The Effect of J-Groove on Vortex Suppression and Energy Dissipation in a Draft Tube of Francis Turbine
Abstract
:1. Introduction
2. Numerical Calculation Method
2.1. Governing Equation
2.2. Boundary Conditions
2.3. Entropy Production Theory
3. Numerical Calculation Method
3.1. Prototype Model and Mesh Generation
3.2. Application of J-Grooves in Draft Tube of Francis Turbine
3.3. Experimental Operating Point
4. Results and Discussions
4.1. Influence of J-Grooves on Energy Dissipation Based on Entropy Production Theory
4.2. Influence of J-Grooves on Velocity Distribution
4.3. Influence of J-Grooves on Swirl Intensity
4.4. Influence of J-Grooves on the Pressure Fluctuation
4.5. Influence of J-Grooves on Vortex Distribution
5. Conclusions
- At DPL or PL condition, the entropy production on the wall of the conical section with J-grooves is obviously smaller than that without J-grooves for the peripheral velocity component at the outlet of the runner is suppressed, the energy losses near the J-groove are reduced.
- The J-grooves has an axial guiding effect, reducing the circumferential velocity of the water flow into the conical section, so the stronger the swirl intensity enters the draft tube, the higher the effect of J-grooves on vortex suppression because the circumferential velocity of the water flow is reduced after the water flows through the J-grooves.
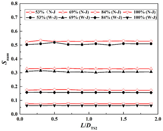
- The circumferential velocity component Vu and the angular momentum were reduced effectively after installing J-grooves. As a result, the swirl intensity Snum and the peak of the pressure pulsation spectrum were significantly weakened.
- The J-grooves slow down the development trend of the expansion items ω(·V) in vorticity, and the development of the vortex band is restrained. As a result, the area of the vortex rope was significantly smaller than that without J-grooves at part-load conditions.
Author Contributions
Funding
Institutional Review Board Statement
Informed Consent Statement
Data Availability Statement
Conflicts of Interest
Nomenclature
| BEP | Best efficiency point |
| NV | No-vortex condition |
| PL | Partial load condition |
| DPL | Deep partial load condition |
| N-J. | No J-groove |
| W-J. | With J-groove |
| k | Turbulent kinetic energy (m2/s2) |
| ε | Dissipation rate (m2/s3) |
| y+ | Non-dimensional wall distance |
| η | Overall turbine efficiency (%) |
| r | The position from the origin in the x-direction (m) |
| R | The radius of reference radius (m) |
| Snum | Swirl number |
| t | Time (s) |
| L | Length of J-groove (mm) |
| W | Width of J-groove (mm) |
| D1 | Nominal diameter of the runner (m) |
| n11. | Rated unit speed (r/min) |
| Q11. | Rated unit flow (m3/s) |
| Q* | Corresponding flow ratios |
| Cr | Reduction coefficient |
| Vz | Axial speeds (m/s) |
| Vu | Circumferential speed (m/s) |
| Local entropy generation rate (W·m−3·K−1) | |
| Direct entropy production rate (W·m−3·K−1) | |
| Turbulent entropy production rate (W·m−3·K−1) |
References
- Feng, J.J.; Li, W.F.; Wu, H.; Lu, J.L.; Liao, W.L.; Luo, X.Q. Investigation on pressure fluctuation in a Francis turbine with improvement measures. J. IOP Conf. Ser. Earth Environ. Sci. 2014, 22, 032006. [Google Scholar] [CrossRef] [Green Version]
- Yu, A.; Luo, X.W.; Ji, B. Numerical simulation and analysis of the internal flow in a Francis turbine with air admission. J. IOP Conf. Ser. Mater. Sci. Eng. 2015, 72, 042047. [Google Scholar] [CrossRef] [Green Version]
- Alexis, M.; Cai, W.H.; Su, W.T.; Liu, Q.Z.; Binama, M.; Li, B.; Wu, J. A review on remedial attempts to counteract the power generation compromise from draft tubes of hydropower plants. Renew. Energy 2020, 150, 743–764. [Google Scholar]
- Bosioc, A.I.; Susan-Resiga, R.; Muntean, S.; Tanasa, C. Unsteady pressure analysis of a swirling flow with vortex rope and axial water injection in a discharge cone. J. Fluids Eng. 2012, 134, 669–679. [Google Scholar] [CrossRef]
- Susan-Resiga, R.; Muntean, S.; Hasmatuchi, V.; Anton, I.; Avellan, F. Avellan, analysis and prevention of vortex breakdown in the simplified discharge cone of a Francis Turbine. J. Fluids Eng. 2010, 132, 51102. [Google Scholar] [CrossRef]
- Iliescu, M.S.; Ciocan, G.D.; Avellan, F. Analysis of the cavitating draft tube vortex in a Francis turbine using particle image velocimetry measurements in two-phase flow. J. Fluids Eng. 2008, 130, 021105. [Google Scholar] [CrossRef]
- Goyal, R.; Cervantes, M.J.; Gandhi, B.K. Vortex rope formation in a high head model Francis turbine. J. Fluids Eng. 2017, 139, 041102. [Google Scholar] [CrossRef]
- Cheng, H.; Zhou, L.; Liang, Q.; Guan, Z.; Liu, D.; Wang, Z.; Kang, W. A method of evaluating the vortex rope strength in draft tube of Francis turbine. Renew. Energy. 2020, 152, 770–780. [Google Scholar] [CrossRef]
- Li, D.Y.; Yu, L.; Yan, X.Y.; Wang, H.J.; Shi, Q.; Wei, X.Z. Runner cone optimization to reduce vortex rope-induced pressure fluctuations in a Francis turbine. Sci. China Technol. Sci. 2021, 64, 1953–1970. [Google Scholar] [CrossRef]
- Jafarzadeh, J.H.; Maddahian, R.; Cervantes, M.J. Optimization of axial water injection to mitigate the Rotating Vortex Rope in a Francis turbine. Renew. Energy 2021, 175, 214–231. [Google Scholar] [CrossRef]
- Favrel, A.; Gomes Pereira Junior, J.; Müller, A.; Landry, C.; Yamamoto, K.; Avellan, F. Swirl number based transposition of flow-induced mechanical stresses from reduced scale to full-size Francis turbine runners. J. Fluids Struct. 2020, 94, 102956. [Google Scholar] [CrossRef]
- Kurokawa, J.; Imamura, H.; Choi, Y.D. Effect of J-Groove on the suppression of swirl Flow in a conical diffuser. J. Fluids Eng. 2010, 132, 071101. [Google Scholar] [CrossRef]
- Saha, S.L.; Kurokawa, J.; Matsui, J.; Imamura, H. Passive control of rotating stall in a parallel-wall vaned diffuser by J-grooves. J. Fluids Eng. 2001, 123, 507–515. [Google Scholar] [CrossRef]
- Saha, S.L.; Kurokawa, J.; Matsui, J.; Imamura, H. Suppression of performance curve instability of a mixed flow pump by use of J-groove. J. Fluids Eng. 2000, 122, 592–597. [Google Scholar] [CrossRef]
- Viet, L.V.; Chen, Z.M.; Choi. Y.D. Optimum design of J-groove for a bulb turbine model to suppress swirl flow in the draft tube. IOP Conf. Ser. Earth Environ. Sci. 2019, 240, 022030. [Google Scholar]
- Wang, F. Mechanism and Optimization of the Unsteady Flow inside an Axial Flow Pump as Turbine Based on Entropy Production Theory. Ph.D. Thesis, Wuhan University, Wuhan, China, 2017. [Google Scholar]
- Feng, J.J.; Zhang, Y.; Zhu, G.J. Transition process characteristics of centrifugal pump with power-off based on entropy production theory. Trans. Chin. Soc. Agric. Eng. 2020, 36, 10–17. [Google Scholar]
- Yu, A.; Tang, Q.H.; Chen, H.X.; Zhou, D.Q. Investigations of the thermodynamic entropy evaluation in a hydraulic turbine under various operating conditions. Renew. Energy 2021, 180, 1026–1104. [Google Scholar] [CrossRef]
- Xu, Z.; Zheng, Y.; Kan, K.; Huang, J.C. Runaway characteristics of bidirectional horizontal axial flow pump with super low head based on entropy production theory. Trans. CSAE 2021, 37, 49–57. [Google Scholar]
- Favrel, A.; Müller, A.; Landry, C. Study of the vortex-induced pressure excitation source in a Francis turbine draft tube by particle image velocimetry. Exp. Fluids 2015, 56, 1–15. [Google Scholar] [CrossRef]
- Zhang, N. Research on the Evolution Mechanism of Cavitation Vortex in Draft Tube of Francis Turbine. Ph.D. thesis, Harbin Institute of Technology, Harbin, China, 2020. [Google Scholar]
- Kc, A.; Lee, Y.H.; Thapa, B. CFD study on prediction of vortex shedding in draft tube of Francis turbine and vortex control techniques. Renew. Energy 2016, 86, 1406–1421. [Google Scholar] [CrossRef]
- Zuo, Z.G.; Liu, S.H.; Liu, D.N.; Qin, D.Q.; Wu, Y.L. Numerical analyses of pressure fluctuations induced by inter blade vortices in a model Francis turbine. J. Hydrodyn. 2015, 27, 513–521. [Google Scholar] [CrossRef]
- Demirel, G.; Acar, E.; Celebioglu, K.; Aradag, S. CFD-driven surrogate-based multi-objective shape optimization of an elbow type draft tube. Int. J. Hydrog. Energy 2017, 42, 17601–17610. [Google Scholar] [CrossRef]
- Hou, H.C.; Zhang, Y.X.; Li, Z.L.; Jiang, T.; Zhang, J.; Xu, C. Numerical analysis of entropy production on a LNG cryogenic submerged pump. J. Nat. Gas Sci. Eng. 2016, 36, 87–96. [Google Scholar] [CrossRef]
- Wang, C.; Zhang, Y.; Hou, H.; Zhang, J.; Xu, C. Entropy production diagnostic analysis of energy consumption for cavitation flow in a two-stage LNG cryogenic submerged pump. Int. J. Heat Mass Transf. 2019, 129, 342–356. [Google Scholar] [CrossRef]
- Gogstad, P.J.; Dahlhaug, O.G. Evaluation of runner cone extension to dampen pressure pulsations in a Francis model turbine. IOP Conf. 2016, 49, 082019. [Google Scholar] [CrossRef]
- Tridon, S.; Barre, S.; Ciocan, G.D.; Tomas, L. Experimental analysis of the swirling flow in a Francis turbine draft tube: Focus on radial velocity component determination. Eur. J. Mech. 2010, 29, 321–335. [Google Scholar] [CrossRef]
- Unterluggauer, J.; Sulzgruber, V.; Doujak, E.; Bauer, C. Experimental and numerical study of a prototype Francis turbine startup. Renew. Energy 2020, 157, 1212–1221. [Google Scholar] [CrossRef]
- Müller, A.; Favrel, A.; Landry, C.; Avellan, F. Fluid–structure interaction mechanisms leading to dangerous power swings in Francis turbines at full load. J. Fluids Struct. 2017, 65, 56–71. [Google Scholar]
- Changkun, C.; Christophe, N.; Yonezawa, K.; Farhat, M.; Avellan, F.; Tsujimoto, Y. One-dimensional analysis of full load draft tube surge. J. Fluids Eng. 2008, 2, 260–268. [Google Scholar]
- Boi, I. A novel energy losses dependence on integral swirl flow parameters in an elbow draft tube of a Kaplan Turbine. Renew. Energy 2021, 175, 550–558. [Google Scholar]
- Sotoudeh, N.; Maddahian, R.; Cervantes, M.J. Investigation of rotating vortex rope formation during load variation in a Francis turbine draft tube. Renew. Energy 2020, 151, 238–254. [Google Scholar] [CrossRef]
- Liu, X.; Luo, Y.; Karney, B.W.; Wang, W. A selected literature review of efficiency improvements in hydraulic turbines. Renew. Sustain. Energy Rev. 2015, 51, 18–28. [Google Scholar] [CrossRef]
- Sarraf, C.; Nouri, H.; Ravelet, F.; Bakir, F. Experimental study of blade thickness effects on the global and local performances of a Controlled Vortex Designed axial-flow fan. Exp. Therm. Fluid Sci. 2011, 35, 684–693. [Google Scholar] [CrossRef] [Green Version]
- Trivedi, C. A systematic validation of a Francis turbine under design and off-design loads. J. Verif. Valid. Uncertain. Quantif. 2019, 4, 16. [Google Scholar] [CrossRef]
- Favrel, A.; Junior, J.G.P.; Landry, C.; Müller, A.; Nicolet, C.; Avellan, F. New insight in Francis turbine cavitation vortex rope: Role of the runner outlet flow swirl number. J. Hydraul. Res. 2018, 56, 367–379. [Google Scholar] [CrossRef]
- Foroutan, H. Simulation, Analysis, and Mitigation of Vortex Rope Formation in the Draft Tube of Hydraulic Turbines. Ph.D. Thesis, The Pennsylvania State University, State College, PA, USA, 2015. [Google Scholar]
- Foroutan, H.; Yavuzkurt, S. Flow in the simplified draft tube of a Francis turbine operating at partial load. Part II: Control of the Vortex Rope. J. Appl. Mech. 2014, 81, 061010. [Google Scholar] [CrossRef]

















| Parameter | Symbol | Value |
|---|---|---|
| Nominal diameter of runner | D1 | 0.43 m |
| Rated unit speed Rated unit flow | n11 Q11 | 81.587 r/min 1.064 m3/s |
| Number of runner blades | Zr | 13 |
| Stay vanes number | ZT | 16 |
| Guide vanes number | Zs | 8 |
| Entrance diameter of spiral casing | D0 | 0.547 m |
Publisher’s Note: MDPI stays neutral with regard to jurisdictional claims in published maps and institutional affiliations. |
© 2022 by the authors. Licensee MDPI, Basel, Switzerland. This article is an open access article distributed under the terms and conditions of the Creative Commons Attribution (CC BY) license (https://creativecommons.org/licenses/by/4.0/).
Share and Cite
Luo, Z.; Nie, C.; Lv, S.; Guo, T.; Gao, S. The Effect of J-Groove on Vortex Suppression and Energy Dissipation in a Draft Tube of Francis Turbine. Energies 2022, 15, 1707. https://doi.org/10.3390/en15051707
Luo Z, Nie C, Lv S, Guo T, Gao S. The Effect of J-Groove on Vortex Suppression and Energy Dissipation in a Draft Tube of Francis Turbine. Energies. 2022; 15(5):1707. https://doi.org/10.3390/en15051707
Chicago/Turabian StyleLuo, Zhumei, Cong Nie, Shunli Lv, Tao Guo, and Suoming Gao. 2022. "The Effect of J-Groove on Vortex Suppression and Energy Dissipation in a Draft Tube of Francis Turbine" Energies 15, no. 5: 1707. https://doi.org/10.3390/en15051707
APA StyleLuo, Z., Nie, C., Lv, S., Guo, T., & Gao, S. (2022). The Effect of J-Groove on Vortex Suppression and Energy Dissipation in a Draft Tube of Francis Turbine. Energies, 15(5), 1707. https://doi.org/10.3390/en15051707

