Comparison of Characteristics of Poultry Litter Pellets Obtained by the Processes of Dry and Wet Torrefaction
Abstract
:1. Introduction
2. Materials and Methods
- (a)
- During torrefaction in the fluidized bed process, 1 kg of pellets from the hopper (2) is fed into a bed of quartz sand in the reactor (3). The weight fraction of PL pellets in the sand bed is 15%. Nitrogen or superheated steam is supplied to the reactor (1) to transfer a bed of quartz sand and pellets to a fluidized state. The flow rate of the fluidization agents (nitrogen/steam) is 0.68–0.8 m/s.
- (b)
- Steam is generated in an electric boiler. It has an overpressure of up to 0.2 MPa. The generated steam is fed into an electric superheater where it is heated to a temperature of 350 °C. If required, the superheater can also be used to heat nitrogen instead of steam, and under this operating configuration, the steam boiler is turned off.
- (c)
- Superheated steam or nitrogen enters the reactor (3) and fluidizes the bed of quartz sand. At the same time, the side walls of the reactor (3) are heated, which provides thermal energy to maintain the operational temperature of the torrefaction process.
- (d)
- Exhaust steam or nitrogen enters the cyclone (4), in which pieces of biochar carried away from the fluidized bed are separated from the gas (steam) flow.
- (e)
- The stream then enters the condenser for cooling. Non-condensable gases enter the atmosphere through a pipeline which is fitted with a nozzle for the «Vario Plus Syngaz» (manufacturer: MRU Instruments, Inc., Houston, TX, USA) gas analyzer probe.
- (a)
- During torrefaction in the fluidized bed, only 1 kg of PL pellets without quartz sand was loaded into the reactor (3).
- (b)
- When carrying out experiments with nitrogen and superheated steam, target temperatures of 250 °C, 300 °C and 350 °C, respectively, were maintained in the reactor (3).
- (c)
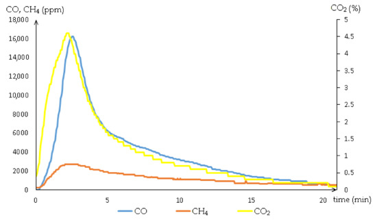
- Following the initiation of the loading of PL into the reactor (3), continuous measurements of the content of carbon dioxide, carbon monoxide, methane and hydrogen in combustible gases were performed using the «Vario Plus Syngaz» gas analyzer. Prior to loading pellets into the reactor (3), the concentration of these gases was close to zero. After loading of pellets in the reactor (3), the process of torrefaction was initiated, and the concentration of CO, CO2, H2, CH4 began to rise, then reached their maximum levels and, subsequently, decreased. We assumed that the torrefaction process ended at the time when the release of CO, CO2, H2 and CH4 was almost completed, as the measured levels of these gases became very low. The time interval that elapsed from the beginning of the increase in concentrations of non-condensable gases until the sharp decline in these concentrations towards minimum values was assumed to correspond to the duration of the torrefaction process.
3. Results and Discussion
4. Conclusions
Author Contributions
Funding
Institutional Review Board Statement
Informed Consent Statement
Data Availability Statement
Acknowledgments
Conflicts of Interest
References
- Lysenko, V. Why the Most Successful Poultry Farms Are Often Bring the Greatest Harm to the Environment. 2009. Available online: https://agroobzor.ru/pti/a-121.html (accessed on 14 February 2022).
- Pandey, D.; Kwapinska, M.; Gomez-Barea, A.; Horvat, A.; Fryda, L.; Rabou, L.; Leahy, J.; Kwapinski, W. Poultry litter gasi-fication in a fluidized bed reactor: Effects of gasifying agent and limestone addition. Energy Fuels 2016, 30, 3085–3096. [Google Scholar] [CrossRef] [Green Version]
- Taupe, N.; Lynch, D.; Wnetrzak, R.; Kwapinska, M.; Kwapinski, W.; Leahy, J. Updraft gasification of poultry litter at farm-scale—A case study. Waste Manag. 2016, 50, 324–333. [Google Scholar] [CrossRef] [PubMed]
- Kumar, M.; Oyedun, A.J.; Kumar, A. A review on the current status of various hydrothermal technologies on biomass feed-stock. Renew. Sustain. Energy Rev. 2018, 81, 1742–1770. [Google Scholar] [CrossRef]
- Bach, Q.-V.; Tran, K.-Q.; Skreiberg, Ø. Comparative study on the thermal degradation of dry- and wet-torrefied woods. Appl. Energy 2017, 185, 1051–1058. [Google Scholar] [CrossRef]
- Tumuluru, J.S.; Sokhansanj, S.; Hess, J.R.; Wright, C.; Boardman, R.D. REVIEW: A review on biomass torrefaction process and product properties for energy applications. Ind. Biotechnol. 2011, 7, 384–401. [Google Scholar] [CrossRef] [Green Version]
- Chen, W.-H.; Peng, J.; Bi, X.T. A state-of-the-art review of biomass torrefaction, densification and applications. Renew. Sustain. Energy Rev. 2015, 44, 847–866. [Google Scholar] [CrossRef]
- Ribeiro, J.M.C.; Godina, R.; Matias, J.C.d.O.; Nunes, L.J.R. Future Perspectives of Biomass Torrefaction: Review of the Current State-Of-The-Art and Research Development. Sustainability 2018, 10, 2323. [Google Scholar] [CrossRef] [Green Version]
- Brachi, P.; Miccio, F.; Miccio, M.; Ruoppolo, G. Torrefaction of Tomato Peel Residues in a Fluidized Bed of Inert Particles and a Fixed-Bed Reactor. Energy Fuels 2016, 30, 4858–4868. [Google Scholar] [CrossRef]
- Brachi, P.; Riianova, E.; Miccio, M.; Miccio, F.; Ruoppolo, G.; Chirone, R. Valorization of Sugar Beet Pulp via Torrefaction with a Focus on the Effect of the Preliminary Extraction of Pectins. Energy Fuels 2017, 31, 9595–9604. [Google Scholar] [CrossRef]
- Brachi, P.; Chirone, R.; Miccio, F.; Miccio, M.; Ruoppolo, G. Valorization of Orange Peel Residues via Fluidized Bed Torrefaction: Comparison between Different Bed Materials. Combust. Sci. Technol. 2019, 191, 1585–1599. [Google Scholar] [CrossRef]
- Repellin, V.; Govin, A.; Rolland, M.; Guyonnet, R. Energy requirement for fine grinding of torrefied wood. Biomass Bioenergy 2010, 34, 923–930. [Google Scholar] [CrossRef] [Green Version]
- Yoo, H.S.; Choi, H.S. A study on torrefaction characteristics of waste sawdust in an auger type pyrolyzer. J. Mater. Cycles Waste Manag. 2016, 18, 460–468. [Google Scholar] [CrossRef]
- Dhungana, A.; Dutta, A.; Basu, P. Torrefaction of non-lignocellulose biomass waste. Can. J. Chem. Eng. 2012, 90, 186–195. [Google Scholar] [CrossRef]
- Felfli, F.F.; Luengo, C.A.; Suárez, J.A.; Beatón, P.A. Wood briquette torrefaction. Energy Sustain. Dev. 2005, 9, 19–22. [Google Scholar] [CrossRef]
- Brachi, P.; Chirone, R.; Miccio, M.; Ruoppolo, G. Fluidized Bed Torrefaction of Commercial Wood Pellets: Process Performance and Solid Product Quality. Energy Fuels 2018, 32, 9459–9469. [Google Scholar] [CrossRef]
- Bergman, P.C.A.; Kiel, J.H.A. Torrefaction for biomass upgrading. In Proceedings of the Fourteenth European Biomass Conference and Exhibition, Paris, France, 17–21 October 2005; Available online: https://www.ecn.nl/docs/library/report/2005/rx05180.pdf (accessed on 11 September 2018).
- Nordin, A.; Pommer, L.; Nordwaeger, M.; Olofsson, I. Biomass conversion through torrefaction. In Technologies for Converting Biomass to Useful Energy: Combustion, Gasification, Pyrolysis, Torrefaction and Fermentation; Series: Sustainable Energy Developments; CRC Press: London, UK, 2013; pp. 217–244. [Google Scholar]
- Kongkeaw, N.; Patumsawad, S. Thermal Upgrading of Biomass as a Fuel by Torrefaction. In Proceedings of the 2nd International Conference on Environmental Engineering and Applications (ICEEA 2011), Shanghai, China, 19–21 August 2011; pp. 38–42. Available online: http://www.ipcbee.com/vol17/8-L021.pdf (accessed on 11 September 2018).
- Tumuluru, J.S.; Boardman, R.D.; Wright, C.T.; Hess, J.R. Some Chemical Compositional Changes in Miscanthus and White Oak Sawdust Samples during Torrefaction. Energies 2012, 5, 3928–3947. [Google Scholar] [CrossRef] [Green Version]
- Arias, B.; Pevida, C.; Fermoso, J.; Plaza, M.; Rubiera, F.; Pis, J. Influence of torrefaction on the grindability and reactivity of woody biomass. Fuel Process. Technol. 2008, 89, 169–175. [Google Scholar] [CrossRef] [Green Version]
- Phanphanich, M.; Mani, S. Impact of torrefaction on the grindability and fuel characteristics of forest biomass. Bioresour. Technol. 2011, 102, 1246–1253. [Google Scholar] [CrossRef]
- Rousset, P.; Petithuguenin, T.; Rodrigues, T.; Azevedo, A.-C. The fluidization behaviour of torrefied biomass in a cold model. Fuel 2012, 102, 256–263. [Google Scholar] [CrossRef]
- Bergman, P.C.A.; Boersma, A.R.; Kiel, J.H.A.; Prins, M.J.; Ptasinski, K.J.; Janssen, F.J.J.G. Torrefaction for Entrained-Flow Gasification of Biomass; ECN Report 2005 No.: ECN-C-05-067; Energy Research Centre of The Netherlands: Petten, The Netherlands, 2005; Available online: https://www.ecn.nl/docs/library/report/2005/c05067.pdf (accessed on 11 September 2018).
- Kumar, L.; Koukoulas, A.A.; Mani, S.; Satyavolu, J. Integrating Torrefaction in the Wood Pellet Industry: A Critical Review. Energy Fuels 2017, 31, 37–54. [Google Scholar] [CrossRef]
- Koppejan, J.; Sokhansanj, S.; Melin, S.; Madrali, S. Status Overview of Torrefaction Technologies; IEA Bioenergy Task: Paris, France, 2015. [Google Scholar]
- Godina, R.; Nunes, L.J.; Charrua-Santos, F.; Matias, J.C.O. Logistics cost analysis between wood pellets and torrefied Biomass Pellets: The case of Portugal. In Proceedings of the 7th International Conference on Industrial Technology and Management (ICITM), Oxford, UK, 7–9 March 2018; pp. 284–287. [Google Scholar]
- Ehrig, R.; Gugler, H.; Kristöfel, C.; Pointner, C.; Schmutzer-Roseneder, I.; Feldmeier, S.; Kolck, M.; Rauch, P.; Strasser, C.; Schipfer, F.; et al. Economic Comparison of Torrefaction-Based and Conventional Pellet Production-to-End-Use Chains. In Proceedings of the European Biomass Conference and Exhibition, Copenhagen, Denmark, 3–7 June 2013; Volume 21 EUBCE, pp. 1342–1349. [Google Scholar]
- Arteaga-Pérez, L.E.; Vega, M.; Rodríguez, L.C.; Flores, M.; Zaror, C.; Ledón, Y.C. Life-Cycle Assessment of coal–biomass based electricity in Chile: Focus on using raw vs torrefied wood. Energy Sustain. Dev. 2015, 29, 81–90. [Google Scholar] [CrossRef]
- Tsalidis, G.-A.; Joshi, Y.; Korevaar, G.; de Jong, W. Life cycle assessment of direct co-firing of torrefied and/or pelletised woody biomass with coal in The Netherlands. J. Clean. Prod. 2014, 81, 168–177. [Google Scholar] [CrossRef]
- Zhang, D.; Chen, X.; Qi, Z.; Wang, H.; Yang, R.; Lin, W.; Li, J.; Zhou, W.; Ronsse, F. Superheated steam as carrier gas and the sole heat source to enhance biomass torrefaction. Bioresour. Technol. 2021, 331, 124955. [Google Scholar] [CrossRef] [PubMed]
- Wirth, B.; Mumme, J. Anaerobic Digestion of Waste Water from Hydrothermal Carbonization of Corn Silage. Appl. Bioenergy 2014, 1, 10–2478. [Google Scholar] [CrossRef]
- Mumme, J.; Eckervogt, L.; Pielert, J.; Diakité, M.; Rupp, F.; Kern, J. Hydrothermal carbonization of anaerobically digested maize silage. Bioresour. Technol. 2011, 102, 9255–9260. [Google Scholar] [CrossRef]
- Libra, J.A.; Ro, K.S.; Kammann, C.; Funke, A.; Berge, N.D.; Neubauer, Y.; Titirici, M.-M.; Fühner, C.; Bens, O.; Kern, J.; et al. Hydrothermal carbonization of biomass residuals: A comparative review of the chemistry, processes and applications of wet and dry pyrolysis. Biofuels 2011, 2, 71–106. [Google Scholar] [CrossRef] [Green Version]
- Zhu, K.; Liu, Q.; Dang, C.; Li, A.; Zhang, L. Valorization of hydrothermal carbonization products by anaerobic digestion: Inhibitor identification, biomethanization potential and process intensification. Bioresour. Technol. 2021, 341, 125752. [Google Scholar] [CrossRef]
- Song, B.; Lin, R.; Lam, C.H.; Wu, H.; Tsui, T.-H.; Yu, Y. Recent advances and challenges of inter-disciplinary biomass valorization by integrating hydrothermal and biological techniques. Renew. Sustain. Energy Rev. 2021, 135, 110370. [Google Scholar] [CrossRef]
- Ghanim, B.M.; Daya Shankar Pandey, D.S.; Kwapinski, W.; Leahy, J.J. Hydrothermal carbonisation of poultry litter: Effects of treatment temperature and residence time on yields and chemical properties of hydrochars. Bioresour. Technol. 2016, 216, 373–380. [Google Scholar] [CrossRef]









| Material | Parameter | ||||||
|---|---|---|---|---|---|---|---|
| C, % | H, % | N, % | S, % | O2, % | Ash Content, % | Net Calorific Value, MJ/kg | |
| PL pellets before torrefaction | 41.4 | 5.7 | 4.8 | 0.8 | 30.7 | 16.6 | 16.7 |
| Material | Parameters | ||||||
|---|---|---|---|---|---|---|---|
| C, % | H, % | N, % | S, % | O2, % | Ash, % | NCV, MJ/kg | |
| Biochar after NT 1 (fixed bed, nitrogen, 250 °C) | 43.4 | 5.0 | 5.2 | 0.88 | 23.4 | 22.8 | 17.02 |
| Biochar after NT 2 (fixed bed, nitrogen, 300 °C) | 45.9 | 4.3 | 5.7 | 0.92 | 13.2 | 26.9 | 17.6 |
| Biochar after NT 3 (fixed bed, nitrogen, 350 °C) | 47.6 | 3.7 | 6.3 | 0.96 | 10.9 | 30.5 | 18.9 |
| Biochar after NT 4 (fluidized bed, nitrogen, 250 °C) | 42.2 | 5.1 | 5.01 | 0.87 | 24.5 | 21.0 | 17.0 |
| Biochar after NT 5 (fluidized bed, nitrogen, 300 °C) | 44.8 | 4.02 | 5.65 | 0.91 | 14.3 | 25.8 | 17.5 |
| Biochar after NT 6 (fluidized bed, nitrogen, 350 °C) | 46.7 | 3.7 | 6.3 | 0.98 | 11.6 | 30.7 | 18.5 |
| Biochar after ST 1 (fluidized bed, superheated team, 250 °C) | 46.1 | 4.01 | 4.3 | 0.95 | 14.6 | 22.0 | 17.02 |
| Biochar after ST 2 (fluidized bed, superheated team, 300 °C) | 47.8 | 3.88 | 4.56 | 0.92 | 13.0 | 26.8 | 17.7 |
| Biochar after ST 3 (fluidized bed, superheated team, 350 °C) | 48.2 | 3.63 | 4.65 | 0.9 | 12.5 | 30.1 | 18.8 |
| Method and Conditions of Torrefaction | Yield of Non-Condensable Gases, L | ||
|---|---|---|---|
| CO2 | CO | CH4 | |
| NT 1 | 4.84 | 1.29 | 0.62 |
| NT 2 | 5.7 | 1.43 | 0.73 |
| NT 3 | 6.53 | 1.74 | 0.84 |
| NT 4 | 2.07 | 0.55 | 0.27 |
| NT 5 | 3.87 | 0.93 | 0.6 |
| NT 6 | 5.66 | 1.51 | 0.72 |
| ST 1 | 28.07 | 7.48 | 3.6 |
| ST 2 | 61.02 | 15.7 | 8.9 |
| ST 3 | 98.06 | 26.13 | 12.74 |
Publisher’s Note: MDPI stays neutral with regard to jurisdictional claims in published maps and institutional affiliations. |
© 2022 by the authors. Licensee MDPI, Basel, Switzerland. This article is an open access article distributed under the terms and conditions of the Creative Commons Attribution (CC BY) license (https://creativecommons.org/licenses/by/4.0/).
Share and Cite
Isemin, R.; Mikhalev, A.; Milovanov, O.; Klimov, D.; Kokh-Tatarenko, V.; Brulé, M.; Tabet, F.; Nebyvaev, A.; Kuzmin, S.; Konyakhin, V. Comparison of Characteristics of Poultry Litter Pellets Obtained by the Processes of Dry and Wet Torrefaction. Energies 2022, 15, 2153. https://doi.org/10.3390/en15062153
Isemin R, Mikhalev A, Milovanov O, Klimov D, Kokh-Tatarenko V, Brulé M, Tabet F, Nebyvaev A, Kuzmin S, Konyakhin V. Comparison of Characteristics of Poultry Litter Pellets Obtained by the Processes of Dry and Wet Torrefaction. Energies. 2022; 15(6):2153. https://doi.org/10.3390/en15062153
Chicago/Turabian StyleIsemin, Rafail, Alexander Mikhalev, Oleg Milovanov, Dmitry Klimov, Vadim Kokh-Tatarenko, Mathieu Brulé, Fouzi Tabet, Artemy Nebyvaev, Sergey Kuzmin, and Valentin Konyakhin. 2022. "Comparison of Characteristics of Poultry Litter Pellets Obtained by the Processes of Dry and Wet Torrefaction" Energies 15, no. 6: 2153. https://doi.org/10.3390/en15062153
APA StyleIsemin, R., Mikhalev, A., Milovanov, O., Klimov, D., Kokh-Tatarenko, V., Brulé, M., Tabet, F., Nebyvaev, A., Kuzmin, S., & Konyakhin, V. (2022). Comparison of Characteristics of Poultry Litter Pellets Obtained by the Processes of Dry and Wet Torrefaction. Energies, 15(6), 2153. https://doi.org/10.3390/en15062153

