Next Article in Journal
Comparative Fuel Yield from Anaerobic Digestion of Emerging Waste in Food and Brewery Systems
Previous Article in Journal
Preliminary Evaluation of the Impact of Sustained Overvoltage on Low Voltage Electronics-Based Equipment
 
 
Font Type:
Arial Georgia Verdana
Font Size:
Aa Aa Aa
Line Spacing:
Column Width:
Background:
Article

A Robust Algorithm for State-of-Charge Estimation under Model Uncertainty and Voltage Sensor Bias

School of Electrical Engineering, Guangxi University, Nanning 530004, China
*
Author to whom correspondence should be addressed.
Energies 2022, 15(4), 1537; https://doi.org/10.3390/en15041537
Submission received: 29 November 2021 / Revised: 10 February 2022 / Accepted: 16 February 2022 / Published: 19 February 2022
(This article belongs to the Topic Energy Storage and Conversion Systems)

Abstract

:
Accurate estimation of the state of charge (SOC) of zinc–nickel single-flow batteries (ZNBs) is an important problem in battery management systems (BMSs). A nonideal electromagnetic environment will usually cause the measured signal to contain nonnegligible noise and bias. At the same time, due to the influence of battery ageing, environmental temperature changes, and a complex reaction mechanism, it is difficult to establish a very accurate system model that can be applied to various complex working conditions. The unscented Kalman filter (UKF) is a widely used SOC estimation algorithm, but the UKF will reduce the estimation accuracy and divergence under the influence of inaccurate model and sensor errors. To improve the performance of the UKF, a robust desensitized unscented Kalman filter (RDUKF) is proposed to realize an accurate SOC estimation of batteries in the context of different disturbances. Then, the proposed method is applied to cases of error interference, such as Gaussian noise, voltage sensor drift, an unknown initial state, and inaccurate model parameters. The simulation and experimental results show that compared with the standard UKF algorithm, the proposed estimation algorithm can effectively suppress the influence of various errors and disturbances and achieve higher accuracy and robustness.

1. Introduction

Renewable energy has been considered an alternative to coal-fired energy because its use can result in reduced pollution and greenhouse gas emissions. However, the fluctuation caused by the wide application of intermittent renewable energy, such as wind energy and solar energy, will increase the burden of the power grid. Integrating rechargeable batteries into the power grid as an energy storage system can effectively improve power quality and system reliability [1]. Redox flow batteries (RFBs) have become one of the most promising grid-connected energy storage technologies on the market because of their long life cycle, good scalability, high efficiency, and low spatial requirements [2,3]. The main difference between a typical RFB and other types of batteries is that the active materials of its positive and negative electrodes are stored in an external electrolyte storage tank in the form of electrolytes and circulated into the battery stack chamber by two independent auxiliary pumps. The RFB separates the two electrolytes through the ion exchange membrane to prevent the mixing of redox substances and to maintain the electrical neutrality of the energy storage system [4,5]. Since the concept of RFBs was put forward, different kinds of RFBs have rapidly been developed, but the high cost of ion exchange membranes and the interference of electrolyte cross pollution are still the main bottlenecks hindering the development of RFBs. A novel RFB structure was proposed in [6]. This battery dissolves zincate in high-concentration potassium hydroxide as the electrolyte. As only one electrolyte is used, there is no need for an expensive ion exchange membrane in the system design, and cross pollution of the electrolyte is avoided. At the same time, this RFB has a high open-loop voltage and energy density, is nontoxic, has a simple structure, and is low-cost [7,8,9]. This makes its commercialization easier.
Zinc–nickel single-flow batteries (ZNBs) have been developed rapidly since they were first proposed. However, there are still some important problems to be solved in their practical engineering. State of charge (SOC), an important state monitored in battery management systems (BMSs), is very important to consider in attempting to avoid overcharging and/or overdischarging. At present, SOC estimation has three main research directions: the Coulomb counting method, the machine learning method, and the state observer method [10]. The Coulomb counting method is an open-loop method that is simple to implement and has a low calculation cost. However, its accuracy is greatly affected by the sensor accuracy and initial errors; thus, it is necessary to periodically use the charge–discharge cut-off voltage or open-circuit voltage to correct the estimated value [11,12,13]. Machine learning methods do not need to understand the internal electrochemical or external circuit characteristics of a battery. They estimate the SOC by fitting the nonlinear relationship between relevant factors such as the current, voltage, temperature, and SOC. The support vector machine (SVM) [14], neural network (NN) [15], fuzzy logic (FL) [16], and long short-term memory (LSTM) network [17] have been implemented for SOC estimation. If the appropriate training dataset is given, the machine learning method can estimate the SOC of a battery more accurately. When the training data and test data correspond to different working conditions, the robustness of the state estimation algorithm will worsen, and machine learning will require a longer training time and higher computing cost, which restricts the wide application of machine learning in actual SOC estimation. The observer method usually assumes that the battery is a dynamic system. The battery model is established to describe the change in battery state, and various filter algorithms are introduced to estimate the state variables. Among the different types of observers, the Kalman filter is the most widely used. The extended Kalman filter (EKF) was first used to solve the problem of battery state estimation. However, as the battery state space model is usually a nonlinear model and the EKF uses first-order Taylor series expansion to linearize a nonlinear model, there are large errors in estimating battery SOC using the EKF; in contrast, using the unscented Kalman filter (UKF) to estimate battery SOC results in higher robustness and accuracy [18,19].
The Kalman filter algorithm is based on a basic premise: that the established model is accurate enough to accurately track the change in battery terminal voltage under dynamic current conditions. This assumption is usually difficult to fully satisfy because the actual parameters of the model will change in accordance with the change in ambient temperature and battery life, and it is very difficult to establish a model considering all influencing factors. In [20], the error sources of SOC estimation are systematically analyzed from the perspectives of the measurement signal, model error, and state estimation algorithm. In [21], the model-based SOC estimation algorithm was shown to be more affected by voltage measurement errors and model errors than by current measurement errors and initial errors. To improve the accuracy of SOC estimation under different error sources, many different improved algorithms have been proposed.
In [22], the bias term of the model error was taken as a new state vector, which was jointly estimated with the SOC through an estimation algorithm to solve the problems of open-circuit voltage drift and voltage sensor drift [23]; a proportional integral (PI) state observer and a current integrator were used to estimate the SOC of the battery; and a drift current corrector was used to suppress the influence of the drift current. For the situation in which the battery model parameters are uncertain due to battery ageing and there is instrument measurement noise, [24] proposed a smooth variable structure filter (SVSF) to estimate the SOC and health state of lithium batteries. Compared with the EKF, the SVSF can produce more accurate SOC estimation results. In [25], the extended Kalman smoothing variable structure filter was proposed, which is a new algorithm combining the EKF and SVSF technologies. The experimental results showed that it has strong robustness with respect to inaccurate models and can improve the accuracy of SOC estimation. In [26], an observer with multiple feedback gains was designed to estimate the SOC. In the case of inaccurate modeling and current sensor drift, the SOC of the battery can be estimated robustly, and the amount of calculation is low. In [27], an algorithm combining the strong tracking UKF and adaptive UKF was proposed, and the uncertainty of the model was identified through statistical information, which can effectively suppress the state estimation error caused by sensor drift. In [28], the observability of the second-order RC nonlinear model was analyzed, and it was proposed that accurate voltage measurement is more important for SOC estimation than current measurement accuracy, which is consistent with the conclusion of [21]. At the same time, Zhao et al. [28] proposed using the extended model to address the reduction in the accuracy of SOC estimation when errors occur in sensors and pointed out that when errors occur in voltage and current sensors, the method used may not accurately estimate the SOC and bias at the same time. In [29,30], the state estimation problem was studied when noise and bias occur in voltage sensors or current sensors. The DEKF was used to estimate the battery SOC, and the results showed that the proposed estimation method has good convergence and robustness. The two-layer state estimator proposed in [31] estimated the SOC of a battery, limiting the state estimation error to ±4% when the model is inaccurate and current deviation exists.
In summary, although voltage offset and model error are the main factors affecting the reduction in SOC estimation accuracy, few studies have considered the SOC estimation problem when voltage offset or model error exists. Moreover, the BMS is affected by external electromagnetic interference in harsh operating environments. The signals received from voltage and current sensors are usually polluted by random noise, which reduces the SOC estimation accuracy. To solve the above problems, a robust UKF algorithm is proposed to improve the robustness of the SOC estimation of ZNBs under Gaussian noise, inaccurate modeling, or voltage sensor drift. The proposed method has the following advantages: (1) it can suppress the influence of Gaussian measurement noise in a sensor, (2) it has good robustness to model parameter uncertainty, and (3) it improves the accuracy of battery SOC estimation in the presence of voltage sensor drift.
The structure of the paper is as follows: In Section 2, the equivalent circuit model of a ZNB is introduced. In Section 3, the application of the proposed robust UKF algorithm in battery SOC estimation is introduced. In Section 4, the estimation results of a robust UKF in the presence of model parameter disturbance or voltage bias are verified and compared with those of a UKF. Section 5 offers the main conclusions of the paper.

2. Equivalent Circuit Model

The SOC of ZNBs can be defined as the ratio of residual capacity to maximum capacity, which can be expressed by (1). S O C t and S O C 0 are the initial S O C at time t and at the beginning of estimation, respectively, Q n is the maximum capacity of the battery, and i ( τ ) is the load current. It is assumed that the current is positive when the battery is discharged.
S O C t = S O C 0 1 Q n 0 t i ( τ ) d τ
At present, the commonly used battery models mainly include neural network models, electrochemical models, and equivalent circuit models (ECMs). Among the electrochemical models, the one-dimensional (1D) model [32] and pseudo-two-dimensional (P2D) model [33,34] are widely used. As the electrochemical model is the first-principles model and has clear physical significance, it can not only describe the relationship between current and voltage at the macroscale but also analyze the concentration, current and potential distribution of reaction products in the electrode and electrolyte at the microscale. However, the complex coupled nonlinear partial differential equations and the model parameters that are difficult to measure directly cause the electrochemical model to have high requirements regarding the amount of calculation. The neural network model is the opposite of the electrochemical model. This model does not consider the mechanism of a battery and uses only the data-driven method to approximate the dynamic characteristics of the battery. Compared with other models, it requires more data to train the network model. ECM uses circuit elements such as resistance, capacitance, and voltage source to build a circuit network to simulate the dynamic response of voltage under different working conditions. The commonly used equivalent circuit models include the Thevenin model and second-order RC equivalent circuit model, which adds a group of RC networks. Therefore, the polarization and diffusion characteristics inside the battery can be better simulated.
A typical second-order-equivalent circuit model is shown in Figure 1. R1 and R2 represent the polarization resistance, and C1 and C2 represent the polarization capacitance. The equivalent circuit model uses parallel RC branches to characterize the electrochemical polarization and concentration polarization of ZNBs during charge and discharge. VOCV represents the open-circuit voltage of the battery, which is the difference in the equilibrium electrode potential between the positive and negative electrodes when the battery is in a reversible equilibrium state during the open-circuit period. R0 is the ohmic resistance, which is used to characterize the energy loss caused by the resistance between the battery electrode and electrolyte. The terminal voltage and current of the battery are expressed as Vt and I, respectively, and the current during discharge is defined as a positive number. According to Kirchhoff’s law and (1), the discrete state space equation of a dynamic battery can be easily deduced, as shown in (2) and (3). It is worth noting that for a ZNB, because the open-circuit voltage, polarization capacitance, and polarization resistance are functions related to the SOC, the state equation and output equation of this state space equation are nonlinear equations.
[ S O C ( k ) U 1 ( k ) U 2 ( k ) ] = [ 1 0 0 0 exp ( Δ t / R 1 / C 1 ) 0 0 0 exp ( Δ t / R 2 / C 2 ) ] [ S O C ( k 1 ) U 1 ( k 1 ) U 2 ( k 1 ) ] + [ η Δ t Q n [ 1 exp ( Δ t / τ 1 ) ] R 1 [ 1 exp ( Δ t / τ 2 ) ] R 2 ] I ( k 1 )  
V t ( k ) = V O C V ( S O C ( k ) ) U 1 ( k ) U 2 ( k ) R 0 I ( k )
To simplify the model, the parameters are assumed to be related only to the SOC, but in fact, the model parameters are also affected by the ambient temperature, current, and battery ageing state. Ignoring these factors in modeling reduces the accuracy of the model in a complex working state and affects the accuracy of the algorithm when used to estimate the SOC.

3. Robust Unscented Kalman Filter

For nonlinear systems such as ZNBs, the corresponding discrete state space representation is as follows:
x k = f ( x k 1 , u k 1 ) + w k 1
y k = h ( x k , u k ) + v k
where x k = [ S O C   U 1   U 2 ] T is the state at time k, and u k and y k are the input current and output voltage at time k, respectively.   f ( x k 1 , u k 1 ) is the state transfer function, h ( x k , u k ) is the measurement function, and w k 1 and v k are the process noise and the measurement noise, which are usually assumed to be zero-mean white noise with covariance matrices Q and R, respectively.
Unlike the EKF, which uses only Taylor series expansion to approximate the nonlinear state space model [35], the UKF uses a traceless transformation (UT) to determine the sampling points near the estimation points and uses these sample points to approximately represent the random distribution of the nonlinear function [36]; thus, the UKF algorithm does not need to calculate the Jacobian matrix of the system model (compared with the EKF). At the same time, there is no need for random sampling (compared with the particle filter (PF) algorithm); therefore, the UKF can be regarded as a compromise between the EKF and PF. The SOC estimation process of a ZNB based on the UKF can be summarized as follows:
(1)
Initialize the value of the state variable and the covariance:
{ x ¯ 0 = E ( x 0 ) P 0 = E [ ( x 0 x ¯ 0 ) ( x 0 x ¯ 0 ) T ]
where E (·) is the expected mean value.
(2)
Generate 2n + 1 sigma vectors and corresponding weights at the k − 1 step, where n is the dimension of the state variable:
{ χ ^ 0 , k 1 = x ^ k 1 χ ^ i , k 1 = x ^ k 1 + ( ( n + λ ) P k 1 ) i i = 1 , 2 , , n χ ^ i , k 1 = x ^ k 1 ( ( n + λ ) P k 1 ) i i = n + 1 , , 2 n              
{ ω 0 m = λ ( n + λ ) ω 0 c = λ ( n + λ ) + ( 1 + β α 2 ) ω j m = ω j c = 1 2 ( n + λ ) , j = 1 , 2 , , 2 n
Here, λ is a scaling parameter, which can be expressed as λ = α 2 ( n + h ) n , and α determines the spread of the sigma points around x ^ k 1 and is usually set to a small positive value. ω m and ωc are covariance weights, and β is a parameter that is used to incorporate prior knowledge of the distribution of the state variable. For Gaussian distributions, one can assume β = 2.
(3)
State prediction
Update the sample point and calculate the propagated mean:
χ ¯ j , k = f ( χ ^ j , k 1 , u k 1 ) , j = 0 , 1 , , 2 n
x ¯ k = j = 0 2 n ω j ( m ) χ ¯ j , k
Update the priori error covariance of state:
P ¯ k = j = 0 2 n ω j ( c ) [ χ ¯ j , k x x ¯ k ] [ χ ¯ j , k x x ¯ k ] T + Q k
where Q k is the covariance of system process noise.
(4)
Measurement update
Predict the measurement from the propagated sigma points and estimate the mean of the predicted measurement.
Y j , k = h ( χ ¯ j , k , u k ) , j = 0 , , 2 L  
y ¯ k = j = 0 2 n ω j ( m ) Y j , k
Calculate the covariance of the measured variables and associated covariance matrices, where R k is the covariance of measurement noise.
P ¯ y y , k = j = 0 2 n ω j ( c ) [ Y j , k y ¯ k ] [ Y j , k y ¯ k ] T + R k
P ¯ x y , k = j = 0 2 n ω j ( c ) [ χ ¯ j , k x ¯ k ] [ Y j , k y ¯ k ] T  
Calculate the posterior estimate and the covariance:
x ^ k = x ¯ k + K k ( y k y ¯ k )
P ^ k = P ¯ k P ¯ x y , k K k T K k P ¯ x y , k T + K k P ¯ y y , k K k T
where K k is the Kalman gain, which can be expressed as K k = P _ x y , k P _ y y , k 1 .
The standard UKF has been successfully applied to battery SOC estimation [37,38]. It is easy to prove that the UKF is an unbiased state estimator when all system model parameters and noise statistics are accurately known. However, when the parameters of the system model are uncertain, the theoretical behavior and actual behavior of the filter will be inconsistent. Compared with the actual state value, the state estimation value will have a large deviation and even a serious divergence problem. Therefore, the RDUKF is then applied to the SOC estimation of ZNBs [39] to obtain a more robust SOC state estimation scheme.
Before using the RDUKF to estimate the battery SOC, the state equation and observation equation need to be changed to the following form:
x k = f ( x k 1 , u k 1 , α ) + w k 1
y k = h ( x k , u k , α ) + v k
where α is the uncertainty parameter in the established model.
The influence of model disturbance parameters on the accuracy of state estimation is measured by the sensitivity matrix of the state estimation error relative to the disturbance parameters. Therefore, (20) is used to evaluate the influence of uncertain parameters on a priori estimation and a posteriori estimation in the UKF algorithm, and α i is the I component of uncertain parameters.
σ ¯ i k = x ¯ k α i , σ ^ i k = x ^ k α i
The sensitivity matrix can be generated by calculating the partial derivatives of the parameters in (10) and (16), where l is the number of uncertain parameters.
σ ¯ i k = j = 0 2 L ω j ( m ) χ ¯ j , k α i , i = 1 , ,
σ i k = σ ¯ i k K k y ¯ k α i , i = 1 , ,
Corresponding to the UKF algorithm, the calculation of the sensitivity of the RDUKF can be divided into four steps:
(1)
Calculate the sensitivities of the sigma points for each uncertain parameter.
{ χ ^ 0 , k 1 α i = σ ^ i k 1 T χ ^ j , k 1 α i = σ ^ i k 1 T + ( n + λ ) ( P ^ k 1 α i ) j , j = 1 , 2 , , n χ ^ j , k 1 α i = σ ^ i k 1 T + ( n + λ ) ( P ^ k 1 α i ) j , j = 1 , 2 , , n      
(2)
State prediction
Calculate the sensitivities of the sigma points with the state equation and evaluate the sensitivity of the a priori state estimation and a priori covariance matrix.
χ ¯ j , k α i = f ( χ ^ j , k 1 , u k 1 , α ) α i + f ( χ ^ j , k 1 , u k 1 , α ) χ ^ j , k 1 χ ^ j , k 1 α i ,   j = 0 , , 2 L
σ ¯ i k = x ¯ k α i = j = 0 2 L ω j ( m ) χ ¯ j , k α i
P ¯ k α i = j = 0 2 L ω j ( c ) { [ χ ¯ j , k α i σ ¯ i k ] [ χ ¯ j , k x ¯ k ] T + [ χ ¯ j , k x ¯ k ] [ χ ¯ j , k α i σ ¯ i k ] T }   , i = 1 , ,              
(3)
Measurement update
Calculate the sensitivity of the sigma points with the observation equation and the sensitivity of the predicted measurement.
Y j , k α i = h ( χ ¯ j , k , u k , α ) α i + h ( χ ¯ j , k , u k , α , ) χ ¯ j , k χ ¯ j , k α i , j = 0 , , 2 L
y ¯ k α i = j = 0 2 L ω j ( m ) Y j , k α i
Calculate the sensitivity of the innovation covariance matrix and the cross-covariance matrix.
P ¯ y y , k α i = j = 0 2 L ω j ( c ) { [ Y j , k α i y ¯ k α i ] [ Y j , k y ¯ k ] T                     + [ Y j , k y ¯ k ] [ Y j , k α i y ¯ k α i ] T } , = 1 , ,
P ¯ x y , k α i = j = 0 2 L ω j ( c ) { [ χ ¯ j , k α i σ ¯ i k ] [ Y j , k y ¯ k ] T + [ χ ¯ j , k x ¯ k ] [ Y j , k α i y ¯ k α i ] T } , i = 1 , ,          
Calculate the Kalman gain and sensitivity of posterior covariance of the posterior state estimation.
K k P ` y y , k + i = 1 W i k K k γ i k γ i k T = P ` x y , k + i = 1 W i k σ ¯ i k γ i k T
Here, γ i k = y ¯ k / α i :
P ^ k α i = P ¯ k α i P ¯ x y , k α i K k T K k P ¯ x y , k T α i + K k P ¯ y y , k α i K k T , i = 1 , ,
σ ^ i k = σ ¯ i k K k y ¯ k α i , i = 1 , ,
Similar to the standard UKF, the trace minimizing the error covariance is used to define the cost function, and the RDUKF uses the trace of the sensitivity matrix product of all disturbance parameters to measure the impact of disturbance parameters on the accuracy of state estimation. Therefore, a new cost function (34) is constructed. The Kalman gain can be set as J k / K k = 0 with (17) and (33) and is obtained by algebraically solving linear equations.
J k = min K k tr ( P ^ k ) + i = 1 σ ^ i k T W i k σ ^ i k
The sensitivity of the root square matrix P ^ k needs to be calculated when the sensitivities of the sigma points are calculated. P ^ k / α i can be obtained by taking the partial derivative of P ^ k = P ^ k P ^ k .
P ^ k α i = P ^ k α i P ^ k + P ^ k P ^ k α i
Thus, P ^ k / α i can be calculated using (36):
vec ( P ^ k α i ) = ( P ^ k T I + I P ^ k ) 1 × vec ( P ^ k α i ) , i = 1 , , l
where vec (·) and are the column straightening operator and Kronecker product operator, respectively, and I is the identity matrix. The RDUKF approach is summarized in Table 1.

4. Experimental Results and Discussion

In this section, the experimental verification method is used to further evaluate the robustness of the proposed state estimation algorithm when the model parameters are inaccurate and there is voltage sensor bias.
In this study, a prototype of ZNBs was fabricated and tested. The nominal capacity was 56 Ah, and the charging cut-off voltage and discharging cut-off voltage were 2.1 V and 1.2 V, respectively. The test platform was a BTS-3000 programmable battery test system produced by Neware (Shenzhen, China). All experimental data (including current, voltage, and charge–discharge capacity) were collected at a sampling frequency of 1 Hz. As the experiment was completed in a laboratory environment with precise and accurate equipment, noise sequences with a random normal distribution and zero mean whose variance equals 0.36 A2 and 0.004 V2 were added to the collected voltage and current data to simulate the influence of a harsh electromagnetic environment. The voltage and current with noise under the dynamic stress test (DST) cycle are shown in Figure 2.
As the laboratory current sensor has high accuracy, after the initial SOC was determined by the open-circuit voltage, the SOC calculated by using the Coulomb count was taken as the accurate value to verify the state estimation performance of the different algorithms. The MAE and RMSE were used to evaluate the error of deviation between the estimated value and true value and are defined by (37) and (38), where K is the data length.
M A E = 1 K k = 1 K | x ^ k x t u r e , k |
R M S E = 1 K k = 1 K ( x ^ k x t u r e , k ) 2 < obj / >
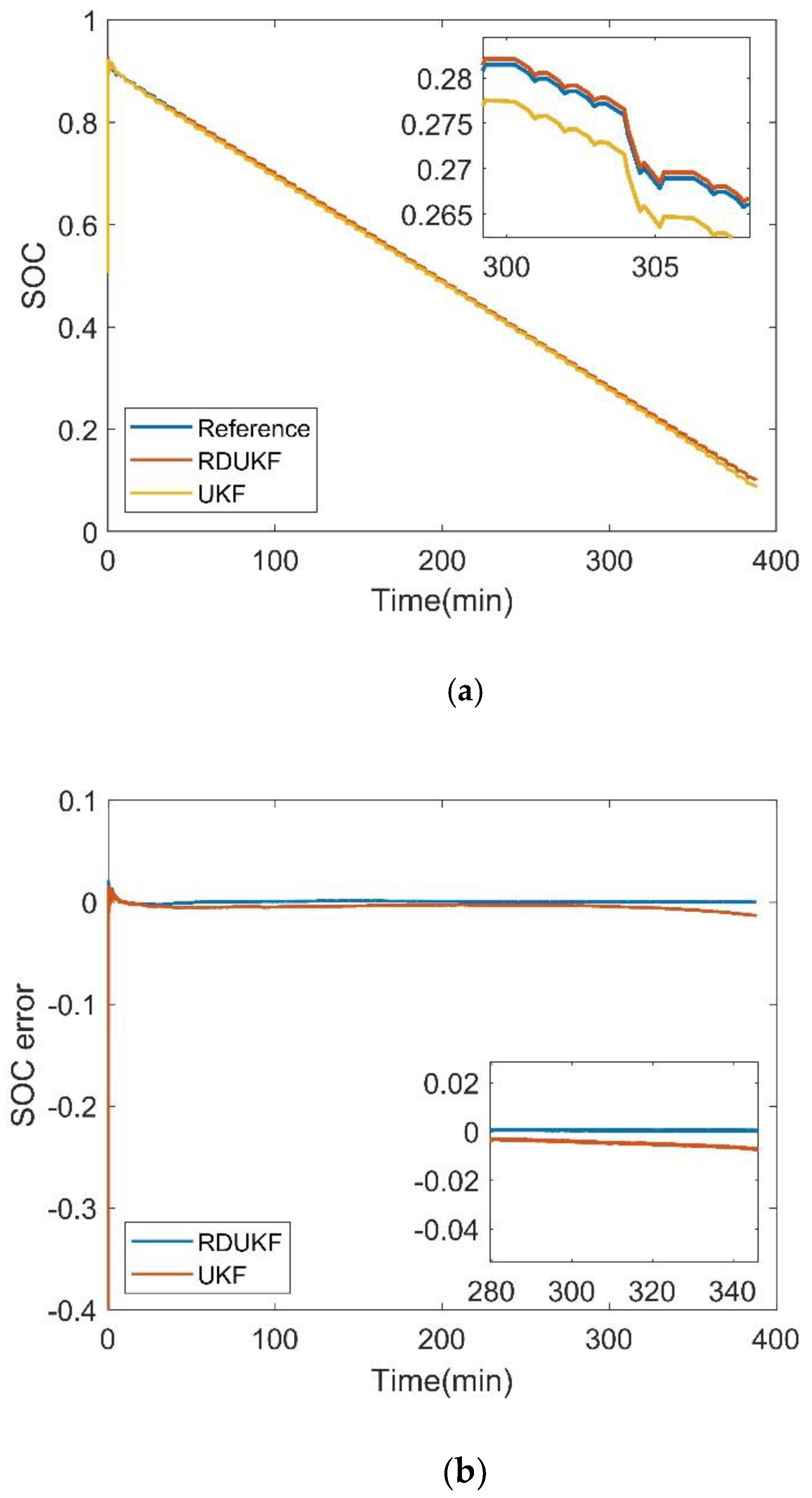
In practical engineering applications, the BMS may not be able to obtain an accurate initial SOC. To verify the sensitivity and accuracy of different algorithms relative to the initial error, we set the initial SOC to 50% and the actual value to 90%. The estimation results and errors are shown in Figure 3. Both the UKF and RDUKF can still converge to the real SOC without knowing the real initial SOC. The RMSE and MAE obtained from the experiment are shown in Table 2. The RDUKF can more accurately track the real SOC changes.
Voltage drift may occur when the sensor is affected by drastic changes in ambient temperature or electromagnetic interference. As the Kalman filter algorithm relies on the feedback of the measured data to correct the state estimation value, the sensor drift will reduce the estimation accuracy. To evaluate the influence of voltage sensor drift on the UKF and RDUKF algorithms, in addition to setting the initial SOC error to 40%, the maximum drift voltage was set to ±10 mV. The SOC estimation results and errors of the two methods are shown in Figure 4. To clarify the differences between the different algorithms, the figures display only the SOC changes that occur after 100 s. Due to the influence of sensor drift, the SOC value estimated by the UKF algorithm gradually deviates from the real value with the increase in the number of measured values. Although the estimation error of the RDUKF algorithm is larger than that without sensor drift, it still converges to a fixed value. The MAE and RMSE values obtained by the two methods under different drift voltages are shown in Figure 5. With increasing drift voltage, the MAE and RMSE of the two algorithms tend to increase. Under the same bias voltage, except when the voltage drift is +2 mV, the MAE and RMSE values of the method based on the RDUKF are smaller; thus, this method is more robust.
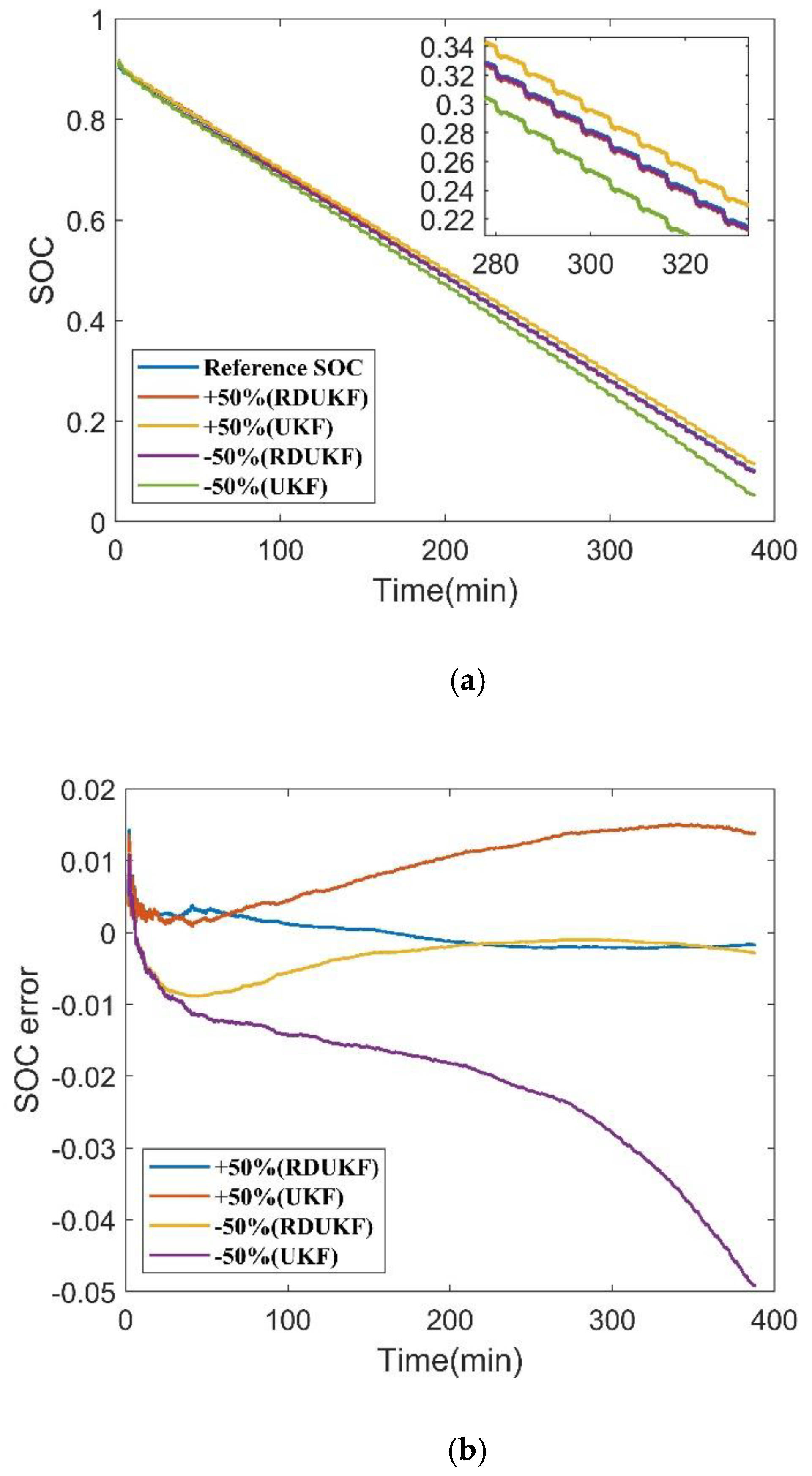
It is difficult to establish a battery model that covers the entire life cycle. Affected by ageing and ambient temperature, the established model has difficulty tracking the real voltage change, and the mismatched model usually causes divergence of the Kalman filter. To test the accuracy of the UKF and RDUKF algorithms under incorrect model parameters, it is also necessary to set the initial SOC to an incorrect value, i.e., a ± 50% deviation is added to the real model parameters. Compared with R2, C2, and C1, when R1 and R0 change, the terminal voltage of the model undergoes greater changes under the same working conditions. Therefore, only the two models in which only R1 is changed and only R0 is changed are considered. It is worth noting that these two assumptions are used only to analyze the robustness of the state estimation algorithm and may not reflect practical applications. Figure 6 shows the SOC estimation results and errors of the two methods, when R1 has a deviation of ±50%. Similarly, only the change in SOC after 100 s is shown. Compared with the RDUKF, the UKF algorithm exhibits obvious divergence. The MAE and RMSE values obtained by the two methods under different model errors are shown in Figure 7. The RDUKF algorithm is obviously more robust.
Figure 8 shows the SOC estimation results and errors of the two methods, when R0 undergoes a deviation of ±50% after 100 s. The UKF algorithm also diverges. The MAE and RMSE values obtained by the two methods under different model errors are shown in Figure 9. The RDUKF algorithm has a higher estimation accuracy, but under the same deviation ratio, it can be seen that the RDUKF is affected to a greater extent by the R0 model parameters.

5. Conclusions

As a commonly used SOC estimation algorithm, the UKF has high accuracy in an ideal working environment, but over a complete life cycle, it is difficult to fully grasp the impacts of battery ambient temperature, ageing degree, and working conditions on the battery model and sensor drift, which makes it difficult for the UKF to accurately estimate the battery SOC. To improve the estimation accuracy of the SOC in complex environments, this paper discusses the application of the RDUKF to battery state estimation. By comparing the accuracy of the UKF and RDUKF state estimation under different assumptions, it is verified that the proposed method has high robustness in the presence of model uncertainty and sensor voltage drift. For changing parameters or ±10% voltage deviation, the estimation accuracy can be maintained in the error range of ±1.5%. Although the RDUKF has good robustness, it still requires accurate information on the statistical characteristics of system noise. Therefore, the future research goal is to study an estimation algorithm that can accurately estimate the SOC when both a priori noise is statistically unknown and model uncertainty exists.

Author Contributions

Conceptualization, Y.G.; methodology, Y.G.; software, Y.G.; validation, Y.G.; formal analysis, Y.G.; investigation, Y.G.; resources, Y.G.; data curation, Y.G.; writing—original draft preparation, Z.L. and Y.G.; writing—review and editing, Z.L. and Y.G.; visualization, Z.L.; supervision, Z.L.; project administration, Z.L. All authors have read and agreed to the published version of the manuscript.

Funding

This work was supported by the National Natural Science Foundation of China (51767005).

Institutional Review Board Statement

Not applicable.

Informed Consent Statement

Not applicable.

Data Availability Statement

Not applicable.

Conflicts of Interest

The authors declare no conflict of interest.

References

  1. Luo, X.; Wang, J.; Dooner, M.; Clarke, J. Overview of current development in electrical energy storage technologies and the application potential in power system operation. Appl. Energy 2015, 137, 511–536. [Google Scholar] [CrossRef] [Green Version]
  2. Leung, P.; Li, X.; de León, C.P.; Berlouis, L.; Low, C.T.J.; Walsh, F.C. Progress in redox flow batteries, remaining challenges and their applications in energy storage. RSC Adv. 2012, 2, 10125–10156. [Google Scholar] [CrossRef]
  3. Weber, A.Z.; Mench, M.M.; Meyers, J.P.; Ross, P.N.; Gostick, J.T.; Liu, Q. Redox flow batteries: A review. J. Appl. Electrochem. 2011, 41, 1137–1164. [Google Scholar] [CrossRef] [Green Version]
  4. Trovo, A.; Di Noto, V.; Epoupa Mengou, J.; Gamabaro, C.; Guarnieri, M. Fast response of kW-class vanadium redox flow batteries. IEEE Trans. Sustain. Energy 2021, 12, 2413–2422. [Google Scholar] [CrossRef]
  5. Sankaralingam, R.K.; Seshadri, S.; Sunarso, J.; Bhatt, A.I.; Kapoor, A. Overview of the factors affecting the performance of vanadium redox flow batteries. J. Energy Storage 2021, 41, 102857. [Google Scholar] [CrossRef]
  6. Cheng, J.; Zhang, L.; Yang, Y.S.; Wen, Y.H.; Cao, G.P.; Wang, X.D. Preliminary study of single flow zinc–nickel battery. Electrochem. Commun. 2007, 9, 2639–2642. [Google Scholar] [CrossRef]
  7. Li, S.; Li, K.; Xiao, E.; Zhang, J.; Zheng, M. Real-time peak power prediction for zinc nickel single flow batteries. J. Power Sources 2020, 448, 227346. [Google Scholar] [CrossRef]
  8. Ito, Y.; Nyce, M.; Plivelich, R.; Klein, M.; Steingart, D.; Banerjee, S. Zinc morphology in zinc–nickel flow assisted batteries and impact on performance. J. Power Sources 2011, 196, 2340–2345. [Google Scholar] [CrossRef]
  9. Lai, Q.; Zhang, H.; Li, X.; Zhang, L.; Cheng, Y. A novel single flow zinc–bromine battery with improved energy density. J. Power Sources 2013, 235, 1–4. [Google Scholar] [CrossRef]
  10. Yang, B.; Wang, J.; Cao, P.; Zhu, T.; Shu, H.; Chen, J.; Zhang, J.; Zhu, J. Classification, summarization and perspectives on state-of-charge estimation of lithium-ion batteries used in electric vehicles: A critical comprehensive survey. J. Energy Storage 2021, 39, 102572. [Google Scholar] [CrossRef]
  11. Aylor, J.H.; Thieme, A.; Johnso, B.W. A battery state-of-charge indicator for electric wheelchairs. IEEE Trans. Ind. Electron. 1992, 39, 398–409. [Google Scholar] [CrossRef]
  12. Gismero, A.; Schaltz, E.; Stroe, D.-I. Recursive state of charge and state of health estimation method for lithium-ion batteries based on coulomb counting and open circuit voltage. Energies 2020, 13, 1811. [Google Scholar] [CrossRef] [Green Version]
  13. Zhang, H.; Zhao, L.; Chen, Y. A lossy counting-based state of charge estimation method and its application to electric vehicles. Energies 2015, 8, 13811–13828. [Google Scholar] [CrossRef] [Green Version]
  14. Li, J.; Ye, M.; Meng, W.; Xu, X.; Jiao, S. A novel state of charge approach of lithium ion battery using least squares support vector machine. IEEE Access 2020, 8, 195398–195410. [Google Scholar] [CrossRef]
  15. Hannan, M.A.; Lipu, M.S.H.; Hussain, A.; Saad, M.H.; Ayob, A. Neural network approach for estimating state of charge of lithium-ion battery using backtracking search algorithm. IEEE Access 2018, 6, 10069–10079. [Google Scholar] [CrossRef]
  16. Awadallah, M.A.; Venkatesh, B. Accuracy improvement of SOC estimation in lithium-ion batteries. J. Energy Storage 2016, 6, 95–104. [Google Scholar] [CrossRef]
  17. Bian, C.; He, H.; Yang, S.; Huang, T. State-of-charge sequence estimation of lithium-ion battery based on bidirectional long short-term memory encoder-decoder architecture. J. Power Sources 2020, 449, 227558. [Google Scholar] [CrossRef]
  18. Lin, X.; Tang, Y.; Ren, J.; Wei, Y. State of charge estimation with the adaptive unscented Kalman filter based on an accurate equivalent circuit model. J. Energy Storage 2021, 41, 102840. [Google Scholar] [CrossRef]
  19. Yang, F.; Xing, Y.; Wang, D.; Tsui, K.-L. A comparative study of three model-based algorithms for estimating state-of-charge of lithium-ion batteries under a new combined dynamic loading profile. Appl. Energy 2016, 164, 387–399. [Google Scholar] [CrossRef]
  20. Zheng, Y.; Ouyang, M.; Han, X.; Lu, L.; Li, J. Investigating the error sources of the online state of charge estimation methods for lithium-ion batteries in electric vehicles. J. Power Sources 2018, 377, 161–188. [Google Scholar] [CrossRef]
  21. Shen, P.; Ouyang, M.; Han, X.; Feng, X.; Lu, L.; Li, J. Error analysis of the model-based state-of-charge observer for lithium-ion batteries. IEEE Trans. Veh. Technol. 2018, 67, 8055–8064. [Google Scholar] [CrossRef]
  22. Wang, W.; Mu, J. State of charge estimation for lithium-ion battery in electric vehicle based on kalman filter considering model error. IEEE Access 2019, 7, 29223–29235. [Google Scholar] [CrossRef]
  23. Tang, X.; Wang, Y.; Chen, Z. A method for state-of-charge estimation of LiFePO4 batteries based on a dual-circuit state observer. J. Power Sources 2015, 296, 23–29. [Google Scholar] [CrossRef]
  24. Afshari, H.H.; Attari, M.; Ahmed, R.; Delbari, A.; Habibi, S.; Shoa, T. Reliable state of charge and state of health estimation using the smooth variable structure filter. Control Eng. Pract. 2018, 77, 1–14. [Google Scholar] [CrossRef]
  25. Wadi, A.; Abdel-Hafez, M.; Hussein, A.; Alkhawaja, F. Alleviating dynamic model uncertainty effects for improved battery SOC estimation of EVs in highly dynamic environments. IEEE Trans. Veh. Technol. 2021, 70, 6554–6566. [Google Scholar] [CrossRef]
  26. Tang, X.; Liu, B.; Lv, Z.; Gao, F. Observer based battery SOC estimation: Using multi-gain-switching approach. Appl. Energy 2017, 204, 1275–1283. [Google Scholar] [CrossRef]
  27. Li, Y.; Wang, C.; Gong, J. A combination Kalman filter approach for State of Charge estimation of lithium-ion battery considering model uncertainty. Energy 2016, 109, 933–946. [Google Scholar] [CrossRef]
  28. Zhao, S.; Duncan, S.R.; Howey, D.A. Observability analysis and state estimation of lithium-ion batteries in the presence of sensor biases. IEEE Trans. Control Syst. Technol. 2017, 25, 326–333. [Google Scholar] [CrossRef] [Green Version]
  29. Al-Gabalawy, M.; Hosny, N.S.; Dawson, J.A.; Omar, A.I. State of charge estimation of a Li-ion battery based on extended Kalman filtering and sensor bias. Int. J. Energy Res. 2021, 45, 6708–6726. [Google Scholar] [CrossRef]
  30. Ren, L.; Zhu, G.; Wang, J.V.; Luo, B.; Kang, J. Comparison of robustness of different state of charge estimation algorithms. J. Power Sources 2020, 478, 228767. [Google Scholar] [CrossRef]
  31. He, J.; Feng, D.; Hu, C.; Wei, Z.; Yan, F. Two-layer online state-of-charge estimation of lithium-ion battery with current sensor bias correction. Int. J. Energy Res. 2019, 43, 3837–3852. [Google Scholar] [CrossRef]
  32. Rahimian, S.K.; Rayman, S.; White, R.E. State of charge and loss of active material estimation of a lithium ion cell under low earth orbit condition using kalman filtering approaches. J. Electrochem. Soc. 2012, 159, A860–A872. [Google Scholar] [CrossRef] [Green Version]
  33. Han, X.; Ouyang, M.; Lu, L.; Li, J. Simplification of physics-based electrochemical model for lithium ion battery on electric vehicle. Part II: Pseudo-two-dimensional model simplification and state of charge estimation. J. Power Sources 2015, 278, 814–825. [Google Scholar] [CrossRef]
  34. Jokar, A.; Rajabloo, B.; Désilets, M.; Lacroix, M. Review of simplified Pseudo-two-Dimensional models of lithium-ion batteries. J. Power Sources 2016, 327, 44–55. [Google Scholar] [CrossRef]
  35. Julier, S.J.; Uhlmann, J.K. New extension of the Kalman filter to nonlinear systems. In Signal Processing, Sensor Fusion, and Target Recognition VI; SPIE: Orlando, FL, USA, 1997; Volume 3068, pp. 182–193. [Google Scholar]
  36. Tian, Y.; Xia, B.; Sun, W.; Xu, Z.; Zheng, W. A modified model based state of charge estimation of power lithium-ion batteries using unscented Kalman filter. J. Power Sources 2014, 270, 619–626. [Google Scholar] [CrossRef]
  37. Peng, S.; Zhu, X.; Xing, Y.; Shi, H.; Cai, X.; Pecht, M. An adaptive state of charge estimation approach for lithium-ion series-connected battery system. J. Power Sources 2018, 392, 48–59. [Google Scholar] [CrossRef]
  38. Zhu, R.; Duan, B.; Zhang, J.; Zhang, Q.; Zhang, C. Co-estimation of model parameters and state-of-charge for lithium-ion batteries with recursive restricted total least squares and unscented Kalman filter. Appl. Energy 2020, 277, 115494. [Google Scholar] [CrossRef]
  39. Shen, H.; Karlgaard, C.D. Sensitivity reduction of unscented Kalman filter about parameter uncertainties. IET Radar Sonar Navig. 2015, 9, 374–383. [Google Scholar] [CrossRef]
Figure 1. Schematic diagram of the two-order RC ECM.
Figure 1. Schematic diagram of the two-order RC ECM.
Energies 15 01537 g001
Figure 2. (a) Voltage with noise; (b) current with noise.
Figure 2. (a) Voltage with noise; (b) current with noise.
Energies 15 01537 g002
Figure 3. (a) SOC of the estimation results; (b) SOC errors of the estimation results.
Figure 3. (a) SOC of the estimation results; (b) SOC errors of the estimation results.
Energies 15 01537 g003
Figure 4. (a) SOC estimation results under different drift voltages; (b) SOC errors of the estimation results under different drift voltages.
Figure 4. (a) SOC estimation results under different drift voltages; (b) SOC errors of the estimation results under different drift voltages.
Energies 15 01537 g004aEnergies 15 01537 g004b
Figure 5. (a) MAE under different drift voltages; (b) RMSE under different drift voltages.
Figure 5. (a) MAE under different drift voltages; (b) RMSE under different drift voltages.
Energies 15 01537 g005
Figure 6. (a) SOC estimation results according to deviations in R1; (b) SOC error according to deviations in R1.
Figure 6. (a) SOC estimation results according to deviations in R1; (b) SOC error according to deviations in R1.
Energies 15 01537 g006
Figure 7. (a) RMSE according to deviations in R1; (b) MAE according to deviations in R1.
Figure 7. (a) RMSE according to deviations in R1; (b) MAE according to deviations in R1.
Energies 15 01537 g007
Figure 8. (a) SOC estimation results according to deviations in R0; (b) SOC error according to deviations in R0.
Figure 8. (a) SOC estimation results according to deviations in R0; (b) SOC error according to deviations in R0.
Energies 15 01537 g008
Figure 9. (a) MAE according to deviations in R0; (b) RMSE according to deviations in R0.
Figure 9. (a) MAE according to deviations in R0; (b) RMSE according to deviations in R0.
Energies 15 01537 g009
Table 1. Summary of the RDUKF approach for SOC estimation.
Table 1. Summary of the RDUKF approach for SOC estimation.
Initialization
Initial   state   x _ 0 ;   covariance   matrix   P 0 ;   sensitivity   parameters   σ ^ 0 ;   and   P 0 / α i , i = 1 , , l
For   k = 1 , 2 ,
Time update
1.
Generate sigma points via (7) and their sensitivities via (23).
2.
Propagate the sigma points and their sensitivities via (9) and (24).
3.
Compute the mean and covariance of the predicted state via (10) and (11).
4.
Compute the sensitivities of the prior estimate using (26) and the prior sensitivity using (25).
5.
Measurement update
6.
Propagate the sigma points of the measurement and their sensitivities via (12) and (27).
7.
Calculate the predicted measurements and their sensitivities using (13) and (28).
8.
Estimate the covariance of the measurement and the sensitivities using (14) and (29).
9.
Estimate the cross-covariance and the sensitivities using (15) and (30).
10.
Compute the Kalman gain via (31).
11.
Update the posterior mean of the state and the sensitivities by (16) and (33).
12.
Calculate the posterior covariance matrix and the sensitivities using (17) and (32). k = k + 1.
Table 2. Estimated error under the DST.
Table 2. Estimated error under the DST.
MAERMSE
RDUKF0.00090.0029
UKF0.00440.0056
Publisher’s Note: MDPI stays neutral with regard to jurisdictional claims in published maps and institutional affiliations.

Share and Cite

MDPI and ACS Style

Guo, Y.; Lu, Z. A Robust Algorithm for State-of-Charge Estimation under Model Uncertainty and Voltage Sensor Bias. Energies 2022, 15, 1537. https://doi.org/10.3390/en15041537

AMA Style

Guo Y, Lu Z. A Robust Algorithm for State-of-Charge Estimation under Model Uncertainty and Voltage Sensor Bias. Energies. 2022; 15(4):1537. https://doi.org/10.3390/en15041537

Chicago/Turabian Style

Guo, Yang, and Ziguang Lu. 2022. "A Robust Algorithm for State-of-Charge Estimation under Model Uncertainty and Voltage Sensor Bias" Energies 15, no. 4: 1537. https://doi.org/10.3390/en15041537

APA Style

Guo, Y., & Lu, Z. (2022). A Robust Algorithm for State-of-Charge Estimation under Model Uncertainty and Voltage Sensor Bias. Energies, 15(4), 1537. https://doi.org/10.3390/en15041537

Note that from the first issue of 2016, this journal uses article numbers instead of page numbers. See further details here.

Article Metrics

Back to TopTop