Real-Time Adaptive Selective Harmonic Elimination for Cascaded Full-Bridge Multilevel Inverter
Abstract
:1. Introduction
2. Description of the System
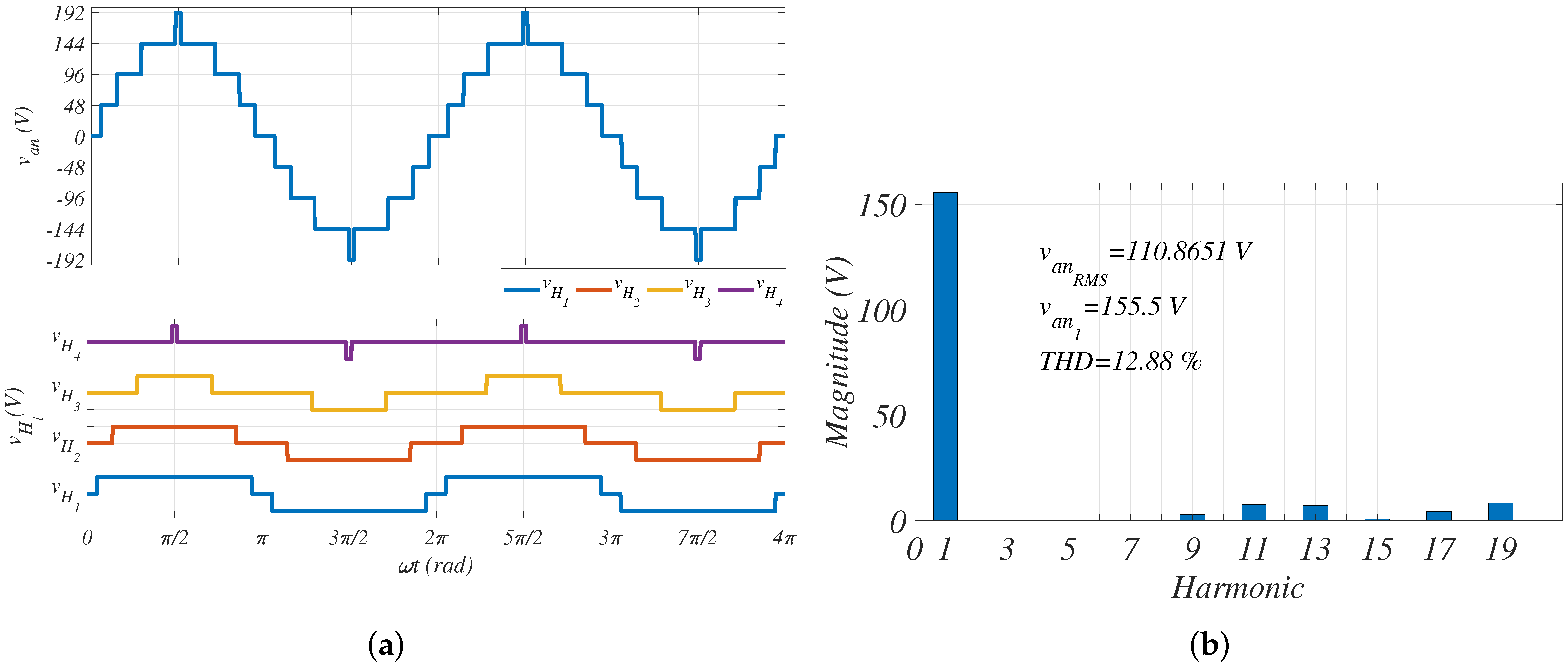
2.1. Computing the Output Voltage Harmonics
2.2. Solving the Polynomial Equation
3. Analysis of the Solutions
4. Closing the Loop
5. Results
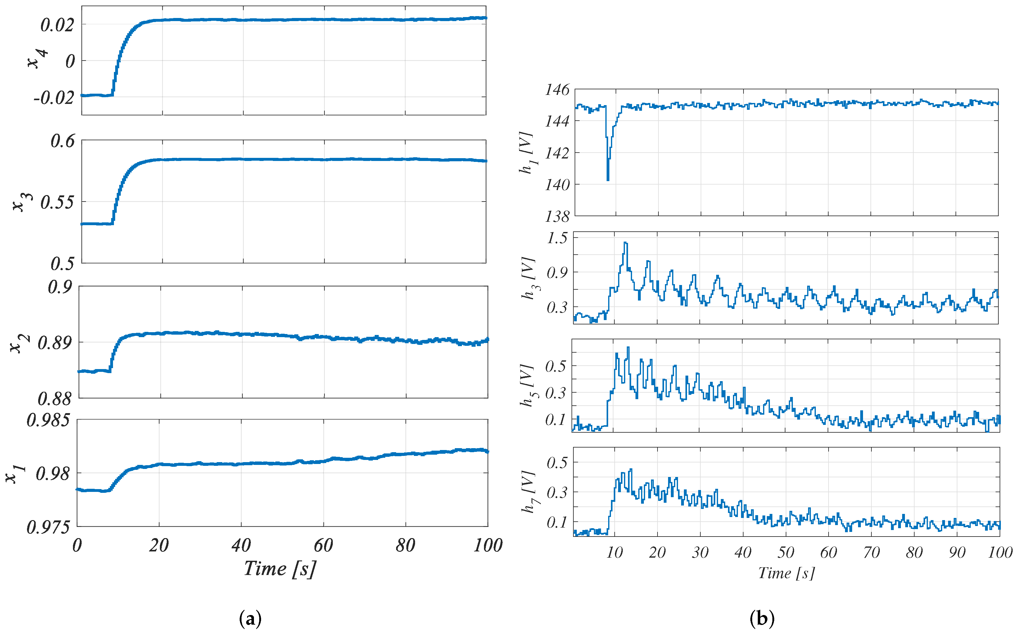
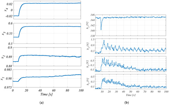
5.1. Response to a Load Transient
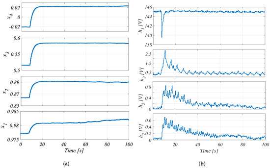
5.2. Disturbance on a Cell Input Voltage Source
6. Conclusions
Author Contributions
Funding
Institutional Review Board Statement
Informed Consent Statement
Data Availability Statement
Acknowledgments
Conflicts of Interest
References
- Sahoo, S.K.; Bhattacharya, T. Phase-Shifted Carrier-Based Synchronized Sinusoidal PWM Techniques for a Cascaded H-Bridge Multilevel Inverter. IEEE Trans. Power Electron. 2018, 33, 513–524. [Google Scholar] [CrossRef]
- Cousineau, M.; Cougo, B. Interleaved converter with massive parallelization of high frequency GaN switching-cells using decentralized modular analog controller. In Proceedings of the 2015 IEEE Energy Conversion Congress and Exposition (ECCE), Montreal, QC, Canada, 20–24 September 2015; pp. 4343–4350. [Google Scholar] [CrossRef]
- Fabre, J.; Ladoux, P. Parallel Connection of 1200-V/100-A SiC-MOSFET Half-Bridge Modules. IEEE Trans. Ind. Appl. 2016, 52, 1669–1676. [Google Scholar] [CrossRef]
- Vivert, M.; Cousineau, M.; Ladoux, P.; Fabre, J. Decentralized Controller for the Cell-Voltage Balancing of a Multilevel Flying Cap Converter. In Proceedings of the PCIM Europe 2019, International Exhibition and Conference for Power Electronics, Intelligent Motion, Renewable Energy and Energy Management, Nuremberg, Germany, 7–9 May 2019; pp. 1–8. [Google Scholar]
- Fabre, J.; Ladoux, P.; Solano, E.; Gateau, G.; Blaquière, J. Full SiC multilevel chopper for three-wire supply systems in DC electric railways. In Proceedings of the 2016 International Conference on Electrical Systems for Aircraft, Railway, Ship Propulsion and Road Vehicles International Transportation Electrification Conference (ESARS-ITEC), Toulouse, France, 2–4 November 2016; pp. 1–7. [Google Scholar] [CrossRef]
- Fabre, J.; Ladoux, P.; Solano, E.; Gateau, G.; Blaquière, J. MVDC Three-Wire Supply Systems for Electric Railways: Design and Test of a Full SiC Multilevel Chopper. IEEE Trans. Ind. Appl. 2017, 53, 5820–5830. [Google Scholar] [CrossRef]
- Alolah, A.I.; Hulley, L.N.; Shepherd, W. A three-phase neutral point clamped inverter for motor control. IEEE Trans. Power Electron. 1988, 3, 399–405. [Google Scholar] [CrossRef]
- Negash, M.F.; Manthati, U.B. Development of 7-level cascaded H-bridge inverter topology for PV applications. In Proceedings of the International Conference on Electrical, Electronics, and Optimization Techniques, Chennai, Tamil Nadu, India, 3–5 March 2016; pp. 1847–1852. [Google Scholar] [CrossRef]
- Huang, Q.; Huang, A.Q. Feedforward Proportional Carrier-Based PWM for Cascaded H-Bridge PV Inverter. IEEE J. Emerg. Sel. Top. Power Electron. 2018, 6, 2192–2205. [Google Scholar] [CrossRef]
- Luo, F.L.; Ye, H. Multilevel DC/AC Inverters. In Advanced DC/AC Inverters: Aplications in Renewable Energy; CRC Press: Boca Raton, FL, USA, 2013; Chapter 8; pp. 137–154. [Google Scholar]
- Cobaleda, D.B.; Vivert, M.; Diez, R.; Perilla, G.; Patiño, D.; Ruiz, F. Low-Voltage Cascade Multilevel Inverter with GaN Devices for Energy Storage System. In Proceedings of the 13th IEEE International Conference on Power Electronics and Drive Systems, Toulouse, France, 9–12 July 2019. [Google Scholar]
- Liu Yu, F.L. Trinary hybrid 81-level multilevel inverter for motor drive with zero common-mode voltage. IEEE Trans. Ind. Electron. 2008, 55, 1014–1021. [Google Scholar] [CrossRef]
- Edpuganti, A.; Rathore, A.K. A Survey of Low Switching Frequency Modulation Techniques for Medium-Voltage Multilevel Converters. IEEE Trans. Ind. Appl. 2015, 51, 4212–4228. [Google Scholar] [CrossRef]
- Liu, Y.; Hong, H.; Huang, A.Q. Real-Time Algorithm for Minimizing THD in Multilevel Inverters With Unequal or Varying Voltage Steps Under Staircase Modulation. IEEE Trans. Ind. Electron. 2009, 56, 2249–2258. [Google Scholar] [CrossRef]
- Srndovic, M.; Zhetessov, A.; Alizadeh, T.; Familiant, Y.L.; Grandi, G.; Ruderman, A. Simultaneous Selective Harmonic Elimination and THD Minimization for a Single-Phase Multilevel Inverter With Staircase Modulation. IEEE Trans. Ind. Appl. 2018, 54, 1532–1541. [Google Scholar] [CrossRef]
- Kavousi, A.; Vahidi, B.; Salehi, R.; Bakhshizadeh, M.K.; Farokhnia, N.; Fathi, S.H. Application of the Bee Algorithm for Selective Harmonic Elimination Strategy in Multilevel Inverters. IEEE Trans. Power Electron. 2012, 27, 1689–1696. [Google Scholar] [CrossRef]
- Yang, K.; Zhang, Q.; Yuan, R.; Yu, W.; Yuan, J.; Wang, J. Selective Harmonic Elimination With Groebner Bases and Symmetric Polynomials. IEEE Trans. Power Electron. 2016, 31, 2742–2752. [Google Scholar] [CrossRef]
- Ahmed, M.; Sheir, A.; Orabi, M. Real-Time Solution and Implementation of Selective Harmonic Elimination of Seven-Level Multilevel Inverter. IEEE J. Emerg. Sel. Top. Power Electron. 2017, 5, 1700–1709. [Google Scholar] [CrossRef]
- Haghdar, K.; Shayanfar, H.A. Selective Harmonic Elimination With Optimal DC Sources in Multilevel Inverters Using Generalized Pattern Search. IEEE Trans. Ind. Inform. 2018, 14, 3124–3131. [Google Scholar] [CrossRef]
- Routray, A.; Kumar Singh, R.; Mahanty, R. Harmonic Minimization in Three-Phase Hybrid Cascaded Multilevel Inverter Using Modified Particle Swarm Optimization. IEEE Trans. Ind. Informatics 2019, 15, 4407–4417. [Google Scholar] [CrossRef]
- Sahu, N.; Londhe, N.D. Optimization based selective harmonic elimination in multi-level inverters. In Proceedings of the 2017 National Power Electronics Conference (NPEC), Puerto Varas, Chile, 4–7 December 2017; pp. 325–329. [Google Scholar] [CrossRef]
- Kumar, A.; Chatterjee, D.; Dasgupta, A. Harmonic mitigation of cascaded multilevel inverter with non equal DC sources using Hybrid Newton Raphson Method. In Proceedings of the 2017 4th International Conference on Power, Control Embedded Systems (ICPCES), Allahabad, India, 9–11 March 2017; pp. 1–5. [Google Scholar] [CrossRef]
- Yang, K.; Yuan, Z.; Yuan, R.; Yu, W.; Yuan, J.; Wang, J. A Groebner Bases Theory-Based Method for Selective Harmonic Elimination. IEEE Trans. Power Electron. 2015, 30, 6581–6592. [Google Scholar] [CrossRef]
- Yang, K.; Zhang, Q.; Zhang, J.; Yuan, R.; Guan, Q.; Yu, W.; Wang, J. Unified Selective Harmonic Elimination for Multilevel Converters. IEEE Trans. Power Electron. 2017, 32, 1579–1590. [Google Scholar] [CrossRef]
- Sharifzadeh, M.; Vahedi, H.; Portillo, R.; Franquelo, L.G.; Al-Haddad, K. Selective Harmonic Mitigation Based Self-Elimination of Triplen Harmonics for Single-Phase Five-Level Inverters. IEEE Trans. Power Electron. 2019, 34, 86–96. [Google Scholar] [CrossRef]
- Lal, R. Chapter 8: Field Theory, Galois Theory, 8.8 Galois theory for equations. In Algebra 2. Linear Algebra, Galois Theory, Representation theory, Group extensions and Schur Multipliere; Springer: Singapore, 2017. [Google Scholar]
- Zhao, H.; Jin, T.; Wang, S.; Sun, L. A Real-Time Selective Harmonic Elimination Based on a Transient-Free Inner Closed-Loop Control for Cascaded Multilevel Inverters. IEEE Trans. Power Electron. 2016, 31, 1000–1014. [Google Scholar] [CrossRef]
- Yang, K.; Feng, M.; Wang, Y.; Lan, X.; Wang, J.; Zhu, D.; Yu, W. Real-Time switching-angle Computation for Selective Harmonic Control. IEEE Trans. Power Electron. 2019, 34, 8201–8212. [Google Scholar] [CrossRef]
- Cox, D.; Little, J.; O’Shea, D. Ideals, Varieties, and Algorithms: An Introduction to Computational Algebraic Geometry and Commutative Algebra, 2nd ed.; Springer Science & Business Media: Cham, Switzerland, 2015. [Google Scholar] [CrossRef]
- Proakis, J.G.; Manolakis, D.K. Digital Signal Processing, 4th ed.; Prentice Hall: Hoboken, NJ, USA, 2006. [Google Scholar]













| Parameter | Value | Parameter | Value |
|---|---|---|---|
| E | 48 V | 100 m | |
| mH | |||
| 200 m | 145 V | ||
| 200 m | 200 W | ||
| 4 mF | |||
| 58 m |
Publisher’s Note: MDPI stays neutral with regard to jurisdictional claims in published maps and institutional affiliations. |
© 2022 by the authors. Licensee MDPI, Basel, Switzerland. This article is an open access article distributed under the terms and conditions of the Creative Commons Attribution (CC BY) license (https://creativecommons.org/licenses/by/4.0/).
Share and Cite
Vivert, M.; Diez, R.; Cousineau, M.; Bernal Cobaleda, D.; Patino, D.; Ladoux, P. Real-Time Adaptive Selective Harmonic Elimination for Cascaded Full-Bridge Multilevel Inverter. Energies 2022, 15, 2995. https://doi.org/10.3390/en15092995
Vivert M, Diez R, Cousineau M, Bernal Cobaleda D, Patino D, Ladoux P. Real-Time Adaptive Selective Harmonic Elimination for Cascaded Full-Bridge Multilevel Inverter. Energies. 2022; 15(9):2995. https://doi.org/10.3390/en15092995
Chicago/Turabian StyleVivert, Miguel, Rafael Diez, Marc Cousineau, Diego Bernal Cobaleda, Diego Patino, and Philippe Ladoux. 2022. "Real-Time Adaptive Selective Harmonic Elimination for Cascaded Full-Bridge Multilevel Inverter" Energies 15, no. 9: 2995. https://doi.org/10.3390/en15092995
APA StyleVivert, M., Diez, R., Cousineau, M., Bernal Cobaleda, D., Patino, D., & Ladoux, P. (2022). Real-Time Adaptive Selective Harmonic Elimination for Cascaded Full-Bridge Multilevel Inverter. Energies, 15(9), 2995. https://doi.org/10.3390/en15092995

