Research on Low-Voltage AC Series Arc-Fault Detection Method Based on Electromagnetic Radiation Characteristics
Abstract
:1. Introduction
2. Method and Experimental System
2.1. Theoretical Analysis
2.2. Experimental System
2.2.1. Design of Receiving Antenna
2.2.2. Arc Generation and Measurement Platform
3. Experimental Results and Analysis
3.1. Radiation Signal Characteristic Analysis
3.2. Factors Affecting Radiation Characteristics
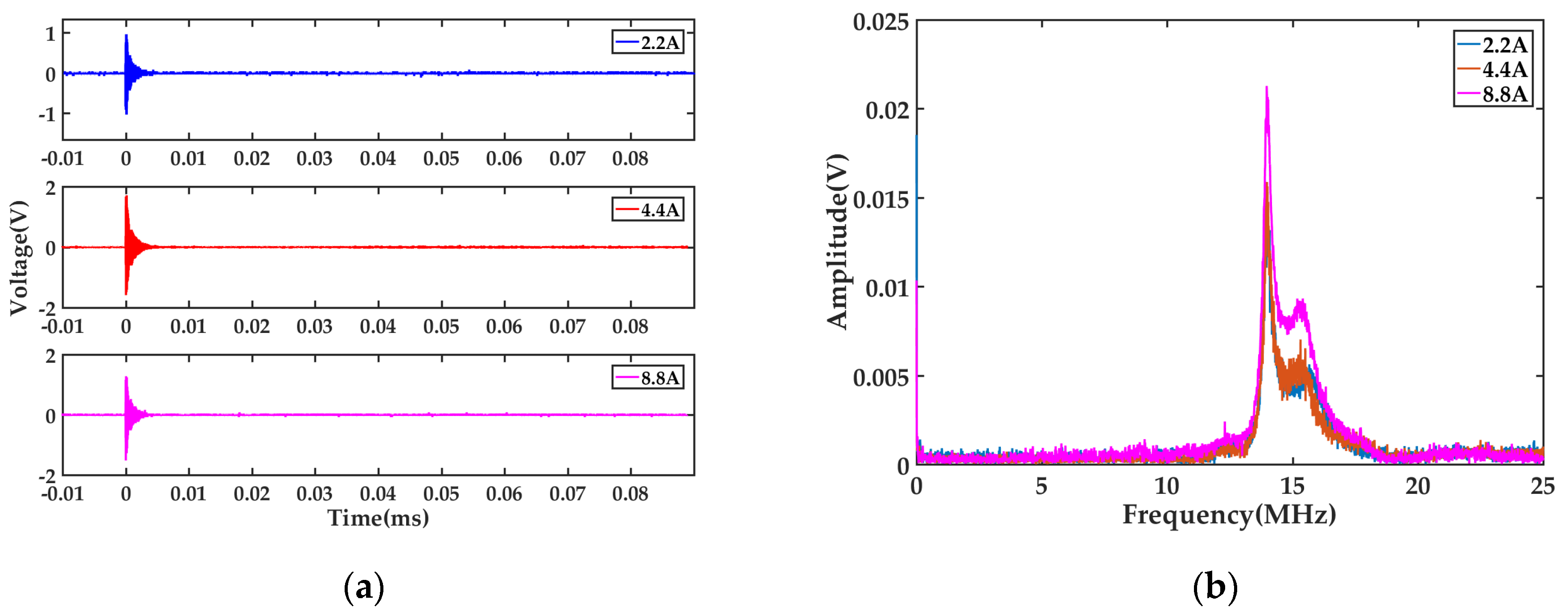
3.2.1. The Influence of Current
3.2.2. The Influence of Load Type
3.2.3. The Influence of Arc Position
3.2.4. The Influence of Discharge Moment
3.3. Radiation Characteristics of Switch Operation
3.4. Comparative Experiment
4. Conclusions
- (1)
- In this paper, a low voltage AC fault arc experimental platform is built to simulate the arc fault. The electromagnetic radiation signal of the arc is received by the self-made loop antenna, and the amplitude of the signal is far greater than that of the surrounding environmental interference signal, which can be used as the basis for fault-arc identification;
- (2)
- By analyzing the arc electromagnetic radiation signal at different currents, different loads, different discharge positions, and different arc moments, the amplitude of the signal does not have an obvious change pattern, but the characteristic frequency of the signal is distributed between 13–15 MHz. The next step will consider the influence of other factors such as discharge simulation device, temperature, and pressure to simulate a more realistic fault arc;
- (3)
- By comparing the electromagnetic radiation signals of the switching operation and fault arc, it is found that there is no obvious difference in amplitude between the switching operation electromagnetic radiation signal and the fault arc electromagnetic radiation signal, but the oscillation time is only half of the oscillation time when the arc occurs. Regarding frequency, the electromagnetic radiation signal characteristic frequency generated by the switch is about 9.35 MHz, which is significantly less than the fault arc characteristic frequency of 14 MHz. Therefore, the operating arc and fault arc can be distinguished by oscillation time and characteristic frequency of electromagnetic radiation signal;
- (4)
- Through the analysis of this paper, a fault-arc detection method based on electromagnetic radiation characteristics is proposed. This method does not need to consider the influence of current, nonlinear load, and other factors in the line, and can accurately distinguish the operating arc versus the fault arc. However, the feasibility of this method to detect a low-voltage AC fault arc is only verified. The next step will summarize the method and propose a complete fault-arc detection algorithm;
- (5)
- In order to better apply this method to practice, this paper proposes the detection device, and the device structure is shown in the Figure 16. The loop antenna is used to receive electromagnetic radiation signals. According to the experimental test, the antenna designed in this paper can detect the electromagnetic radiation signal within 2 m, which is suitable for indoor fault-arc detection. The loop antenna is connected to a high-speed A/D converter, followed by a signal processing circuit, including signal filtering and amplification. The signal is sent to the CPU after processing, which may be DSP or FPGA. After FFT of the signal through the high-speed processor, the time-domain and frequency domain-features are compared separately. After the fault arc discrimination results are obtained, the actuator action is controlled to disconnect the line and avoid the occurrence of electrical accidents.
Author Contributions
Funding
Institutional Review Board Statement
Informed Consent Statement
Data Availability Statement
Conflicts of Interest
References
- Land, H.B.; Gammon, T. Addressing Arc-Flash Problems in Low-Voltage Switchboards: A Case Study in Arc Fault Protection. Ind. Appl. IEEE Trans. 2015, 51, 1897–1908. [Google Scholar] [CrossRef]
- Por, C.S.; Choo, K.L.; Jian, L.Y. A Study of Arc Fault Current in Low Voltage Switchboard. In Proceedings of the 2012 IEEE Conference on Sustainable Utilization and Development in Engineering and Technology (STUDENT), Kuala Lumpur, Malaysia, 6–9 October 2012; pp. 52–56. [Google Scholar]
- Ferraz, R.G.; Iurinic, L.U.; Filomena, A.D.; Gazzana, D.S.; Bretas, A.S. Arc fault location: A nonlinear time varying fault model and frequency domain parameter estimation approach. Int. J. Electr. Power Energy Syst. 2016, 80, 347–355. [Google Scholar] [CrossRef]
- Zhan, Y.X.; Zhang, R.C.; Yang, J.H. Fault Diagnosis Method of Series Arc Based on Camberra Distance. Power Syst. Prot. Control 2014, 12, 30–36. [Google Scholar]
- Restrepo, C.E. Arc Fault Detection and Discrimination Methods. In Proceedings of the 53rd IEEE Holm Conference on Electrical Contacts, Pittsburgh, PA, USA, 16–19 September 2007; pp. 115–122. [Google Scholar]
- Abdullah, Y.; Hu, B.; Wei, Z. Adaptivedetection of DC Arc faults based on hurst exponentsand current envelope. In Proceedings of the 2018 IEEE Applied Power Electronics Conference and Exposition, San Antonio, TX, USA, 4–8 March 2018; pp. 3392–3397. [Google Scholar]
- Yu, Q.F.; Hu, Y.Q.; Yang, Y. Identification Method for Series Arc Faults Based on Wavelet Transform and Deep Neural Network. Energies 2020, 13, 142. [Google Scholar] [CrossRef] [Green Version]
- Artale, G.; Cataliotti, A.; Cosentino, V. Arc fault detection method based on CZT low-frequency harmonic current analysis. IEEE Trans. Instrum. Meas. 2017, 66, 888–896. [Google Scholar] [CrossRef]
- Wang, Y.; Wei, Q.Q.; Ge, L.J. Detection Method of Series AC Arc Fault Based on High Frequency Component of Arc Current. Electr. Power Autom. Equip. 2017, 7, 191–197. [Google Scholar]
- Liu, X.M.; Xu, Y.F.; Liu, T. Arc Fault Detection Based on Short Time Zero-crossing Rate of Current Signal. Trans. China Electrotech. Soc. 2015, 13, 125–133. [Google Scholar]
- Ding, X.; Zhu, H.W.; Yin, H.N. Fast detection method of AC electrical arc based on fast Fourier transform (FFT). Electr. Energy Manag. Technol. 2015, 21, 8–12. [Google Scholar]
- Zhao, Y.Q.; Zhang, X.B.; Dong, Y.J. Characteristics Analysis and Detection of AC Arc Fault in SSPC based on Wavelet Transform. In Proceedings of the 2016 IEEE/CSAA International Conference on Aircraft Utility Systems (AUS), Beijing, China, 10–12 October 2016; pp. 476–481. [Google Scholar]
- Tang, J.C.; Mou, X.R.; Zhang, L.P. Current-type series arc fault detection. J. Fuzhou Univ. (Nat. Sci. Ed.) 2013, 5, 869–874. [Google Scholar]
- Duan, P.Y.; Xu, L.P.; Ding, X.D. An arc fault diagnostic method for low voltage lines using the difference of wavelet coefficients. In Proceedings of the 2014 9th IEEE Conference on Industrial Electronics and Applications, Hangzhou, China, 9–11 June 2014; pp. 401–405. [Google Scholar]
- Zhao, Y.; Zhang, G.Y.; Wang, Y.; Gu, Q.L. Series Arc Fault Detection Method Based on the Analysisof Load Voltage. Electr. Energy Manag. Technol. 2016, 15, 74–78. [Google Scholar]
- Kim, J.C.; Neacsu, D.O.; Lehman, B. Series AC arc fault detection using only voltage waveforms. In Proceedings of the Conference Proceedings—IEEE Applied Power Electronics Conference and Exposition—APEC, Anaheim, CA, USA, 17–21 March 2019; pp. 2385–2389. [Google Scholar]
- Siegel, J.E.; Pratt, S.; Sun, Y. Real-time deepneural networks for internet-enabled arc-faultdetection. Eng. Appl. Artif. 2018, 74, 35–42. [Google Scholar] [CrossRef] [Green Version]
- Caldron-Mendoza, E.; Schweitzer, P.; Weber, S. Kalman filter and a fuzzy logic processor for seriesarcing fault detection in a home electrical network. Int. J. Electr. Power Energy Syst. 2019, 107, 251–263. [Google Scholar] [CrossRef] [Green Version]
- Wang, Y.; Zhang, F.; Zhang, S. A new methodologyfor identifying arc fault by sparse representation andneural network. IEEE Trans. Instrum. Meas. 2018, 67, 2526–2537. [Google Scholar] [CrossRef]
- Lan, H.L.; Zhang, R.C.; Li, K.N. Arc sound identification method of fault arc based on wavelet frequency band energy. Comput. Meas. Control 2013, 21, 532–534. [Google Scholar]
- Wu, Z.Y.; Xiao, D.M. Design of New Arc Protection Device. Electr. Eng. 2014, 5, 5–11. [Google Scholar]
- Kim, C.; Sowah, R. Arcing Fault Detection with Experimental Veri cation using Antenna for Signal Capture of Radiated Electromagnetic Energy. In Proceedings of the 10th Aging Aircraft Conference, Palm Spring, CA, USA, 16–19 April 2009; pp. 1–8. [Google Scholar]
- Melaty, A.; Mohd, R.A.; Nur, A.M.A.; Azralmukmin, A.; Muhd, H.I.; Hana, A.H.; Muzamir, I.; Syahirah, A.H. Arcing fault diagnosis using first peak arrival of EM radiation signal. J. Phys. Conf. Ser. 2021, 1878, 012041. [Google Scholar]
- Chen, Z.; Li, K.; Zhang, Y.Z. Fault Arc Identification Based on Arc electromagnetic radiation. Adv. Technol. Electr. Eng. Energy 2017, 36, 70–74. [Google Scholar]
- Chen, Z. Research on Arc Fault Identification Method Based on Nonlinear Load; Hebei University: Tianjin, China, 2016. [Google Scholar]
- Damas, M.C.; Robiscoe, R.T. Detection of radio-frequency signals emitted by an arc discharge. J. Appl. Phys. 1988, 64, 566–574. [Google Scholar] [CrossRef]
- Andrea, J.; Schweitzer, P.; Tisserand, E. A new DC and AC arc fault electrical model. In Proceedings of the 56th IEEE Holm Conference on Electrical Contacts, Charleston, SC, USA, 4–7 October 2010; pp. 1–6. [Google Scholar]
- Liu, Y.L.; Guo, F.Y.; Li, L. Mathematical model of series arc fault. Trans. China Electrotech. Soc. 2019, 34, 2901–2912. [Google Scholar]
- Xiong, Q. Series arc fault detection and localization in DC distribution system. IEEE Trans. Instrum. Meas. 2020, 69, 122–134. [Google Scholar] [CrossRef]
- Safety for Arc-Fault Circuit-Interrupters; Underwriter Laboratories Inc.: Northbrook, IL, USA, 2008.
- Chen, D.J. Low Voltage Arc Fault Circuit Breaker—A New Low Voltage Protection Apparatus. Low Volt. Appar. 2007, 3, 7–9. [Google Scholar]
















| Magnitude of Current | Peer Group | Signal Amplitude (V) | Signal Characteristic Frequency (MHz) |
|---|---|---|---|
| 2.2 A | 1 | 1.08 | 13.96 |
| 2 | 3 | 13.97 | |
| 3 | 1.64 | 14.02 | |
| 4 | 1.88 | 14 | |
| 5 | 2.84 | 13.99 | |
| 4.4 A | 1 | 1.71 | 13.98 |
| 2 | 4.16 | 14.01 | |
| 3 | 3.52 | 14.04 | |
| 4 | 1.84 | 13.98 | |
| 5 | 2.64 | 14.01 | |
| 8.8 A | 1 | 2.56 | 13.97 |
| 2 | 1.28 | 14 | |
| 3 | 1.04 | 14.04 | |
| 4 | 1.28 | 13.97 | |
| 5 | 1.2 | 14.02 |
| Load Name | Power | Load Type |
|---|---|---|
| electric kettle | 1500 W | resistive linear load |
| electric drill | 800 W | inductive nonlinear load |
| electromagnetic oven | 1500 W | inductive nonlinear load |
| microwave oven | 700 W | inductive nonlinear load |
| Charger | 700 W | capacitive nonlinear load |
| Load | Peer Group | Signal Amplitude (V) | Signal Characteristic Frequency (MHz) |
|---|---|---|---|
| electric kettle | 1 | 7.16 | 14.06 |
| 2 | 7.16 | 14.07 | |
| 3 | 7.56 | 14.03 | |
| 4 | 7.88 | 14.04 | |
| 5 | 2.2 | 14.04 | |
| electric drill | 1 | 2.45 | 13.69 |
| 2 | 4.7 | 13.65 | |
| 3 | 4.3 | 13.72 | |
| 4 | 1.86 | 13.88 | |
| 5 | 3.1 | 13.76 | |
| electromagnetic oven | 1 | 3.1 | 13.94 |
| 2 | 4.82 | 13.99 | |
| 3 | 2.28 | 13.96 | |
| 4 | 1.28 | 13.97 | |
| 5 | 0.76 | 13.93 | |
| microwave oven | 1 | 2.12 | 14.01 |
| 2 | 2.56 | 13.95 | |
| 3 | 2.56 | 14 | |
| 4 | 2.56 | 13.98 | |
| 5 | 2.64 | 13.96 | |
| charger | 1 | 2.18 | 13.94 |
| 2 | 1.86 | 14 | |
| 3 | 3.1 | 14 | |
| 4 | 2.26 | 13.97 | |
| 5 | 1.82 | 14 |
| Arc Position | Peer Group | Signal Amplitude (V) | Signal Characteristic Frequency (MHz) |
|---|---|---|---|
| Load front end | 1 | 1.71 | 13.98 |
| 2 | 4.16 | 14.01 | |
| 3 | 3.52 | 14.04 | |
| 4 | 1.84 | 13.98 | |
| 5 | 2.64 | 14.01 | |
| Load front end | 1 | 3.84 | 14.13 |
| 2 | 3.84 | 14 | |
| 3 | 2.4 | 13.9 | |
| 4 | 1.44 | 13.97 | |
| 5 | 2.56 | 13.99 |
| Arc Moment | Peer Group | Signal Amplitude (V) | Signal Characteristic Frequency (MHz) |
|---|---|---|---|
| Power-on moment | 1 | 1.71 | 13.98 |
| 2 | 4.16 | 14.01 | |
| 3 | 3.52 | 14.04 | |
| 4 | 1.84 | 13.98 | |
| 5 | 2.64 | 14.01 | |
| power-off moment | 1 | 1.62 | 14.02 |
| 2 | 0.66 | 13.97 | |
| 3 | 0.7 | 13.99 | |
| 4 | 0.66 | 13.97 | |
| 5 | 1 | 13.99 |
Publisher’s Note: MDPI stays neutral with regard to jurisdictional claims in published maps and institutional affiliations. |
© 2022 by the authors. Licensee MDPI, Basel, Switzerland. This article is an open access article distributed under the terms and conditions of the Creative Commons Attribution (CC BY) license (https://creativecommons.org/licenses/by/4.0/).
Share and Cite
Ke, Y.; Zhang, W.; Suo, C.; Wang, Y.; Ren, Y. Research on Low-Voltage AC Series Arc-Fault Detection Method Based on Electromagnetic Radiation Characteristics. Energies 2022, 15, 1829. https://doi.org/10.3390/en15051829
Ke Y, Zhang W, Suo C, Wang Y, Ren Y. Research on Low-Voltage AC Series Arc-Fault Detection Method Based on Electromagnetic Radiation Characteristics. Energies. 2022; 15(5):1829. https://doi.org/10.3390/en15051829
Chicago/Turabian StyleKe, Yi, Wenbin Zhang, Chunguang Suo, Yanyun Wang, and Yanan Ren. 2022. "Research on Low-Voltage AC Series Arc-Fault Detection Method Based on Electromagnetic Radiation Characteristics" Energies 15, no. 5: 1829. https://doi.org/10.3390/en15051829
APA StyleKe, Y., Zhang, W., Suo, C., Wang, Y., & Ren, Y. (2022). Research on Low-Voltage AC Series Arc-Fault Detection Method Based on Electromagnetic Radiation Characteristics. Energies, 15(5), 1829. https://doi.org/10.3390/en15051829
