Parameter Evaluation in Motion Estimation for Forecasting Multiple Photovoltaic Power Generation
Abstract
1. Introduction
- A method is proposed for evaluating multiple PV generation forecasts when the PV output changes drastically.
- The parameter that makes the best forecast for motion estimation reduces the error by 56.6% compared to that of the persistence forecasting. It is an effective forecasting method for periods when PV output changes drastically.
- The characteristics of forecasting a wide range of PV outputs using a motion estimation method are presented.
2. Materials and Methods
2.1. Dataset
2.2. Preprocessing
2.2.1. Normalization
2.2.2. Conversion to Mesh Data
2.3. Motion Estimation
2.4. Error Evaluation Method
2.5. Comparison with Other Methods
3. Results and Discussion
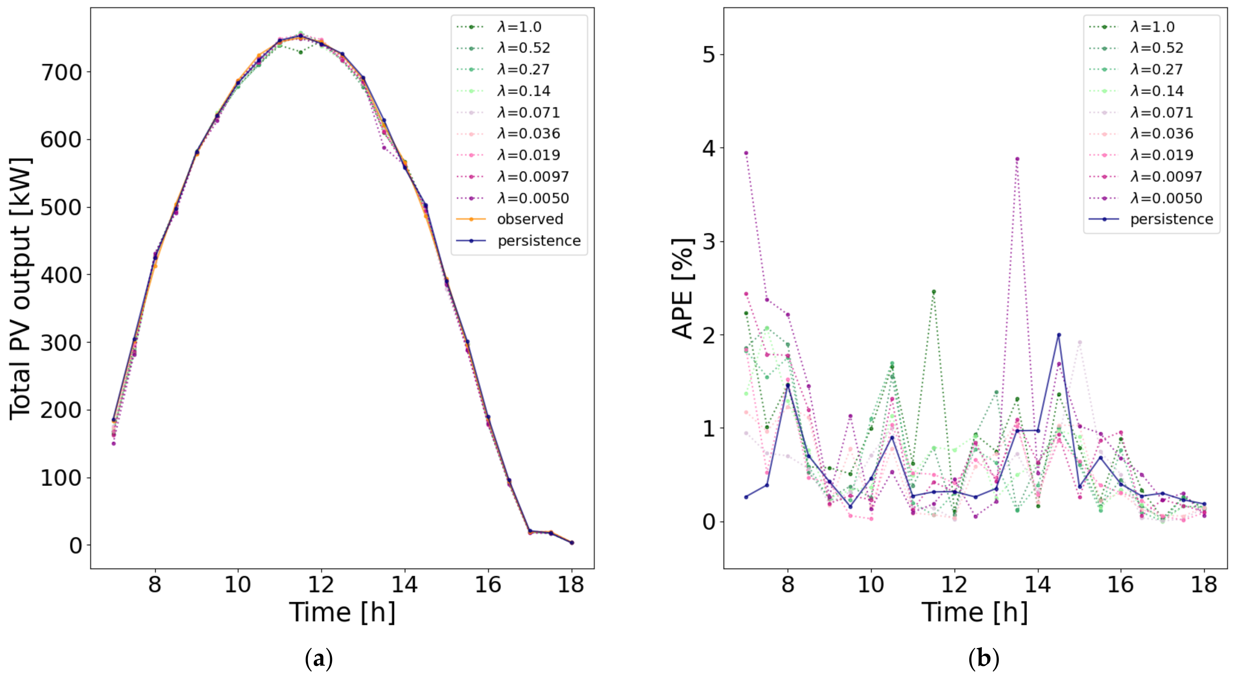
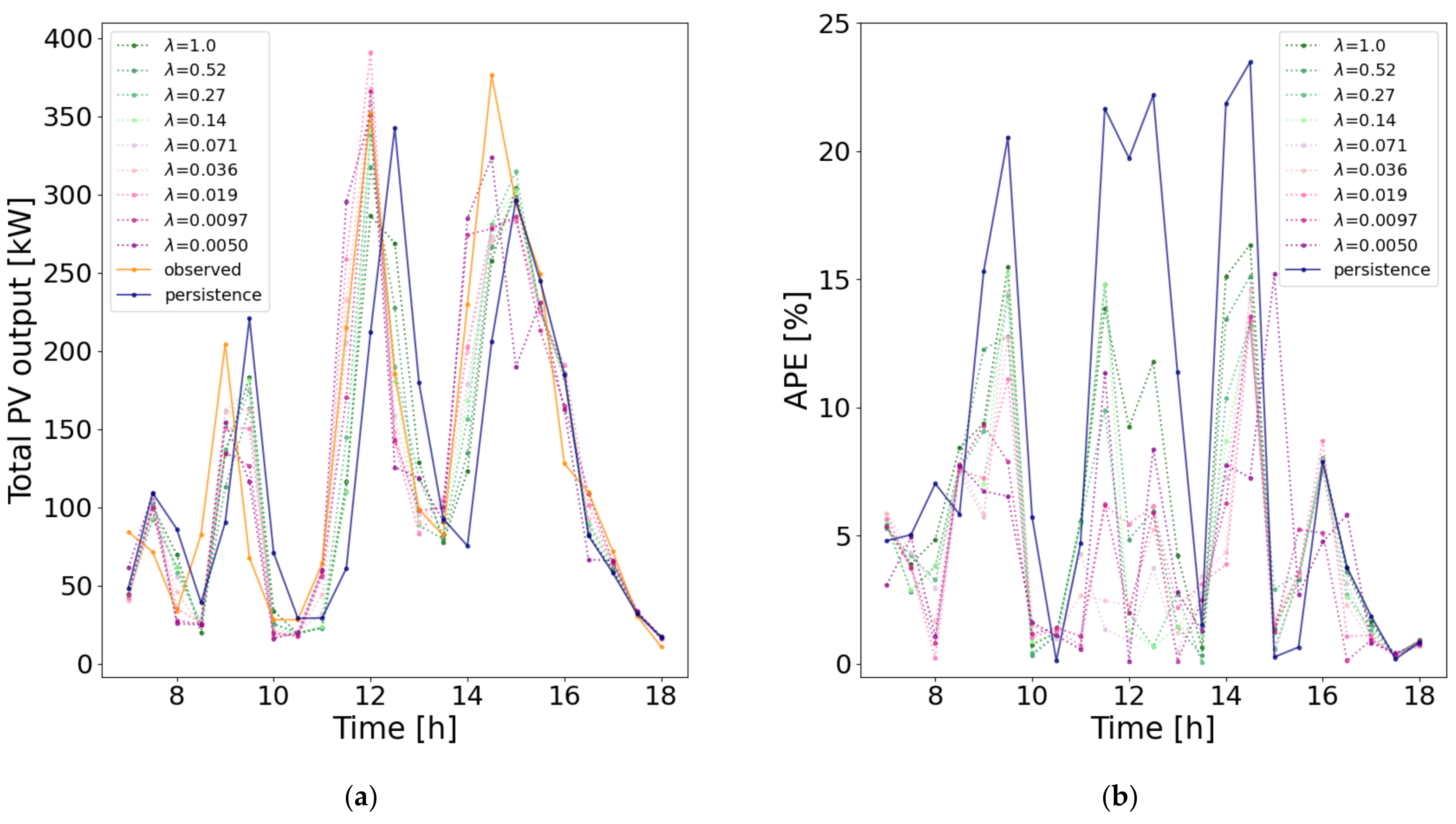
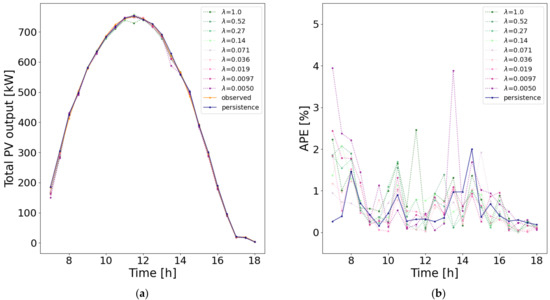
3.1. Characteristics of Motion Estimation Based on Weather
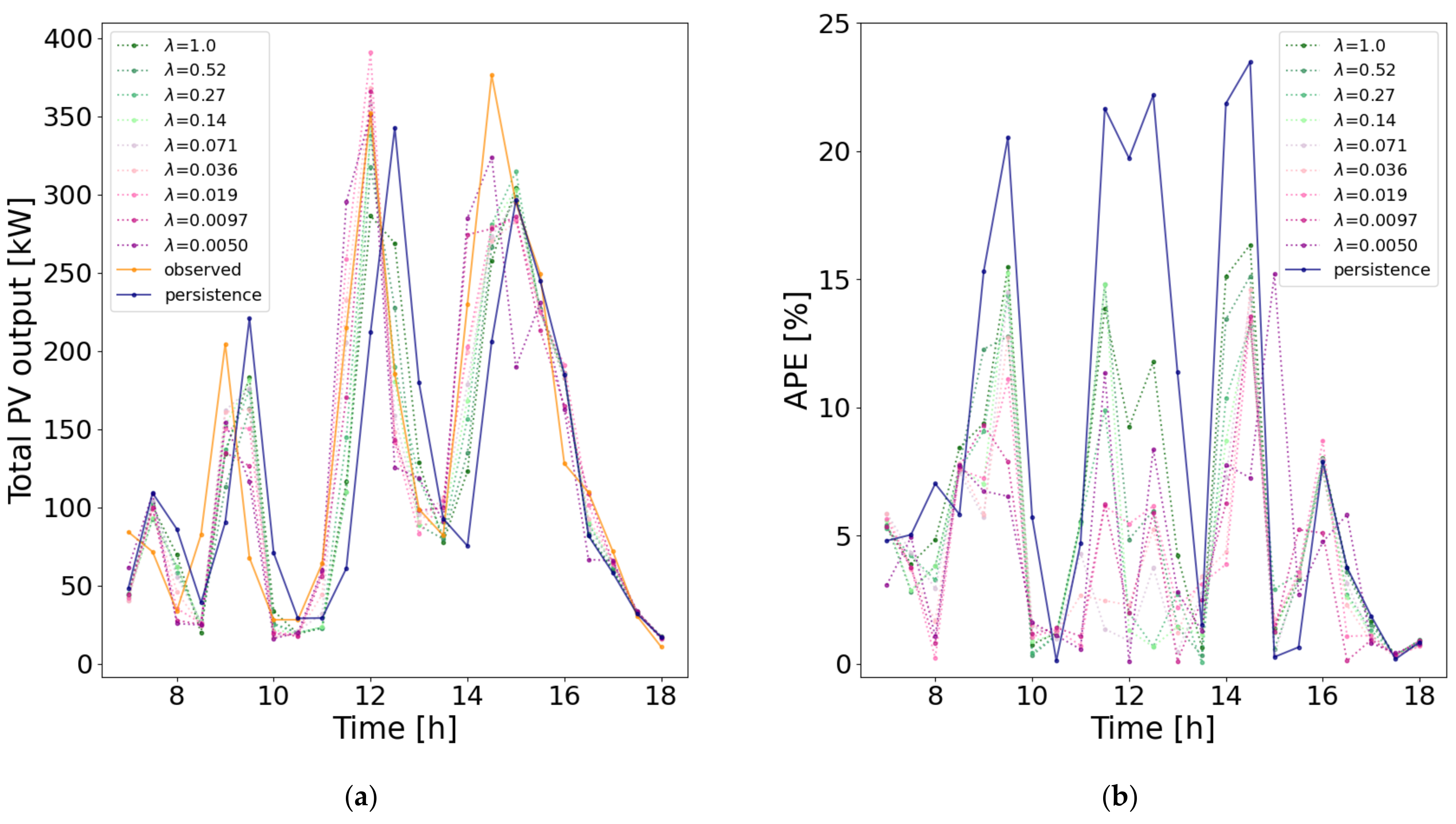
3.2. Evaluation of the Estimation Error
3.3. Results of Estimation Errors
4. Conclusions
- Correlation between the number of PV data affecting the evaluation area and forecasting accuracy: The proposed forecasting was evaluated using data obtainable in this case. However, the positional relationship and density of PV output in the evaluation area that affect the forecasting accuracy have yet to be investigated. Therefore, it should be considered in the future.
- Consideration of ensemble learning: It has been reported that ensemble learning, which combines different forecasting models, improves the forecasting accuracy. Therefore, we believe that further improvement of accuracy can be achieved by combining ensemble learning with statistical methodology.
Author Contributions
Funding
Institutional Review Board Statement
Informed Consent Statement
Data Availability Statement
Acknowledgments
Conflicts of Interest
References
- Adoption of the Paris Agreement—Paris Agreement Text English. Available online: https://unfccc.int/sites/default/files/english_paris_agreement.pdf (accessed on 13 January 2022).
- Turner, B. Asian Development Bank Institute. In The Statesman’s Yearbook; Springer Nature: Cham, Switzerland, 2014; p. 75. [Google Scholar] [CrossRef]
- GSR2021_Full_Report. Available online: https://www.ren21.net/wp-content/uploads/2019/05/GSR2021_Full_Report.pdf (accessed on 13 January 2022).
- Bird, L.; Milligan, M.; Lew, D. Integrating Variable Renewable Energy: Challenges and Solutions; National Renewable Energy Laboratory (NREL): Golden, CO, USA, 2013. [Google Scholar]
- Ueckerdt, F.; Brecha, R.; Luderer, G. Analyzing Major Challenges of Wind and Solar Variability in Power Systems. Renew. Energy 2015, 81, 1–10. [Google Scholar] [CrossRef]
- Raza, M.Q.; Nadarajah, M.; Ekanayake, C. On recent advances in PV output power forecast. Sol. Energy 2016, 136, 125–144. [Google Scholar] [CrossRef]
- Ahmed, R.; Sreeram, V.; Mishra, Y.; Arif, M.D. A review and evaluation of the state-of-the-art in PV solar power forecasting: Techniques and optimization. Renew. Sustain. Energy Rev. 2020, 124, 109792. [Google Scholar] [CrossRef]
- Saint-Drenan, Y.M.; Good, G.H.; Braun, M. A probabilistic approach to the estimation of regional photo-voltaic power production. Sol. Energy 2017, 147, 257–276. [Google Scholar] [CrossRef]
- Ma, Y.; Lv, Q.; Zhang, R.; Zhang, Y.; Zhu, H.; Yin, W. Short-term photovoltaic power forecasting method based on irradiance correction and error forecasting. Energy Rep. 2021, 7, 5495–5509. [Google Scholar] [CrossRef]
- Bacher, P.; Madsen, H.; Nielsen, H.A. Online short-term solar power forecasting. Sol. Energy 2009, 83, 1772–1783. [Google Scholar] [CrossRef]
- Reikard, G. Predicting solar radiation at high resolutions: A comparison of time series forecasts. Sol. Energy 2009, 83, 342–349. [Google Scholar] [CrossRef]
- Pedro, H.T.C.; Coimbra, C.F.M. Assessment of forecasting techniques for solar power production with no exogenous inputs. Sol. Energy 2012, 86, 2017–2028. [Google Scholar] [CrossRef]
- Zhou, H.; Zhang, Y.; Yang, L.; Liu, Q.; Yan, K.; Du, Y. Short-term photovoltaic power forecasting based on long short term memory neural network and attention mechanism. IEEE Access 2019, 7, 78063–78074. [Google Scholar] [CrossRef]
- Behera, M.K.; Majumder, I.; Nayak, N. Solar photovoltaic power forecasting using optimized modified extreme learning machine technique. Eng. Sci. Technol. 2018, 21, 428–438. [Google Scholar] [CrossRef]
- Alamoudi, R.; Taylan, O.; Aktacir, M.A.; Herrera-viedma, E. Designing a solar photovoltaic system for generating renewable energy of a hospital: Performance analysis and adjustment based on RSM and ANFIS approaches. Mathematics 2021, 9, 2929. [Google Scholar] [CrossRef]
- Hammer, A.; Heinemann, D.; Lorenz, E.; Lückehe, B. Short-term forecasting of solar radiation: A statistical approach using satellite data. Sol. Energy 1999, 67, 139–150. [Google Scholar] [CrossRef]
- Perez, R.; Kivalov, S.; Schlemmer, J.; Hemker, K.; Renné, D.; Hoff, T.E. Validation of short and medium term operational solar radiation forecasts in the US. Sol. Energy 2010, 84, 2161–2172. [Google Scholar] [CrossRef]
- Bright, J.M.; Killinger, S.; Lingfors, D.; Engerer, N.A. Improved satellite-derived PV power nowcasting using real-time power data from reference PV systems. Sol. Energy 2018, 168, 118–139. [Google Scholar] [CrossRef]
- Feng, C.; Zhang, J. SolarNet: A sky image-based deep convolutional neural network for intra-hour solar forecasting. Sol. Energy 2020, 204, 71–78. [Google Scholar] [CrossRef]
- Chu, Y.; Urquhart, B.; Gohari, S.M.I.; Pedro, H.T.C.; Kleissl, J.; Coimbra, C.F.M. Short-term reforecasting of power output from a 48 MWe solar PV plant. Sol. Energy 2015, 112, 68–77. [Google Scholar] [CrossRef]
- Chow, C.W.; Belongie, S.; Kleissl, J. Cloud motion and stability estimation for intra-hour solar forecasting. Sol. Energy 2015, 115, 645–655. [Google Scholar] [CrossRef]
- Zhang, J.; Florita, A.; Hodge, B.M.; Lu, S.; Hamann, H.F.; Banunarayanan, V.; Brockway, A.M. A suite of metrics for assessing the performance of solar power forecasting. Sol. Energy 2015, 111, 157–175. [Google Scholar] [CrossRef]
- Miyazaki, Y.; Kameda, Y.; Kondoh, J. A power-forecasting method for geographically distributed PV power systems using their previous datasets. Energies 2019, 12, 4815. [Google Scholar] [CrossRef]
- Kameda, Y.; Kishi, H.; Ishikawa, T.; Matsuda, I.; Itoh, S. Multi-frame Motion Compensation Using Extrapolated Frame by Optical Flow for Lossless Video Coding. In Proceedings of the 2016 IEEE International Symposium on Signal Processing and Information Technology, ISSPIT 2016, Limassol, Cyprus, 12–14 December 2016; IEEE: Limassol, Cyprus, 2017; pp. 300–304. [Google Scholar]
- Horn, B.K.P.; Schunck, B.G. Determining optical flow. Artif. Intell. 1981, 17, 185–203. [Google Scholar] [CrossRef]
- Miyazaki, Y.; Kondoh, J.; Kameda, Y. Forecasting System Using Actual Multipoint PV Output; Japan Council for Renewable Energy: Yokohama, Japan, 2018. [Google Scholar]
- Interpolate 2-D or 3-D Scattered Data—MATLAB Griddata—MathWorks. Available online: https://jp.mathworks.com/help/matlab/ref/griddata.html?lang=en (accessed on 13 January 2022).
- Sawada, Y.; Takahashi, H. Occurrence and mitigation of meso-β-scale precipitation area over the Kanto District in summer. Geogr. Rev. Jap. 2002, 75, 509–528. [Google Scholar] [CrossRef][Green Version]
- Bosch, J.L.; Kleissl, J. Cloud motion vectors from a network of ground sensors in a solar power plant. Sol. Energy 2013, 95, 13–20. [Google Scholar] [CrossRef]
- Liu, J.; Fang, W.; Zhang, X.; Yang, C. An improved photovoltaic power forecasting model with the assistance of aerosol index data. IEEE Trans. Sustain. Energy 2015, 6, 434–442. [Google Scholar] [CrossRef]
- Tsuchiya, H.D.; Kure, T.; Kodaira, D.; Kondoh, J.; Kameda, Y. Parameter Optimization on Power Output Forecast for Distributed PV Systems Based on Motion Estimation. Preprints 2022, 2022020143. (In Japanese) [Google Scholar] [CrossRef]



















| Approach | Description | Effective Time Scale | References |
|---|---|---|---|
| physical approach | NWP methods are popular long-term forecast methods for solar irradiance. | long-term | [8,9] |
| statistical approach | This includes forecast by autoregressive and artificial intelligence, which are particularly effective in the short-term forecast. | very short-term, short-term | [10,11,12,13,14,15] |
| image processing approach | This involves forecasts based on images captured using sensors installed on the ground and artificial satellites. | very short-term, short-term | [16,17,18,19,20,21] |
| persistence approach | This approach is effective in very short-term forecasting and is used as a benchmark for the forecast. | very short-term | [6,12,17] |
| Period of Dataset | 1 August 2013–31 July 2014 |
|---|---|
| period of forecasting | 15 August 2013–31 July 2014 |
| sampling cycle () obtained from PV | 30 min |
| number of PV systems | 5097 |
| range of the longitude forecasted | |
| range of the latitude forecasted | 12960′–14160′ |
| Center Point of the Evaluated Area | |
|---|---|
| radius of the evaluated area | 15 km |
| number of PVs | 101 |
| maximum total generation by all PV systems | 860 kW |
| time steps of forecasted periods | 5851 |
| time steps of drastic change periods (extracted) | 37 |
| Parameter | Persistence | λ = 1.0 | λ = 0.52 | λ = 0.27 | λ = 0.14 | λ = 0.071 | λ = 0.036 | λ = 0.019 | λ = 0.0097 | λ = 0.0050 |
|---|---|---|---|---|---|---|---|---|---|---|
| RMSE [kW] | 6.946 | 9.799 | 6.893 | 6.411 | 6.125 | 6.964 | 5.400 | 5.400 | 6.127 | 1.105 |
| MAPE [%] | 0.650 | 0.939 | 0.652 | 0.578 | 0.649 | 0.648 | 0.494 | 0.563 | 0.614 | 0.797 |
| Parameter | Persistence | λ = 1.0 | λ = 0.52 | λ = 0.27 | λ = 0.14 | λ = 0.071 | λ = 0.036 | λ = 0.019 | λ = 0.0097 | λ = 0.0050 |
|---|---|---|---|---|---|---|---|---|---|---|
| RMSE [kW] | 104.3 | 64.45 | 55.94 | 43.57 | 47.36 | 36.94 | 36.61 | 37.79 | 38.16 | 48.20 |
| MAPE [%] | 9.230 | 5.779 | 4.631 | 3.629 | 3.722 | 2.881 | 3.061 | 3.362 | 3.277 | 4.121 |
| Parameter | Persistence | Artificial Neural Network | λ = 1.0 | λ = 0.52 | λ = 0.27 | λ = 0.14 | λ = 0.071 | λ = 0.036 | λ = 0.019 | λ = 0.0097 | λ = 0.0050 |
|---|---|---|---|---|---|---|---|---|---|---|---|
| mean [%] | 23.7 | 13.0 | 15.5 | 15.0 | 13.7 | 12.8 | 11.1 | 11.0 | 10.3 | 10.6 | 11.8 |
| medium [%] | 22.2 | 10.2 | 13.6 | 13.3 | 11.5 | 10.7 | 8.45 | 7.83 | 7.20 | 7.80 | 8.87 |
| standard deviations [%] | 12.5 | 10.3 | 11.0 | 10.9 | 10.5 | 10.0 | 9.58 | 10.2 | 9.65 | 9.75 | 10.7 |
Publisher’s Note: MDPI stays neutral with regard to jurisdictional claims in published maps and institutional affiliations. |
© 2022 by the authors. Licensee MDPI, Basel, Switzerland. This article is an open access article distributed under the terms and conditions of the Creative Commons Attribution (CC BY) license (https://creativecommons.org/licenses/by/4.0/).
Share and Cite
Kure, T.; Tsuchiya, H.D.; Kameda, Y.; Yamamoto, H.; Kodaira, D.; Kondoh, J. Parameter Evaluation in Motion Estimation for Forecasting Multiple Photovoltaic Power Generation. Energies 2022, 15, 2855. https://doi.org/10.3390/en15082855
Kure T, Tsuchiya HD, Kameda Y, Yamamoto H, Kodaira D, Kondoh J. Parameter Evaluation in Motion Estimation for Forecasting Multiple Photovoltaic Power Generation. Energies. 2022; 15(8):2855. https://doi.org/10.3390/en15082855
Chicago/Turabian StyleKure, Taiki, Haruka Danil Tsuchiya, Yusuke Kameda, Hiroki Yamamoto, Daisuke Kodaira, and Junji Kondoh. 2022. "Parameter Evaluation in Motion Estimation for Forecasting Multiple Photovoltaic Power Generation" Energies 15, no. 8: 2855. https://doi.org/10.3390/en15082855
APA StyleKure, T., Tsuchiya, H. D., Kameda, Y., Yamamoto, H., Kodaira, D., & Kondoh, J. (2022). Parameter Evaluation in Motion Estimation for Forecasting Multiple Photovoltaic Power Generation. Energies, 15(8), 2855. https://doi.org/10.3390/en15082855

