing it during the day. However, there is a higher amplitude in the overestimation as a result of the low value of the effectiveness. For input values of effectiveness larger than the reference, the behavior described is dissimilar. More energy is discharged to the load as there is better heat exchange in the component. In fact, the residuals range from [−5% to 11%], [−10% to 5%] and [−25% to 15%] for the effectiveness of the heat exchanger of 60%, 80%, and 100%, respectively.
- The distribution of the residuals observed for the TES modeling induced errors are assessed considering scenarios with different numbers of nodes in the numerical model of the TES. The assessment considers ranging the TES nodes between 20 (reference), 10, 2, and 1 (full-mixed), as illustrated in Figure 15. The effect observed corresponds to an increase in the amplitude of the residual values as the TES nodes decrease. During hours with no solar radiation available, the heat delivered to the load is overestimated, because of the lack of stratification in the system. Hence, higher temperatures can be achieved in the discharging process of the TES as there are fewer nodes to interpolate to model the thermocline. Furthermore, a full mixed tank can underestimate the energy delivered to the load during the day by 50% of the hourly demand. Finally, despite having low values of DTW, using 10 nodes for modeling, stratification of TES underestimates the heat delivered to the process by 10% during the day.
- Considering a variable load profile dependent on the mean daily temperature of the surroundings is assessed though two scenarios: Case 0-0, which corresponds to an approximately constant demand during the week. In the left plot of Figure 16, it is observed that the values are concentrated in zero residuals, but with hourly variations up to 20% of the hourly demand. That behavior is caused by the seasonal variation in the temperature of the surroundings. Hence, the demand will also vary, affecting the heat delivered to the process. The case 2-2 corresponds to an extreme case where a significant difference in demand is observed between the working days and the weekend. The resulting variation of the residuals is of a similar shape to the case 0-0. Nonetheless, a higher amplitude is observed in the differences. In Figure 16 a maximum of 65% of the hourly demand is reached. Overall, the distribution indicates that with a temperature-dependent demand, during the early morning hours, the heat delivered is overestimated and then until 10 pm is underestimated.
7. Discussion
8. Conclusions
Author Contributions
Funding
Institutional Review Board Statement
Informed Consent Statement
Data Availability Statement
Acknowledgments
Conflicts of Interest
Abbreviations
| CDF | Cumulative Distribution Function |
| DTW | Dynamic Time Warping |
| GHI | Global Horizontal Irradiance |
| HTF | Heat Transfer Fluid |
| HX | Heat Exchanger |
| KDE | Kernel Density Estimation |
| MBE | Mean Bias Error |
| nRMSE | Normalized Root Mean Square Error |
| RMSE | Root Mean Square Error |
| RMSD | Root Mean Square Difference |
| SHC | Solar Heating and Cooling |
| SHIP | Solar Heat for Industrial Processes |
| KSI | Kolmogorov-Smirnov integral test |
| KS | Kolmogorov-Smirnov test |
| IAM | Incident Angle Modifier |
| PTC | Parabolic Trough Collectors |
| DSG | Direct Steam Generation |
| SAM | System Advisor Model |
| IEA | International Energy Agency |
| Nomenclature | |
| B | Bias |
| Estimate data set | |
| Reference data set | |
| Data set mean | |
| Standard deviation | |
| R | Correlation coefficient |
| Covariance function | |
| N | Data set length |
| Probability function | |
| D | Maximum distance between CDF functions |
| Critical value or threshold | |
| Null hypothesis | |
| Significance value |
Appendix A
Appendix A.1
| Control Volume | Scenario | Hourly | Daily | ||||
|---|---|---|---|---|---|---|---|
| D | Rejection of | [%] | D | Rejection of | [%] | ||
| Time Shifting | |||||||
| Incident Radiation on SF | Scenario 1 | 0.01393 | No | −32% | 0.09041 | No | −10.2% |
| Scenario 2 | 0.01130 | No | −45% | 0.03014 | No | −70.1% | |
| Scenario 3 | 0.00925 | No | −55% | 0.08767 | No | −12.9% | |
| Scenario 4 | 0.01073 | No | −48% | 0.03288 | No | −67.3% | |
| Absorbed solar energy | Scenario 1 | 0.00183 | No | −91% | 0.05753 | No | −42.8% |
| Scenario 2 | 0.02968 | Yes | 44% | 0.02740 | No | −72.8% | |
| Scenario 3 | 0.02477 | Yes | 21% | 0.01918 | No | −80.9% | |
| Scenario 4 | 0.02511 | Yes | 22% | 0.02740 | No | −72.8% | |
| Energy to TES (HX1) | Scenario 1 | 0.00582 | No | −72% | 0.05479 | No | −45.6% |
| Scenario 2 | 0.02957 | Yes | 44% | 0.02740 | No | −72.8% | |
| Scenario 3 | 0.01575 | No | −23% | 0.01370 | No | −86.4% | |
| Scenario 4 | 0.02215 | Yes | 8% | 0.02740 | No | −72.8% | |
| Energy to load (HX2) | Scenario 1 | 0.00228 | No | −89% | 0.07123 | No | −29.2% |
| Scenario 2 | 0.00011 | No | −99% | 0.01096 | No | −89.1% | |
| Scenario 3 | 0.00194 | No | −91% | 0.04384 | No | −56.5% | |
| Scenario 4 | 0.00034 | No | −98% | 0.00822 | No | −91.8% | |
| Thermal Capacitance | |||||||
| Incident Radiation on SF | Scenario 5 | 0 | No | −100% | 0 | No | −100.0% |
| Scenario 6 | 0 | No | −100% | 0 | No | −100.0% | |
| Scenario 7 | 0 | No | −100% | 0 | No | −100.0% | |
| Scenario 8 | 0 | No | −100% | 0 | No | −100.0% | |
| Scenario 9 | 0 | No | −100% | 0 | No | −100.0% | |
| Absorbed solar energy | Scenario 5 | 0.01256 | No | −39% | 0.01096 | No | −89.1% |
| Scenario 6 | 0.00685 | No | −67% | 0.01096 | No | −89.1% | |
| Scenario 7 | 0.01416 | No | −31% | 0.03836 | No | −61.9% | |
| Scenario 8 | 0.02192 | Yes | 7% | 0.04658 | No | −53.7% | |
| Scenario 9 | 0.03037 | Yes | 48% | 0.04384 | No | −56.5% | |
| Energy to TES (HX1) | Scenario 5 | 0.01279 | No | −38% | 0.01370 | No | −86.4% |
| Scenario 6 | 0.00674 | No | −67% | 0.02740 | No | −72.8% | |
| Scenario 7 | 0.01438 | No | −30% | 0.03836 | No | −61.9% | |
| Scenario 8 | 0.02283 | Yes | 11% | 0.04658 | No | −53.7% | |
| Scenario 9 | 0.03208 | Yes | 56% | 0.04658 | No | −53.7% | |
| Energy to load (HX2) | Scenario 5 | 0.00080 | No | −96% | 0.01644 | No | −83.7% |
| Scenario 6 | 0.00148 | No | −93% | 0.01096 | No | −89.1% | |
| Scenario 7 | 0.00228 | No | −89% | 0.01918 | No | −80.9% | |
| Scenario 8 | 0.01336 | No | −35% | 0.02740 | No | −72.8% | |
| Scenario 9 | 0.01119 | No | −46% | 0.02740 | No | −72.8% | |
| Thermal Insulation | |||||||
| Incident Radiation on SF | Scenario 10 | 0 | No | −100% | 0 | No | −100.0% |
| Scenario 11 | 0 | No | −100% | 0 | No | −100.0% | |
| Scenario 12 | 0 | No | −100% | 0 | No | −100.0% | |
| Absorbed solar energy | Scenario 10 | 0 | No | −100% | 0 | No | −100.0% |
| Scenario 11 | 0.00023 | No | −99% | 0.00274 | No | −97.3% | |
| Scenario 12 | 0.00046 | No | −98% | 0.00822 | No | −91.8% | |
| Energy to TES (HX1) | Scenario 10 | 0 | No | −100% | 0 | No | −100.0% |
| Scenario 11 | 0.00046 | No | −98% | 0.00274 | No | −97.3% | |
| Scenario 12 | 0.00103 | No | −95% | 0.00548 | No | −94.6% | |
| Energy to load (HX2) | Scenario 10 | 0 | No | −100% | 0 | No | −100.0% |
| Scenario 11 | 0.00011 | No | −99% | 0.00274 | No | −97.3% | |
| Scenario 12 | 0.00034 | No | −98% | 0.00548 | No | −94.6% | |
| HX Effectiveness | |||||||
| Incident Radiation on SF | Scenario 13 | 0 | No | −100% | 0 | No | −100.0% |
| Scenario 14 | 0 | No | −100% | 0 | No | −100.0% | |
| Scenario 15 | 0 | No | −100% | 0 | No | −100.0% | |
| Absorbed solar energy | Scenario 13 | 0.00114 | No | −94% | 0.00274 | No | −97.3% |
| Scenario 14 | 0.00685 | No | −67% | 0.00548 | No | −94.6% | |
| Scenario 15 | 0.00320 | No | −84% | 0.01096 | No | −89.1% | |
| Energy to TES (HX1) | Scenario 13 | 0.02957 | Yes | 44% | 0.00548 | No | −94.6% |
| Scenario 14 | 0.01575 | No | −23% | 0.00274 | No | −97.3% | |
| Scenario 15 | 0.02215 | Yes | 8% | 0.01644 | No | −83.7% | |
| Energy to load (HX2) | Scenario 13 | 0.00833 | No | −59% | 0.03836 | No | −61.9% |
| Scenario 14 | 0.00993 | No | −52% | 0.03014 | No | −70.1% | |
| Scenario 15 | 0.01347 | No | −34% | 0.05205 | No | −48.3% | |
| TES nodes | |||||||
| Incident Radiation on SF | Scenario 16 | 0 | No | −100% | 0 | No | −100.0% |
| Scenario 17 | 0 | No | −100% | 0 | No | −100.0% | |
| Scenario 18 | 0 | No | −100% | 0 | No | −100.0% | |
| Absorbed solar energy | Scenario 16 | 0.00639 | No | −69% | 0.00822 | No | −91.8% |
| Scenario 17 | 0.00559 | No | −73% | 0.01644 | No | −83.7% | |
| Scenario 18 | 0.02112 | Yes | 3% | 0.05205 | No | −48.3% | |
| Energy to TES (HX1) | Scenario 16 | 0.00342 | No | −83% | 0.00548 | No | −94.6% |
| Scenario 17 | 0.00422 | No | −79% | 0.01644 | No | −83.7% | |
| Scenario 18 | 0.02546 | Yes | 24% | 0.05205 | No | −48.3% | |
| Energy to load (HX2) | Scenario 16 | 0.01176 | No | −43% | 0.00548 | No | -94.6% |
| Scenario 17 | 0.19795 | Yes | 863% | 0.13151 | Yes | 30.6% | |
| Scenario 18 | 0.30537 | Yes | 1386% | 0.17534 | Yes | 74.2% | |
| Load | |||||||
| Incident Radiation on SF | Scenario 19 | 0 | No | −100% | 0 | No | −100.0% |
| Scenario 20 | 0 | No | −100% | 0 | No | −100.0% | |
| Absorbed solar energy | Scenario 19 | 0.00126 | No | −94% | 0.00274 | No | −97.3% |
| Scenario 20 | 0.21884 | Yes | 965% | 0.02466 | No | −75.5% | |
| Energy to TES (HX1) | Scenario 19 | 0.00217 | No | −89% | 0.00274 | No | −97.3% |
| Scenario 20 | 0.16233 | Yes | 690% | 0.02740 | No | −72.8% | |
| Energy to load (HX2) | Scenario 19 | 0.12352 | Yes | 501% | 0.09863 | No | −2.0% |
| Scenario 20 | 0.10103 | Yes | 392% | 0.21096 | Yes | 109.6% | |
References
- IEA. Key World Energy Statistics; Technical Report August; International Energy Agency: Paris, France, 2020. [Google Scholar]
- Farjana, S.H.; Huda, N.; Mahmud, M.A.P.; Saidur, R. Solar process heat in industrial systems—A global review. Renew. Sustain. Energy Rev. 2018, 82, 2270–2286. [Google Scholar] [CrossRef] [Green Version]
- IRENA-ETSAP. Solar Heat for Industrial Processes; Technical Report Technology Brief—21; IRENA: Abu Dhabi, United Arab Emirates, 2015. [Google Scholar]
- Tabassum, S.; Rahman, T.; Islam, A.U.; Rahman, S.; Dipta, D.R.; Roy, S.; Mohammad, N.; Nawar, N.; Hossain, E. Solar Energy in the United States: Development, Challenges and Future Prospects. Energies 2022, 4, 8142. [Google Scholar] [CrossRef]
- IEA. Tracking Industry 2020. Available online: https://www.iea.org/reports/tracking-industry-2020 (accessed on 25 October 2021).
- Tasmin, N.; Farjana, S.H.; Hossain, M.R.; Golder, S.; Parvez Mahmud, M.A. Integration of Solar Process Heat in Industries: A Review. Clean Technol. 2022, 4, 97–131. [Google Scholar] [CrossRef]
- Sharma, A.K.; Sharma, C.; Mullick, S.C.; Kandpal, T.C. Solar industrial process heating: A review. Renew. Sustain. Energy Rev. 2017, 78, 124–137. [Google Scholar] [CrossRef]
- Kurup, P.; Zhu, G.; Turchi, C.S. Solar process heat potential in California, USA. In Proceedings of the EuroSun 2016; International Solar Energy Society: Freiburg, Germany, 2016. [Google Scholar]
- Schoeneberger, C.A.; McMillan, C.A.; Kurup, P.; Akar, S.; Margolis, R.; Masanet, E. Solar for industrial process heat: A review of technologies, analysis approaches, and potential applications in the United States. Energy 2020, 206, 118083. [Google Scholar] [CrossRef]
- Guillaume, M.; Bunea, M.S.; Caflisch, M.; Rittmann-Frank, M.H.; Martin, J. Solar heat in industrial processes in Switzerland: Theoretical potential and promising sectors. In Proceedings of the EuroSun 2018; International Solar Energy Society: Freiburg, Germany, 2018. [Google Scholar]
- Farjana, S.H.; Huda, N.; Mahmud, M.A.P.; Saidur, R. Solar industrial process heating systems in operation—Current SHIP plants and future prospects in Australia. Renew. Sustain. Energy Rev. 2018, 91, 409–419. [Google Scholar] [CrossRef] [Green Version]
- Jia, T.; Huang, J.; Li, R.; He, P.; Dai, Y. Status and prospect of solar heat for industrial processes in China. Renew. Sustain. Energy Rev. 2018, 90, 475–489. [Google Scholar] [CrossRef] [Green Version]
- Fluch, J.; Gruber-Glatzl, W.; Brunner, C.; Shrestha, S.; Sayer, M. Solar heat for industrial processes in Malaysia and Egypt. In Proceedings of the ISES Solar World Congress 2019; International Solar Energy Society: Freiburg, Germany, 2019. [Google Scholar]
- Weiss, W.; Spörk-Dür, M. Solar-Heat-Worldwide 2020; Technical Report; IEA—Solar Heating and Cooling Programme: Paris, France, 2020. [Google Scholar]
- Brunner, C.; Giannakopoulou, B.S.K.; Schnitzer, H. Industrial Process Indicators and Heat Integration in Industries; Technical Report Task 33/IV “Solar Heat for Industrial Processes“; IEA SHC/SolarPACES: Paris, France, 2008. [Google Scholar]
- Pierre Krummenacher, B.M. Methodologies and Software Tools for Integrating Solar Heat into Industrial Processes; Technical Report IEA Task 49/IV—Deliverable B1; IEA SHC/SolarPACES: Paris, France, 2015. [Google Scholar]
- Guisado, M.V.; Zaversky, F.; Bernardos, A.; Santana, I. Solar heat for industrial processes (ship): Modeling and optimization of a parabolic trough plant with thermocline thermal storage system to supply medium temperature process heat. In Proceedings of the EuroSun 2016; International Solar Energy Society: Freiburg, Germany, 2016. [Google Scholar]
- Desideri, A.; Dickes, R.; Bonilla, J.; Valenzuela, L.; Quoilin, S.; Lemort, V. Steady-state and dynamic validation of a parabolic trough collector model using the ThermoCycle Modelica library. Sol. Energy 2018, 174, 866–877. [Google Scholar] [CrossRef]
- Bolognese, M.; Viesi, D.; Bartali, R.; Crema, L. Modeling study for low-carbon industrial processes integrating solar thermal technologies. A case study in the Italian Alps: The Felicetti Pasta Factory. Sol. Energy 2020, 208, 548–558. [Google Scholar] [CrossRef]
- Frasquet, M. SHIPcal: Solar Heat for Industrial Processes Online Calculator. Energy Procedia 2016, 91, 611–619. [Google Scholar] [CrossRef] [Green Version]
- Frasquet, M.; Bannenberg, J.; Silva, M.; Nel, Y. RESSSPI: The network of simulated solar systems for industrial processes. In Proceedings of the EuroSun 2018; International Solar Energy Society: Freiburg, Germany, 2018. [Google Scholar]
- Muster, B.; Ben Hassine, I.; Helmke, A.; Heß, S.; Krummenacher, P.; Schmitt, B.; Schnitzer, H. Integration Guideline; Technical Report Task 49—Deliverable B2; IEA SHC/SolarPACES: Paris, France, 2015. [Google Scholar]
- Klein, S.A. A Transient Systems Simulation Program; Version 18.00.0019; TRNSYS: Madison, WI, USA, 2018. [Google Scholar]
- Lugo, S.; García-Valladares, O.; Best, R.; Hernández, J.; Hernández, F. Numerical simulation and experimental validation of an evacuated solar collector heating system with gas boiler backup for industrial process heating in warm climates. Renew. Energy 2019, 139, 1120–1132. [Google Scholar] [CrossRef]
- Quiñones, G.; Felbol, C.; Valenzuela, C.; Cardemil, J.M.; Escobar, R.A. Analyzing the potential for solar thermal energy utilization in the Chilean copper mining industry. Sol. Energy 2020, 197, 292–310. [Google Scholar] [CrossRef]
- Crespo, A.; Muñoz, I.; Platzer, W.; Ibarra, M. Integration enhancements of a solar parabolic trough system in a Chilean juice industry: Methodology and case study. Sol. Energy 2021, 224, 593–606. [Google Scholar] [CrossRef]
- Blair, N.; Dobos, A.P.; Freeman, J.; Neises, T.; Wagner, M. System Advisor Model, SAM 2014.1.14: General Description; Technical Report NREL/TP-6A20-61019; National Renewable Energy Laboratory: Golden, CO, USA, 2014. [Google Scholar]
- Kurup, P.; Parikh, A.; Möllenkamp, J.; Beikircher, T.; Samoli, A.; Turchi, C. SAM process heat model development and validation: Liquid-HTF trough and direct steam generation linear focus systems. In Proceedings of the SWC2017/SHC2017; International Solar Energy Society: Freiburg, Germany, 2017. [Google Scholar]
- Kurup, P.; Turchi, C. Case study of a Californian brewery to potentially use concentrating solar power for renewable heat generation. In Proceedings of the ISES Solar World Congress 2019; International Solar Energy Society: Freiburg, Germany, 2019. [Google Scholar]
- Suresh, N.S.; Rao, B.S. Solar energy for process heating: A case study of select Indian industries. J. Clean. Prod. 2017, 151, 439–451. [Google Scholar] [CrossRef] [Green Version]
- Eddouibi, J.; Abderafi, S.; Vaudreuil, S.; Bounahmidi, T. Dynamic simulation of solar-powered ORC using open-source tools: A case study combining SAM and coolprop via Python. Energy 2022, 239, 121935. [Google Scholar] [CrossRef]
- IEA/SHC. IEA-SHC Programme—Task 64: Solar Process Heat. 2021. Available online: https://task64.iea-shc.org/ (accessed on 16 December 2021).
- Jesper, M.; Pag, F.; Vajen, K.; Jordan, U. Annual Industrial and Commercial Heat Load Profiles: Modeling Based on k-Means Clustering and Regression Analysis. Energy Convers. Manag. X 2021, 10, 100085. [Google Scholar] [CrossRef]
- Hunter, J.D. Matplotlib: A 2D Graphics Environment. Comput. Sci. Eng. 2007, 9, 90–95. [Google Scholar] [CrossRef]
- Wes McKinney. Data Structures for Statistical Computing in Python. In Proceedings of the 9th Python in Science Conference, 28 June–3 July 2010; Austin, TX, USA; pp. 56–61. [CrossRef] [Green Version]
- Virtanen, P.; Gommers, R.; Oliphant, T.E.; Haberland, M.; Reddy, T.; Cournapeau, D.; Burovski, E.; Peterson, P.; Weckesser, W.; Bright, J.; et al. SciPy 1.0: Fundamental Algorithms for Scientific Computing in Python. Nat. Methods 2020, 17, 261–272. [Google Scholar] [CrossRef] [Green Version]
- Harris, C.R.; Millman, K.J.; van der Walt, S.J.; Gommers, R.; Virtanen, P.; Cournapeau, D.; Wieser, E.; Taylor, J.; Berg, S.; Smith, N.J.; et al. Array programming with NumPy. Nature 2020, 585, 357–362. [Google Scholar] [CrossRef]
- Pal, R. Chapter 4—Validation methodologies. In Predictive Modeling of Drug Sensitivity; Pal, R., Ed.; Academic Press: Cambridge, MA, USA, 2017; pp. 83–107. [Google Scholar] [CrossRef]
- Yearsley, J.R.; Sun, N.; Baptiste, M.; Nijssen, B. Assessing the impacts of hydrologic and land use alterations on water temperature in the Farmington River basin in Connecticut. Hydrol. Earth Syst. Sci. 2019, 23, 4491–4508. [Google Scholar] [CrossRef] [Green Version]
- Jolliff, J.K.; Kindle, J.C.; Shulman, I.; Penta, B.; Friedrichs, M.A.; Helber, R.; Arnone, R.A. Summary diagrams for coupled hydrodynamic-ecosystem model skill assessment. J. Mar. Syst. 2009, 76, 64–82. [Google Scholar] [CrossRef]
- Arora, J.S. Chapter 20—Additional Topics on Optimum Design. In Introduction to Optimum Design, 3rd ed.; Arora, J.S., Ed.; Academic Press: Boston, MA, USA, 2012; pp. 731–784. [Google Scholar] [CrossRef]
- Ibe, O.C. Chapter 2—Random Variables. In Fundamentals of Applied Probability and Random Processes, 2nd ed.; Ibe, O.C., Ed.; Academic Press: Boston, MA, USA, 2014; pp. 57–79. [Google Scholar] [CrossRef]
- Meyer, R.; Schlecht, M.; Chhatbar, K.; Weber, S. Chapter 3—Solar resources for concentrating solar power systems. In Concentrating Solar Power Technology, 2nd ed.; Lovegrove, K., Stein, W., Eds.; Woodhead Publishing Series in Energy; Woodhead Publishing: Cambridge, UK, 2021; pp. 73–98. [Google Scholar] [CrossRef]
- Espinar, B.; Ramírez, L.; Drews, A.; Beyer, H.G.; Zarzalejo, L.F.; Polo, J.; Martín, L. Analysis of different comparison parameters applied to solar radiation data from satellite and German radiometric stations. Sol. Energy 2009, 83, 118–125. [Google Scholar] [CrossRef]
- Perez, R.; Cebecauer, T.; Šúri, M. Chapter 2—Semi-Empirical Satellite Models. In Solar Energy Forecasting and Resource Assessment; Kleissl, J., Ed.; Academic Press: Boston, MA, USA, 2013; pp. 21–48. [Google Scholar] [CrossRef]
- Riffenburgh, R.H. Chapter 20—Tests on the Distribution Shape of Continuous Data. In Statistics in Medicine, 2nd ed.; Riffenburgh, R.H., Ed.; Academic Press: Burlington, MA, USA, 2006; pp. 369–386. [Google Scholar] [CrossRef]
- Keogh, E.J.; Pazzani, M.J. Derivative Dynamic Time Warping. In Proceedings of the 2001 SIAM International Conference on Data Mining (SDM), Chicago, IL, USA, 5–7 April 2001; Society for Industrial and Applied Mathematics: Philadelphia, PA, USA, 2001; pp. 1–11. [Google Scholar] [CrossRef] [Green Version]
- Petitjean, F.; Ketterlin, A.; Gançarski, P. A global averaging method for dynamic time warping, with applications to clustering. Pattern Recognit. 2011, 44, 678–693. [Google Scholar] [CrossRef]
- Chen, Y.C. A tutorial on kernel density estimation and recent advances. Biostat. Epidemiol. 2017, 1, 161–187. [Google Scholar] [CrossRef]
- Castillejo-Cuberos, A.; Escobar, R. Understanding solar resource variability: An in-depth analysis, using Chile as a case of study. Renew. Sustain. Energy Rev. 2020, 120, 109664. [Google Scholar] [CrossRef]
- Liptak, B.G. Instrument Engineers’ Handbook, Volume Two: Process Control and Optimization; CRC Press: Boca Raton, FL, USA, 2018. [Google Scholar]

















| Source of Deviation | Scenario ID | Time Shifting [h] | Thermal Capacitance [%] | Thermal Insulation (cm) | HX Efectiveness [%] | TES Nodes [-] | Load |
|---|---|---|---|---|---|---|---|
| Reference | Scenario 0 | 0 | 5 | 5 | 70 | 20 | Std |
| Time shifting | Scenario 1 | 1 | 5 | 5 | 70 | 20 | Std |
| Scenario 2 | 0.5 | 5 | 5 | 70 | 20 | Std | |
| Scenario 3 | −1 | 5 | 5 | 70 | 20 | Std | |
| Scenario 4 | −0.5 | 5 | 5 | 70 | 20 | Std | |
| Thermal capacitance | Scenario 5 | 0 | 0.0001 | 5 | 70 | 20 | Std |
| Scenario 6 | 0 | 150 | 5 | 70 | 20 | Std | |
| Scenario 7 | 0 | 200 | 5 | 70 | 20 | Std | |
| Scenario 8 | 0 | 250 | 5 | 70 | 20 | Std | |
| Scenario 9 | 0 | 300 | 5 | 70 | 20 | Std | |
| Thermal insulation | Scenario 10 | 0 | 5 | Underground | 70 | 20 | Std |
| Scenario 11 | 0 | 5 | 10 | 70 | 20 | Std | |
| Scenario 12 | 0 | 5 | 5000 | 70 | 20 | Std | |
| HX effectiveness | Scenario 13 | 0 | 5 | 5 | 60 | 20 | Std |
| Scenario 14 | 0 | 5 | 5 | 80 | 20 | Std | |
| Scenario 15 | 0 | 5 | 5 | 100 | 20 | Std | |
| TES system | Scenario 16 | 0 | 5 | 5 | 70 | 10 | Std |
| Scenario 17 | 0 | 5 | 5 | 70 | 2 | Std | |
| Scenario 18 | 0 | 5 | 5 | 70 | 1 | Std | |
| Load | Scenario 19 | 0 | 5 | 5 | 70 | 20 | 0–0 |
| Scenario 20 | 0 | 5 | 5 | 70 | 20 | 2–2 |
| Parameter | Values | |||||
|---|---|---|---|---|---|---|
| 0.1 | 0.05 | 0.025 | 0.01 | 0.005 | 0.001 | |
| 1.22 | 1.36 | 1.48 | 1.63 | 1.73 | 1.95 | |
| Given: Time-series and of sizes N and M, respectively. Calculate the cost matrix with shape . | |
| Given: Cost matrix c. Calculate the accumulated distance matrix with the following terms: | |
| Initial value: | ![]() |
| Boundaries: for . for . | ![]() |
| Inner values: for and . | ![]() |
| End: The Dynamic Time Warping is the last value of . | ![]() |
| Metric | Information Provided | Limitations |
|---|---|---|
| MBE | Used to capture the average bias in the prediction. Typically used to identify the model’s bias. Furthermore, it indicates the direction of the bias (under- or overestimation). | It is related to the statistical concept of variance, for this reason is prone to outliers as it uses the concept of mean value to calculate each error. |
| RMSE | Used to measure the error between two data sets. It represents the root of the sum between the variance and the squared bias of an estimated series. It is widely used to study the variability effect on the predictions of a model. | Few large errors in the estimation can produce a significant increase in RMSE. Furthermore, this statistical test does not differentiate between under- or overestimation. |
| RMSD | Used to obtain the root of the square geometric difference between the dispersion of two data sets, and its correlation with respect to the R value between both series. It is generally used to compare the variability or dispersion between these. | This statistical test does not differentiate between under- or overestimation, and it does not enable us to establish the bias magnitude. |
| KS | Usually used to compare and study if a model can reproduce the statistical distribution of the reference, evaluating the normality and similarity around the null hypothesis. | This statistical test does not explain the reason of the differences between two data sets. Furthermore, it is focused on evaluating the goodness of the model according the maximum difference in absolute values between the CDFs curves. |
| DTW | It is employed to measure the similarity between two time series by finding the best alignment among them. The value of the DTW indicates how close in shape is a time series with a reference one. | As it is an improved version of the Euclidean distance, the DTW does not provide information if the series intersect each other. |
| Dynamic of residuals | Based on the MBE. Thus, this quantity indicates if a simulation instantaneously under- or overestimates the values of a reference simulation. | It does not specify how accurate is the model. Moreover, other sources of errors are not excluded in its formulation. |
Publisher’s Note: MDPI stays neutral with regard to jurisdictional claims in published maps and institutional affiliations. |
© 2022 by the authors. Licensee MDPI, Basel, Switzerland. This article is an open access article distributed under the terms and conditions of the Creative Commons Attribution (CC BY) license (https://creativecommons.org/licenses/by/4.0/).
Share and Cite
Cardemil, J.M.; Calderón-Vásquez, I.; Pino, A.; Starke, A.; Wolde, I.; Felbol, C.; Lemos, L.F.L.; Bonini, V.; Arias, I.; Iñigo-Labairu, J.; et al. Assessing the Uncertainties of Simulation Approaches for Solar Thermal Systems Coupled to Industrial Processes. Energies 2022, 15, 3333. https://doi.org/10.3390/en15093333
Cardemil JM, Calderón-Vásquez I, Pino A, Starke A, Wolde I, Felbol C, Lemos LFL, Bonini V, Arias I, Iñigo-Labairu J, et al. Assessing the Uncertainties of Simulation Approaches for Solar Thermal Systems Coupled to Industrial Processes. Energies. 2022; 15(9):3333. https://doi.org/10.3390/en15093333
Chicago/Turabian StyleCardemil, José M., Ignacio Calderón-Vásquez, Alan Pino, Allan Starke, Ian Wolde, Carlos Felbol, Leonardo F. L. Lemos, Vinicius Bonini, Ignacio Arias, Javier Iñigo-Labairu, and et al. 2022. "Assessing the Uncertainties of Simulation Approaches for Solar Thermal Systems Coupled to Industrial Processes" Energies 15, no. 9: 3333. https://doi.org/10.3390/en15093333
APA StyleCardemil, J. M., Calderón-Vásquez, I., Pino, A., Starke, A., Wolde, I., Felbol, C., Lemos, L. F. L., Bonini, V., Arias, I., Iñigo-Labairu, J., Dersch, J., & Escobar, R. (2022). Assessing the Uncertainties of Simulation Approaches for Solar Thermal Systems Coupled to Industrial Processes. Energies, 15(9), 3333. https://doi.org/10.3390/en15093333





