Establishment and Solution of Four Variable Water Hammer Mathematical Model for Conveying Pipe
Abstract
1. Introduction
2. Mathematical Model
2.1. Fluid Motion Equation
2.2. Fluid Continuity Equation
2.3. Complete Equations of Water Hammer
3. Model Solving and Boundary Conditions
3.1. Difference Equation
3.2. Boundary Conditions
3.3. Model Validation
4. Field Application and Result Discussion
4.1. Sample Pipeline Foundation Parameters
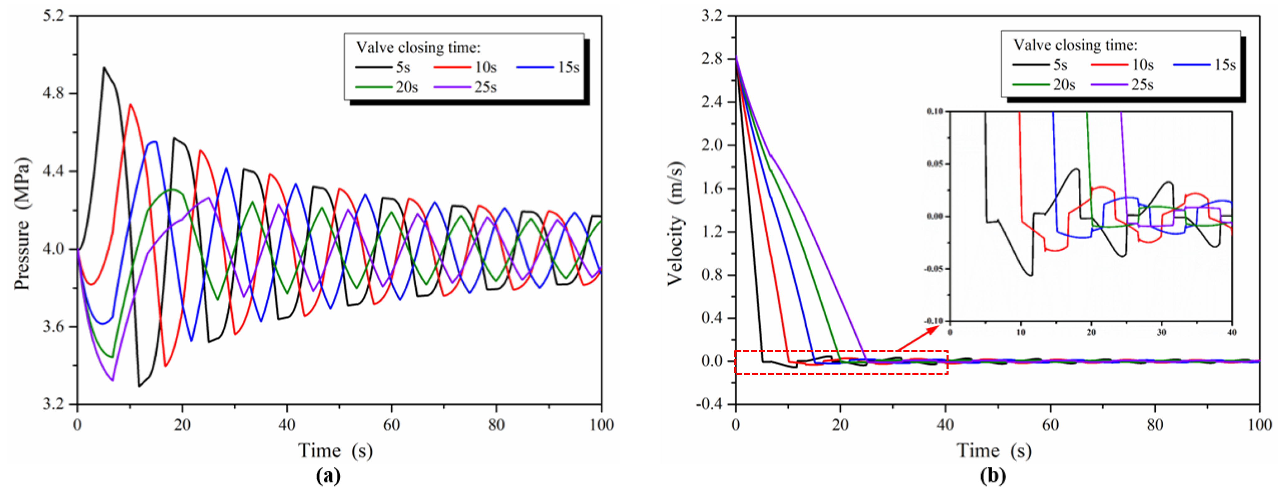
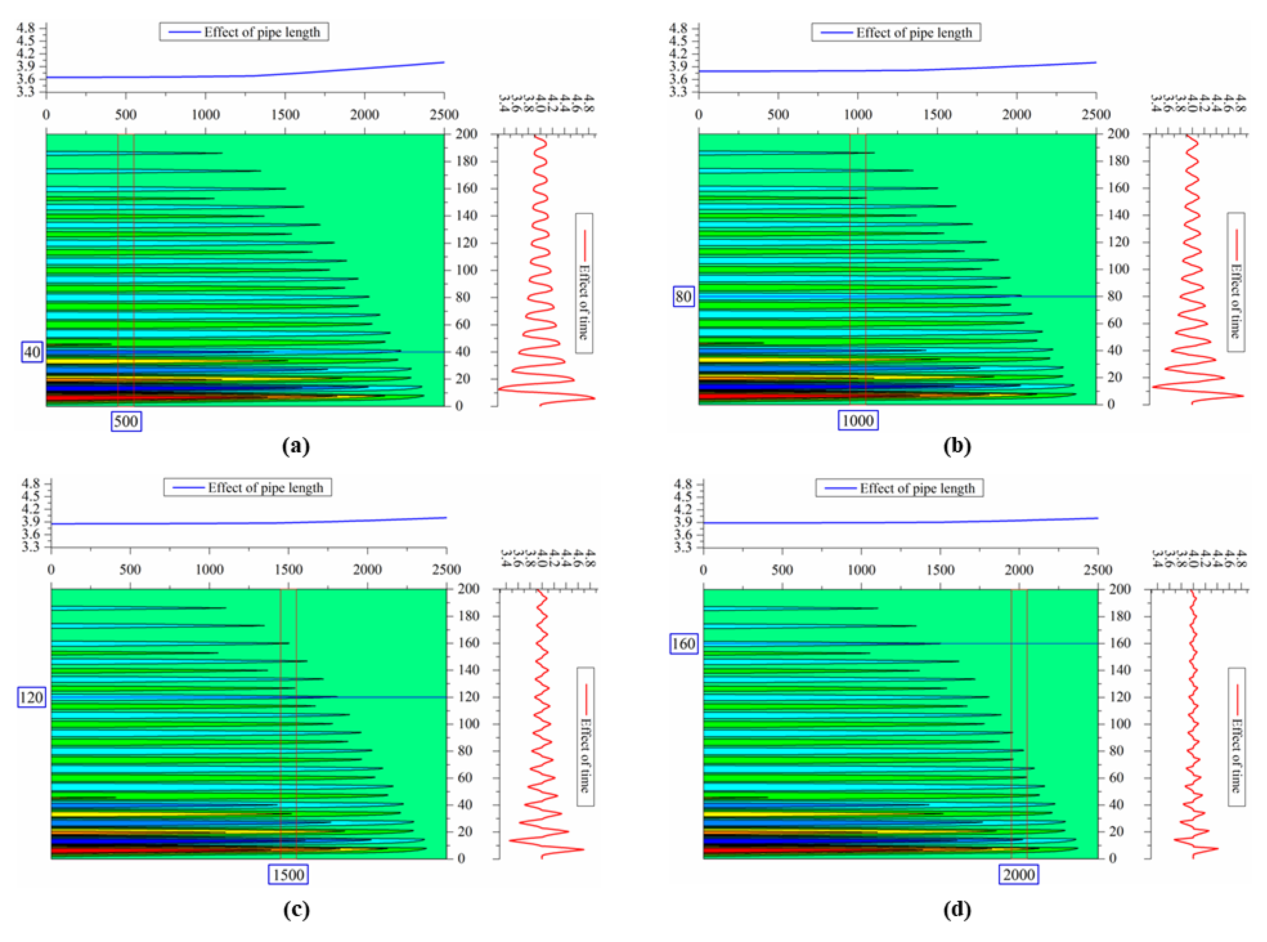
4.2. Result and Discussion
5. Conclusions
Author Contributions
Funding
Conflicts of Interest
Nomenclature
| A | Flow channel area | m2 |
| a | Pressure-wave velocity | m/s |
| Cg | Gas content | % |
| D | Pipe diameter | m |
| e | Pipe wall thickness | m |
| E | Elastic modulus of pipes | MPa |
| f | Friction coefficient | dimensionless |
| g | Gravitational acceleration | m/s2 |
| H | Water head | m |
| i | Time node number | dimensionless |
| k | Spatial node number | dimensionless |
| K | Fluid compressibility coefficient | dimensionless |
| mo | Fluid momentum | kg·m/s |
| p | Pressure | MPa |
| Qg | Gas flow | kg/s |
| Ql | Liquid flow | kg/s |
| Δs | Displacement step | m |
| s | Location | m |
| Δt | Time step | s |
| t | Time | s |
| v | Flow velocity | m/s |
| vm | Gas-liquid mixing flow velocity | m/s |
| x | Length of flow section | m |
| y | Moving distance | m |
| z | Position of reference point | m |
| ρ | Fluid density | kg/m3 |
| ρg | Gas density | kg/m3 |
| ρl | Liquid density | kg/m3 |
| ρm | Multiphase fluid density | kg/m3 |
| θ | Included angle between pipeline axis and horizontal direction | ° |
| γ | Specific gravity | dimensionless |
| ξ | Fitting coefficient | dimensionless |
| χ | Wet perimeter | m |
| τ0 | Pipe inner wall shear stress | MPa |
References
- Ye, J.; Zeng, W.; Zhao, Z.; Yang, J.; Yang, J. Optimization of Pump Turbine Closing Operation to Minimize Water Hammer and Pulsating Pressures During Load Rejection. Energies 2020, 13, 1000. [Google Scholar] [CrossRef]
- Chen, S.; Zhang, J.; Li, G.; Yu, X. Influence Mechanism of Geometric Characteristics of Water Conveyance System on Extreme Water Hammer during Load Rejection in Pumped Storage Plants. Energies 2019, 12, 2854. [Google Scholar] [CrossRef]
- Kandil, M.; Kamal, A.M.; El-Sayed, T.A. Study the effect of pipematerials properties on the water hammer considering the fluid-structure interaction, frictionless model. Int. J. Press. Vessel. Pip. 2021, 104550. [Google Scholar] [CrossRef]
- Mery, H.O.; Hassan, J.M.; Ekaid, A.L. Viscoelastic loop strategy for water hammer control in a pressurized steel pipeline. Mater. Today Proc. 2021; in press. [Google Scholar] [CrossRef]
- Wylie, S. Transient Flow; Water Conservancy and Electric Power Press: Beijing, China, 1983. [Google Scholar]
- Garg, R.K.; Kumar, A. Experimental and numerical investigations of water hammer analysis in pipeline with two different materials and their combined configuration. Int. J. Press. Vessel. Pip. 2020, 188, 104219. [Google Scholar] [CrossRef]
- Behroozi, A.M.; Vaghefi, M. Numerical simulation of water hammer using implicit Crank-Nicolson Local Multiquadric Based Differential Quadrature. Int. J. Press. Vessel. Pip. 2020, 181, 104078. [Google Scholar] [CrossRef]
- Yang, J.; Lv, Y.; Liu, D.; Wang, Z. Pressure Analysis in the Draft Tube of a Pump-Turbine under Steady and Transient Conditions. Energies 2021, 14, 4732. [Google Scholar] [CrossRef]
- Zhang, L.; Zhang, J.; Yu, X.; Lv, J.; Zhang, X. Transient Simulation for a Pumped Storage Power Plant Considering Pressure Pulsation Based on Field Test. Energies 2019, 12, 2498. [Google Scholar] [CrossRef]
- Slawomir, H. Numerical modeling of water hammer with fluid–structure interaction in a pipeline with viscoelastic supports. J. Fluids Struct. 2018, 76, 469–487. [Google Scholar]
- Baba, G.A.; Norsarahaida, A. The Effect of Water Hammer on Pressure Oscillation of Hydrogen Natural Gas Transient Flow. Appl. Mech. Mater. 2014, 554, 251–255. [Google Scholar] [CrossRef]
- Wahba, E.M. On the Propagation and Attenuation of Turbulent Fluid Transients in Circular Pipes. J. Fluids Eng. 2015, 138, 031106. [Google Scholar] [CrossRef]
- Kandil, M.; Kamal, A.M.; El-Sayed, T.A. Effect pipes material on water hammer. Int. J. Press. Vessel. Pip. 2019, 179, 103996. [Google Scholar] [CrossRef]
- Abdel-Gawad, H.A.A.; Djebedjian, B. Modeling water hammer in viscoelastic pipes using the wave characteristic method. Appl. Math. Model. 2020, 83, 322–341. [Google Scholar] [CrossRef]
- Khamoushi, A.; Keramat, A.; Majd, A. One-Dimensional Simulation of Transient Flows in Non-Newtonian Fluids. J. Pipeline Syst. Eng. Pract. 2020, 11, 04020019. [Google Scholar] [CrossRef]
- Abdeldayem, O.M.; Ferràs, D.; van der Zwan, S.; Kennedy, M. Analysis of Unsteady Friction Models Used in Engineering Software for Water Hammer Analysis: Implementation Case in WANDA. Water 2021, 13, 495. [Google Scholar] [CrossRef]
- Lashkarbolok, M.; Tijsseling, A.S. Numerical simulation of water-hammer in tapered pipes using an implicit least-squares approach. Int. J. Press. Vessel. Pip. 2020, 187, 104161. [Google Scholar] [CrossRef]
- Aliabadi, H.K.; Ahmadi, A.; Keramat, A. Frequency response of water hammer with fluid-structure interaction in a viscoelastic pipe. Mech. Syst. Signal Process. 2020, 144, 106848. [Google Scholar] [CrossRef]
- Firouzi, A.; Yang, W.; Shi, W.; Li, C.Q. Failure of corrosion affected buried cast iron pipes subject to water hammer. Eng. Fail. Anal. 2021, 120, 104993. [Google Scholar] [CrossRef]
- Henclik, S. Application of the shock response spectrum method to severity assessment of water hammer loads. Mech. Syst. Signal Process. 2021, 157, 107649. [Google Scholar] [CrossRef]
- Chen, T.; Su, Z.; Zhu, J.; Li, M. Analysis and improvement of 4-equation based on FSI. Chin. J. Appl. Mech. 2016, 33, 565–569. [Google Scholar]
- Zhu, Y.; Wu, C.; Yuan, Y.; Shi, Z. Experimental and modeling study on gas-liquid two-phase transient flow in viscoelastic pipes. J. Harbin Inst. Technol. 2018, 50, 89–93+172. [Google Scholar]
- Zhu, Y.; Wu, C.; Yuan, Y.; Shi, Z. Analysis of pressure damping in air-water transient flow in viscoelastic pipes. J. Hydraul. Eng. 2018, 49, 303–312. [Google Scholar]
- Fu, Y.; Jiang, J.; Li, Y.; Ying, R. Calculation of pipe water hammer pressure with liquid column separation by improved two-fluid model. Trans. Chin. Soc. Agric. Eng. 2018, 34, 58–65. [Google Scholar]
- Fu, Y.; Jiang, J.; Li, Y.; Ying, R. Water hammer simulated method based on two-fluid model in two-phase flow. J. Huazhong Univ. Sci. Technol. 2018, 46, 126–132. [Google Scholar]
- Han, K.; Ding, F.; Mao, Z. Solving water column separation and cavity collapse for pipelines by semi-analytical method. Trans. Chin. Soc. Agric. Eng. 2019, 35, 33–39. [Google Scholar]
- Twyman, J. Transient flow analysis using the method of characteristics MOC with five-point interpolation scheme. Obras Proy. 2018, 24, 62–70. [Google Scholar] [CrossRef]
- Fan, L.; Wang, F.; Li, H. Characteristic-line-based model predictive control for hyperbolic distributed parameter systems and its application. Control. Theory Appl. 2013, 30, 1329–1334. [Google Scholar]
- Napolitano, M. Computational fluid dynamics in Europe, a personal view. Acta Aerodyn. Sin. 2016, 34, 139–156. [Google Scholar]
- Zhang, D. Discrete integrable systems: Multidimensional consistency. Acta Phys. Sin. 2020, 69, 010202. [Google Scholar] [CrossRef]
- Zhang, Z.; Wang, J.; Li, Y.; Liu, H.; Meng, W.; Li, L. Research on the Influence of Production Fluctuation of High-Production Gas Well on Service Security of Tubing String. Oil Gas Sci. Technol. 2021, 76, 54. [Google Scholar] [CrossRef]
- Nerella, R.; Rathnam, E.V. Fluid Transients and Wave Propagation in Pressurized Conduits Due to Valve Closure. Procedia Eng. 2015, 127, 1158–1164. [Google Scholar] [CrossRef]
- Henclik, S. A Numerical Approach to the Standard Model of Water Hammer with Fluid-Structure Interaction. J. Teor. Appl. Mech. 2015, 53, 543–555. [Google Scholar] [CrossRef][Green Version]
- Tomaszewski, A.; Przybylinski, T.; Lackowski, M. Experimental and Numerical Analysis of Multi-Hole Orifice Flow Meter: Investigation of the Relationship between Pressure Drop and Mass Flow Rate. Sensors 2020, 20, 7281. [Google Scholar] [CrossRef] [PubMed]
- Ismaier, A.; Schluecker, E. Fluid dynamic interaction between water hammer and centrifugal pumps. Nucl. Eng. Des. 2009, 239, 3151–3154. [Google Scholar] [CrossRef]
- Zolfaghary, A.H.; Naghashzadegan, M.; Shokri, V. Comparison of Numerical Methods for Two-Fluid Model for Gas–Liquid Transient Flow Regime and Its Application in Slug Modeling Initiation. Iran. J. Sci. Technol. Trans. Mech. Eng. 2018, 43, 663–673. [Google Scholar] [CrossRef]
- Zhai, L.; Yang, J.; Wang, Y. An investigation of transition processes from transient gas–liquid plug to slug flow in horizontal pipe: Experiment and Cost-based recurrence analysis. Nucl. Eng. Des. 2021, 379, 111253. [Google Scholar] [CrossRef]
- Sondermann, C.N.; Freitas, R.; Rachid, F.; Bodstein, G. A suitability analysis of transient one-dimensional two-fluid numerical models for simulating two-phase gas-liquid flows based on benchmark problems. Comput. Fluids 2021, 229, 105070. [Google Scholar] [CrossRef]












| Parameter | Value | Parameter | Value |
|---|---|---|---|
| Density of oil | 841 kg/cm3 | Specific heat of soil | 2225 J/(K·kg) |
| Thermal diffusivity of oil | 5.91 mm2/s | Specific heat of pipe | 465 J/(K·kg) |
| Thermal conductivity of oil | 0.162 W/(m·K) | Specific heat of anticorrosive coating | 2000 J/(K·kg) |
| Coefficient of thermal expansion of oil | 8.3 × 10−4 K−1 | Specific heat of oil | 1900 J/(K·kg) |
| Density of soil | 1455 kg/cm3 | Thermal conductivity of soil | 1.4 W/(m·K) |
| Density of pipe | 7850 kg/cm3 | Thermal conductivity of pipe | 48 W/(m·K) |
| Density of anticorrosive coating | 1200 kg/cm3 | Thermal conductivity of anticorrosive coating | 0.15 W/(m·K) |
Publisher’s Note: MDPI stays neutral with regard to jurisdictional claims in published maps and institutional affiliations. |
© 2022 by the authors. Licensee MDPI, Basel, Switzerland. This article is an open access article distributed under the terms and conditions of the Creative Commons Attribution (CC BY) license (https://creativecommons.org/licenses/by/4.0/).
Share and Cite
Duan, J.; Li, C.; Jin, J. Establishment and Solution of Four Variable Water Hammer Mathematical Model for Conveying Pipe. Energies 2022, 15, 1387. https://doi.org/10.3390/en15041387
Duan J, Li C, Jin J. Establishment and Solution of Four Variable Water Hammer Mathematical Model for Conveying Pipe. Energies. 2022; 15(4):1387. https://doi.org/10.3390/en15041387
Chicago/Turabian StyleDuan, Jiehao, Changjun Li, and Jin Jin. 2022. "Establishment and Solution of Four Variable Water Hammer Mathematical Model for Conveying Pipe" Energies 15, no. 4: 1387. https://doi.org/10.3390/en15041387
APA StyleDuan, J., Li, C., & Jin, J. (2022). Establishment and Solution of Four Variable Water Hammer Mathematical Model for Conveying Pipe. Energies, 15(4), 1387. https://doi.org/10.3390/en15041387
