A New Streamwise Scaling for Wind Turbine Wake Modeling in the Atmospheric Boundary Layer
Abstract
1. Introduction
2. Large Eddy Simulation Framework
2.1. LES Governing Equations
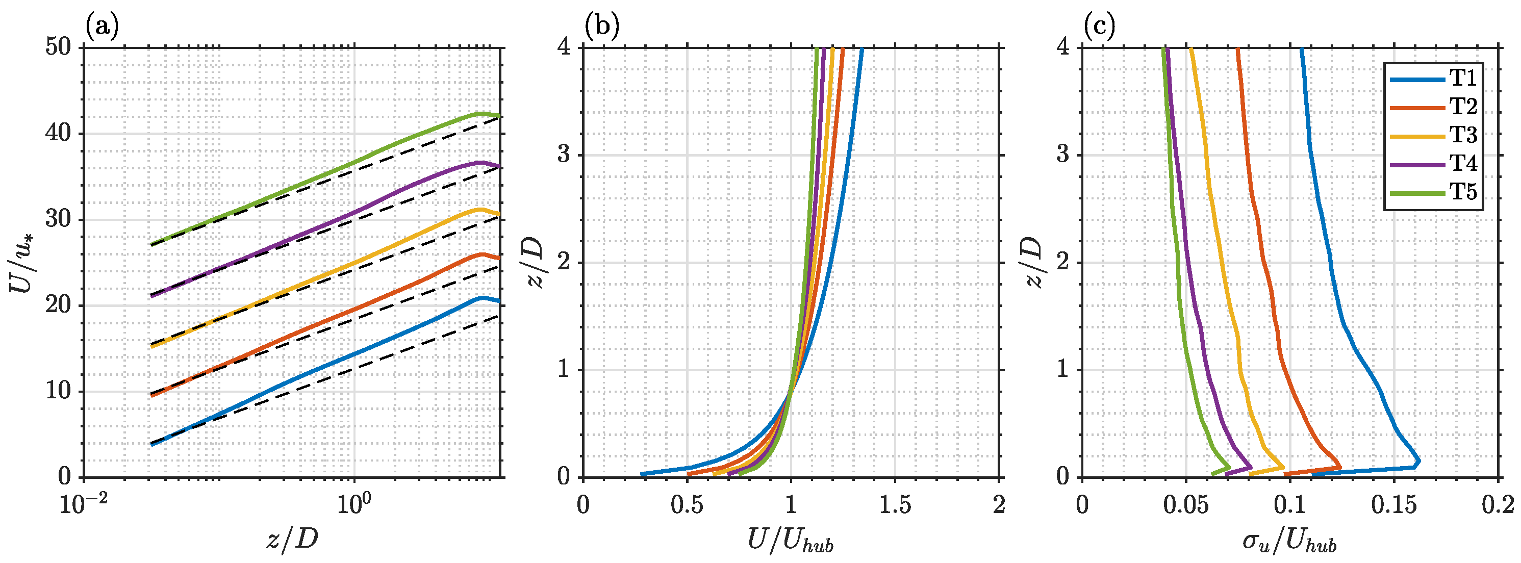
2.2. Numerical Setup and Suite of Simulations
3. New Streamwise Scaling
3.1. Seeking Similarity
3.2. Application of the New Streamwise Scaling
3.2.1. Coupled with the Existing Analytical Models for Wake Expansion
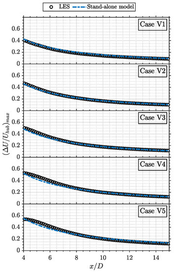
3.2.2. Stand-Alone Model
3.2.3. Effect of the Near-Wake Length Relation
3.2.4. Computational Efficiency
4. Summary and Concluding Remarks
Author Contributions
Funding
Data Availability Statement
Acknowledgments
Conflicts of Interest
References
- Porté-Agel, F.; Bastankhah, M.; Shamsoddin, S. Wind-turbine and wind-farm flows: A review. Bound.-Layer Meteorol. 2020, 174, 1–59. [Google Scholar] [CrossRef] [PubMed]
- Jensen, N. A Note on Wind Turbine Interaction; Riso-M-2411; Risoe National Laboratory: Roskilde, Denmark, 1983; p. 16. [Google Scholar]
- Frandsen, S.; Barthelmie, R.; Pryor, S.; Rathmann, O.; Larsen, S.; Højstrup, J.; Thøgersen, M. Analytical modelling of wind speed deficit in large offshore wind farms. Wind Energy Int. J. Prog. Appl. Wind Power Convers. Technol. 2006, 9, 39–53. [Google Scholar] [CrossRef]
- Bastankhah, M.; Porté-Agel, F. A new analytical model for wind-turbine wakes. Renew. Energy 2014, 70, 116–123. [Google Scholar] [CrossRef]
- Brugger, P.; Fuertes, F.C.; Vahidzadeh, M.; Markfort, C.D.; Porté-Agel, F. Characterization of Wind Turbine Wakes with Nacelle-Mounted Doppler LiDARs and Model Validation in the Presence of Wind Veer. Remote Sens. 2019, 11, 2247. [Google Scholar] [CrossRef]
- Teng, J.; Markfort, C.D. A Calibration Procedure for an Analytical Wake Model Using Wind Farm Operational Data. Energies 2020, 13, 3537. [Google Scholar] [CrossRef]
- Niayifar, A.; Porté-Agel, F. Analytical modeling of wind farms: A new approach for power prediction. Energies 2016, 9, 741. [Google Scholar] [CrossRef]
- Cheng, W.C.; Porté-Agel, F. A simple physically-based model for wind-turbine wake growth in a turbulent boundary layer. Bound.-Layer Meteorol. 2018, 169, 1–10. [Google Scholar] [CrossRef]
- Taylor, G.I. Diffusion by continuous movements. Proc. Lond. Math. Soc. 1922, 2, 196–212. [Google Scholar] [CrossRef]
- Vahidi, D.; Porté-Agel, F. A physics-based model for wind turbine wake expansion in the atmospheric boundary layer. J. Fluid Mech. 2022, 943, A49. [Google Scholar] [CrossRef]
- Townsend, A. The Structure of Turbulent Shear Flow; Cambridge University Press: Cambridge, UK, 1980. [Google Scholar]
- Tennekes, H.; Lumley, J.L.; Lumley, J.L. A First Course in Turbulence; MIT Press: Cambridge, MA, USA, 1972. [Google Scholar]
- George, W.K. The self-preservation of turbulent flows and its relation to initial conditions and coherent structures. Adv. Turbul. 1989, 3973. [Google Scholar]
- Pope, S.B. Turbulent Flows; Cambridge University Press: Cambridge, UK, 2001. [Google Scholar]
- Xie, S.; Archer, C. Self-similarity and turbulence characteristics of wind turbine wakes via large-eddy simulation. Wind Energy 2015, 18, 1815–1838. [Google Scholar] [CrossRef]
- Abkar, M.; Porté-Agel, F. Influence of atmospheric stability on wind-turbine wakes: A large-eddy simulation study. Phys. Fluids 2015, 27, 035104. [Google Scholar] [CrossRef]
- Bastankhah, M.; Porté-Agel, F. Experimental and theoretical study of wind turbine wakes in yawed conditions. J. Fluid Mech. 2016, 806, 506–541. [Google Scholar] [CrossRef]
- Dar, A.S.; Porté-Agel, F. Wind turbine wakes on escarpments: A wind-tunnel study. Renew. Energy 2022, 181, 1258–1275. [Google Scholar] [CrossRef]
- Shamsoddin, S.; Porté-Agel, F. A model for the effect of pressure gradient on turbulent axisymmetric wakes. J. Fluid Mech. 2018, 837, R3. [Google Scholar] [CrossRef]
- Dar, A.S.; Porté-Agel, F. An Analytical Model for Wind Turbine Wakes under Pressure Gradient. Energies 2022, 15, 5345. [Google Scholar] [CrossRef]
- Shamsoddin, S.; Porté-Agel, F. Effect of aspect ratio on vertical-axis wind turbine wakes. J. Fluid Mech. 2020, 889, R1. [Google Scholar] [CrossRef]
- Meunier, P.; Spedding, G.R. A loss of memory in stratified momentum wakes. Phys. Fluids 2004, 16, 298–305. [Google Scholar] [CrossRef]
- Li, Z.; Yang, X. Large-eddy simulation on the similarity between wakes of wind turbines with different yaw angles. J. Fluid Mech. 2021, 921, A11. [Google Scholar] [CrossRef]
- Uddin, M.; Pollard, A. Self-similarity of coflowing jets: The virtual origin. Phys. Fluids 2007, 19, 068103. [Google Scholar] [CrossRef]
- Stoll, R.; Porté-Agel, F. Dynamic subgrid-scale models for momentum and scalar fluxes in large-eddy simulations of neutrally stratified atmospheric boundary layers over heterogeneous terrain. Water Resour. Res. 2006, 42, W01409. [Google Scholar] [CrossRef]
- Wu, Y.T.; Porté-Agel, F. Large-eddy simulation of wind-turbine wakes: Evaluation of turbine parametrisations. Bound.-Layer Meteorol. 2011, 138, 345–366. [Google Scholar] [CrossRef]
- Porté-Agel, F.; Wu, Y.T.; Lu, H.; Conzemius, R.J. Large-eddy simulation of atmospheric boundary layer flow through wind turbines and wind farms. J. Wind Eng. Ind. Aerodyn. 2011, 99, 154–168. [Google Scholar] [CrossRef]
- Wu, Y.T.; Porté-Agel, F. Modeling turbine wakes and power losses within a wind farm using LES: An application to the Horns Rev offshore wind farm. Renew. Energy 2015, 75, 945–955. [Google Scholar] [CrossRef]
- Wu, Y.T.; Porté-Agel, F. Atmospheric turbulence effects on wind-turbine wakes: An LES study. Energies 2012, 5, 5340–5362. [Google Scholar] [CrossRef]
- Revaz, T.; Porté-Agel, F. Large-Eddy Simulation of Wind Turbine Flows: A New Evaluation of Actuator Disk Models. Energies 2021, 14, 3745. [Google Scholar] [CrossRef]
- Lin, M.; Porté-Agel, F. Large-eddy Simulation of a Wind-turbine Array subjected to Active Yaw Control. Wind Energ. Sci. 2022, 7, 2215–2230. [Google Scholar] [CrossRef]
- Mikkelsen, R. Actuator Disc Methods Applied to Wind Turbines. Ph.D. Thesis, Technical University of Denmark, Lyngby, Denmark, 2003. [Google Scholar]
- Chamorro, L.P.; Porté-Agel, F. A wind-tunnel investigation of wind-turbine wakes: Boundary-layer turbulence effects. Bound.-Layer Meteorol. 2009, 132, 129–149. [Google Scholar] [CrossRef]
- Carbajo Fuertes, F.; Markfort, C.D.; Porté-Agel, F. Wind turbine wake characterization with nacelle-mounted wind lidars for analytical wake model validation. Remote Sens. 2018, 10, 668. [Google Scholar] [CrossRef]
- Sørensen, J.N.; Mikkelsen, R.F.; Henningson, D.S.; Ivanell, S.; Sarmast, S.; Andersen, S.J. Simulation of wind turbine wakes using the actuator line technique. Philos. Trans. R. Soc. A Math. Phys. Eng. Sci. 2015, 373, 20140071. [Google Scholar] [CrossRef]
- Hansen, M.O. Aerodynamics of Wind Turbines; Routledge: London, UK, 2015. [Google Scholar]
- Crank, J. The Mathematics of Diffusion; Oxford University Press: New York, NY, USA, 1979. [Google Scholar]
- Reynolds, A. The variation of turbulent Prandtl and Schmidt numbers in wakes and jets. Int. J. Heat Mass Transf. 1976, 19, 757–764. [Google Scholar] [CrossRef]
- Hanna, S. Lagrangian and Eulerian time-scale relations in the daytime boundary layer. J. Appl. Meteorol. 1981, 20, 242–249. [Google Scholar] [CrossRef]
- Zong, H.; Porté-Agel, F. A momentum-conserving wake superposition method for wind farm power prediction. J. Fluid Mech. 2020, 889, A8. [Google Scholar] [CrossRef]
- Neumann, J. Some observations on the simple exponential function as a Lagrangian velocity correlation function in turbulent diffusion. Atmos. Environ. 1978, 12, 1965–1968. [Google Scholar] [CrossRef]
- Vermeulen, P. An experimental analysis of wind turbine wakes. In Proceedings of the 3rd International Symposium on Wind Energy Systems, Lyngby, Denmark, 26–29 August 1980; pp. 431–450. [Google Scholar]










| Case | Roughness (m) | |||||
|---|---|---|---|---|---|---|
| T1 | 0.140 | 0.097 | 0.074 | |||
| T2 | 0.099 | 0.071 | 0.055 | |||
| T3 | 0.077 | 0.055 | 0.043 | |||
| T4 | 0.062 | 0.044 | 0.034 | |||
| T5 | 0.053 | 0.038 | 0.029 | |||
| V1 | 0.127 | 0.076 | 0.056 | |||
| V2 | 0.080 | 0.058 | 0.046 | |||
| V3 | 0.066 | 0.047 | 0.037 | |||
| V4 | 0.056 | 0.038 | 0.031 | |||
| V5 | 0.049 | 0.034 | 0.027 |
| a | b | c | |
|---|---|---|---|
| 1.75 | −0.5 | −1.37 | 0.99 |
Publisher’s Note: MDPI stays neutral with regard to jurisdictional claims in published maps and institutional affiliations. |
© 2022 by the authors. Licensee MDPI, Basel, Switzerland. This article is an open access article distributed under the terms and conditions of the Creative Commons Attribution (CC BY) license (https://creativecommons.org/licenses/by/4.0/).
Share and Cite
Vahidi, D.; Porté-Agel, F. A New Streamwise Scaling for Wind Turbine Wake Modeling in the Atmospheric Boundary Layer. Energies 2022, 15, 9477. https://doi.org/10.3390/en15249477
Vahidi D, Porté-Agel F. A New Streamwise Scaling for Wind Turbine Wake Modeling in the Atmospheric Boundary Layer. Energies. 2022; 15(24):9477. https://doi.org/10.3390/en15249477
Chicago/Turabian StyleVahidi, Dara, and Fernando Porté-Agel. 2022. "A New Streamwise Scaling for Wind Turbine Wake Modeling in the Atmospheric Boundary Layer" Energies 15, no. 24: 9477. https://doi.org/10.3390/en15249477
APA StyleVahidi, D., & Porté-Agel, F. (2022). A New Streamwise Scaling for Wind Turbine Wake Modeling in the Atmospheric Boundary Layer. Energies, 15(24), 9477. https://doi.org/10.3390/en15249477

