Distributed Reinforcement Learning for the Management of a Smart Grid Interconnecting Independent Prosumers
Abstract
:1. Introduction
2. Materials and Methods
2.1. Smart Grid Model
2.1.1. Smart Grid Actors Model
- is the production of electricity by the actor during the period.
- is the electricity consumption of the actor during the period.
- is the quantity of electricity stored by the actor at the beginning of the period. We denote by the maximal storage capacity, and we define the residual capacity of battery storage , i.e., the maximum quantity of energy that the actor can store during the period. Note that, during a period, an actor cannot both use and provide storage.
2.1.2. Action Modes of Each Actor
- State Deficit: . In this state, actor needs energy from SG for its consumption, then ; it can also choose to use its storage or not. Thus, in this state, the chosen mode can be , in which case and thus , or , in which case and thus .
- State Self: and . In this state, two modes can be chosen by . First, , where : the actor does not use its storage, . Secondly , where and . In both cases, .
- State Surplus: . Two modes can be chosen by . First, , where : the actor provides all its overall produced energy to SG and remains the same. Secondly, in which and : the actor favors the storage of its remaining produced energy. In both cases, .
- If then .
- If then .
- If then in State Self and in State Surplus.
- If then .
2.1.3. Game Model
- and .
- and .
- and .
2.1.4. A Pricing Model for a Smart Grid
2.2. Distributed Reinforcement Learning for the Game in Each Period
2.2.1. Learning Strategies
- State Deficit: , considering and , considering .
- State Self: , considering , and , considering .
- State Surplus: , considering , and , considering .
2.2.2. Learning Process
3. Results
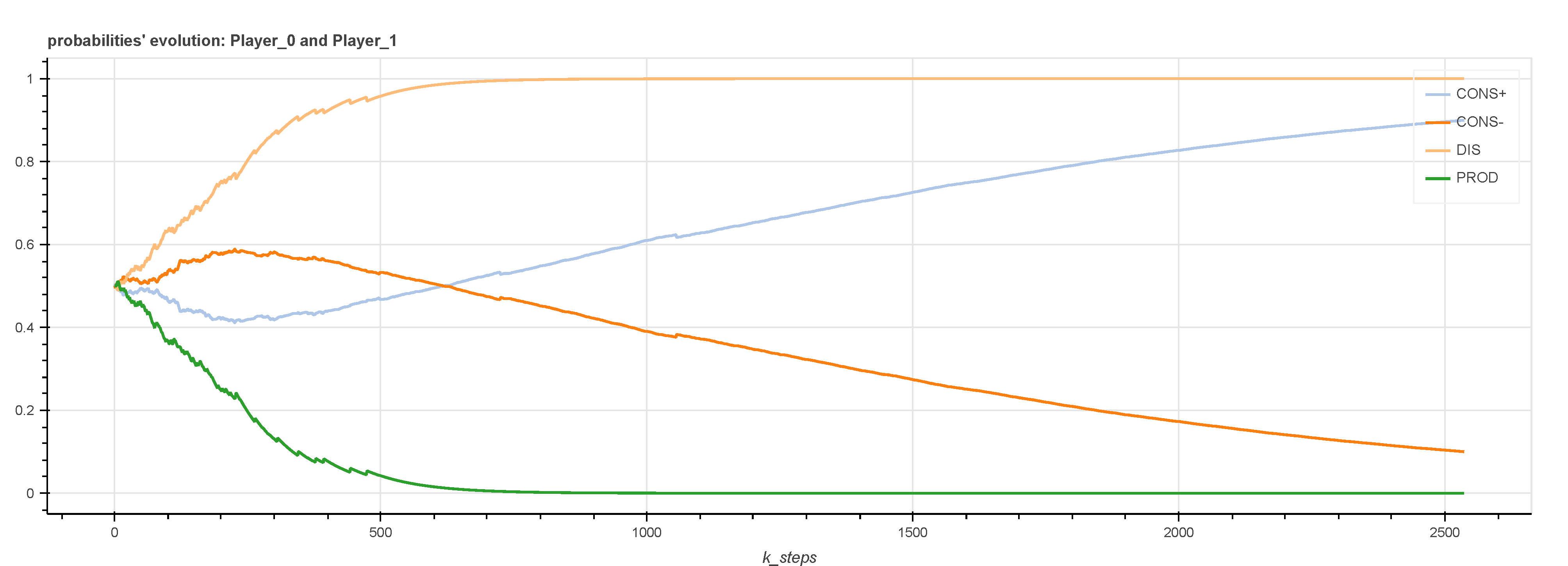
3.1. Learning Performance Analysis
- If , then and is uniformly chosen in ; we consider .
- If , then with probability , we set and uniformly chosen in and we consider . Else, we set and uniformly chosen in , and we consider
- If , then and uniformly chosen in , and we consider .
- 4 actor in State Deficit with , , .
- 3 actor in State Self with two possible situations with probability : one in which , and uniformly chosen in ; the other in which , and uniformly chosen in .
- 3 actor in State Surplus with , , .
- , , and ,
- , , and ,
- , , , and .
3.2. Multi-Periods Simulation
3.2.1. Instances Generation
- Situation A: and is uniformly chosen in ; .
- Situation B1: and is uniformly chosen in ; .
- Situation B2: and is uniformly chosen in ; .
- Situation C: , ; .
3.2.2. Performances Evaluation
| Algorithm 1: SDA |
![]() |
3.3. Technical Implementation and Code Performance
4. Conclusions
Author Contributions
Funding
Institutional Review Board Statement
Informed Consent Statement
Conflicts of Interest
References
- Calvillo, C.; Sánchez-Miralles, A.; Villar, J. Energy management and planning in smart cities. Renew. Sustain. Energy Rev. 2016, 55, 273–287. [Google Scholar] [CrossRef] [Green Version]
- IRENA. Global Energy Transformation: A Roadmap to 2050; Report of International Renewable Energy Agency; The International Renewable Energy Agency (IRENA): Abu Dhabi, United Arab Emirates, 2018; ISBN 978-92-9260-059-4. [Google Scholar]
- Amicarelli, E.; Tran, T.; Bacha, S. Flexibility service market for active congestion management of distribution networks using flexible energy resources of microgrids. In Proceedings of the 2017 IEEE PES Innovative Smart Grid Technologies Conference Europe (ISGT-Europe), Torino, Italy, 26–29 September 2017; pp. 1–6. [Google Scholar]
- Milchtaich, I. Congestion Games with Player-Specific Payoff Functions. Games Econ. Behav. 1996, 13, 111–124. [Google Scholar] [CrossRef] [Green Version]
- Chien, S.; Sinclair, A. Convergence to approximate Nash equilibria in congestion games. Games Econ. Behav. 2011, 71, 315–327. [Google Scholar] [CrossRef]
- Sastry, P.; Phansalkar, V.; Thathachar, M. Coalitional Game Theory for Cooperative Micro-Grid Distribution Networks. In Multiagent System Technologies; Lecture Notes in Computer Science; Springer: Berlin/Heidelberg, Germany, 2011; Volume 8076. [Google Scholar]
- Osborne, M. An Introduction to Game Theory; Oxford University Press: Oxford, UK; New York, NY, USA, 2004. [Google Scholar]
- Palombarini, J.A.; Martínez, E.C. Closed-loop Rescheduling using Deep Reinforcement Learning. IFAC-PapersOnLine 2019, 52, 231–236. [Google Scholar] [CrossRef]
- Göhrt, T.; Griesing-Scheiwe, F.; Osinenko, P.; Streif, S. A reinforcement learning method with closed-loop stability guarantee for systems with unknown parameters. IFAC-PapersOnLine 2020, 53, 8157–8162. [Google Scholar] [CrossRef]
- Carli, R.; Cavone, G.; Pippia, T.; Schutter, B.D.; Dotoli, M. A Robust MPC Energy Scheduling Strategy for Multi-Carrier Microgrids. In Proceedings of the 2020 IEEE 16th International Conference on Automation Science and Engineering (CASE), Hong Kong, China, 20–21 August 2020; pp. 152–158. [Google Scholar] [CrossRef]
- Nassourou, M.; Blesa, J.; Puig, V. Robust Economic Model Predictive Control Based on a Zonotope and Local Feedback Controller for Energy Dispatch in Smart-Grids Considering Demand Uncertainty. Energies 2020, 13, 696. [Google Scholar] [CrossRef] [Green Version]
- Ibars, C.; Navarro, M.; Giupponi, L. Distributed Demand Management in Smart Grid with a Congestion Game. In Proceedings of the 2010 First IEEE International Conference on Smart Grid Communications, Gaithersburg, MD, USA, 4–6 October 2010; pp. 495–500. [Google Scholar]
- Zhu, Z.; Tang, J.; Lambotharan, S.; Chin, W.; Fan, Z. An integer linear programming and game theory based optimization for demand-side management in smart grid. In Proceedings of the 2011 IEEE GLOBECOM Workshops (GC Wkshps), Houston, TX, USA, 5–9 December 2011; pp. 1205–1210. [Google Scholar]
- Mohsenian-Rad, A.; Wong, V.W.S.; Jatskevich, J.; Schober, R.; Leon-Garcia, A. Autonomous Demand-Side Management Based on Game-Theoretic Energy Consumption Scheduling for the Future Smart Grid. IEEE Trans. Smart Grid 2010, 1, 320–331. [Google Scholar] [CrossRef] [Green Version]
- Horta, J.; Altman, E.; Caujolle, M.; Kofman, D.; Menga, D. Real-time enforcement of local energy market transactions respecting distribution grid constraints. In Proceedings of the 2018 IEEE International Conference on Communications, Control, and Computing Technologies for Smart Grids (SmartGridComm), Aalborg, Denmark, 29–31 October 2018; pp. 1–7. [Google Scholar]
- Tushar, W.; Zhang, J.A.; Smith, D.B.; Thiebaux, S.; Poor, H.V. Prioritizing consumers in smart grid: Energy management using game theory. In Proceedings of the 2013 IEEE International Conference on Communications (ICC), Budapest, Hungary, 9–13 June 2013; pp. 4239–4243. [Google Scholar]
- Samadi, P.; Mohsenian-Rad, A.; Schober, R.; Wong, V.W.S.; Jatskevich, J. Optimal Real-Time Pricing Algorithm Based on Utility Maximization for Smart Grid. In Proceedings of the 2010 First IEEE International Conference on Smart Grid Communications, Gaithersburg, MD, USA, 4–6 October 2010; pp. 415–420. [Google Scholar]
- Fang, X.; Wang, J.; Song, G.; Han, Y.; Zhao, Q.; Cao, Z. Multi-Agent Reinforcement Learning Approach for Residential Microgrid Energy Scheduling. Energies 2020, 13, 123. [Google Scholar] [CrossRef] [Green Version]
- Lu, R.; Hong, S.H. Incentive-based demand response for smart grid with reinforcement learning and deep neural network. Appl. Energy 2019, 236, 937–949. [Google Scholar] [CrossRef]
- Samadi, P.; Schober, R.; Wong, V.W.S. Optimal energy consumption scheduling using mechanism design for the future smart grid. In Proceedings of the 2011 IEEE International Conference on Smart Grid Communications (SmartGridComm), Brussels, Belgium, 17–20 October 2011; pp. 369–374. [Google Scholar]
- Apostolopoulos, P.A.; Tsiropoulou, E.E.; Papavassiliou, S. Demand Response Management in Smart Grid Networks: A Two-Stage Game-Theoretic Learning-Based Approach. Mob. Netw. Appl. 2018, 26, 548–561. [Google Scholar] [CrossRef] [Green Version]
- Deng, R.; Yang, Z.; Hou, F.; Chow, M.; Chen, J. Distributed Real-Time Demand Response in Multiseller–Multibuyer Smart Distribution Grid. IEEE Trans. Power Syst. 2015, 30, 2364–2374. [Google Scholar] [CrossRef]
- Lu, T.; Chen, X.; McElroy, M.B.; Nielsen, C.P.; Wu, Q.; He, H.; Ai, Q. A Reinforcement Learning-Based Decision System For Electricity Pricing Plan Selection by Smart Grid End Users. IEEE Trans. Smart Grid 2020, 12, 2176–2187. [Google Scholar] [CrossRef]
- Saad, W.; Han, Z.; Poor, H.V. Coalitional Game Theory for Cooperative Micro-Grid Distribution Networks. In Proceedings of the 2011 IEEE International Conference on Communications Workshops (ICC), Kyoto, Japan, 5–9 June 2011; pp. 1–5. [Google Scholar]
- Hammad, E.; Farraj, A.; Kundur, D. Cooperative microgrid networks for remote and rural areas. In Proceedings of the 2015 IEEE 28th Canadian Conference on Electrical and Computer Engineering, Halifax, NS, Canada, 3–6 May 2015; pp. 1572–1577. [Google Scholar]
- Aladdin, S.; El-Tantawy, S.; Fouda, M.; Tag Eldien, A. MARLA-SG: Multi-Agent Reinforcement Learning Algorithm for Efficient Demand Response in Smart Grid. IEEE Access 2020, 8, 210626–210639. [Google Scholar] [CrossRef]
- Roesch, M.; Linder, C.; Zimmermann, R.; Rudolf, A.; Hohmann, A.; Reinhart, G. Smart Grid for Industry Using Multi-Agent Reinforcement Learning. Appl. Sci. 2020, 10, 6900. [Google Scholar] [CrossRef]
- Massadi, M.; Abu-Rub, H.; Refaat, S.; Chihi, I.; Oueslati, F. Deep Learning in Smart Grid Technology: A Review of Recent Advancements and Future Prospects. IEEE Access 2021, 9, 54558–54578. [Google Scholar] [CrossRef]
- Zhang, R.; Yang, S.; Zhang, Q.; Xu, L.; He, Y.; Zhang, F. Graph-based few-shot learning with transformed feature propagation and optimal class allocation. Neurocomputing 2022, 470, 247–256. [Google Scholar] [CrossRef]
- Cros, S.; Badosa, J.; Szantaï, A.; Haeffelin, M. Reliability Predictors for Solar Irradiance Satellite-Based Forecast. Energies 2020, 13, 5566. [Google Scholar] [CrossRef]
- Loni, A.; Parand, F.A. A survey of game theory approach in smart grid with emphasis on cooperative games. In Proceedings of the 2017 IEEE International Conference on Smart Grid and Smart Cities (ICSGSC), Singapore, 23–26 July 2017; pp. 237–242. [Google Scholar] [CrossRef]
- Piao, R.; Lee, D.J.; Kim, T. Real-Time Pricing Scheme in Smart Grid Considering Time Preference: Game Theoretic Approach. Energies 2020, 13, 6138. [Google Scholar] [CrossRef]
- Saad, W.; Han, Z.; Poor, H.V.; Basar, T. Game-Theoretic Methods for the Smart Grid: An Overview of Microgrid Systems, Demand-Side Management, and Smart Grid Communications. IEEE Signal Process. Mag. 2012, 29, 86–105. [Google Scholar] [CrossRef]
- Sperstad, I.B.; Korpås, M. Energy Storage Scheduling in Distribution Systems Considering Wind and Photovoltaic Generation Uncertainties. Energies 2019, 12, 1231. [Google Scholar] [CrossRef] [Green Version]
- Carli, R.; Dotoli, M. Cooperative Distributed Control for the Energy Scheduling of Smart Homes with Shared Energy Storage and Renewable Energy Source. IFAC-PapersOnLine 2017, 50, 8867–8872. [Google Scholar] [CrossRef]
- Xu, J.; Yan, C.; Xu, Y.; Shi, J.; Sheng, K.; Xu, X. A Hierarchical Game Theory Based Demand Optimization Method for Grid-Interaction of Energy Flexible Buildings. Front. Energy Res. 2021, 9, 500. [Google Scholar] [CrossRef]
- Maschler, M.; Solan, E.; Zamir, S. Repeated Games; Cambridge University Press: Cambridge, MA, USA, 2013. [Google Scholar]
- Sastry, P.; Phansalkar, V.; Thathachar, M. Decentralized Learning of Nash Equilibria in Multi-Person Stochastic Games with Incomplete Information. IEEE Trans. Syst. Man Cybern. 1994, 24, 769–777. [Google Scholar] [CrossRef] [Green Version]
- Barth, D.; Mautor, T.; de Moissac, A.; Watel, D.; Weisser, M.A. Optimisation of electrical network configuration: Complexity and algorithms for ring topologies. Theor. Comput. Sci. 2021, 859, 162–173. [Google Scholar] [CrossRef]





| , ith actor in the smart grid. | |
| maximum quantity of electricity stocked by at any period. | |
| quantity of electricity produced by at period t. | |
| quantity of electricity consumed by at period t. | |
| quantity of electricity stored by at beginning of period t. | |
| residual capacity of the battery storage. | |
| quantity of electricity inserted by in SG at period t. | |
| quantity of electricity consumed from SG by at period t. | |
| the sum of the agents’ consumption. | |
| the sum of the agents’ production. | |
| state of in at period t. | |
| mode of in at period t. | |
| value of the incentive to store or preserve electricity of at period t. | |
| the amount of energy preserved by for the next period . | |
| unitary benefit of electricity sold by an actor to SG (independently from EPO) at period t. | |
| unitary cost of electricity bought by an actor from SG (independently from EPO) at period t. | |
| unitary benefit of an actor selling electricity to SG (possibly partially to EPO) at period t. | |
| unitary cost of an actor buying electricity (possibly partially from EPO) to SG at period t. | |
| virtual benefit of at period t. | |
| virtual cost of at period t. | |
| learning utility function of player at period t. | |
| unitary price of electricity purchased by EPO at period t. | |
| unitary price of electricity sold by EPO at period t. | |
| benefit function of electricity sold by SG to EPO. | |
| cost function of electricity bought by SG to EPO. | |
| whole benefit of during the T periods. | |
| whole cost for during the T periods. | |
| the internal benefit of during the T periods. | |
| the internal cost of during the T periods. |
| (then ) | (then ) | |
| , | , | |
| (then ) | , | , |
| , | , | |
| , | , | |
| (then ) | , | , |
| , | , | |
| Metrics | RL | SDA | SyA |
|---|---|---|---|
| −12,790 | −12,054 | ||
| −15,652 | −14,240 |
Publisher’s Note: MDPI stays neutral with regard to jurisdictional claims in published maps and institutional affiliations. |
© 2022 by the authors. Licensee MDPI, Basel, Switzerland. This article is an open access article distributed under the terms and conditions of the Creative Commons Attribution (CC BY) license (https://creativecommons.org/licenses/by/4.0/).
Share and Cite
Barth, D.; Cohen-Boulakia, B.; Ehounou, W. Distributed Reinforcement Learning for the Management of a Smart Grid Interconnecting Independent Prosumers. Energies 2022, 15, 1440. https://doi.org/10.3390/en15041440
Barth D, Cohen-Boulakia B, Ehounou W. Distributed Reinforcement Learning for the Management of a Smart Grid Interconnecting Independent Prosumers. Energies. 2022; 15(4):1440. https://doi.org/10.3390/en15041440
Chicago/Turabian StyleBarth, Dominique, Benjamin Cohen-Boulakia, and Wilfried Ehounou. 2022. "Distributed Reinforcement Learning for the Management of a Smart Grid Interconnecting Independent Prosumers" Energies 15, no. 4: 1440. https://doi.org/10.3390/en15041440
APA StyleBarth, D., Cohen-Boulakia, B., & Ehounou, W. (2022). Distributed Reinforcement Learning for the Management of a Smart Grid Interconnecting Independent Prosumers. Energies, 15(4), 1440. https://doi.org/10.3390/en15041440


