Accuracy Analysis of the Indoor Location System Based on Bluetooth Low-Energy RSSI Measurements
Abstract
1. Introduction
1.1. Related Works
1.2. Contributions of This Work
- Implementing a RSSI-based positioning system in an evacuation management system to support the evacuation guidance used in a building;
- Presenting the successive stages of the system design, together with the selection and design of methods for processing RSSI data;
- Carrying out research and analysis of the RSSI properties based on real measurements in a building;
- Presenting the results of measurements and statistical analyses of the properties of the RSSI parameter of BLE signal transmission between the modules used in the designed system;
- Selecting and identifying the parameters of the RSSI distance dependence model;
- Presenting the results of RSSI measurements and analyses of RSSI recorded under varying environmental conditions in the building, and selecting the data processing method and its parameter using the determination of the nearest locator node detection probability; and
- Verifying the performance of an experimental network of the positioning system, and evaluating the effectiveness of the proximity method. The experimental tests performed were aimed at analyzing the detection range and the impact of shading. The tests also made it possible to determine the mean error and estimate the maximum error of the position determination.
2. Materials and Methods
2.1. Model of the Relationship between Measured RSS Readings and Corresponding Distances
2.2. Locator Module and Wristband Description
2.3. Stage A—Study of the Basic Properties of the RSSI Parameter of the BLE Signal Received by Locator Nodes Used in the Experimental System
2.4. Stage B—Study of the Environmental Effect on the RSSI Characteristics of the Transmitter-Locator System
2.5. Stage C—Testing the Effectiveness of the Evacuation Management System
3. Results of Experiments
3.1. Experimental Research on the Basic Properties of the RSSI Parameter
3.2. Influence of the Environment on the Properties of the RSSI and Data Processing Method
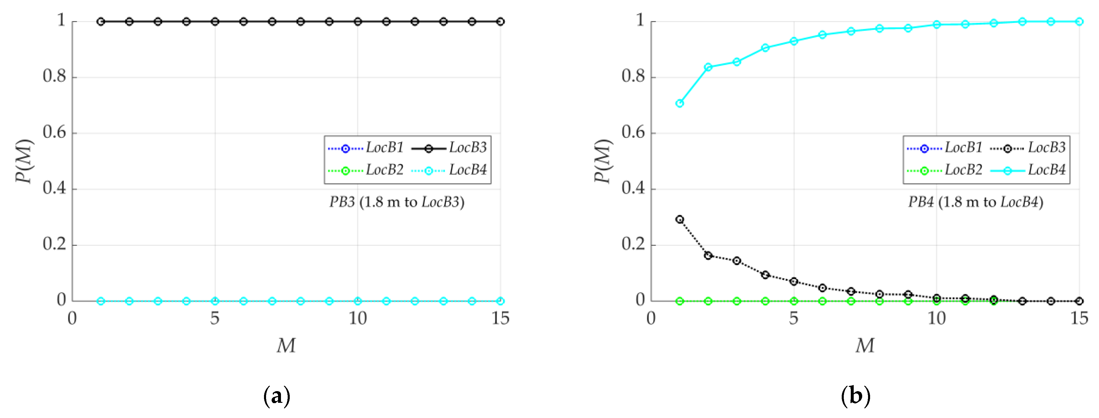
- The proposed system allows to indicate the nearest locator node based on RSSI analysis;
- The system should have the capability to set the value of the M parameter individually for each locator node;
- The optimal value of the M parameter depends on the locator surroundings; and
- In the case of a locator node operating in difficult conditions (small space, presence of interference sources), the accuracy of the location can be estimated at approx. 10 m.
3.3. Analysis of the Effectiveness of Object Detection and the Localization Accuracy of the Experimental Installation of the Evacuation Supervision System
- The tested locator nodes detect the object with the same frequency within a radius of approx. 28 m, which proves that the object is fully detected in this distance range;
- The tested locator nodes can detect an object within a radius of approx. 32 m, but the detection capability decreases by about 50% (see PC10, PC11 and PC12 observed by LocC7), from which it can be concluded that the practical maximum detection range in this system is approx. 35 m;
- The locator nodes can detect an object despite partial shadowing (see detections by LocC5 and LocC6); and
- The locator nodes are unable to detect the object in the case of obscuration that occurs in a perpendicular long corridor (see no LocC7 detections except for PC10, PC11 and PC12).
3.4. The Procedure for Determining the Location of the Object in the Experimental Evacuation Supervision System
| function [object_position] = lf_OnParsedMessage(receiver,time_stamp,target,rssi) % function of estimating the nearest locator with the use of an averaging filter % in a moving window with the size M -> the nearest locator identifier is returned % receiver, time_stamp, target, rssi—measurement record: % receiver name, current time, transmitter name, measured RSSI % object_position — [object identifier, localizer identifier] % fuM_rssi — matrix with the latest RSSI measurements for all localizers % fuM_time — time matrix of the latest RSSI measurements for all localizers % t_del — time after which expired entries are removed from fuM_rssi, fuM_time matrices % M_so — moving window size global fuM_rssi fuM_time M_so t_del if strcmp(receiver, ‘LOC-1’) rec_num = 1; elseif strcmp(receiver, ‘LOC-2’) rec_num = 2; elseif strcmp(receiver, ‘LOC-3’) rec_num = 3; elseif strcmp(receiver, ‘LOC-4’) rec_num = 4; elseif strcmp(receiver, ‘LOC-5’) rec_num = 5; elseif strcmp(receiver, ‘LOC-6’) rec_num = 6; elseif strcmp(receiver, ‘LOC-7’) rec_num = 7; end if strcmp(target, ‘Wristband-001’) targ_num = 1; end % adding a new measurement to the filter matrix if M_so>1 fuM_rssi(2:M_so,rec_num) = fuM_rssi(1:(M_so-1),rec_num); fuM_time(2:M_so,rec_num) = fuM_time(1:(M_so-1),rec_num); end fuM_rssi(1,rec_num) = rssi; fuM_time(1,rec_num) = time_stamp; % erasing items older than t_del [s] ind_t_del = (time_stamp-fuM_time)>t_del; fuM_rssi(ind_t_del) = NaN; fuM_time(ind_t_del) = NaN; % average RSSI for every localizer fuM_rssi_tmp = fuM_rssi; ind = isnan(fuM_rssi); fuM_rssi_tmp(ind) = 0; rssi_mean = sum(fuM_rssi_tmp,1)./sum(~ind,1); % the nearest localizer [~,ind] = max(rssi_mean,[],’omitnan’); obj_num = ind; object_position = [targ_num,obj_num]; end |
4. Conclusions
Author Contributions
Funding
Institutional Review Board Statement
Informed Consent Statement
Data Availability Statement
Conflicts of Interest
References
- ISO/IEC 24730-1:2014; Information Technology—Real-Time Locating Systems (RTLS). 2014. Available online: http://www.iso.org/iso/catalogue_detail.htm?csnumber=59801 (accessed on 7 July 2022).
- Jachimczyk, B.; Dziak, D.; Kulesza, W.J. Using the Fingerprinting Method to Customize RTLS Based on the AoA Ranging Technique. Sensors 2016, 16, 876. [Google Scholar] [CrossRef] [PubMed]
- Bae, Y. Robust Localization for Robot and IoT Using RSSI. Energies 2019, 12, 2212. [Google Scholar] [CrossRef]
- Grzechca, D.; Hanzel, K. The positioning accuracy based on the UWB technology for an object on circular trajectory. Int. J. Electron. Telecommun. 2018, 64, 487–494. [Google Scholar] [CrossRef]
- Depari, A.; Flammini, A.; Fogli, D.; Magrino, P. Indoor Localization for Evacuation Management in Emergency Scenarios. In Proceedings of the 2018 Workshop on Metrology for Industry 4.0 and IoT, Brescia, Italy, 16–18 April 2018; pp. 146–150. [Google Scholar] [CrossRef]
- Zhuang, Y.; Yang, J.; Li, Y.; Qi, L.; El-Sheimy, N. Smartphone-Based Indoor Localization with Bluetooth Low Energy Beacons. Sensors 2016, 16, 596. [Google Scholar] [CrossRef]
- Yan, J.; Tiberius, C.C.J.M.; Janssen, G.J.M.; Teunissen, P.J.G.; Bellusci, G. Review of range-based positioning algorithms. IEEE Aerosp. Electron. Syst. Mag. 2013, 28, 2–27. [Google Scholar] [CrossRef]
- Petrović, M.; Ciężkowski, M.; Romaniuk, S.; Wolniakowski, A.; Miljković, Z. A Novel Hybrid NN-ABPE-Based Calibration Method for Improving Accuracy of Lateration Positioning System. Sensors 2021, 21, 8204. [Google Scholar] [CrossRef]
- Ciężkowski, M.; Romaniuk, S.; Wolniakowski, A. Apparent beacon position estimation for accuracy improvement in lateration positioning system. Measurement 2020, 153, 107400. [Google Scholar] [CrossRef]
- Patwari, N.; Ash, J.N.; Kyperountas, S.; Hero, A.O.; Moses, R.L.; Correal, N.S. Locating the nodes: Cooperative localization in wireless sensor networks. IEEE Signal Process. Mag. 2005, 22, 54–69. [Google Scholar] [CrossRef]
- Guvenc, I.; Chong, C.C. A Survey on TOA Based Wireless Localization and NLOS Mitigation Techniques. IEEE Commun. Surv. Tutor. 2009, 11, 107–124. [Google Scholar] [CrossRef]
- Naik, G.A.; Khedekar, M.P.; Krishnamoorthy, M.; Patil, S.D.; Deshmukh, R.N. Comparison of RSSI techniques in Wireless Indoor Geolocation. In Proceedings of the National Conference on Computing and Communication Systems, Durgapur, India, 21–22 November 2012; pp. 1–5. [Google Scholar] [CrossRef]
- Xiaolong, S.; Shengqi, Y.; Jian, H.; Zhangqin, H. Improved localization algorithm based on RSSI in low power Bluetooth network. In Proceedings of the 2nd International Conference on Cloud Computing and Internet of Things (CCIOT), Dalian, China, 22–23 October 2016; pp. 134–137. [Google Scholar] [CrossRef]
- Zhu, X.; Feng, Y. RSSI-based Algorithm for Indoor Localization. Commun. Netw. 2013, 5, 37–42. [Google Scholar] [CrossRef]
- Su, W.; Liu, E.; Augé, A.C.; Garcia-Villegas, E.; Wang, R.; You, J. Design and Realization of Precise Indoor Localization Mechanism for Wi-Fi Devices. KSII Trans. Internet Inf. Syst. 2016, 10, 5985–6004. [Google Scholar] [CrossRef]
- Botta, M.; Simek, M. Adaptive Distance Estimation Based on RSSI in 802.15.4 Network. Radioengineering 2013, 22, 1162–1168. [Google Scholar]
- Hashim, H.A.; Mohammed, S.L.; Gharghan, S.K. Path Loss Model-Based PSO for Accurate Distance Estimation in Indoor Environments. J. Commun. 2018, 13, 712–722. [Google Scholar] [CrossRef][Green Version]
- Abhayawardhana, V.S.; Wassell, I.J.; Crosby, D.; Sellars, M.P.; Brown, M.G. Comparison of empirical propagation path loss models for fixed wireless access systems. In Proceedings of the IEEE 61st Vehicular Technology Conference, Stockholm, Sweden, 30 May–1 June 2005; Volume 1, pp. 73–77. [Google Scholar] [CrossRef]
- Obeidat, H.; Shuaieb, W.; Obeidat, O.; Abd-Alhameed, R. A Review of Indoor Localization Techniques and Wireless Technologies. Wirel. Pers. Commun. 2021, 119, 289–327. [Google Scholar] [CrossRef]
- Zhou, H.; Liu, J. An Enhanced RSSI-based Framework for Localization of Bluetooth Devices. In Proceedings of the 2022 IEEE International Conference on Electro Information Technology (eIT), Mankato, MN, USA, 19–21 May 2022; pp. 296–304. [Google Scholar] [CrossRef]
- Yang, T.; Cabani, A.; Chafouk, H. A Survey of Recent Indoor Localization Scenarios and Methodologies. Sensors 2021, 21, 8086. [Google Scholar] [CrossRef]
- Janczak, D.; Sankowski, M.; Grishin, Y. Measurement Fusion Using Maximum-likelihood Estimation of Ballistic Trajectories. IET Radar Sonar Navig. 2016, 10, 834–843. [Google Scholar] [CrossRef]
- Ristic, B.; Arulampalam, S.; Gordon, N. Beyond the Kalman Filter: Particle Filters for Tracking Applications; Artech House Radar Library; Artech House: Boston, MA, USA, 2004. [Google Scholar]
- Bałazy, P.; Gut, R.; Knap, P. Positioning algorithm for AGV autonomous driving platform based on artificial neural networks. Robot. Syst. Appl. 2021, 1, 41–45. [Google Scholar] [CrossRef]
- Xiong, J.; Qin, Q.; Zeng, K. A Distance Measurement Wireless Localization Correction Algorithm Based on RSSI. In Proceedings of the Seventh International Symposium on Computational Intelligence and Design, Hangzhou, China, 13–14 December 2014; pp. 276–278. [Google Scholar] [CrossRef]
- Wang, B.; Zhou, S.; Liu, W.; Mo, Y. Indoor localization based on curve fitting and location search using received signal strength. IEEE Trans. Ind. Electron. 2015, 62, 572–582. [Google Scholar] [CrossRef]
- Bullmann, M.; Fetzer, T.; Ebner, F.; Ebner, M.; Deinzer, F.; Grzegorzek, M. Comparison of 2.4 GHz WiFi FTM- and RSSI-Based Indoor Positioning Methods in Realistic Scenarios. Sensors 2020, 20, 4515. [Google Scholar] [CrossRef]
- Liu, W.; Kulin, M.; Kazaz, T.; Shahid, A.; Moerman, I.; De Poorter, E. Wireless Technology Recognition Based on RSSI Distribution at Sub-Nyquist Sampling Rate for Constrained Devices. Sensors 2017, 17, 2081. [Google Scholar] [CrossRef]
- Meng, H.; Yuan, F.; Yan, T.; Zeng, M. Indoor Positioning of RBF Neural Network Based on Improved Fast Clustering Algorithm Combined with LM Algorithm. IEEE Access 2018, 7, 5932–5945. [Google Scholar] [CrossRef]
- Du, J.; Yuan, C.; Yue, M.; Ma, T. A Novel Localization Algorithm Based on RSSI and Multilateration for Indoor Environments. Electronics 2022, 11, 289. [Google Scholar] [CrossRef]
- Grishin, Y.P.; Janczak, D. A Robust Fixed-Lag Smoothing Algorithm in the Presence of Correlated Outliers. In Proceedings of the 2008 International Radar Symposium, Wroclaw, Poland, 21–23 May 2008; pp. 1–4. [Google Scholar] [CrossRef]
- Jańczak, D. Interferences Suppression in Data Fusion Systems. Prz. Elektrotechniczny 2012, 88, 313–316. [Google Scholar]
- Gupta, M.; Gao, J.; Aggarwal, C.C.; Han, J. Outlier Detection for Temporal Data: A Survey. IEEE Trans. Knowl. Data Eng. 2014, 26, 2250–2267. [Google Scholar] [CrossRef]
- Janczak, D.; Grishin, Y.P.; Nikolajew, A. An Adaptive Target Tracking Algorithm for Fluctuating Signals. In Proceedings of the SPIE 7502, Photonics Applications in Astronomy, Communications, Industry, and High-Energy Physics Experiments 2009, 750219, Wilga, Poland, 25–31 May 2009; pp. 362–369. [Google Scholar] [CrossRef]
- Crassidis, J.L.; Junkins, J.L. Optimal Estimation of Dynamic Systems, 2nd ed.; Chapman & Hall/CRC applied mathematics & nonlinear science; CRC Press: Boca Raton, FL, USA, 2012. [Google Scholar]
- Bar-Shalom, Y.; Li, X.-R.; Kirubarajan, T. Estimation with Applications to Tracking and Navigation; John Wiley & Sons, Inc.: New York, NY, USA, 2001. [Google Scholar]
- Cuinas, I. An Introduction to Cybersecurity at Physical Layer: Obstacles at Radio Channel to Mitigate Hackers’ Chance. Elektron. Ir Elektrotechnika 2020, 26, 58–65. [Google Scholar] [CrossRef]
- Mustafa, M.; Alshare, M.; Bhargava, D.; Neware, R.; Singh, B.; Ngulube, P. Perceived Security Risk Based on Moderating Factors for Blockchain Technology Applications in Cloud Storage to Achieve Secure Healthcare Systems. Comput. Math. Methods Med. 2022, 2022, 6112815. [Google Scholar] [CrossRef]
- Slanina, Z. Comprehensive study of parking houses for smart cities. IFAC-PapersOnLine 2022, 55, 1–12. [Google Scholar] [CrossRef]























| d [m] | 1.0 | 2.0 | 3.0 | 4.0 | 5.0 | 6.0 | 7.0 | 8.0 | 9.0 | 10.0 | 12.0 | 15.0 | 20.0 | 23.6 | |
|---|---|---|---|---|---|---|---|---|---|---|---|---|---|---|---|
| SCA1 | mRSSI | −58.3 | −67.5 | −65.1 | −70.8 | −76.1 | −73.5 | −72.8 | −73.5 | - | −77.6 | −77.9 | −76.5 | −79.3 | −84.4 |
| 3.0 | 3.2 | 1.3 | 1.4 | 2.3 | 1.2 | 0.9 | 1.8 | - | 7.6 | 2.3 | 5.1 | 1.7 | 2.0 | ||
| SCA2 | mRSSI | −54.8 | −63.6 | −71.1 | −69.9 | −69.6 | −72.5 | −75.4 | −74.5 | −73.7 | −74.7 | - | - | - | - |
| 1.7 | 3.5 | 2.4 | 3.0 | 4.5 | 6.0 | 4.9 | 2.2 | 4.8 | 3.2 | - | - | - | - |
| LocB1 | LocB2 | LocB3 | LocB4 | ||
|---|---|---|---|---|---|
| PB1 | mRSSI | −64.9 | −71.2 | −72.5 | −74.6 |
| σRSSI | 6.0 | 1.0 | 1.9 | 0.6 | |
| PB2 | mRSSI | −82.4 | −64.9 | −70.0 | −69.2 |
| σRSSI | 2.2 | 11.3 | 3.0 | 1.7 | |
| PB3 | mRSSI | −84.2 | −75.0 | −60.0 | −71.0 |
| σRSSI | 4.5 | 1.3 | 2.7 | 3.2 | |
| PB4 | mRSSI | −86.7 | −78.3 | −71.3 | −67.6 |
| σRSSI | 1.7 | 0.8 | 3.2 | 3.7 | |
| PB5 | mRSSI | −88.6 | −83.7 | −62.9 | −70.5 |
| σRSSI | 4.2 | 5.0 | 3.4 | 0.9 | |
| PB6 | mRSSI | −83.3 | −80.0 | −54.1 | −73.3 |
| σRSSI | 2.6 | 6.1 | 1.5 | 2.6 | |
| PB7 | mRSSI | −78.3 | −77.7 | −61.7 | −72.5 |
| σRSSI | 4.3 | 3.5 | 5.0 | 2.1 |
| Probability of Delay | ||||||||
|---|---|---|---|---|---|---|---|---|
| Δt =1 s | 2 s | 3 s | 4 s | 5 s | 6 s | 7 s | 8 s | |
| LocB1 | 0.819 | 0.112 | 0.041 | 0.014 | 0.004 | 0.002 | 0.003 | 0.041 |
| LocB2 | 0.883 | 0.117 | 0.042 | 0.015 | 0.005 | 0.002 | 0.000 | 0.042 |
| LocB3 | 0.875 | 0.122 | 0.042 | 0.013 | 0.005 | 0.002 | 0.001 | 0.042 |
| LocB4 | 0.829 | 0.107 | 0.036 | 0.012 | 0.004 | 0.002 | 0.000 | 0.036 |
| NPCm | LocC1 | LocC2 | LocC3 | LocC4 | LocC5 | LocC6 | LocC7 |
|---|---|---|---|---|---|---|---|
| PC01 | 1657 | 1668 | 1643 | 1609 | 1669 | 0 | 0 |
| PC02 | 1637 | 1610 | 1576 | 1634 | 1637 | 0 | 0 |
| PC03 | 1619 | 1594 | 1644 | 1047 | 1586 | 0 | 0 |
| PC04 | 1430 | 1172 | 1453 | 1479 | 1048 | 0 | 0 |
| PC05 | 1011 | 1368 | 1401 | 1410 | 1358 | 0 | 0 |
| PC06 | 1537 | 1526 | 1539 | 1514 | 1508 | 23 | 0 |
| PC07 | 1478 | 1482 | 1447 | 1436 | 1462 | 347 | 0 |
| PC081 | 1353 | 1395 | 1386 | 1403 | 1380 | 693 | 0 |
| PC082 | 1586 | 1646 | 1652 | 1588 | 1614 | 1439 | 0 |
| PC09 | 1339 | 1348 | 1378 | 1363 | 1384 | 1070 | 0 |
| PC10 | 1310 | 1509 | 1541 | 1529 | 1536 | 1542 | 49 |
| PC11 | 1003 | 1398 | 1435 | 1445 | 1394 | 1431 | 385 |
| PC12 | 1613 | 1674 | 1623 | 1706 | 1651 | 1628 | 794 |
| PC13 | 1082 | 1186 | 1487 | 1527 | 1446 | 981 | 0 |
| PC14 | 1046 | 1398 | 1432 | 1448 | 1397 | 4 | 0 |
| PC15 | 1060 | 1460 | 1437 | 1482 | 1038 | 623 | 0 |
| d [m] | LocC1 | LocC2 | LocC3 | LocC4 | LocC5 | LocC6 | LocC7 |
|---|---|---|---|---|---|---|---|
| PC01 | 0.32 | 10.04 | 16.06 | 28.02 | 22.69 | 27.46 | 38.09 |
| PC02 | 2.12 | 8.05 | 14.06 | 26.02 | 20.75 | 25.88 | 37.05 |
| PC03 | 4.11 | 6.05 | 12.06 | 24.02 | 18.81 | 24.35 | 36.10 |
| PC04 | 6.11 | 4.05 | 10.06 | 22.02 | 16.90 | 22.90 | 35.24 |
| PC05 | 8.11 | 2.06 | 8.07 | 20.02 | 15.00 | 21.54 | 34.47 |
| PC06 | 10.10 | 0.30 | 6.07 | 18.02 | 13.13 | 20.29 | 33.80 |
| PC07 | 12.10 | 1.98 | 4.07 | 16.02 | 11.31 | 19.16 | 33.23 |
| PC08 | 14.10 | 3.97 | 2.08 | 14.02 | 9.57 | 18.18 | 32.78 |
| PC09 | 16.10 | 5.97 | 0.31 | 12.02 | 7.94 | 17.38 | 32.45 |
| PC10 | 18.10 | 7.97 | 1.96 | 10.02 | 6.53 | 16.78 | 32.24 |
| PC11 | 20.10 | 9.96 | 3.95 | 8.03 | 5.49 | 16.41 | 32.15 |
| PC12 | 22.10 | 11.96 | 5.95 | 6.03 | 5.06 | 16.27 | 32.19 |
| PC13 | 24.10 | 13.96 | 7.95 | 4.03 | 5.40 | 16.38 | 32.35 |
| PC14 | 26.10 | 15.96 | 9.94 | 2.04 | 6.38 | 16.73 | 32.63 |
| PC15 | 28.10 | 17.96 | 11.94 | 0.30 | 7.76 | 17.30 | 33.03 |
| PCm; M | LocC1 | LocC2 | LocC3 | LocC4 | LocC5 | LocC6 | LocC7 |
|---|---|---|---|---|---|---|---|
| PC01; M = 1 | 0.6943 | 0.1654 | 0.1159 | 0.0204 | 0.0040 | 0 | 0 |
| PC01; M = 2 | 0.8678 | 0.0897 | 0.0387 | 0.0032 | 0.0006 | 0 | 0 |
| PC01; M = 3 | 0.8413 | 0.1102 | 0.0482 | 0.0002 | 0 | 0 | 0 |
| PC01; M = 4 | 0.9040 | 0.0690 | 0.0267 | 0.0004 | 0 | 0 | 0 |
| PC01; M = 5 | 0.9251 | 0.0565 | 0.0185 | 0 | 0 | 0 | 0 |
| PC01; M = 6 | 0.9454 | 0.0407 | 0.0140 | 0 | 0 | 0 | 0 |
| PC01; M = 7 | 0.9561 | 0.0345 | 0.0095 | 0 | 0 | 0 | 0 |
| PC01; M = 8 | 0.9582 | 0.0335 | 0.0083 | 0 | 0 | 0 | 0 |
| PC01; M = 9 | 0.9669 | 0.0261 | 0.0070 | 0 | 0 | 0 | 0 |
| PC01; M = 10 | 0.9707 | 0.0232 | 0.0061 | 0 | 0 | 0 | 0 |
| PC01; M = 11 | 0.9749 | 0.0215 | 0.0036 | 0 | 0 | 0 | 0 |
| PC01; M = 12 | 0.9820 | 0.0144 | 0.0035 | 0 | 0 | 0 | 0 |
| PC01; M = 13 | 0.9837 | 0.0136 | 0.0027 | 0 | 0 | 0 | 0 |
| PC01; M = 14 | 0.9897 | 0.0074 | 0.0029 | 0 | 0 | 0 | 0 |
| PC01; M = 15 | 0.9900 | 0.0072 | 0.0028 | 0 | 0 | 0 | 0 |
| PCm; M | LocC1 | LocC2 | LocC3 | LocC4 | LocC5 | LocC6 | LocC7 |
|---|---|---|---|---|---|---|---|
| PC02; M = 1 | 1 | 0 | 0 | 0 | 0 | 0 | 0 |
| PC02; M = 2 | 1 | 0 | 0 | 0 | 0 | 0 | 0 |
| PC02; M = 3 | 1 | 0 | 0 | 0 | 0 | 0 | 0 |
| PC02; M = 4 | 1 | 0 | 0 | 0 | 0 | 0 | 0 |
| PC02; M = 5 | 1 | 0 | 0 | 0 | 0 | 0 | 0 |
| PC02; M = 6 | 1 | 0 | 0 | 0 | 0 | 0 | 0 |
| PC02; M = 7 | 1 | 0 | 0 | 0 | 0 | 0 | 0 |
| PC02; M = 8 | 1 | 0 | 0 | 0 | 0 | 0 | 0 |
| PC02; M = 9 | 1 | 0 | 0 | 0 | 0 | 0 | 0 |
| PC02; M = 10 | 1 | 0 | 0 | 0 | 0 | 0 | 0 |
| M | 1 | 2 | 3 | 4 | 5 | 6 | 7 | 8 | 9 | 10 | 11 | 12 | 13 | 14 | 15 |
|---|---|---|---|---|---|---|---|---|---|---|---|---|---|---|---|
| [m] | 3.55 | 3.38 | 3.42 | 3.38 | 3.37 | 3.35 | 3.34 | 3.32 | 3.29 | 3.29 | 3.29 | 3.30 | 3.31 | 3.30 | 3.29 |
| d > 2 | d > 4 | d > 6 | d > 8 | d > 10 | d > 12 | d > 14 | d > 16 | d > 17 | d > 18 | d > 20 | d > 22 | d > 24 | d > 26 | d > 28 | |
|---|---|---|---|---|---|---|---|---|---|---|---|---|---|---|---|
| M = 1 | 0.6763 | 0.3548 | 0.2477 | 0.0707 | 0.0287 | 0.0135 | 0.0117 | 0.0117 | 0.0016 | 0.0016 | 0.0016 | 0.0016 | 0.0013 | 0.0013 | 0.0013 |
| M = 2 | 0.6671 | 0.3467 | 0.2253 | 0.0607 | 0.0194 | 0.0058 | 0.0055 | 0.0055 | 0.0002 | 0.0002 | 0.0002 | 0.0002 | 0.0002 | 0.0002 | 0.0002 |
| M = 3 | 0.6674 | 0.3484 | 0.2303 | 0.0687 | 0.0244 | 0.0051 | 0.0050 | 0.0050 | 1.6 × 10−5 | 1.6 × 10−5 | 1.6 × 10−5 | 1.6 × 10−5 | 1.6 × 10−5 | 1.6 × 10−5 | 1.6 × 10−5 |
| M = 4 | 0.6590 | 0.3428 | 0.2262 | 0.0712 | 0.0246 | 0.0036 | 0.0036 | 0.0036 | 2.4 × 10−5 | 2.4 × 10−5 | 2.4 × 10−5 | 2.4 × 10−5 | 2.4 × 10−5 | 2.4 × 10−5 | 2.4 × 10−5 |
| M = 5 | 0.6535 | 0.3385 | 0.2247 | 0.0745 | 0.0261 | 0.0029 | 0.0029 | 0.0029 | 0 | 0 | 0 | 0 | 0 | 0 | 0 |
| M = 6 | 0.6498 | 0.3357 | 0.2231 | 0.0758 | 0.0260 | 0.0024 | 0.0024 | 0.0024 | 0 | 0 | 0 | 0 | 0 | 0 | 0 |
| M = 7 | 0.6490 | 0.3362 | 0.2221 | 0.0752 | 0.0246 | 0.0020 | 0.0020 | 0.0020 | 0 | 0 | 0 | 0 | 0 | 0 | 0 |
| M = 8 | 0.6473 | 0.3355 | 0.2185 | 0.0737 | 0.0215 | 0.0017 | 0.0017 | 0.0017 | 0 | 0 | 0 | 0 | 0 | 0 | 0 |
| M = 9 | 0.6443 | 0.3327 | 0.2132 | 0.0712 | 0.0182 | 0.0015 | 0.0015 | 0.0015 | 0 | 0 | 0 | 0 | 0 | 0 | 0 |
| M = 10 | 0.6438 | 0.3333 | 0.2138 | 0.0719 | 0.0180 | 0.0014 | 0.0014 | 0.0014 | 0 | 0 | 0 | 0 | 0 | 0 | 0 |
| M = 11 | 0.6426 | 0.3322 | 0.2145 | 0.0737 | 0.0192 | 0.0011 | 0.0011 | 0.0011 | 0 | 0 | 0 | 0 | 0 | 0 | 0 |
| M = 12 | 0.6412 | 0.3315 | 0.2157 | 0.0752 | 0.0199 | 0.0009 | 0.0009 | 0.0009 | 0 | 0 | 0 | 0 | 0 | 0 | 0 |
| M = 13 | 0.6408 | 0.3312 | 0.2173 | 0.0772 | 0.0214 | 0.0009 | 0.0009 | 0.0009 | 0 | 0 | 0 | 0 | 0 | 0 | 0 |
| M = 14 | 0.6396 | 0.3302 | 0.2162 | 0.0767 | 0.0207 | 0.0008 | 0.0008 | 0.0008 | 0 | 0 | 0 | 0 | 0 | 0 | 0 |
| M =15 | 0.6385 | 0.3290 | 0.2150 | 0.0764 | 0.0204 | 0.0006 | 0.0006 | 0.0006 | 0 | 0 | 0 | 0 | 0 | 0 | 0 |
Publisher’s Note: MDPI stays neutral with regard to jurisdictional claims in published maps and institutional affiliations. |
© 2022 by the authors. Licensee MDPI, Basel, Switzerland. This article is an open access article distributed under the terms and conditions of the Creative Commons Attribution (CC BY) license (https://creativecommons.org/licenses/by/4.0/).
Share and Cite
Janczak, D.; Walendziuk, W.; Sadowski, M.; Zankiewicz, A.; Konopko, K.; Idzkowski, A. Accuracy Analysis of the Indoor Location System Based on Bluetooth Low-Energy RSSI Measurements. Energies 2022, 15, 8832. https://doi.org/10.3390/en15238832
Janczak D, Walendziuk W, Sadowski M, Zankiewicz A, Konopko K, Idzkowski A. Accuracy Analysis of the Indoor Location System Based on Bluetooth Low-Energy RSSI Measurements. Energies. 2022; 15(23):8832. https://doi.org/10.3390/en15238832
Chicago/Turabian StyleJanczak, Dariusz, Wojciech Walendziuk, Maciej Sadowski, Andrzej Zankiewicz, Krzysztof Konopko, and Adam Idzkowski. 2022. "Accuracy Analysis of the Indoor Location System Based on Bluetooth Low-Energy RSSI Measurements" Energies 15, no. 23: 8832. https://doi.org/10.3390/en15238832
APA StyleJanczak, D., Walendziuk, W., Sadowski, M., Zankiewicz, A., Konopko, K., & Idzkowski, A. (2022). Accuracy Analysis of the Indoor Location System Based on Bluetooth Low-Energy RSSI Measurements. Energies, 15(23), 8832. https://doi.org/10.3390/en15238832

