Abstract
Recently, hydrogen (H2) has emerged as a superior energy carrier that has the potential to replace fossil fuel. However, storing H2 under safe and operable conditions is still a challenging process due to the current commercial method, i.e., H2 storage in a pressurised and liquified state, which requires extremely high pressure and extremely low temperature. To solve this problem, research on solid-state H2 storage materials is being actively conducted. Among the solid-state H2 storage materials, borohydride is a potential candidate for H2 storage owing to its high gravimetric capacity (majority borohydride materials release >10 wt% of H2). Mg(BH4)2, which is included in the borohydride family, shows promise as a good H2 storage material owing to its high gravimetric capacity (14.9 wt%). However, its practical application is hindered by high thermal decomposition temperature (above 300 °C), slow sorption kinetics and poor reversibility. Currently, the general research on the use of additives to enhance the H2 storage performance of Mg(BH4)2 is still under investigation. This article reviews the latest research on additive-enhanced Mg(BH4)2 and its impact on the H2 storage performance. The future prospect and challenges in the development of additive-enhanced Mg(BH4)2 are also discussed in this review paper. To the best of our knowledge, this is the first systematic review paper that focuses on the additive-enhanced Mg(BH4)2 for solid-state H2 storage.
1. Introduction
1.1. Renewable and Sustainable Energy System
The rapid increase in energy consumption worldwide has already raised questions with regard to production issues, energy resource scarcity and serious environmental effects (ozone depletion, global warming, climate change, etc.) [1]. The earth’s oil reserves are finite. Thus, they are not expected to last long. Moreover, it is expected that oil supply in the future will eventually peak and drop with the depletion of these reserves. On a global scale, the “greenhouse effect” is a key environmental issue due to the emission of carbon dioxide and other gases into the atmosphere. The major causes of such an impact are the burning of fossil fuels and deforestation [2].
Due to the productive relationship between clean energy and sustainable growth, renewable energy is often considered to be one of the most reliable solutions. The most urgent task is to take energy-saving measures in order to minimise energy consumption and change the demand situation that renewable energy must meet [3]. Many aspects can contribute to the realization of sustainable development. One of the most crucial aspects is the need to provide a completely sustainable energy [4,5,6] to reduce the world’s dependence on non-renewable resources such as fossil fuel.
1.2. Hydrogen as an Ideal Energy Carrier
Like electricity, hydrogen (H2) can be considered as a superior form of energy carrier that is extremely effective. In addition, H2 has zero or near-zero emissions [7]. H2 is environmentally and climatically clean when derived from green electricity or fossil fuels over the entire energy conversion chain [8]. Furthermore, it can be produced using different renewable (water and solar, wave, geothermal and biomass energies) and non-renewable (nuclear energy, natural gas and coal) resources. Its use may vary from transport and energy production systems that utilise fuel cells, turbines or internal combustion engines and water as a by-product. One of the Earth’s greatest environmental challenges may be solved by H2′s capability to replace fossil fuels in the transportation industry [9,10]. Although the importance of H2 energy has been investigated for many years, researchers are still determining how H2 energy can contribute to a more sustainable environment [11,12,13,14,15]. Some researchers have highlighted the concept of an H2 economy as an imminent possibility [16,17,18]. These studies indicate that the role of H2 energy will become increasingly significant. Numerous researchers have investigated how the world can be transformed into one where the main energy carriers in the energy system are H2 and electricity [19].
The amount of H2′s energy per unit mass is 143 MJkg−1, which is triple that of liquid hydrocarbons [20,21]. According to different storage capacities and application areas, three common types of H2 storage systems can be used, namely (1) compressed H2 gas, (2) liquified H2 and (3) solid-state H2 storage [22,23,24,25,26,27], each with its own benefits and drawbacks. The liquid H2 storage method offers a high volumetric and gravimetric H2 capacity. However, significant energy is required for the liquefying process, and an appropriate container with a sufficient insulation layer is needed to minimise the vaporisation of liquid H2 for a long period of time [28]. Conversely, the technique using compressed H2 gas is commonly used in our society owing to the simple storage method and low cost of the processing and transportation of H2 gas. However, a high-pressure storage has some drawbacks, such as the inability of the required large physical volume to achieve the volumetric target, high cost and safety issues that are still under consideration [29,30].
Storing H2 in a solid-state form is quite promising compared with liquified H2 and compressed H2 gas in terms of safety, energy efficiency, space and cost-effectiveness [31,32,33]. Solid-state H2 storage can be divided in two particular ways: by chemical adsorption (chemisorption), which is based on the simple or complex chemical absorption of atomic H2 in light metal hydrides, and physical adsorption (physisorption), which relies on the adsorption of molecular H2 on high-surface-area materials [34]. Examples of chemisorption materials are metal hydrides, such as Mg2NiH4, LaNi5 and MgH2, and complex hydrides, such as LiAlH4, NaAlH4, LiBH4, Mg(BH4)2 and NaBH4. Meanwhile, carbon-based materials (e.g., carbon nanotubes (CNTs), activated carbon and graphene), zeolite and metal–organic framework (MOF) are examples of physisorption materials. Figure 1 presents the schematic of the H2 absorption mechanism in chemisorption materials and adsorption mechanism in physisorption materials.
Figure 1.
Schematic of hydrogen (a) absorption mechanism in chemisorption materials and (b) adsorption mechanism in physisorption materials [10].
For solid-state H2 storage, chemisorption materials are preferable compared with physisorption materials owing to their high H2 storage capacity and moderate temperature and pressure requirement. Chemisorption materials, especially metal hydrides and complex hydrides, have been thoroughly studied, owing to their significant H2 density and dehydrogenation/rehydrogenation capabilities, while ignoring the requirement for high pressure or low temperature [35]. Previous studies have demonstrated that Mg-based hydrides are potential candidates for solid-state H2 storage because of their excellent reversibility to H2 absorption and desorption, as well as high H2 storage capacity [36,37]. However, their high decomposition temperature and sluggish sorption kinetic properties hinder their commercial application. Meanwhile, researchers have revealed that complex hydrides have high gravimetric and volumetric capacities, enabling them to meet the capacity requirements of H2 storage materials [38,39]. However, the disadvantage is that most complex hydride compounds do not have convenient H2 desorption thermodynamics and/or kinetics and require high temperatures to desorb H2. Moreover, they usually contain impurities. The reversibility of the Ti-doped NaAlH4 catalyst system was first studied by Bogdanovic and Schwickardi [40]. Since then, researchers have exerted significant effort to investigate the properties of complex hydrides as suitable candidates for solid-state H2 storage [41,42,43,44,45].
Borohydrides are an example of complex hydride materials with high H2 storage capacity. As borohydride has high gravimetric and volumetric H2 storage capacity, it shows promise as a good H2 storage material [46]. Research on metal borohydride (M(BH4)n) (where M = Li, Na, Mg, Ca etc.) as a competitor for solid-state H2 storage material began with lithium borohydride (LiBH4) [47]. LiBH4 decomposes into LiH and B, with 13.8 wt% of H2 release along the process [41,48,49,50,51,52]. Mauron et al. [53] conducted a pressure–concentration–temperature (PCT) study on LiBH4, and found that the entropy (ΔS) and enthalpy (ΔH) of dehydrogenation were 115 JK−1 mol−1 H2 and 74 kJ mol−1 H2, respectively. LiBH4 is reversible to H2 desorption and absorption since the dehydrogenation products, lithium hydride (LiH) and boron (B) can absorb H2 at 600 °C under 35-MPa H2 pressure within 12 h [50] or at 727 °C under 15-MPa H2 pressure within 10 h [52] to form LiBH4. The thermal and H2 storage properties of metal borohydrides (M(BH4)n) (where M = Li, Na, Mg and Ca) are presented in Table 1.
Table 1.
Thermal and hydrogen storage properties of metal borohydrides.
1.3. Characteristic of Mg(BH4)2 Hydrogen Storage System
As a member of the borohydride family, magnesium borohydride (Mg(BH4)2) is an extremely promising H2 storage material owing to its high gravimetric storage density (14.9 wt%) [58,59,60,61,62,63,64,65,66,67]. Theoretically, it is predicted that H2 can be released at rather mild conditions [68,69,70,71,72]. Filinchuk et al. [73] discovered a cubic phase of Mg(BH4)2, which is a complex hydride with a large surface area and a porous structure suitable for H2 adsorption. Mg(BH4)2 can be synthesised by the metathesis of MgCl2 and NaBH4 in diethyl ether, as expressed in Equation (1) [74]:
MgCl2 + 2NaBH4 → Mg(BH4)2 + 2NaCl
Bateni et al. [75] studied a new method for synthesis of Mg(BH4)2 by the milling of MgBr2 and NaBH4. Mg(BH4)2 was extracted from the reaction product (Mg(BH4)2 + NaBr) by Soxhlet with diethyl ether. In another report, Cerny et al. [76] synthesised the solvent-free Mg(BH4)2 by the metathesis of LiBH4 and MgCl2 in diethyl ether, and found that their method is more efficient than the previously reported reaction from NaBH4 and MgCl2, which yields a solvated product that is rather amorphous.
Several theoretically predicted Mg(BH4)2 structures have been published, demonstrating an “outstanding divergence between experiment and theory” [60,77]. The high-pressure structures P-4, I41/acd [78], I41/amd [79] and Fddd [80] found by first-principle studies, for example, have been discovered to be more favourable than the experimentally determined P42nm phase of the ultra-dense δ-Mg(BH4)2 [73]. These inconsistencies can lead to an erroneous assessment of thermodynamic properties, affecting the evaluation of Mg(BH4)2′s hydrogen storage characteristics. It was proposed that the small size of the Mg cation, together with the close proximity of BH4, leads to increased repulsive interactions and a condition in which the orientation of the anions plays a significant role [77,81]. Vibrational spectroscopy studies can be used to characterise the local structure of BH4, which can be linked to the stability of the compounds.
Chłopek et al. [55] and Matsunaga et al. [63,82] reported that the H2 desorption of Mg(BH4)2 occurs in a two-step pathway as expressed in Equation (2):
Mg(BH4)2 → MgH2 + 2B + 3H2 → Mg + 2B + 4H2
Several studies have shown that pure crystalline Mg(BH4)2 can release mostly pure H2 at 300 °C [74,83,84,85,86]. However, the preceding and subsequent experimental research has continuously demonstrated that decomposition occurs through a two-step pathway at a temperature beyond 200 °C [87,88,89,90]. Fichtner et al. [88] reported that the two-step decomposition of Mg(BH4)2 yielded activation energies of 311 ± 20 and 189 ± 15 kJ mol−1, whereas Ibikunle et al. [91] only obtained a value of 155.2 kJ mol−1 [63]. The characteristic of Mg(BH4)2 is that it has a wide range of crystal structures, and the number of crystals is larger than that of any other known borohydrides. The experiment and theory are presented in Table 2.
Table 2.
Experimental gravimetric (ρm), specific (ρ) and volumetric (ρv) densities of different Mg(BH4)2 polymorphs.
1.4. Modification of the Mg(BH4)2 Properties
Although Mg(BH4)2 shows promise as a solid-state H2 storage material, its high decomposition temperature, slow sorption kinetics and very stable thermodynamic properties hinder its commercial application. To modify the H2 storage properties of Mg(BH4)2, several methods have been employed, such as particle size reduction via ball milling [74,94], the use of catalysts or additives to improve sorption kinetics [74,95,96,97] and alteration of the thermodynamic properties using the destabilised concept (mix of two or more complex metal hydrides) [98,99,100,101,102,103,104,105,106,107,108]. Among these methods, the addition of catalysts or additives to Mg(BH4)2 has been studied rigorously as it significantly improves the H2 storage properties of Mg(BH4)2. A catalyst or additive is generally used to increase the H2 adsorption rate by reducing the activation energy of the dehydrogenation/rehydrogenation reaction. The obvious advantage of the addition of catalysts or additives is that it helps improve the kinetic performance, while the capacity loss is negligible [109]. The authors of this article reviewed the impact of the different groups of catalysts/additives on the H2 storage properties of Mg(BH4)2. In addition, the authors of this article also pointed out the role of catalysts/additives and their catalytic mechanism, and provided opinions on the future prospect and challenges with regard to Mg(BH4)2 as a suitable material for solid-state H2 storage.
2. Hydrogen Storage Behaviour of Additive-Enhanced Mg(BH4)2
2.1. Metals
The addition of metal as a dopant to enhance the H2 storage properties of complex metal hydrides has been widely studied [110,111]. The role of Al was investigated by Jiang et al. [112] on the dehydrogenation and rehydrogenation of Mg(BH4)2. Table 3 presents the sorption properties of Mg(BH4)2 + Al, Mg(BH4)2 + LiH + Al, Mg(BH4)2 + 1/3(Li3AlH6) + 2Al, Mg(BH4)2 + LiAlH4 and pure Mg(BH4)2. Figure 2a shows that the sample Mg(BH4)2 + Al and Mg(BH4)2 + LiH + Al desorption activity was comparable to Mg(BH4)2, with improved the desorption kinetic and reduced the release temperature at the second step. In comparison to Mg(BH4)2, sample Mg(BH4)2 + 1/3(Li3AlH6) + 2Al had more desorption steps, which may be related to the decomposition of Li3AlH6. The process started at about 150 °C, which was 30 °C lower than that of Li3AlH6 in pure LiAlH4. Two other desorption steps can be observed in sample Mg(BH4)2 + LiAlH4, which may cause the decomposition of LiAlH4 to start at approximately 140 °C, which is 30 °C below the decomposition temperature of pure LiAlH4. At 350 °C, the time taken by pristine Mg(BH4)2 to release 90% of H2 was 1911 s, whereas the other samples could complete 90% of desorption below 1700 s at the same temperature. As can be seen from Figure 2b, the rate of desorption of LiH-doped Mg(BH4)2 was significantly low compared with that of the sample containing Al and pure Mg(BH4)2 only. This indicates that Al plays a major role in the improvement of the release kinetics in the Al-doped Mg(BH4)2 samples. The Mg–B–Al–H system is considered to be somewhat reversible. Doped Mg(BH4)2 samples were able to absorb about 1.7, 5.1, 5.0 and 5.7 wt% of H2. The reversibility of the Mg–B–Al–H system is significantly associated with regenerated MgH2 and LiBH4.
Table 3.
Characteristics of hydrogen sorption from different samples [112].
Figure 2.
Dehydrogenation properties of the different samples: (a) Temperature program desorption curves and (b) isothermal desorption kinetics at 350 °C of the Mg-B-Al-H systems [112].
Ball milling is considered to be a useful technique to enhance the kinetics of H2 reaction by altering the microstructures and surface properties [113]. Conversely, Li et al. [74] investigated the effect of ball milling and Ti-based additives on the dehydriding properties of Mg(BH4)2. Compared with the initial dehydriding temperature of the as-synthesised Mg(BH4)2, no significant difference was observed in the sample mixed with Ti, TiH2 and TiB2, whereas the addition of TiO2 reduced the initial dehydriding temperature by about 50 °C. However, the addition of TiCl3 reduced the initial dehydriding temperature from 262 °C to 88 °C, which indicates a reduction of approximately 174 °C. The improvement may be due to the reaction between Mg(BH4)2 and TiCl3, forming unstable MgTix(BH4)(2+nx), which is consistent with the study by Li et al. [114], in which ZrLi(BH4)5 was formed.
Recently, Wang et al. [115] investigated the influence of Ti nanoparticles on the dehydrogenation kinetic and reversibility of Mg(BH4)2, and found that the Ti-doped Mg(BH4)2 sample showed better desorption kinetics than the undoped Mg(BH4)2. The Ti-doped Mg(BH4)2 sample also showed a great improvement in terms of capacity released, in which at 270, 280, and 290 °C, as shown in Figure 3, the doped sample could desorb more H2 within 35 h than Mg(BH4)2 does for each temperature. Moreover, the activation energy for hydrogen release from Mg(BH4)2 also decreased after the addition of Ti nanoparticles. Based on the Arrhenius plot, the activation for Ti–doped Mg(BH4)2 sample was 56.5 kJ/mol, which was lower than that of undoped Mg(BH4)2 (61.1 kJ/mol). From the experimental results, Wang et al. concluded that during the milling and heating process, Ti nanoparticles react with Mg(BH4)2 to generate in situ Ti-based species (TiH1.924 and TiB2). It is believed that TiB2 could act as a heterogeneous nucleation agent, and TiH1.924 could act as a hydrogen pump during the rehydrogenation process. Table 4 presents the effect of several metal catalysts on the desorption and absorption of Mg(BH4)2.
Figure 3.
The dehydrogenation kinetic curves of the undoped Mg(BH4)2 and Ti–doped Mg(BH4)2 samples at 270, 280 and 290 °C, respectively [115].
Table 4.
Effect of several metals on the desorption and absorption kinetic of Mg(BH4)2.
2.2. Metal Oxides
Previous studies have demonstrated that among the catalysts/additives used to improve the H2 storage properties of metal hydrides and complex hydrides, metal oxides are rigorously applied [94,117]. Zavorotynska et al. [118,119] focused on the study of cobalt-based additives used to enhance the sorption properties of Mg(BH4)2 in three cycles, as shown in Figure 4. The first cyclic absorption isotherm (Figure 4b) demonstrates that the grinding of undoped Mg(BH4)2 can increase the rehydrogenation kinetics by two to five times, whereas all additives, except Co3O4, decrease it.
Figure 4.
Isothermal desorption kinetics (a,c,e) and absorption kinetics (b,d,f) of different sample S0–S5 during 3 cycles. γ-Mg(BH4)2 as received (S0), γ-Mg(BH4)2 ball-milled (S1), and γ-Mg(BH4)2 + 2 mol% X (X = CoF3 (S2), Co2B (S3), CoCl2 (S4), Co3O4 (S5)) [118].
In the second cycle, the desorption process of all samples (Figure 4c) was even slower than that in the first cycle, as 90% of the desorption process was completed within 10 h. Although Co2B did not seem to have any major influence and CoF3 slowed down the kinetic rate, Co3O4 and CoCl2 seemed to improve the absorption kinetics. In the third cycle, the desorption kinetics were quicker than those in the second cycle, with a slightly enhancing effect on CoF3 and Co2B, whereas CoCl2 and Co3O4 were slightly negative. Overall, in the first cycle, the desorption kinetic rates were the highest, declining in the second cycle and increasing again in the third cycle. Most additives slightly improved the kinetics in the first cycle but had little effect in the second cycle. CoF3 and Co2B slightly improved the reaction rate in the last cycle, whereas other additives declined the kinetics. Likewise, in the first cycle, the absorption kinetics were the fastest, and then they decreased significantly in the second cycle, whereas in the third cycle, the kinetic rate was the same as that in the first cycle. Additives mainly slowed down the absorption kinetics, and only Co3O4 significantly enhanced the kinetics in all three cycles. It should be noted that the curve in Figure 4 behaved differently in all cycles, especially in desorption. This indicates that the reaction was controlled by a different mechanism, which explains the inconsistency of the reaction rate with the cycle.
Saldan et al. [120] studied the reversible H2 desorption–adsorption of γ-Mg(BH4)2 ball-milled with MoO3 and TiO2. As can be seen from Figure 5, γ-Mg(BH4)2–MoO3 first desorbed H2 at 267 °C, which released approximately 5.1 and 5.6 wt% of H2 after 10 and 15 h, respectively. At a slightly lower temperature, pristine γ-Mg(BH4)2 released about ~4.6 and about ~5.2 wt% of H2 at the same time.
Figure 5.
Hydrogen desorption curves of pristine γ-Mg(BH4)2 and γ-Mg(BH4)2 + 2 mol% MoO3 [120].
The H2 desorption–absorption properties of the mixture of pre-milled TiO2 and γ-Mg(BH4)2–TiO2 were also studied (Figure 6). Most of the H2 release occurred at 270 °C–300 °C, and the H2 cycle occurred at 271 °C. The first vacuum desorption released about 4.0 wt% of H2 after about 40 h and then performed rehydrogenation in about 140 bar of H2. After dehydrogenation, about 2.4 wt% of H2 was reversible in about 70 h. From the solid-state 11B NMR data after the first H2 desorption, there were two peaks at approximately −20 and −50 ppm. These peaks corresponded to the presence of (B3H8)− and higher anionic polyboranes.
Figure 6.
Cycling properties of hydrogen sorption of γ-Mg(BH4)2 + 2 mol % TiO2 [120].
Saldan et al. [121] also conducted a further temperature-programmed desorption (TPD) analysis on Mg(BH4)2 doped with transition metal oxide (TMO). They found that Mg(BH4)2 + TMO (TMO = TiO2 and MoO3) had the same H2 decomposition temperature as pristine Mg(BH4)2 with different intensity distributions of H2. However, the addition of ZrO2 to Mg(BH4)2 slightly reduced its decomposition temperature by about 10 °C, with the same intensity of H2 distributed as pure Mg(BH4)2. Conversely, Mg(BH4)2 doped with Nb2O5 increased the thermal decomposition temperature. The result also indicated that there was no chemical reaction between the additives with Mg(BH4)2 during the milling process for all the TMO-doped Mg(BH4)2 composites. Table 5 summarises the effect of several metal oxides on the desorption and absorption of the Mg(BH4)2 species.
Table 5.
Effect of several metal oxides on the desorption and absorption of Mg(BH4)2.
2.3. Metal Halides
Metal halides are a common type of catalyst/additive used to improve the H2 storage properties of metal hydrides and complex hydrides [122,123]. Al-Kukhun et al. [124] investigated the influence of VCl3, NbF5 and CoCl2 as additives on the improvement of H2 release from Mg(BH4)2. The weight percentage of H2 desorbed was observed at 300 °C after 90 min, where 7.30, 7.30, 8.00 and 10.10 wt% of H2 was liberated from pure Mg(BH4)2 and Mg(BH4)2 doped with VCl3, CoCl2 and NbF5, respectively. Although VCl3 do not enhance the release of H2, the kinetics and degree of H2 release were improved by CoCl2 and NbF5. It should be mentioned that when NbF5 was introduced, the H2 release at 100 °C was 2.6 wt%, whereas the H2 release of other samples was only 0.09 wt%. This proves that the H2 storage properties of Mg(BH4)2 can be improved with NbF5 as a catalyst. From the NMR spectrum, the addition of NbF5 to Mg(BH4)2 resulted in the formation of MgB12H12 intermediate phases during the heating process.
Wang et al. [125] also studied the influence of NbF5 on amorphous Mg(BH4)2 that formed in situ to enhance H2 storage performance. They found that the initial decomposition temperature of pure Mg(BH4)2 was 283 °C, whereas amorphous Mg(BH4)2 and NbF5-doped amorphous Mg(BH4)2 began to release H2 at 127 °C and 120 °C, respectively. However, as a result, the amount of H2 released was slightly decreased to 10.04 wt% for the NbF5-doped amorphous Mg(BH4)2 sample as compared with 10.28 and 10.80 wt% for pure Mg(BH4)2 and amorphous Mg(BH4)2, respectively. From the FTIR result, it was proven that the intermediate MgB12H12 is regenerated during the hydrogenation process. The formation of intermediate MgB12H12 is believed to exert negative effects on the reversibility process in the Mg(BH4)2. However, Yan et al. [126] proved that the intermediate MgB12H12 does not form as a dehydrogenation product of Mg(BH4)2 in their study. The results also indicated that the addition of NbF5 changed the dehydrogenation pathway of Mg(BH4)2 and two new species (MgF2 and NbB2) that formed in situ during the dehydrogenation process. It is believed that the MgF2 and NbB2 species play a major catalytic role in improving the H2 storage properties of NbF5-doped Mg(BH4)2 composite.
Another study by Newhouse et al. [127] focused on the H2 storage properties of Mg(BH4)2 with ScCl3 and TiF3 as catalysts. The addition of 5 mol% TiF3 and ScCl3 can significantly increase both the amount of H2 releases and the rate of H2 desorption of Mg(BH4)2. Mg(BH4)2 added with the catalyst released 9.7 wt% of H2 after being placed at 300 °C for 17 h, whereas pristine Mg(BH4)2 desorbed 7.7 wt% of H2. Compared with the undoped sample that required 10 h, the sample with additives had 95% of the H2 completely desorbed in the first 2 h. The dehydrogenated species, MgB2, fully absorbed the H2 for the sample with and without additives. The formation of Mg(BH4)2 after the hydrogenation process was confirmed via NMR spectroscopy, Raman spectroscopy and power X-ray diffraction. However, the use of additives was beneficial to the formation of stable B–H2 intermediates during the absorption process.
The effects of metal fluorides (CaF2, ZnF2 and TiF3) as additives on the H2 release process of Mg(BH4)2 and its corresponding microstructure evolution were explored by Zhang et al. [128]. It can be seen from Figure 7a and Figure 8a that the first peak that appeared near 150 °C was the polymorphic transition to ε-Mg(BH4)2 from γ-Mg(BH4)2, with 0.65 wt% of H2 released. The second transformation occurred at 200°C, which was the polymorphic transition to β-Mg(BH4)2, releasing 0.35 wt% of H2. When the sample was kept at 295 °C for 5 h, a large quantity of H2 (8.8 wt%) was liberated, as shown in Figure 8a. In comparison with pure Mg(BH4)2, the addition of fluoride triggered the reduction of the decomposition temperature. The addition of CaF2 demonstrated an identical pattern to that of pure Mg(BH4)2, whereas TiF3 and ZnF2 reduced the onset temperature to 50 °C. However, under the same conditions, 4.5 wt% of H2 was released during the transformation from γ-Mg(BH4)2 to the amorphous Mg(BH4)2, as compared with 9.80 wt% for pristine Mg(BH4)2. From the TEM results, all the additives reacted with amorphous Mg(BH4)2 during the dehydrogenation process, confirming that CaF2, ZnF2 and TiF3 acted as additives rather than as catalysts in this study.
Figure 7.
Temperature desorption curves for (a) pristine Mg(BH4)2 and fluoride-doped Mg(BH4)2: (b) CaF2; (c) TiF3 and (d) ZnF2 [128].
Figure 8.
Hydrogen desorption profiles for (a) pristine Mg(BH4)2 and fluoride-doped Mg(BH4)2: (b) CaF2; (c) TiF3 and (d) ZnF2 [128].
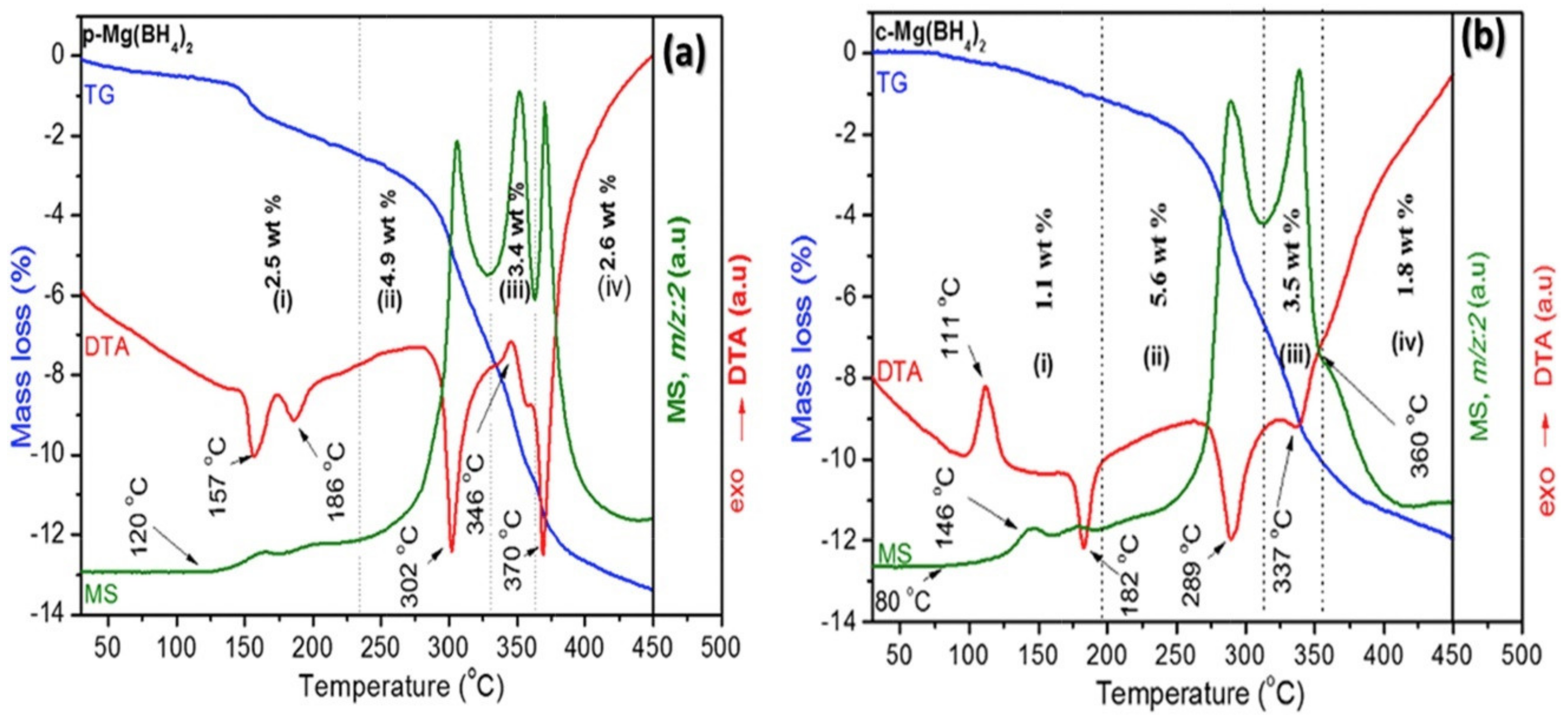
Another study by Kumar et al. [129] focused on ZrCl4-catalysed Mg(BH4)2 and its thermal dehydrogenation properties. As can be seen from Figure 9, the dehydrogenation process of pure Mg(BH4)2 was performed in three steps between 230 °C and 450 °C, releasing approximately 11.0 wt% of H2. The first dehydrogenation reaction started at 230 °C and peaked at 302 °C, releasing 4.90 wt% of H2. Mass spectroscopy (MS) analysis revealed that the second dehydrogenation process occurred at 330 °C, releasing 3.4 wt% of H2. The third endothermic events were associated with the dehydrogenation of MgH2 generated in situ, which occurred between 365 °C and 450 °C, with 2.6 wt% of H2 released. Compared with pure Mg(BH4)2, the onset temperature of catalysed Mg(BH4)2 was lower. The dehydrogenation of Mg(BH4)2 with a catalyst began at 197 °C and peaked at 289 °C, releasing 5.6 wt% of H2. Whereas ZrCl4 exerted mild catalytic effects at 289 °C and 337 °C in the first and second dehydrogenation phases, a solder peak observed at 360 °C indicated an impressive outcome of catalyst in the dehydrogenation of MgH2 formed in situ. According to the Kissinger analysis, the addition of ZrCl4 reduced the activation energy of H2 released from Mg(BH4)2 for the first and second steps. The XPS result indicated that ZrCl4 reduced to ZrCl3 and metallic Zr during the milling process. It is believed that ZrCl3 and metallic Zr formed in situ act as real catalysts in enhancing the dehydrogenation properties of the ZrCl4-doped Mg(BH4)2 composite system.
Figure 9.
TG-DTA-MS measurements of (a) as-milled pure Mg(BH4)2, and (b) as-milled ZrCl4-catalyzed Mg(BH4)2 [129].
Bardaji et al. [130] studied the effect of different metal chlorides (PdCl2, TiCl3, VCl3, MoCl3, RuCl3, CeCl3 and NbCl5) on the dehydrogenation properties of Mg(BH4)2. They found that the H2 desorption of Mg(BH4)2 was slightly improved by the addition of PdCl2, CeCl3, VCl3, MoCl3 and RuCl3. The initial decomposition temperature was reduced even further by adding NbCl5 and TiCl3. TiCl3- and NbCl5-doped samples were able to desorb 6.3 and 5.5 wt% of H2 at 300 °C, respectively, which indicates more than 50% of Mg(BH4)2 H2 storage capacity. The co-catalyst Ti–Nb nanocomposite (mix of TiCl3 and NbCl5) had a positive influence on the dehydrogenation properties of Mg(BH4)2 (decreased up to 125 °C). However, no improvement was observed on the reversibility of Mg(BH4)2 after the addition of catalysts.
Recently, Zheng et al. [131] investigated the effect of dual-cation transition metal fluorides K2NbF7 and K2TiF6 on the reversible hydrogen absorption/desorption properties of Mg(BH4)2. They discovered that 3% K2TiF6 and 3% K2NbF7-doped Mg(BH4)2 had an initial desorption temperature of 105 °C and 118 °C, respectively, which is approximately 200 °C lower than undoped Mg(BH4)2. Meanwhile, the partial reversibility of 3% K2TiF6-doped Mg(BH4)2 was enhanced to 2.7 wt% at 280 °C in 250 min, which is higher comparing to that of undoped Mg(BH4)2. From the XRD, FTIR and 11B nuclear magnetic resonance results, Zheng et al. concluded that the improvement of reversibility performance of Mg(BH4)2 with the presence of K2TiF6 is due to the active hydrides species, KBH4 and TiH2. These active hydride species are formed during the dehydrogenation process by the reaction of Mg(BH4)2 and K2TiF6 and furthermore act as a real catalysing agents to accelerate the re-generation of Mg(BH4)2. Table 6 presents the influence of several metal halide additives on the H2 storage properties of Mg(BH4)2.
Table 6.
Influence of several metal halides additives on the hydrogen storage properties of Mg(BH4)2.
2.4. Carbon-Based Materials
There are several carbon-based materials that have been used as catalysts/additives for the Mg(BH4)2, such as CNTs [132,133,134], carbon nanocomposites [135], two-dimensional MXene [136,137] and graphene [97,138]. The effects of CNTs on the microstructure development and H2 storage performance of Mg(BH4)2 were investigated by Jiang et al. [133]. The addition of CNTs reduced the decomposition temperature but suffered a decrease in H2 desorption capacity from 9.82 to 5.98 wt%. The quickest and most effective H2 desorption process was shown by Mg(BH4)2 doped with 5 wt% CNTs, where the initial temperature decreased to a lower temperature of about 120 °C compared with 155 °C for pristine Mg(BH4)2. The dehydriding kinetics for the sample were recorded at varying temperatures ranging from 200 °C to 300 °C. As the temperature increased, the H2 storage capability increased, whereas the dehydrogenation kinetics accelerated. Mg(BH4)2 doped with 5 wt% CNTs released 1.32 wt% of H2 in 30 min at a temperature of 200 °C and increased to as high as 6.04 wt% of H2 at 300 °C for the same period. After the addition of CNTs, the activation energy, Ea, for H2 desorption was found to be only 130.2 kJ mol−1, which was significantly smaller than that of H2 desorption for pristine Mg(BH4)2, which was 451.6 kJ mol−1. From the results obtained, Jiang et al. [133] concluded that the improvement of the kinetic properties of CNT-doped Mg(BH4)2 was due to the change in the reaction pathway.
Yan et al. [135] studied the effect of carbon nanocomposites on the reversibility of Mg(BH4)2. The Mg(BH4)2–carbon nanocomposites were synthesised by the milling of MgH2 nanoparticles supported on carbon aerogel under a B2H6–H2 atmosphere. The result indicated that the decomposition temperature of as-synthesised Mg(BH4)2–carbon nanocomposites decreased to 160 °C compared with the undoped sample. For the rehydrogenation process, the formation of Mg(BH4)2 occurred under moderate pressure and temperature (80 to 150 bar H2 and 200 °C). From the Kissinger analysis, the apparent activation energy for the dehydrogenation process in the Mg(BH4)2–carbon aerogel sample was reduced by 238 kJ mol−1 compared with undoped Mg(BH4)2, as presented in Figure 10. According to Yan et al., the significantly improved H2 storage properties of Mg(BH4)2 catalysed with carbon nanocomposites may be due to the effect of nanoengineering modification. It is believed that the smaller the particle size, the more the H2 storage properties of complex metal hydrides are improved, as proven in the previous studies on LiBH4 and MgH2 nanocomposite systems [139,140,141].
Figure 10.
Kissinger analysis graph of the Mg(BH4)2/carbon aerogel (MBH-CA) and bulk Mg(BH4)2 [135].
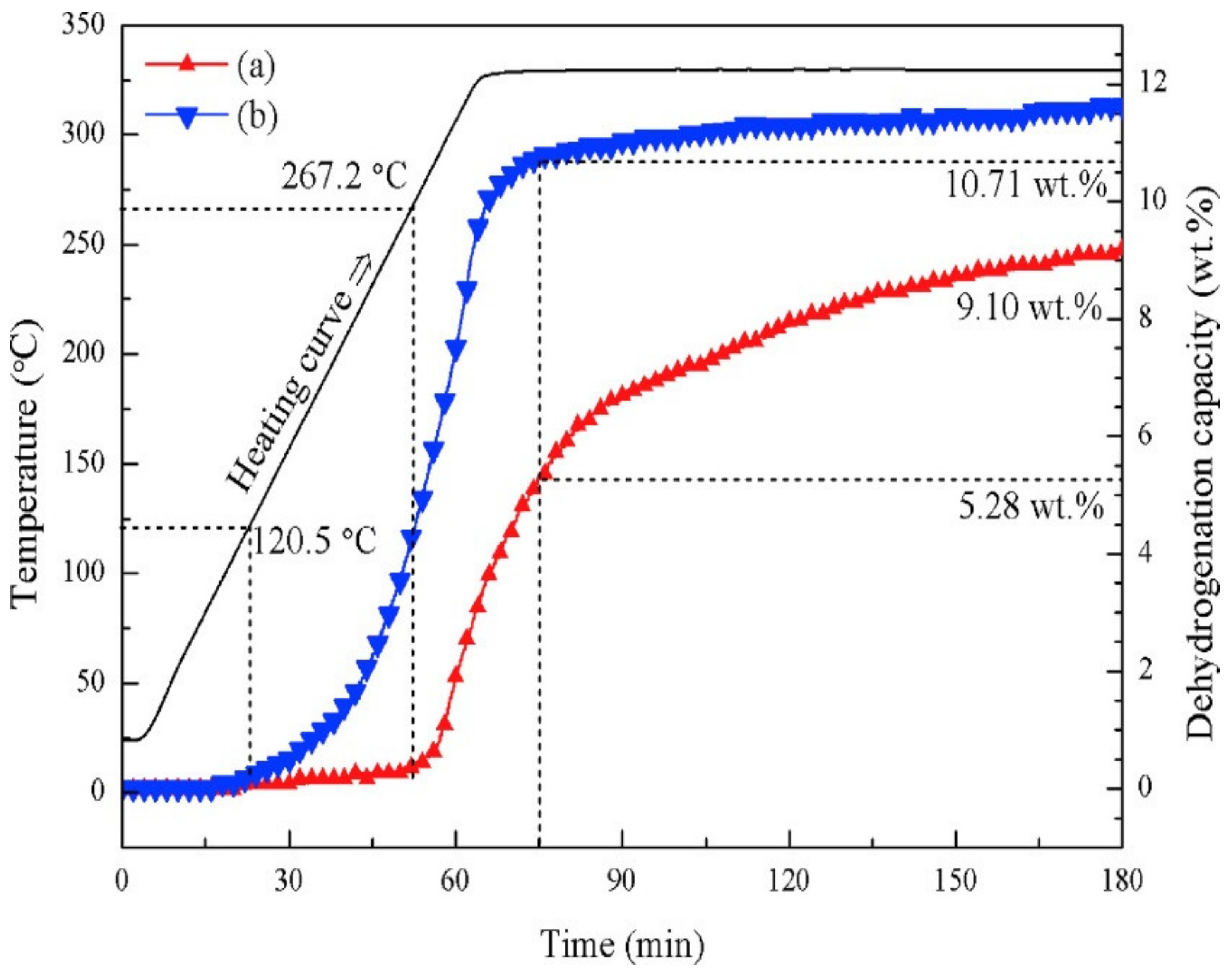
Zheng et al. [136] introduced two-dimensional MXene Ti3C2 to Mg(BH4)2 using a simple ball-milling technique to enhance Mg(BH4)2 dehydrogenation performance. The TPD test revealed that the initial H2 desorption temperature of undoped Mg(BH4)2 was 286.7 °C. A significant decrease in the desorption temperature can be observed in Mg(BH4)2-xTi3C2 hybrids (x = 30, 40 and 50 wt%), where H2 starts to release at much lower temperatures of 133 °C, 125 °C and 116 °C, respectively. Isothermal dehydrogenation tests were conducted, in which, within 10 min after the temperature reached 330 °C, Mg(BH4)2–40Ti3C2 released 10.71 wt% of H2. In the same process, only 5.28 wt% of H2 was detected in the pristine Mg(BH4)2. The entire dehydrogenation process of Mg(BH4)2–40Ti3C2 can be completed within 1 h, releasing 11 wt% of H2. Contrarily, the pristine Mg(BH4)2 released only 9.10 wt% of H2 in 2 h, as presented in Figure 11. The improvement of the dehydrogenation properties of 40Ti3C2-doped Mg(BH4)2 composite may be due to the synergetic catalytic effect of Ti3C2. According to recent reports [142,143], the metal titanium formed in situ can serve as a catalytic site, lowering the energy barrier for H-atom diffusion and weakening the stable ionic bond between Mg2+ and [BH4]−. Table 7 presents the effect of carbon-based metal additives on the desorption and absorption kinetic of the Mg(BH4)2.
Figure 11.
Isothermal dehydrogenation results for (a) pristine Mg(BH4)2 and (b) 40Ti3C2-doped Mg(BH4)2 composite at 330 °C [136].
Table 7.
Effect of carbon-based additives on the desorption and absorption kinetic of Mg(BH4)2.
3. Future Prospects and Challenges
Mg(BH4)2 is a promising material for H2 storage in a solid-state form owing to its high gravimetric capacity (14.9 wt%). However, its drawbacks, such as high decomposition temperature, sluggish sorption kinetics and stable thermodynamic properties, need to be solved prior to its commercial application as a medium for solid-state H2 storage materials. Moreover, the release of other gases, such as diborane, during the dehydrogenation process is also unpleasant. Previous studies indicate that the H2 storage properties of Mg(BH4)2 improves when doped with catalysts/additives. Different types of materials have been utilised as catalysts/additives to reduce the decomposition temperature, improve the sorption kinetics and alter the thermodynamic properties of Mg(BH4)2. The critical aspect is to adjust the thermodynamic stability to ensure the reversibility of Mg(BH4)2 and improve the kinetics at temperatures close to the acceptable and operable range. These problems need to be resolved in future research so that a favourable and convenient H2 storage system can be realised. Some standards that should be focused on are as follows:
- (a)
- Reduce the size of the particle of Mg(BH4)2. Nanostructured materials contain a large surface area, which is conducive to the uniform distribution of the catalyst, inducing more defects on the surface of the particles, uniformly mixing different composite hydrides, making the product heterogeneous nucleation and perhaps reducing the enthalpy of the reaction.
- (b)
- Lower the activation barrier, Ea, for the H2 released from Mg(BH4)2, to understand the role of catalyst/additive and the mechanism of destabilization reactions in changing the properties of H2 bonds to achieve a low temperature. The doping of the catalyst/additive changes the reaction route of the mesophase and alternate reactions. By combining with other hydride materials to form new reactions or new compounds, the thermodynamics of the reaction can be adjusted, and a H2 reaction pathway with lower Ea can be generated.
- (c)
- Alter the thermodynamic properties of Mg(BH4)2. Once the kinetic barrier of H2 desorption is overcome, the H2 flux of desorption is proportional to the thermodynamic capability. In principle, the method to reduce the enthalpy of the H2 reaction should also improve the kinetics for H2 desorption under the relevant condition.
- (d)
- The main problem associated with borohydride as an ideal material for solid-state H2 storage is reversible to H2 absorption and desorption under moderate conditions. For the Mg(BH4)2, it was proven that only the second-stage reaction (MgH2 ↔ Mg + H2) is reversible to H2 absorption and desorption under moderate conditions. Thus, a significant breakthrough is needed to ensure the whole system (first and second stages) can absorb and desorb H2. The use of proper catalysts/additives or engineering modification, such as nanoconfinement, might be the solution for the reversibility problem in Mg(BH4)2.
- (e)
- The degradation of H2 storage capacity during the cycling process (rehydrogenation/dehydrogenation process) for the second stage of Mg(BH4)2 is also a crucial problem. It is important to find a suitable catalyst/additive that can prevent the decline in the H2 storage capacity during the cycling process.
- (f)
- The release of diborane gas, which is toxic, might also have a negative effect. To prevent the release of diborane gas, the reactive hydride composite approach (mix of two or three hydride materials) might offer a good solution through the reaction between hydrides during the milling process or dehydrogenation process.
4. Conclusions
This review provides the latest developments in additive-enhanced Mg(BH4)2 for solid-state H2 storage material. Mg(BH4)2 has shown to be promising as a potential candidate for H2 storage owing to its high gravimetric capacity, which is 14.9 wt%. However, the application of Mg(BH4)2 is hindered by its high decomposition temperature, sluggish sorption kinetic and reversibility at a moderate temperature. To overcome these drawbacks, numerous studies have been conducted, proposing few alternatives. Whether using the ball-milling technique to reduce the particle size or by doping with catalyst/additive to reduce the activation energy of H2 release from Mg(BH4)2, both approaches have been proven to enhance the H2 storage capacity of Mg(BH4)2. Many studies on the ball-milling technique have demonstrated that a smaller particle size can provide a wider surface area for H2 desorption. Other research has focused on the catalyst’s/additive’s efficiency in improving the H2 storage performance of Mg(BH4)2. This article has discussed the advantages of various types of additives and their effects on the storage performance of Mg(BH4)2. The addition of the additive to Mg(BH4)2 provides a lower activation energy for H2 release, therefore decreasing the decomposition temperature and improving the desorption properties of Mg(BH4)2. To enhance the potential of Mg(BH4)2 in advanced H2 storage systems, further research and exploration are needed, especially in the use of proper catalysts/additives or engineering modification to ensure the whole Mg(BH4)2 (first and second stages) is reversible to H2 absorption and desorption under moderate conditions. It is also suggested to explore a new catalyst/additive for Mg(BH4)2 to prevent the decline in H2 storage capacity during the cycling process and to employ a reactive hydride composite approach to prevent the release of diborane gas during the dehydrogenation process of Mg(BH4)2.
Author Contributions
M.A.N.A.: Writing—original draft, review & editing. N.S.: Writing—review & editing. N.A.A.: Writing—review & editing. M.I.: Supervision, Writing—original draft. All authors have read and agreed to the published version of the manuscript.
Funding
This work is supported by the Universiti Malaysia Terengganu through the Golden Goose Research Grant (GGRG) (VOT 55190).
Institutional Review Board Statement
Not applicable.
Informed Consent Statement
Not applicable.
Data Availability Statement
The data presented in this study are available on request from the corresponding author.
Conflicts of Interest
The authors declare no conflict of interest. The funders had no role in the design of the study; in the collection, analyses or interpretation of data; in the writing of the manuscript; or in the decision to publish the results.
References
- Pérez-Lombard, L.; Ortiz, J.; Pout, C. A review on buildings energy consumption information. Energy Build. 2008, 40, 394–398. [Google Scholar] [CrossRef]
- Goldemberg, J. The promise of clean energy. Energy Policy 2006, 34, 2185–2190. [Google Scholar] [CrossRef]
- Omer, A.M. Energy, environment and sustainable development. Renew. Sust. Energy Rev. 2008, 12, 2265–2300. [Google Scholar] [CrossRef]
- Rosen, M.A. Energy efficiency and sustainable development. Int. J. Glob. Energy Issues 2002, 17, 23–34. [Google Scholar] [CrossRef]
- Dincer, I. Technical, environmental and exergetic aspects of hydrogen energy systems. Int. J. Hydrogen Energy 2002, 27, 265–285. [Google Scholar] [CrossRef]
- Dincer, I.; Rosen, M.A. A worldwide perspective on energy, environment and sustainable development. Int. J. Energy Res. 1998, 22, 1305–1321. [Google Scholar] [CrossRef]
- Ogden, J.M. Prospects for building a hydrogen energy infrastructure. Annu. Rev. Energy Environ. 1999, 24, 227–279. [Google Scholar] [CrossRef]
- Winter, C.-J. Hydrogen energy—Abundant, efficient, clean: A debate over the energy-system-of-change. Int. J. Hydrogen Energy 2009, 34, S1–S52. [Google Scholar] [CrossRef]
- Jacobson, M.; Colella, W.; Golden, D. Atmospheric science: Cleaning the air and improving health with hydrogen fuel-cell vehicles. Science 2005, 308, 1901–1905. [Google Scholar] [CrossRef] [Green Version]
- Edwards, P.P.; Kuznetsov, V.L.; David, W.I.F. Hydrogen energy. Philos. Trans. R. Soc. A 2007, 365, 1043–1056. [Google Scholar] [CrossRef]
- Barreto, L.; Makihira, A.; Riahi, K. The hydrogen economy in the 21st century: A sustainable development scenario. Int. J. Hydrogen Energy 2003, 28, 267–284. [Google Scholar] [CrossRef] [Green Version]
- Bockris, J.O.M.; Dunn, S. On hydrogen futures: Toward a sustainable energy system. Author’s reply. Int. J. Hydrogen Energy 2003, 28, 131–135. [Google Scholar] [CrossRef]
- Dincer, I. Renewable energy and sustainable development: A crucial review. Renew. Sust. Energ. Rev. 2000, 4, 157–175. [Google Scholar] [CrossRef]
- Veziroǧlu, T.N. Hydrogen movement and the next action: Fossil fuels industry and sustainability economics. Int. J. Hydrogen Energy 1997, 22, 551–556. [Google Scholar] [CrossRef]
- Dunn, S. Hydrogen futures: Toward a sustainable energy system. Int. J. Hydrogen Energy 2002, 27, 235–264. [Google Scholar] [CrossRef]
- Goltsov, V.A.; Veziroglu, T.N. From hydrogen economy to hydrogen civilization. Int. J. Hydrogen Energy 2001, 26, 909–915. [Google Scholar] [CrossRef]
- Goltsov, V.A.; Veziroglu, T.N. A step on the road to hydrogen civilization. Int. J. Hydrogen Energy 2002, 27, 719–723. [Google Scholar] [CrossRef]
- Quakernaat, J. Hydrogen in a global long-term perspective. Int. J. Hydrogen Energy 1995, 20, 485–492. [Google Scholar] [CrossRef]
- Midilli, A.; Ay, M.; Dincer, I.; Rosen, M.A. On hydrogen and hydrogen energy strategies: I: Current status and needs. Renew. Sust. Energy Rev. 2005, 9, 255–271. [Google Scholar] [CrossRef]
- Mazloomi, K.; Gomes, C. Hydrogen as an energy carrier: Prospects and challenges. Renew. Sust. Energy Rev. 2012, 16, 3024–3033. [Google Scholar] [CrossRef]
- Ley, M.B.; Jepsen, L.H.; Lee, Y.-S.; Cho, Y.W.; Von Colbe, J.M.B.; Dornheim, M.; Rokni, M.; Jensen, J.O.; Sloth, M.; Filinchuk, Y. Complex hydrides for hydrogen storage–New perspectives. Mater. Today 2014, 17, 122–128. [Google Scholar] [CrossRef] [Green Version]
- Rusman, N.; Dahari, M. A review on the current progress of metal hydrides material for solid-state hydrogen storage applications. Int. J. Hydrogen Energy 2016, 41, 12108–12126. [Google Scholar] [CrossRef]
- Zhang, B.; Wu, Y. Recent advances in improving performances of the lightweight complex hydrides Li-Mg-NH system. Prog. Nat. Sci. Mater. Int. 2017, 27, 21–33. [Google Scholar] [CrossRef]
- Zhang, F.; Zhao, P.; Niu, M.; Maddy, J. The survey of key technologies in hydrogen energy storage. Int. J. Hydrogen Energy 2016, 41, 14535–14552. [Google Scholar] [CrossRef]
- Sadhasivam, T.; Kim, H.-T.; Jung, S.; Roh, S.-H.; Park, J.-H.; Jung, H.-Y. Dimensional effects of nanostructured Mg/MgH2 for hydrogen storage applications: A review. Renew. Sust. Energ. Rev. 2017, 72, 523–534. [Google Scholar] [CrossRef]
- Jia, Y.; Sun, C.; Shen, S.; Zou, J.; Mao, S.S.; Yao, X. Combination of nanosizing and interfacial effect: Future perspective for designing Mg-based nanomaterials for hydrogen storage. Renew. Sust. Energy Rev. 2015, 44, 289–303. [Google Scholar] [CrossRef]
- Niaz, S.; Manzoor, T.; Pandith, A.H. Hydrogen storage: Materials, methods and perspectives. Renew. Sust. Energy Rev. 2015, 50, 457–469. [Google Scholar] [CrossRef]
- Takeichi, N.; Senoh, H.; Yokota, T.; Tsuruta, H.; Hamada, K.; Takeshita, H.T.; Tanaka, H.; Kiyobayashi, T.; Takano, T.; Kuriyama, N. “Hybrid hydrogen storage vessel”, a novel high-pressure hydrogen storage vessel combined with hydrogen storage material. Int. J. Hydrogen Energy 2003, 28, 1121–1129. [Google Scholar] [CrossRef]
- Haaland, A. High-Pressure Conformable Hydrogen Storage for Fuel Cell Vehicles. In Proceedings of the 2000 U.S. DOE Hydrogen Program Review, San Ramon, CA, USA, 9–11 May 2000. [Google Scholar]
- Cowey, K.; Green, K.; Mepsted, G.; Reeve, R. Portable and military fuel cells. Curr. Opin. Solid State Mater. Sci. 2004, 8, 367–371. [Google Scholar] [CrossRef]
- Khafidz, N.Z.A.K.; Yaakob, Z.; Lim, K.L.; Timmiati, S.N. The kinetics of lightweight solid-state hydrogen storage materials: A review. Int. J. Hydrogen Energy 2016, 41, 13131–13151. [Google Scholar] [CrossRef]
- Lahmer, K.; Bessaih, R.; Scipioni, A.; El Ganaoui, M. Simulation of hydrogen absorption in a magnesium hydride tank. Fluid Dyn. Mater. Process. 2014, 10, 149–162. [Google Scholar]
- Sakintuna, B.; Lamari-Darkrim, F.; Hirscher, M. Metal hydride materials for solid hydrogen storage: A review. Int. J. Hydrogen Energy 2007, 32, 1121–1140. [Google Scholar] [CrossRef]
- Principi, G.; Agresti, F.; Maddalena, A.; Russo, S.L. The problem of solid state hydrogen storage. Energy 2009, 34, 2087–2091. [Google Scholar] [CrossRef]
- He, T.; Cao, H.; Chen, P. Complex hydrides for energy storage, conversion, and utilization. Adv. Mater. 2019, 31, 1902757. [Google Scholar] [CrossRef]
- Ouyang, L.; Liu, F.; Wang, H.; Liu, J.; Yang, X.-S.; Sun, L.; Zhu, M. Magnesium-based hydrogen storage compounds: A review. J. Alloys Compd. 2020, 832, 154865. [Google Scholar] [CrossRef]
- Yartys, V.A.; Lototskyy, M.V.; Akiba, E.; Albert, R.; Antonov, V.E.; Ares, J.R.; Baricco, M.; Bourgeois, N.; Buckley, C.E.; Bellosta von Colbe, J.M.; et al. Magnesium based materials for hydrogen based energy storage: Past, present and future. Int. J. Hydrogen Energy 2019, 44, 7809–7859. [Google Scholar] [CrossRef]
- Yang, J.; Hirano, S. Improving the hydrogen reaction kinetics of complex hydrides. Adv. Mater. 2009, 21, 3023–3028. [Google Scholar] [CrossRef]
- Orimo, S.; Nakamori, Y.; Eliseo, J.R.; Zuttel, A.; Jensen, C.M. Complex hydrides for hydrogen storage. Chem. Rev. 2007, 107, 4111–4132. [Google Scholar] [CrossRef]
- Bogdanović, B.; Schwickardi, M. Ti-doped alkali metal aluminium hydrides as potential novel reversible hydrogen storage materials. J. Alloys Compd. 1997, 253, 1–9. [Google Scholar] [CrossRef]
- Züttel, A.; Rentsch, S.; Fischer, P.; Wenger, P.; Sudan, P.; Mauron, P.; Emmenegger, C. Hydrogen storage properties of LiBH4. J. Alloys Compd. 2003, 356, 515–520. [Google Scholar] [CrossRef]
- Chen, P.; Xiong, Z.; Luo, J.; Lin, J.; Tan, K.L. Interaction of hydrogen with metal nitrides and imides. Nature 2002, 420, 302–304. [Google Scholar] [CrossRef]
- Fichtner, M.; Fuhr, O.; Kircher, O. Magnesium alanate—A material for reversible hydrogen storage? J. Alloys Compd. 2003, 356, 418–422. [Google Scholar] [CrossRef]
- Vajo, J.J.; Skeith, S.L.; Mertens, F. Reversible storage of hydrogen in destabilized LiBH4. J. Phys. Chem. B 2005, 109, 3719–3722. [Google Scholar] [CrossRef]
- Aoki, M.; Miwa, K.; Noritake, T.; Kitahara, G.; Nakamori, Y.; Orimo, S.; Towata, S. Destabilization of LiBH4 by mixing with LiNH2. Appl. Phys. A 2005, 80, 1409–1412. [Google Scholar] [CrossRef]
- Jain, I.; Jain, P.; Jain, A. Novel hydrogen storage materials: A review of lightweight complex hydrides. J. Alloys Compd. 2010, 503, 303–339. [Google Scholar] [CrossRef]
- Züttel, A.; Wenger, P.; Rentsch, S.; Sudan, P.; Mauron, P.; Emmenegger, C. LiBH4 a new hydrogen storage material. J. Power Sources 2003, 118, 1–7. [Google Scholar] [CrossRef]
- Nakamori, Y.; Orimo, S.-I. Destabilization of Li-based complex hydrides. J. Alloys Compd. 2004, 370, 271–275. [Google Scholar] [CrossRef]
- Orimo, S.; Nakamori, Y.; Züttel, A. Material properties of MBH4 (M = Li, Na, and K). Mater. Sci. Eng. B 2004, 108, 51–53. [Google Scholar] [CrossRef]
- Orimo, S.-I.; Nakamori, Y.; Kitahara, G.; Miwa, K.; Ohba, N.; Towata, S.-I.; Züttel, A. Dehydriding and rehydriding reactions of LiBH4. J. Alloys Compd. 2005, 404, 427–430. [Google Scholar] [CrossRef]
- Nakamori, Y.; Orimo, S.-I.; Tsutaoka, T. Dehydriding reaction of metal hydrides and alkali borohydrides enhanced by microwave irradiation. Appl. Phys. Lett. 2006, 88, 112104. [Google Scholar] [CrossRef] [Green Version]
- Züttel, A.; Borgschulte, A.; Orimo, S.-I. Tetrahydroborates as new hydrogen storage materials. Scr. Mater. 2007, 56, 823–828. [Google Scholar] [CrossRef]
- Mauron, P.; Buchter, F.; Friedrichs, O.; Remhof, A.; Bielmann, M.; Zwicky, C.N.; Züttel, A. Stability and reversibility of LiBH4. J. Phys. Chem. B 2008, 112, 906–910. [Google Scholar] [CrossRef] [PubMed]
- Urgnani, J.; Torres, F.J.; Palumbo, M.; Baricco, M. Hydrogen release from solid state NaBH4. Int. J. Hydrogen Energy 2008, 33, 3111–3115. [Google Scholar] [CrossRef]
- Chlopek, K.; Frommen, C.; Leon, A.; Zabara, O.; Fichtner, M. Synthesis and properties of magnesium tetrahydroborate, Mg(BH4)2. J. Mater. Chem. 2007, 17, 3496–3503. [Google Scholar] [CrossRef] [Green Version]
- Rönnebro, E.; Majzoub, E.H. Calcium borohydride for hydrogen storage: Catalysis and reversibility. J. Phys. Chem. B 2007, 111, 12045–12047. [Google Scholar] [CrossRef]
- Kumar, S.; Kojima, Y.; Dey, G.K. Synergic effect of ZrCl4 on thermal dehydrogenation kinetics of KBH4. J. Alloys Compd. 2017, 718, 134–138. [Google Scholar] [CrossRef]
- Grochala, W.; Edwards, P.P. Thermal decomposition of the non-interstitial hydrides for the storage and production of hydrogen. Chem. Rev. 2004, 104, 1283–1316. [Google Scholar] [CrossRef]
- Nakamori, Y.; Miwa, K.; Ninomiya, A.; Li, H.; Ohba, N.; Towata, S.-I.; Züttel, A.; Orimo, S.-I. Correlation between thermodynamical stabilities of metal borohydrides and cation electronegativites: First-principles calculations and experiments. Phys. Rev. B 2006, 74, 045126. [Google Scholar] [CrossRef] [Green Version]
- Zavorotynska, O.; El-Kharbachi, A.; Deledda, S.; Hauback, B.C. Recent progress in magnesium borohydride Mg(BH4)2: Fundamentals and applications for energy storage. Int. J. Hydrogen Energy 2016, 41, 14387–14403. [Google Scholar] [CrossRef] [Green Version]
- Severa, G.; Ronnebro, E.; Jensen, C.M. Direct hydrogenation of magnesium boride to magnesium borohydride: Demonstration of >11 weight percent reversible hydrogen storage. Chem. Commun. 2010, 46, 421–423. [Google Scholar] [CrossRef]
- Zhang, Z.G.; Zhang, S.F.; Wang, H.; Liu, J.W.; Zhu, M. Feasibility study of the direct synthesis of Mg(BH4)2 complex hydrides by mechanical milling. J. Alloys Compd. 2010, 505, 717–721. [Google Scholar] [CrossRef]
- Matsunaga, T.; Buchter, F.; Mauron, P.; Bielman, M.; Nakamori, Y.; Orimo, S.; Ohba, N.; Miwa, K.; Towata, S.; Züttel, A. Hydrogen storage properties of Mg(BH4)2. J. Alloys Compd. 2008, 459, 583–588. [Google Scholar] [CrossRef]
- Saldan, I. Decomposition and formation of magnesium borohydride. Int. J. Hydrogen Energy 2016, 41, 11201–11224. [Google Scholar] [CrossRef]
- Zavorotynska, O.; Deledda, S.; Li, G.; Matsuo, M.; Orimo, S.-I.; Hauback, B.C. Isotopic exchange in porous and dense magnesium borohydride. Angew. Chem. Int. Ed. 2015, 54, 10592–10595. [Google Scholar] [CrossRef]
- Harrison, D.; Thonhauser, T. Tuning the hydrogen desorption of Mg(BH4)2 through Zn alloying. Phys. Rev. B 2014, 90, 125152. [Google Scholar] [CrossRef] [Green Version]
- Nforbi, L.N.N.; Talekar, A.; Lau, K.H.; Chellapa, R.; Chien, W.M.; Chandra, D.; Hagemann, H.; Filinchuk, Y.; Zhao, J.C.; Levchenko, A. Vapor pressure measurements of Mg(BH4)2 using Knudsen torsion effusion thermo graphic method. Int. J. Hydrogen Energy 2014, 39, 2175–2186. [Google Scholar] [CrossRef]
- Ozolins, V.; Majzoub, E.; Wolverton, C. First-principles prediction of a ground state crystal structure of magnesium borohydride. Phys. Rev. Lett. 2008, 100, 135501. [Google Scholar] [CrossRef]
- Setten, M.J.V.; Wijs, G.A.D.; Fichtner, M.; Brocks, G. A density functional study of α-Mg(BH4)2. Chem. Mater. 2008, 20, 4952–4956. [Google Scholar] [CrossRef]
- Goumri-Said, S.; Ahmed, R.; Kanoun, M.B. Density-functional theory study of high hydrogen content complex hydrides Mg(BH4)2 at low temperature. Renew. Energy 2016, 90, 114–119. [Google Scholar] [CrossRef]
- Pinatel, E.R.; Albanese, E.; Civalleri, B.; Baricco, M. Thermodynamic modelling of Mg(BH4)2. J. Alloys Compd. 2015, 645, S64–S68. [Google Scholar] [CrossRef] [Green Version]
- Paduani, C.; Jena, P. Role of Ti-based catalysts in the dehydrogenation mechanism of magnesium borohydride: A cluster approach. Int. J. Hydrogen Energy 2013, 38, 2357–2362. [Google Scholar] [CrossRef]
- Filinchuk, Y.; Richter, B.; Jensen, T.R.; Dmitriev, V.; Chernyshov, D.; Hagemann, H. Porous and dense magnesium borohydride frameworks: Synthesis, stability, and reversible absorption of guest species. Angew. Chem. 2011, 50, 11162–11166. [Google Scholar] [CrossRef]
- Li, H.W.; Kikuchi, K.; Nakamori, Y.; Miwa, K.; Towata, S.; Orimo, S. Effects of ball milling and additives on dehydriding behaviors of well-crystallized Mg(BH4)2. Scr. Mater. 2007, 57, 679–682. [Google Scholar] [CrossRef]
- Bateni, A.; Scherpe, S.; Acar, S.; Somer, M. Novel approach for synthesis of magnesium borohydride, Mg(BH4)2. Energy Procedia 2012, 29, 26–33. [Google Scholar] [CrossRef]
- Černý, R.; Filinchuk, Y.; Hagemann, H.; Yvon, K. Magnesium Borohydride: Synthesis and Crystal Structure. Angew. Chem. Int. Ed. 2007, 46, 5765–5767. [Google Scholar] [CrossRef] [Green Version]
- Bil, A.; Kolb, B.; Atkinson, R.; Pettifor, D.G.; Thonhauser, T.; Kolmogorov, A.N. Van der Waals interactions in the ground state of Mg(BH4)2 from density functional theory. Phys. Rev. B 2011, 83, 224103. [Google Scholar] [CrossRef] [Green Version]
- Zhou, X.-F.; Oganov, A.R.; Qian, G.-R.; Zhu, Q. First-principles determination of the structure of magnesium borohydride. Phys. Rev. Lett. 2012, 109, 245503. [Google Scholar] [CrossRef] [Green Version]
- Fan, J.; Bao, K.; Duan, D.-F.; Wang, L.-C.; Liu, B.-B.; Cui, T. High volumetric hydrogen density phases of magnesium borohydride at high-pressure: A first-principles study. Chin. Phys. B 2012, 21, 086104. [Google Scholar] [CrossRef]
- Fan, J.; Duan, D.; Jin, X.; Bao, K.; Liu, B.; Cui, T. Structure determination of ultra dense magnesium borohydride: A first-principles study. J. Chem. Phys. 2013, 138, 214503. [Google Scholar] [CrossRef]
- Łodziana, Z.; van Setten, M.J. Binding in alkali and alkaline-earth tetrahydroborates: Special position of magnesium tetrahydroborate. Phys. Rev. B 2010, 81, 024117. [Google Scholar] [CrossRef] [Green Version]
- Matsunaga, T.; Buchter, F.; Miwa, K.; Towata, S.; Orimo, S.; Züttel, A. Magnesium borohydride: A new hydrogen storage material. Renew. Energy 2008, 33, 193–196. [Google Scholar] [CrossRef]
- Riktor, M.; Sørby, M.; Chłopek, K.; Fichtner, M.; Buchter, F.; Züttel, A.; Hauback, B. In situ synchrotron diffraction studies of phase transitions and thermal decomposition of Mg(BH4)2 and Ca(BH4)2. J. Mater. Chem. 2007, 17, 4939–4942. [Google Scholar] [CrossRef]
- Li, H.-W.; Kikuchi, K.; Nakamori, Y.; Ohba, N.; Miwa, K.; Towata, S.; Orimo, S. Dehydriding and rehydriding processes of well-crystallized Mg(BH4)2 accompanying with formation of intermediate compounds. Acta Mater. 2008, 56, 1342–1347. [Google Scholar] [CrossRef]
- Li, H.-W.; Kikuchi, K.; Sato, T.; Nakamori, Y.; Ohba, N.; Aoki, M.; Miwa, K.; Towata, S.-I.; Orimo, S.-I. Synthesis and hydrogen storage properties of a single-phase magnesium borohydride Mg(BH4)2. Mater. Trans. 2008, 49, 2224–2228. [Google Scholar] [CrossRef] [Green Version]
- Hanada, N.; Chłopek, K.; Frommen, C.; Lohstroh, W.; Fichtner, M. Thermal decomposition of Mg(BH4)2 under He flow and H2 pressure. J. Mater. Chem. 2008, 18, 2611–2614. [Google Scholar] [CrossRef]
- Yan, Y.; Li, H.-W.; Nakamori, Y.; Ohba, N.; Miwa, K.; Towata, S.-I.; Orimo, S.-I. Differential scanning calorimetry measurements of magnesium borohydride Mg(BH4)2. Mater. Trans. 2008, 49, 2751–2752. [Google Scholar] [CrossRef] [Green Version]
- Fichtner, M.; Zhao-Karger, Z.; Hu, J.; Roth, A.; Weidler, P. The kinetic properties of Mg(BH4)2 infiltrated in activated carbon. Nanotechnology 2009, 20, 204029. [Google Scholar] [CrossRef]
- Li, H.; Miwa, K.; Ohba, N.; Fujita, T.; Sato, T.; Yan, Y.; Towata, S.; Chen, M.; Orimo, S. Formation of an intermediate compound with a B12H12 cluster: Experimental and theoretical studies on magnesium borohydride Mg(BH4)2. Nanotechnology 2009, 20, 204013. [Google Scholar] [CrossRef]
- Soloveichik, G.L.; Gao, Y.; Rijssenbeek, J.; Andrus, M.; Kniajanski, S.; Bowman, R.C., Jr.; Hwang, S.-J.; Zhao, J.-C. Magnesium borohydride as a hydrogen storage material: Properties and dehydrogenation pathway of unsolvated Mg(BH4)2. Int. J. Hydrogen Energy 2009, 34, 916–928. [Google Scholar] [CrossRef]
- Ibikunle, A.A.; Goudy, A.J. Kinetics and modeling study of a Mg(BH4)2/Ca(BH4)2 destabilized system. Int. J. Hydrogen Energy 2012, 37, 12420–12424. [Google Scholar] [CrossRef]
- Filinchuk, Y.; Cerny, R.; Hagemann, H. Insight into Mg(BH4)2 with synchrotron X-ray diffraction: Structure revision, crystal chemistry, and anomalous thermal expansion. Chem. Mater. 2009, 21, 925–933. [Google Scholar] [CrossRef] [Green Version]
- Her, J.-H.; Stephens, P.W.; Gao, Y.; Soloveichik, G.L.; Rijssenbeek, J.; Andrus, M.; Zhao, J.-C. Structure of unsolvated magnesium borohydride Mg(BH4)2. Acta Crystallogr. Sect. B Struct. Sci. 2007, 63, 561–568. [Google Scholar] [CrossRef]
- Heere, M.; Zavorotynska, O.; Deledda, S.; Sørby, M.H.; Book, D.; Steriotis, T.; Hauback, B.C. Effect of additives, ball milling and isotopic exchange in porous magnesium borohydride. RSC Adv. 2018, 8, 27645–27653. [Google Scholar] [CrossRef] [Green Version]
- Wahab, M.A.; Jia, Y.; Yang, D.; Zhao, H.; Yao, X. Enhanced hydrogen desorption from Mg(BH4)2 by combining nanoconfinement and a Ni catalyst. J. Mater. Chem. A 2013, 1, 3471–3478. [Google Scholar] [CrossRef]
- Clémençon, D.; Davoisne, C.; Chotard, J.N.; Janot, R. Enhancement of the hydrogen release of Mg(BH4)2 by concomitant effects of nano-confinement and catalysis. Int. J. Hydrogen Energy 2019, 44, 4253–4262. [Google Scholar] [CrossRef]
- Zhang, H.; Xia, G.; Zhang, J.; Sun, D.; Guo, Z.; Yu, X. Graphene-tailored thermodynamics and kinetics to fabricate metal borohydride nanoparticles with high purity and enhanced reversibility. Adv. Energy Mater. 2018, 8, 1702975. [Google Scholar] [CrossRef]
- Juahir, N.; Mustafa, N.S.; Halim Yap, F.A.; Ismail, M. Study on the hydrogen storage properties and reaction mechanism of NaAlH4–Mg(BH4)2 (2:1) with and without TiF3 additive. Int. J. Hydrogen Energy 2015, 40, 7628–7635. [Google Scholar] [CrossRef]
- Sulaiman, N.N.; Ismail, M.; Timmiati, S.N.; Lim, K.L. Improved hydrogen storage performances of LiAlH4 + Mg(BH4)2 composite with TiF3 addition. Int. J. Energy Res. 2021, 45, 2882–2898. [Google Scholar] [CrossRef]
- Dematteis, E.M.; Baricco, M. Hydrogen desorption in Mg(BH4)2-Ca(BH4)2 system. Energies 2019, 12, 3230. [Google Scholar] [CrossRef] [Green Version]
- Chen, J.; Zhang, Y.; Xiong, Z.; Wu, G.; Chu, H.; He, T.; Chen, P. Enhanced hydrogen desorption from the Co-catalyzed LiBH4–Mg(BH4)2 eutectic composite. Int. J. Hydrogen Energy 2012, 37, 12425–12431. [Google Scholar] [CrossRef]
- Grube, E.; Jensen, S.R.H.; Nielsen, U.G.; Jensen, T.R. Reactivity of magnesium borohydride–Metal hydride composites, γ-Mg(BH4)2-MHx, M = Li, Na, Mg, Ca. J. Alloys Compd. 2019, 770, 1155–1163. [Google Scholar] [CrossRef]
- Liu, Y.; Yang, Y.; Zhou, Y.; Zhang, Y.; Gao, M.; Pan, H. Hydrogen storage properties and mechanisms of the Mg(BH4)2-NaAlH4 system. Int. J. Hydrogen Energy 2012, 37, 17137–17145. [Google Scholar] [CrossRef]
- Pan, H.; Shi, S.; Liu, Y.; Li, B.; Yang, Y.; Gao, M. Improved hydrogen storage kinetics of the Li-Mg-N-H system by addition of Mg(BH4)2. Dalton Trans. 2013, 42, 3802–3811. [Google Scholar] [CrossRef] [PubMed]
- Paskevicius, M.; Ley, M.B.; Sheppard, D.A.; Jensen, T.R.; Buckley, C.E. Eutectic melting in metal borohydrides. Phys. Chem. Chem. Phys. 2013, 15, 19774–19789. [Google Scholar] [CrossRef] [Green Version]
- Yang, Y.; Gao, M.; Liu, Y.; Wang, J.; Gu, J.; Pan, H.; Guo, Z. Multi-hydride systems with enhanced hydrogen storage properties derived from Mg(BH4)2 and LiAlH4. Int. J. Hydrogen Energy 2012, 37, 10733–10742. [Google Scholar] [CrossRef]
- Yu, X.B.; Guo, Y.H.; Sun, D.L.; Yang, Z.X.; Ranjbar, A.; Guo, Z.P.; Liu, H.K.; Dou, S.X. A combined hydrogen storage system of Mg(BH4)2-LiNH2 with favorable dehydrogenation. J. Phys. Chem. C 2010, 114, 4733–4737. [Google Scholar] [CrossRef]
- Castilla-Martinez, C.A.; Moury, R.; Ould-Amara, S.; Demirci, U.B. Destabilization of boron-based compounds for hydrogen storage in the solid-state: Recent advances. Energies 2021, 14, 7003. [Google Scholar] [CrossRef]
- Liu, C.; Li, F.; Ma, L.P.; Cheng, H.M. Advanced materials for energy storage. Adv. Mater. 2010, 22, E28–E62. [Google Scholar] [CrossRef]
- Shi, B.; Song, Y.; Dai, J.H.; Yu, H.Z. Influence of Ti and Al dopants on the dehydrogenation characteristics of Mg(BH4)2: Electronic structure mechanisms. J. Phys. Chem. C 2012, 116, 12001–12007. [Google Scholar] [CrossRef]
- Huang, Z.; Wang, Y.; Wang, D.; Yang, F.; Wu, Z.; Wu, L.; Zhang, Z. Role of native defects and the effects of metal additives on the kinetics of magnesium borohydride. Phys. Chem. Chem. Phys. 2019, 21, 11226–11233. [Google Scholar] [CrossRef]
- Jiang, J.; Wei, J.; Leng, H.; Li, Q.; Chou, K.-C. Effect of Al on the hydrogen storage properties of Mg(BH4)2. Int. J. Hydrogen Energy 2013, 38, 10919–10925. [Google Scholar] [CrossRef]
- Zaluska, A.; Zaluski, L.; Ström-Olsen, J. Sodium alanates for reversible hydrogen storage. J. Alloys Compd. 2000, 298, 125–134. [Google Scholar] [CrossRef]
- Li, H.-W.; Orimo, S.-I.; Nakamori, Y.; Miwa, K.; Ohba, N.; Towata, S.; Züttel, A. Materials designing of metal borohydrides: Viewpoints from thermodynamical stabilities. J. Alloys Compd. 2007, 446, 315–318. [Google Scholar] [CrossRef] [Green Version]
- Wang, X.; Xiao, X.; Zheng, J.; Hang, Z.; Lin, W.; Yao, Z.; Zhang, M.; Chen, L. The dehydrogenation kinetics and reversibility improvements of Mg(BH4)2 doped with Ti nano-particles under mild conditions. Int. J. Hydrogen Energy 2021, 46, 23737–23747. [Google Scholar] [CrossRef]
- Saldan, I.; Hino, S.; Humphries, T.D.; Zavorotynska, O.; Chong, M.; Jensen, C.; Deledda, S.; Hauback, B. Structural changes observed during the reversible hydrogenation of Mg(BH4)2 with Ni-based additives. J. Phys. Chem. C 2014, 118, 23376–23384. [Google Scholar] [CrossRef] [Green Version]
- Zhang, L.; Sun, Z.; Yao, Z.; Yang, L.; Yan, N.; Lu, X.; Xiao, B.; Zhu, X.; Chen, L. Excellent catalysis of Mn3O4 nanoparticles on the hydrogen storage properties of MgH2: An experimental and theoretical study. Nanoscale Adv. 2020, 2, 1666–1675. [Google Scholar] [CrossRef] [Green Version]
- Zavorotynska, O.; Saldan, I.; Hino, S.; Humphries, T.; Deledda, S.; Hauback, B. Hydrogen cycling in γ-Mg(BH4)2 with cobalt-based additives. J. Mater. Chem. A 2015, 3, 6592–6602. [Google Scholar] [CrossRef] [Green Version]
- Zavorotynska, O.; Deledda, S.; Vitillo, J.G.; Saldan, I.; Guzik, M.N.; Baricco, M.; Walmsley, J.C.; Muller, J.; Hauback, B.C. Combined X-ray and Raman studies on the effect of cobalt additives on the decomposition of magnesium borohydride. Energies 2015, 8, 9173–9190. [Google Scholar] [CrossRef] [Green Version]
- Saldan, I.; Frommen, C.; Llamas-Jansa, I.; Kalantzopoulos, G.N.; Hino, S.; Arstad, B.; Heyn, R.H.; Zavorotynska, O.; Deledda, S.; Sørby, M.H.; et al. Hydrogen storage properties of γ–Mg(BH4)2 modified by MoO3 and TiO2. Int. J. Hydrogen Energy 2015, 40, 12286–12293. [Google Scholar] [CrossRef]
- Saldan, I.; Llamas-Jansa, I.; Hino, S.; Frommen, C.; Hauback, B. Synthesis and Thermal Decomposition of Mg(BH4)2-TMO(TMO= TiO2; ZrO2; Nb2O5; MoO3) Composites. In IOP Conference Series: Materials Science and Engineering; IOP Publishing: Bristol, UK, 2015; p. 012041. [Google Scholar]
- Wang, Y.; Wang, Y. Recent advances in additive-enhanced magnesium hydride for hydrogen storage. Prog. Nat. Sci. Mater. 2017, 27, 41–49. [Google Scholar] [CrossRef]
- Hino, S.; Fonneløp, J.E.; Corno, M.; Zavorotynska, O.; Damin, A.; Richter, B.; Baricco, M.; Jensen, T.R.; Sørby, M.H.; Hauback, B.C. Halide substitution in magnesium borohydride. J. Phys. Chem. C 2012, 116, 12482–12488. [Google Scholar] [CrossRef] [Green Version]
- Al-Kukhun, A.; Hwang, H.T.; Varma, A. NbF5 additive improves hydrogen release from magnesium borohydride. Int. J. Hydrogen Energy 2012, 37, 17671–17677. [Google Scholar] [CrossRef]
- Wang, X.; Xiao, X.; Zheng, J.; Huang, X.; Chen, M.; Chen, L. In-situ synthesis of amorphous Mg(BH4)2 and chloride composite modified by NbF5 for superior reversible hydrogen storage properties. Int. J. Hydrogen Energy 2020, 45, 2044–2053. [Google Scholar] [CrossRef]
- Yan, Y.; Remhof, A.; Rentsch, D.; Züttel, A. The role of MgB12H12 in the hydrogen desorption process of Mg(BH4)2. Chem. Commun. 2015, 51, 700–702. [Google Scholar] [CrossRef] [Green Version]
- Newhouse, R.J.; Stavila, V.; Hwang, S.-J.; Klebanoff, L.E.; Zhang, J.Z. Reversibility and improved hydrogen release of magnesium borohydride. J. Phys. Chem. C 2010, 114, 5224–5232. [Google Scholar] [CrossRef] [Green Version]
- Zhang, Z.G.; Wang, H.; Liu, J.W.; Zhu, M. Thermal decomposition behaviors of magnesium borohydride doped with metal fluoride additives. Thermochim. Acta 2013, 560, 82–88. [Google Scholar] [CrossRef]
- Kumar, S.; Singh, A.; Nakajima, K.; Jain, A.; Miyaoka, H.; Ichikawa, T.; Dey, G.K.; Kojima, Y. Improved hydrogen release from magnesium borohydride by ZrCl4 additive. Int. J. Hydrogen Energy 2017, 42, 22342–22347. [Google Scholar] [CrossRef]
- Bardají, E.G.; Hanada, N.; Zabara, O.; Fichtner, M. Effect of several metal chlorides on the thermal decomposition behaviour of α-Mg(BH4)2. Int. J. Hydrogen Energy 2011, 36, 12313–12318. [Google Scholar] [CrossRef]
- Zheng, J.; Wang, X.; Xiao, X.; Cheng, H.; Zhang, L.; Chen, L. Improved reversible dehydrogenation properties of Mg(BH4)2 catalyzed by dual-cation transition metal fluorides K2TiF6 and K2NbF7. Chem. Eng. J. 2021, 412, 128738. [Google Scholar] [CrossRef]
- Han, M.; Zhao, Q.; Zhu, Z.; Hu, Y.; Tao, Z.; Chen, J. The enhanced hydrogen storage of micro-nanostructured hybrids of Mg(BH4)2–carbon nanotubes. Nanoscale 2015, 7, 18305–18311. [Google Scholar] [CrossRef]
- Jiang, Z.; Yuan, J.; Han, H.; Wu, Y. Effect of carbon nanotubes on the microstructural evolution and hydrogen storage properties of Mg(BH4)2. J. Alloys Compd. 2018, 743, 11–16. [Google Scholar] [CrossRef]
- Yuan, J.; Huang, H.; Jiang, Z.; Lv, Y.; Liu, B.; Zhang, B.; Yan, Y.; Wu, Y. Ni-doped carbon nanotube-Mg(BH4)2 composites for hydrogen storage. ACS Appl. Nano Mater. 2021, 4, 1604–1612. [Google Scholar] [CrossRef]
- Yan, Y.; Au, Y.S.; Rentsch, D.; Remhof, A.; de Jongh, P.E.; Züttel, A. Reversible hydrogen storage in Mg(BH4)2/carbon nanocomposites. J. Mater. Chem. A 2013, 1, 11177–11183. [Google Scholar] [CrossRef] [Green Version]
- Zheng, J.; Cheng, H.; Xiao, X.; Chen, M.; Chen, L. Enhanced low temperature hydrogen desorption properties and mechanism of Mg(BH4)2 composited with 2D MXene. Int. J. Hydrogen Energy 2019, 44, 24292–24300. [Google Scholar] [CrossRef]
- Feng, X.; Yuan, J.; Lv, Y.; Liu, B.; Huang, H.; Zhang, B.; Yan, Y.; Han, S.; Wu, Y. Improvement of desorption performance of Mg(BH4)2 by two-dimensional Ti3C2 MXene addition. Int. J. Hydrogen Energy 2020, 45, 16654–16662. [Google Scholar] [CrossRef]
- Jeong, S.; Heo, T.W.; Oktawiec, J.; Shi, R.; Kang, S.; White, J.L.; Schneemann, A.; Zaia, E.W.; Wan, L.F.; Ray, K.G.; et al. A mechanistic analysis of phase evolution and hydrogen storage behavior in nanocrystalline Mg(BH4)2 within reduced graphene oxide. ACS Nano 2020, 14, 1745–1756. [Google Scholar] [CrossRef] [Green Version]
- Paskevicius, M.; Sheppard, D.A.; Buckley, C.E. Thermodynamic changes in mechanochemically synthesized magnesium hydride nanoparticles. J. Am. Chem. Soc. 2010, 132, 5077–5083. [Google Scholar] [CrossRef]
- Gross, A.F.; Vajo, J.J.; Van Atta, S.L.; Olson, G.L. Enhanced hydrogen storage kinetics of LiBH4 in nanoporous carbon scaffolds. J. Phys. Chem. C 2008, 112, 5651–5657. [Google Scholar] [CrossRef]
- Liu, X.; Peaslee, D.; Jost, C.Z.; Baumann, T.F.; Majzoub, E.H. Systematic pore-size effects of nanoconfinement of LiBH4: Elimination of diborane release and tunable behavior for hydrogen storage applications. Chem. Mater. 2011, 23, 1331–1336. [Google Scholar] [CrossRef]
- Sun, N.; Xu, B.; Zhao, S.; Sun, Z.; Li, X.; Meng, L. Influences of Al, Ti and Nb doping on the structure and hydrogen storage property of Mg(BH4)2(001) surface–A theoretical study. Int. J. Hydrogen Energy 2015, 40, 10516–10526. [Google Scholar] [CrossRef]
- Mo, X.; Jiang, W.; Cao, S. First-principles study on the dehydrogenation characteristics of LiBH4 modified by Ti. Results Phys. 2017, 7, 3236–3242. [Google Scholar] [CrossRef]
Publisher’s Note: MDPI stays neutral with regard to jurisdictional claims in published maps and institutional affiliations. |
© 2022 by the authors. Licensee MDPI, Basel, Switzerland. This article is an open access article distributed under the terms and conditions of the Creative Commons Attribution (CC BY) license (https://creativecommons.org/licenses/by/4.0/).










