Geochemistry of the Tanshan Oil Shale in Jurassic Coal Measures, Western Ordos Basin: Implications for Sedimentary Environment and Organic Matter Accumulation
Abstract
:1. Introduction
2. Geological Setting
3. Samples and Analytical Procedures
4. Results
4.1. Composition of Oil Shale
4.2. Organic Matter and Thermal Maturity
4.3. Element Geochemical Characteristics
4.3.1. Major Elements and Correlations
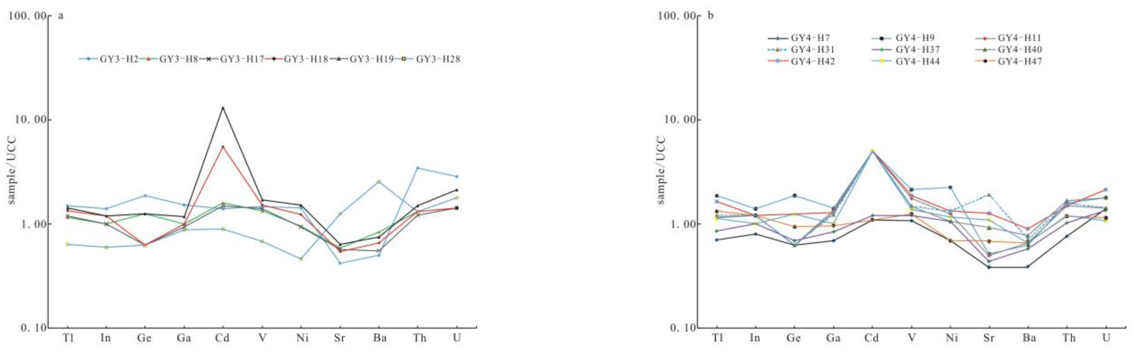
4.3.2. Trace Elements
4.3.3. Rare Earth Elements
5. Discussion
5.1. Paleoclimate
5.2. Paleoredox Condition
5.3. Paleoproductivity
5.4. Paleosalinity
5.5. Deposition Rate
5.6. Controlling Factors of Organic Matter Enrichment
6. Conclusions
- (1)
- The oil shales of the Middle Jurassic Yan’an Formation in the Tanshan area have an average oil content of 4.92%, an average ash yield of 60.90%, an average total sulfur content of 0.55% and an average calorific value of 11.55 MJ/kg, which are medium oil content, medium ash, high calorific value and low sulfur.
- (2)
- The average TOC content of oil shale is 27.87%, and the average chloroform bitumen ‘A’ is 0.30%. The average Ro is 0.65%, which is in the low-maturity stage. The organic matter is relatively rich and has a relatively beneficial hydrocarbon generation potential. The macerals of kerogen are richest in liptinite, followed by vitrinite and inertinite. The organic matter is mainly the humic type, indicating that the organic matter is mainly from the input of terrigenous debris and higher-plant debris.
- (3)
- CIA, (La/Yb)N, CaO/(MgO·Al2O3), REE and other paleoclimate parameters show that the oil shale sedimentary period of the Yan’an Formation in the Tanshan area was dominated by a warm and humid climate. (Fe2O3 + CaO + MgO)/(SiO2 + Al2O3), Th/U, V/(V + Ni), δCe and Ceanom index indicate that the sedimentary period of oil shale was a weak reducing environment, and the water stratification is not strong. Babio and P/Ti ratios indicate that the initial paleoproductivity of sedimentary water was low. Sr, Ga and Ba contents and TOC/S ratios indicate that the paleowater body had low salinity and was a freshwater environment. Meanwhile, the average (La/Yb)N is 14.71, reflecting a low deposition rate.
- (4)
- The formation of oil shale in the Tanshan area is the result of the mutual configuration and coupling of multiple factors such as paleoclimate, redox properties of sedimentary water, paleoproductivity, organic matter source, deposition rate, etc. Among them, the paleoclimate conditions, organic matter sources and redox properties of paleowater are the main controlling factors affecting the accumulation of organic matter. Although low paleoproductivity and deposition rate are not conducive to the preservation of organic matter, under the conditions of a warm and humid climate and a reducing water environment, the continuous and stable input of terrigenous debris and higher-plant debris can also cause the enrichment of organic matter in coal measure strata.
Author Contributions
Funding
Data Availability Statement
Conflicts of Interest
References
- Bunger, J.W.; Crawford, P.M.; Johnson, H.R. Is oil shale america answer to peak-oil challenge? Oil Gas J. 2004, 102, 16–24. [Google Scholar]
- Tao, S.; Wang, Y.B.; Tang, D.Z.; Wu, D.M.; Xu, H.; He, W. Organic petrology of Fukang Permian Lucaogou Formation oil shales at the northern foot of Bogda Mountain, Junggar Basin, China. Int. J. Coal Geol. 2012, 99, 27–34. [Google Scholar] [CrossRef]
- Ofili, S.; Soesoo, A. General geology and geochemistry of the lokpanta formation oil shale, nigeria. Oil Shale 2021, 38, 1. [Google Scholar]
- Liu, Z.J.; Yang, H.L.; Dong, Q.S.; Zhu, J.W.; Guo, W. Oil Shale in China; Peroleum Industry Press: Beijing, China, 2009; pp. 1–116. [Google Scholar]
- Tao, S.; Tang, D.Z.; Xu, H.; Li, J.L. Organic geochemistry and elements distribution in Dahuangshan oil shale, southern Junggar Basin: Origin of organic matter and depositional environment. Int. J. Coal Geol. 2013, 115, 41–51. [Google Scholar] [CrossRef]
- Zhang, C.N.; Luo, Z.J.; Guo, X.Y. Introduction to Organic Geochemistry; Geology Press: Beijing, China, 1993; pp. 1–90. [Google Scholar]
- Jiang, Z.X. Sedimentology; Peroleum Industry Press: Beijing, China, 2003; pp. 1–255. [Google Scholar]
- Liu, G.D.; Zhang, H.F. Peroleum Geology; Peroleum Industry Press: Beijing, China, 2009; pp. 115–266. [Google Scholar]
- Ding, J.H.; Zhang, J.C.; Shi, G.; Shen, B.J.; Tang, X.; Yang, Z.H. Sedimentary Environment and Organic Matter Accumulation for the Longtan Formation Shale in Xuancheng Area. Acta Sedimentol. Sin. 2021, 39, 324–340. (In Chinese) [Google Scholar]
- Tao, S.; Shan, Y.S.; Tang, D.Z.; Xu, H.; Li, S.; Cui, Y. Mineralogy, major and trace element geochemistry of Shichanggou oil shales, Jimusaer, Southern Junggar Basin, China: Implications for provenance, palaeoenvironment and tectonic setting. J. Pet. Sci. Eng. 2016, 146, 432–445. [Google Scholar]
- Tao, S.; Xu, Y.B.; Tang, D.Z.; Xu, H.; Li, S.; Chen, S.D.; Liu, W.B.; Cui, Y.; Gou, M.F. Geochemistry of the Shitoumei oil shale in the Santanghu Basin, Northwest China: Implications for paleoclimate conditions, weathering, provenance and tectonic setting. Int. J. Coal Geol. 2017, 184, 42–56. [Google Scholar] [CrossRef]
- Meng, Q.T.; Li, J.G.; Liu, Z.J. Organic Goechemical Characteristics and Depositional Environment of Oil Shale of Eocene of Paleocene Yonganwo Formation in Yangjiao Mining Area of Maoming Basin. J. Jilin Univ. 2020, 50, 356–367. (In Chinese) [Google Scholar]
- Dypvik, H.; Harris, N.B. Geochemical facies analysis of fine-grained siliciclastics using Th/U, Zr/Rb and (Zr+Rb)/Sr ratios. Chem. Geol. 2001, 181, 131–146. [Google Scholar] [CrossRef]
- Sun, C.R.; Tang, S.H.; Zhang, S.H.; Sun, Z.F.; Wei, J.G. Geochemical characteristics of coal seam roof and floor elements in xixian region of eastern ordos basin. J. China Coal Soc. 2016, 41, 502–509. [Google Scholar]
- Nesbitt, H.W.; Young, G.M. Early proterozoic climates and plate motions inferred from major element chemistry of lutites. Nature 1982, 299, 715–717. [Google Scholar]
- Ghosh, S.; Sarkar, S. Geochemistry of permo-triassic mudstone of the satpura gondwana basin, central india: Clues for provenance. Chem. Geol. 2010, 277, 78–100. [Google Scholar]
- Hatch, J.R.; Leventhal, J.S. Relationship between inferred redox potential of the depositional environment and geochemistry of the upper pennsylvanian (missourian) stark shale member of the dennis limestone, wabaunsee county, kansas, USA. Chem. Geol. 1992, 99, 65–82. [Google Scholar]
- Jones, B.; Manning, D.A.C. Comparison and correlation of different geochemical indices used for the interpretation of depositional environments in ancient mudstones. Chem. Geol. 1994, 111, 111–129. [Google Scholar]
- Cox, R.; Lowe, D.R.; Cullers, R.L. The influence of sediment recycling and basement composition on evolution of mudrock chemistry in the southwestern united states. Geochim. Et Cosmochim. Acta 1995, 59, 2919–2940. [Google Scholar] [CrossRef]
- Fedo, C.M.; Nesbitt, H.W.; Young, G.M. Unraveling the effects of potassium metasomatism in sedimentary rocks and paleosols, with implications for paleoweathering conditions and provenance. Geology 1995, 23, 921–924. [Google Scholar]
- Passchier, S.; Krissek, L.A. Oligocene-miocene antarctic continental weathering record and paleoclimatic implications, cape roberts drilling project, ross sea, antarctica. Palaeogeogr. Palaeoclimatol. Palaeoecol. 2008, 260, 30–40. [Google Scholar]
- Tian, J.C.; Zhang, X. Sedimentary Geochemistry; Geological Publishing House: Beijing, China, 2016; pp. 80–150. [Google Scholar]
- Bhatia, M.R. Rare earth element geochemistry of australian paleozoic graywackes and mudrocks: Provenance and tectonic control. Sediment. Geol. 1985, 45, 97–113. [Google Scholar]
- Cullers, R.L.; Barrett, T.; Carlson, R.; Robinson, B. Rare-earth element and mineralogic changes in holocene soil and stream sediment: A case study in the wet mountains, colorado, USA. Chem. Geol. 1987, 63, 275–297. [Google Scholar]
- Mclennan, S.M. Rare earth elements in sedimentary rocks: Influence of provenance and sedimentary processes. Rev. Mineral. Geochem. 1989, 21, 169–200. [Google Scholar]
- Li, J.S.; Yu, X.; Zhu, T.; Yan, H.; Zhang, S.C.; Yang, Y.C.; Zou, N.N. Elemental geochemistry characteristics and their petroleum geologicalimplications for the Upper Wuerhe Formationin Well Block Jinlong 30 of Zhongguai uplift, Junggar Basin. Acta Geol. Sin. 2020, 94, 3074–3089. (In Chinese) [Google Scholar]
- Bhatia, M.R.; Crook, K. Trace element characteristics of graywackes and tectonic setting discrimination of sedimentary basins. Contrib. Mineral. Petrol. 1986, 92, 181–193. [Google Scholar]
- Naqvi, S.M.; Sawkar, R.H.; Rao, D.S.; Govil, P.K.; Rao, T.G. Geology, geochemistry and tectonic setting of archaean greywackes from karnataka nucleus, India. Precambrian Res. 1988, 39, 193–216. [Google Scholar]
- Condie, K.C. Chemical composition and evolution of the upper continental crust: Contrasting results from surface samples and shales. Chem. Geol. 1993, 104, 1–37. [Google Scholar] [CrossRef]
- Bai, Y.L.; Yang, Y.J.; Ma, Y.H. Main characteristics of Tanshan oil shale deposits in Guyuan of Ningxia and exploitation and utilization. Gansu Geol. 2008, 17, 65–71. (In Chinese) [Google Scholar]
- He, W.; Wang, J.M.; Hai, L.F.; Wang, L.; Zhao, Y.; Ding, W.M. Elemental geochemical features of argillaceous rock in Tanshan Area Yan′an Formation lower part-A case study of well GY-1. Coal Geol. China 2019, 31, 7–14. (In Chinese) [Google Scholar]
- Hai, L.F.; Xu, Q.H.; Mu, C.X.; Tao, R.; Song, Y. Geochemical characteristics and geologic significance of rare earth elements in oil shale of the Yan’an Formation in the Tanshan area, in the Liupanshan Basin, China. Interpretation 2021, 9, 1–41. [Google Scholar]
- Goodarzi, F.; Gentzis, T. Elemental concentration and organic petrology of unique liptinite-rich humic coal, canneloid shale, and cannel coal of Devonian age from Arctic Canada. Chem. Geol. 2018, 485, 44–55. [Google Scholar]
- Goodarzi, F.; Haeri-Ardakani, O.; Gentzis, T.; Pedersen, P.K. Organic petrology and geochemistry of Tournaisian-age Albert Formation oil shales, New Brunswick, Canada. Int. J. Coal Geol. 2019, 205, 43–57. [Google Scholar] [CrossRef]
- Pedersen, T.F.; Calvert, S.E. Anoxia vs. productivity: What controls the formation of organic-carbon-rich sediments and sedimentary rocks. AAPG Bull. 1990, 74, 454–466. [Google Scholar]
- Harris, N.B.; Freeman, K.H.; Pancost, R.D.; White, T.S.; Mitchell, G.D. The character and origin of lacustrine source rocks in the lower cretaceous synrift section, congo basin, west africa. AAPG Bull. 2004, 88, 1163–1184. [Google Scholar] [CrossRef]
- Zheng, Y.F.; Xiao, W.J.; Zhao, G. Introduction to tectonics of China. Gondwana Res. 2013, 23, 1189–1206. [Google Scholar] [CrossRef]
- Li, J.Y. Permian geodynamic setting of northeast China and adjacent regions: Closure of the Paleo-Asian Ocean and subduction of the Paleo-Pacific Plate. J. Asian Earth Sci. 2006, 26, 207–224. [Google Scholar] [CrossRef]
- Huo, F.C.; Pan, X.S.; You, G.L.; Zheng, Z.C.; Liao, H.R.; Zhou, T.X.; Zhang, G.D.; Xu, G.X.; Liu, Z.C.; Gui, Z.X. Introduction to Geology in Ningxia; Science Press: Beijing, China, 1989. [Google Scholar]
- Guo, P.; Liu, C.Y.; Wang, J.Q.; Deng, Y.; Zhao, X.C.; Wang, W.Q.; Wang, L. Redefinition of stratigraphic age of Mesozoic coal measure strata in Liupanshan area. Earth Sci. Front. 2017, 24, 383–394. [Google Scholar]
- Zhao, L.Y.; Chen, J.N. The composition and classification of oil shale in China. Mod. Geol. 1991, 5, 423–429. [Google Scholar]
- Bechtel, A.; Reischenbacher Sachsenhofer, R.F.; Gratzer, R.; Luecke, A.; Puettmann, W. Relations of petrographical and geochemical parameters in the middle Miocene Lavanttal lignite Austria. Int. J. Coal Geol. 2007, 70, 325–349. [Google Scholar]
- Ke, Y.; Wang, H.; Gan, H.; Chen, S.; Liu, K.; Wang, S. Organic geochemical characteristics of oil shale in the upper part of the Luchaogou Formation at the southern margin of the Junggar Basin and its depositional significance. Geol. Sci. Technol. Inf. 2019, 38, 199–207. (In Chinese) [Google Scholar]
- Zheng, G.; Meng, Q.T.; Liu, Z.J. Geochemical Characteristics and Paleolimnological Information of Oil Shale in 1st Member of Qingshankou Formation in Northern Songliao Basin. J. Jilin Univ. (Earth Sci. Ed.) 2020, 50, 392–404. (In Chinese) [Google Scholar]
- Cao, Q. Identification of microcomponents and types of kerogen under transmitted light. Pet. Explor. Dev. 1985, 5, 14–23. (In Chinese) [Google Scholar]
- Espitali´e, J. Use of Tmax as a maturation index for different types of organic matter. In Comparison with Vitrinite Reflectance, Thermal Modelling in Sedimentary Basins; Editions Technip Paris: Paris, France, 1986; pp. 475–496. [Google Scholar]
- Dai, S.; Ren, D.; Chou, C.L.; Finkelman, R.B.; Seredin, V.V.; Zhou, Y. Geochemistry of trace elements in Chinese coals: A review of abundances, genetic types, impacts on human health, and industrial utilization. Int. J. Coal Geol. 2012, 94, 3–21. [Google Scholar]
- Hao, J. The analysis method based on ash-composition and its application in coal-accumulating environment reconstruction. Acta Sedimentol. Sin. 2000, 18, 460–464. [Google Scholar]
- Yi, T.S.; Qin, Y.; Zhang, J.; Wu, Y.Y.; Li, Z.F. Matter composition and two stage evolution of a liangshan super high-sulfur coal seam in kaili, eastern guizhou. J. China Univ. Min. Technol. 2007, 17, 158–163. [Google Scholar]
- Gromet, L.P.; Haskin, L.A.; Korotev, R.L.; Dymek, R.F. The “North American shale composite”: Its compilation, major and trace element characteristics. Geochim. Et Cosmochim. Acta 1984, 48, 2469–2482. [Google Scholar]
- Guo, D.; Liu, Y.; Li, Z.; Sun, D.; Analysis, R. Determination of Trace Element Compositions of Altered Minerals in Fenitization Veins by Inductively Coupled Plasma-Mass Spectrometry. Rock Miner. Anal. 2020, 39, 896–907. [Google Scholar]
- Jiang, Y.; Pan, S.L.; Qin, C.H.; Jiang, Z.W.; Zhu, W.J.; Zhang, M.F.; Sun, G.Q. Characteristics and provenance analysis of rare earth elements in the Lower Section of Xiaganchaigou Formation in the platform area of the northern margin of Qaidam Basin. Nat. Gas Geosci. 2020, 31, 1537–1547. (In Chinese) [Google Scholar]
- Wang, X.Y.; Jiang, Z.X. Geochemical characteristics of trace and rare earth elements in the 3rd Member of Paleocene Funing Formation in Dongtai Depression, North Jiangsu Basin, and their geological significance. Geol. Rev. 2021, 67, 355–366. (In Chinese) [Google Scholar]
- Li, F.L.; Lv, L.; Ma, W.K.; Diao, H.; Xu, Z.Y.; Bai, Y.M. Geochemical characteristics of source rocks in Liushagang Fonnation of Wushi Sag. J. China Univ. Pet. (Ed. Nat. Sci.) 2021, 45, 31–40. (In Chinese) [Google Scholar]
- Mclennan, S.M.; Taylor, S.R. Sedimentary rocks and crustal evolution: Tectonic setting and secular trends. J. Geol. 1991, 99, 1–21. [Google Scholar]
- Ma, F.H.; Zhang, Y.; Pan, J.L. Geochemical characteristics of rare earth element and their geological significance of mud-shale in Cretaceous Madongshan Formation, Liupanshan Basin. Geol. Rev. 2021, 67, 209–217. (In Chinese) [Google Scholar]
- Wu, F.; Wan, G.J.; Huang, R.H. Recent temperature records of annually laminated sediments in hongfeng lake, Guizhou. Sci. Geogr. Sin. 1996, 16, 345–350. (In Chinese) [Google Scholar]
- Gu, X.X.; Liu, J.M.; Zheng, M.H.; Tang, J.X.; Qi, L. Provenance and tectonic setting of the Proterozoic turbidites in Hunan, South China: Geochemical evidence. J. Sediment. Res. 2002, 72, 393–407. [Google Scholar]
- Zhao, S.Q.; Wang, F.Y. On the generalized causal model of “coal sinking environment-coal formation type-coal quality characteristics”: Ⅰ. Environment and coal phase. J. Sedimentol. 1994, 1, 32–39. [Google Scholar]
- Chamley, H. Clay Sedimentology; Springer: Berlin/Heidelberg, Germany, 1989. [Google Scholar]
- Elderfield, H.; Greaves, M.J. The rare earth elements in seawater. Nature 1982, 296, 214–219. [Google Scholar] [CrossRef]
- Wei, H.Y. Productivity and redox proxies of palaeo-oceans: An overview of elementary geochemistry. Sediment. Geol. Tethyan Geol. 2012, 32, 76–88. [Google Scholar]
- Ross, D.; Bustin, R.M. Investigating the use of sedimentary geochemical proxies for paleoenvironment interpretation of thermally mature organic-rich strata: Examples from the devonian-mississippian shales, western canadian sedimentary basin. Chem. Geol. 2009, 260, 1–19. [Google Scholar]
- Holland, H.D. The Chemistry of the Atmosphere and Oceans; Wiley: New York, NY, USA, 1978; pp. 121–135. [Google Scholar]
- Yin, J.T.; Yu, Y.X.; Jiang, C.F.; Liu, J.; Shi, P. Relationship between element geochemical characteristic and organic matter enrichment in zhangjiatan shale of yanchang formation, ordos basin. Meitan Xuebao/J. China Coal Soc. 2017, 42, 1544–1556. [Google Scholar]
- Algeo, T.J.; Kuwahara, K.; Sano, H.; Bates, S.; Lyons, T.; Elswick, E. Spatial variation in sediment fluxes, redox conditions, and productivity in the permian-triassic panthalassic ocean. Palaeogeogr. Palaeoclimatol. Palaeoecol. 2011, 308, 65–83. [Google Scholar]
- Wen, H.G.; Zheng, R.C.; Tang, F.; Zheng, A.P.; Li, L.X. Reconstruction and analysis of paleosalanity and paleoenvironment of the chang 6 member in the gengwan region, ordos basin. J. Mineral. Petrol. 2008, 28, 114–120. [Google Scholar]
- Meng, Q.; Liu, Z.; Bruch, A.A.; Liu, R.; Hu, F. Palaeoclimatic evolution during Eocene and its influence on oil shale mineralisation, Fushun basin, China. J. Asia Earth Sci. 2012, 45, 95–105. [Google Scholar] [CrossRef]
- Berner, R.A.; Raiswell, R. Burial of organic carbon and pyrite sulfur in sediments over phanerozoic time: A new theory. Geochim. Et Cosmochim. Acta 1983, 47, 855–862. [Google Scholar]
- Yandoka, B.S.; Abdullah, W.H.; Abubakar, M.B.; Hakimi, M.H.; Adegoke, A.K. Geochemical characterisation of early cretaceous lacustrine sediments of bima formation, yola sub-basin, northern benue trough, ne nigeria: Organic matter input, preservation, paleoenvironment and palaeoclimatic conditions. Mar. Pet. Geol. 2015, 61, 82–94. [Google Scholar] [CrossRef]
- Wei, H.Y.; Chen, D.Z.; Wang, J.G. Organic accumulation in the lower chihsia formation (middle permian) of south china: Constraints from pyrite morphology and multiple geochemical proxies. Palaeogeogr. Palaeoclimatol. Palaeoecol. 2012, 353, 73–86. [Google Scholar] [CrossRef]
- Ding, J.H.; Zhang, J.C.; Li, X.Q. Characteristics and controlling factors of organic matter enrichment of Lower Carboniferous black rock series deposited in inter-platform region, southern Guizhou Depression. Lithol. Reserv. 2019, 31, 83–95. [Google Scholar]
- Liu, S.X.; Wu, C.F.; Li, T.; Wang, H.C. Multiple geochemical proxies controlling the organic matter accumulation of the marine-continental transitional shale: A case study of the Upper Permian Longtan Formation, western Guizhou, China. J. Nat. Gas Sci. Eng. 2018, 56, 152–165. [Google Scholar]
- Yang, K.; Zhang, B.; Yao, Y.J.; Yang, H.Y.; Zhang, H.Q.; Xiao, W.; Wang, Y. Organic matter accumulation mechanism and characteristics in marine-continental transitional shale: A case study of the upper Permian Longtan Formation from the Well F5 in Sichuan Basin, China. J. Pet. Sci. Eng. 2022, 208, 1–13. [Google Scholar] [CrossRef]









| Samples | SD a (m) | OC b (%) | Ad c (%) | Vdaf d (%) | St,d e (%) | Q f (MJ/kg) | FCad g (%) |
|---|---|---|---|---|---|---|---|
| GY3-H2 | 529.26 | 3.80 | 75.58 | 60.46 | 0.31 | 5.94 | 8.90 |
| GY3-H8 | 551.23 | 3.88 | 62.55 | 49.72 | 0.42 | 10.66 | 17.73 |
| GY3-H10 | 565.03 | 4.50 | 68.67 | 52.52 | 0.79 | 8.93 | 14.30 |
| GY3-H17 | 617.13 | 5.68 | 56.69 | 46.39 | 0.57 | 13.12 | 21.83 |
| GY3-H18 | 618.53 | 5.18 | 62.24 | 49.56 | 0.73 | 11.76 | 18.27 |
| GY3-H19 | 619.73 | 4.95 | 65.11 | 50.20 | 0.53 | 10.18 | 16.39 |
| GY3-H28 | 695.07 | 6.45 | 54.65 | 47.60 | 0.32 | 14.01 | 22.47 |
| GY3-H29 | 696.78 | 6.90 | 50.13 | 46.51 | 0.44 | 16.10 | 25.72 |
| GY3-H31 | 727.82 | 6.70 | 44.81 | 43.47 | 0.79 | 17.51 | 30.11 |
| Average of Guyou-3 | 5.34 | 60.05 | 49.60 | 0.54 | 12.02 | 19.52 | |
| GY4-H7 | 583.24 | 4.50 | 42.28 | 43.55 | 0.41 | 17.77 | 30.81 |
| GY4-H9 | 600.97 | 4.50 | 73.11 | 54.48 | 0.66 | 6.87 | 11.80 |
| GY4-H11 | 603.01 | 3.50 | 69.92 | 53.24 | 0.23 | 8.16 | 13.49 |
| GY4-H31 | 860.54 | 5.30 | 62.40 | 48.91 | 0.42 | 11.07 | 18.74 |
| GY4-H37 | 869.39 | 5.70 | 52.84 | 47.48 | 0.43 | 14.53 | 23.82 |
| GY4-H40 | 875.22 | 3.80 | 65.67 | 53.33 | 0.39 | 9.31 | 15.62 |
| GY4-H42 | 876.4 | 4.90 | 66.22 | 50.27 | 0.50 | 9.65 | 16.43 |
| GY4-H44 | 908.25 | 4.30 | 59.69 | 49.11 | 1.60 | 11.22 | 20.08 |
| GY4-H47 | 916.24 | 4.10 | 63.55 | 48.00 | 0.38 | 11.08 | 18.58 |
| Average of Guyou-4 | 4.51 | 61.74 | 49.82 | 0.56 | 11.07 | 18.82 | |
| Average of all samples | 4.92 | 60.90 | 49.71 | 0.55 | 11.55 | 19.17 | |
| Samples | Ro a (%) | TOC b (%) | MG c (%) | CBA g (%) | TI h | TOM i | ||
|---|---|---|---|---|---|---|---|---|
| LI d (%) | VI e (%) | IN f (%) | ||||||
| GY3-H2 | 0.56 | 13.93 | 66 | 26 | 8 | 0.16 | 5.50 | Ⅱ2 |
| GY3-H8 | 0.59 | 30.27 | 61 | 32 | 7 | 0.14 | −0.50 | Ⅲ |
| GY3-H10 | 0.64 | 22.34 | 54 | 40 | 6 | 0.20 | −9.00 | Ⅲ |
| GY3-H17 | 0.60 | 33.34 | 66 | 30 | 4 | 0.39 | 6.50 | Ⅱ2 |
| GY3-H18 | 0.58 | 28.77 | 59 | 34 | 7 | 0.19 | −3.00 | Ⅲ |
| GY3-H19 | 0.61 | 26.88 | 55 | 39 | 6 | 0.24 | −7.75 | Ⅲ |
| GY3-H28 | 0.59 | 38.05 | 47 | 46 | 7 | 0.61 | −18.00 | Ⅲ |
| GY3-H29 | 0.64 | 37.58 | 52 | 39 | 9 | 0.57 | −12.25 | Ⅲ |
| GY3-H31 | 0.65 | 41.38 | 50 | 42 | 8 | 0.41 | −14.50 | Ⅲ |
| Average of Guyou-3 | 0.61 | 30.28 | 57 | 36 | 7 | 0.32 | −5.89 | Ⅲ |
| GY4-H7 | 0.74 | 38.73 | 54 | 41 | 5 | 0.25 | −8.75 | Ⅲ |
| GY4-H9 | 0.62 | 16.77 | 60 | 36 | 4 | 0.15 | −1.00 | Ⅲ |
| GY4-H11 | 0.60 | 19.16 | 60 | 34 | 6 | 0.14 | −1.50 | Ⅲ |
| GY4-H31 | 0.65 | 26.77 | 60 | 37 | 3 | 0.21 | −0.75 | Ⅲ |
| GY4-H37 | 0.74 | 34.29 | 48 | 45 | 7 | 0.40 | −16.75 | Ⅲ |
| GY4-H40 | 0.66 | 21.04 | 60 | 35 | 5 | 0.32 | −1.25 | Ⅲ |
| GY4-H42 | 0.68 | 21.27 | 54 | 42 | 4 | 0.30 | −8.50 | Ⅲ |
| GY4-H44 | 0.69 | 25.92 | 59 | 39 | 2 | 0.49 | −1.75 | Ⅲ |
| GY4-H47 | 0.78 | 25.22 | 52 | 44 | 4 | 0.29 | −11.00 | Ⅲ |
| Average of Guyou-4 | 0.68 | 25.46 | 56 | 39 | 4 | 0.28 | −5.69 | Ⅲ |
| Average of all samples | 0.65 | 27.87 | 57 | 38 | 6 | 0.30 | −5.79 | Ⅲ |
| Samples | Fe2O3 a | Al2O3 | CaO | MgO | SiO2 | TiO2 | SO3 | K2O | Na2O | MnO | SiO2/Al2O3 | Al2O3/SiO2 |
|---|---|---|---|---|---|---|---|---|---|---|---|---|
| GY3-H2 | 5.37 | 23.67 | 0.90 | 1.89 | 60.19 | 0.98 | 0.40 | 3.36 | 0.25 | 0.13 | 2.54 | 0.39 |
| GY3-H8 | 4.89 | 19.92 | 3.50 | 2.28 | 60.26 | 1.01 | 0.80 | 3.37 | 0.54 | 0.08 | 3.03 | 0.33 |
| GY3-H10 | 5.91 | 20.75 | 2.13 | 2.33 | 63.52 | 0.91 | 0.58 | 3.51 | 0.50 | 0.05 | 3.06 | 0.33 |
| GY3-H17 | 5.94 | 20.52 | 1.81 | 2.12 | 63.64 | 1.12 | 0.55 | 3.27 | 0.17 | 0.05 | 3.10 | 0.32 |
| GY3-H18 | 5.94 | 20.26 | 1.47 | 1.87 | 62.85 | 1.10 | 0.48 | 3.23 | 0.28 | 0.04 | 3.10 | 0.32 |
| GY3-H19 | 5.46 | 21.21 | 1.69 | 2.06 | 62.21 | 1.07 | 0.62 | 3.44 | 0.14 | 0.04 | 2.93 | 0.34 |
| GY3-H28 | 3.09 | 17.65 | 4.40 | 1.84 | 66.79 | 0.79 | 0.75 | 2.42 | 0.92 | 0.04 | 3.78 | 0.26 |
| GY3-H29 | 2.05 | 15.29 | 8.87 | 1.55 | 69.19 | 0.54 | 0.45 | 2.24 | 1.38 | 0.05 | 4.53 | 0.22 |
| GY3-H31 | 6.32 | 20.41 | 3.59 | 2.31 | 64.27 | 1.03 | 0.42 | 3.41 | 0.42 | 0.02 | 3.15 | 0.32 |
| Average of Guyou-3 | 5.00 | 19.96 | 3.15 | 2.03 | 63.66 | 0.95 | 0.56 | 3.14 | 0.51 | 0.06 | 3.19 | 0.31 |
| GY4-H7 | 5.05 | 21.05 | 3.77 | 1.73 | 61.50 | 0.90 | 0.60 | 2.72 | 0.18 | 0.05 | 2.92 | 0.34 |
| GY4-H9 | 5.59 | 21.61 | 1.69 | 2.30 | 61.67 | 0.87 | 0.41 | 3.80 | 0.14 | 0.03 | 2.85 | 0.35 |
| GY4-H11 | 5.27 | 21.75 | 1.52 | 2.16 | 63.69 | 0.85 | 0.29 | 2.76 | 0.10 | 0.03 | 2.93 | 0.34 |
| GY4-H31 | 4.69 | 22.39 | 2.37 | 1.77 | 64.66 | 0.79 | 0.52 | 2.69 | 0.16 | 0.01 | 2.89 | 0.35 |
| GY4-H37 | 4.64 | 20.65 | 3.46 | 1.89 | 61.73 | 0.90 | 1.00 | 3.09 | 0.38 | 0.05 | 2.99 | 0.33 |
| GY4-H40 | 6.62 | 21.65 | 2.82 | 2.39 | 60.85 | 0.69 | 1.02 | 2.75 | 0.24 | 0.06 | 2.81 | 0.36 |
| GY4-H42 | 5.22 | 21.64 | 1.69 | 2.21 | 64.25 | 0.82 | 0.65 | 3.18 | 0.32 | 0.02 | 2.97 | 0.34 |
| GY4-H44 | 8.35 | 19.59 | 4.63 | 2.65 | 58.88 | 0.88 | 1.60 | 2.39 | 0.07 | 0.070 | 3.01 | 0.33 |
| GY4-H47 | 3.83 | 19.59 | 2.44 | 1.87 | 65.29 | 0.90 | 0.48 | 3.83 | 0.23 | 0.04 | 3.33 | 0.30 |
| Average of Guyou-4 | 5.47 | 21.10 | 2.71 | 2.11 | 62.50 | 0.84 | 0.73 | 3.02 | 0.20 | 0.04 | 2.96 | 0.34 |
| Average of all samples | 5.24 | 20.53 | 2.93 | 2.07 | 63.08 | 0.90 | 0.65 | 3.08 | 0.36 | 0.05 | 3.07 | 0.33 |
| Ad | Vdaf | Fe2O3 | Al2O3 | CaO | MgO | SiO2 | TiO2 | SO3 | K2O | Na2O | MnO | Tl | In | Ge | Ga | V | Ni | Sr | Ba | Th | U | B | Se | ∑REE | |
|---|---|---|---|---|---|---|---|---|---|---|---|---|---|---|---|---|---|---|---|---|---|---|---|---|---|
| Ad | 1.00 | ||||||||||||||||||||||||
| Vdaf | 0.91 | 1.00 | |||||||||||||||||||||||
| Fe2O3 | 0.22 | 0.20 | 1.00 | ||||||||||||||||||||||
| Al2O3 | 0.53 | 0.55 | 0.53 | 1.00 | |||||||||||||||||||||
| CaO | −0.63 | −0.51 | −0.45 | −0.86 | 1.00 | ||||||||||||||||||||
| MgO | 0.32 | 0.24 | 0.81 | 0.29 | −0.28 | 1.00 | |||||||||||||||||||
| SiO2 | −0.31 | −0.39 | −0.76 | −0.62 | 0.45 | −0.58 | 1.00 | ||||||||||||||||||
| TiO2 | 0.07 | −0.02 | 0.45 | 0.40 | −0.62 | 0.22 | −0.44 | 1.00 | |||||||||||||||||
| SO3 | −0.14 | −0.11 | 0.46 | −0.14 | 0.26 | 0.48 | −0.49 | −0.12 | 1.00 | ||||||||||||||||
| K2O | 0.41 | 0.26 | 0.17 | 0.43 | −0.64 | 0.22 | −0.23 | 0.61 | −0.39 | 1.00 | |||||||||||||||
| Na2O | −0.37 | −0.26 | −0.71 | −0.82 | 0.78 | −0.43 | 0.68 | −0.53 | −0.11 | −0.40 | 1.00 | ||||||||||||||
| MnO | 0.25 | 0.51 | 0.14 | 0.13 | 0.00 | 0.06 | −0.51 | 0.13 | 0.24 | 0.01 | 0.03 | 1.00 | |||||||||||||
| Tl | 0.63 | 0.48 | 0.53 | 0.64 | −0.74 | 0.56 | −0.35 | 0.47 | −0.22 | 0.77 | −0.55 | −0.07 | 1.00 | ||||||||||||
| In | 0.82 | 0.72 | 0.49 | 0.84 | −0.88 | 0.37 | −0.55 | 0.37 | −0.12 | 0.62 | −0.77 | 0.12 | 0.79 | 1.00 | |||||||||||
| Ge | 0.63 | 0.66 | 0.20 | 0.37 | −0.31 | 0.34 | −0.45 | 0.15 | −0.06 | 0.52 | −0.17 | 0.45 | 0.71 | 0.55 | 1.00 | ||||||||||
| Ga | 0.93 | 0.90 | 0.20 | 0.72 | −0.68 | 0.30 | −0.14 | −0.21 | −0.34 | 0.25 | −0.33 | 0.13 | 0.74 | 0.81 | 0.58 | 1.00 | |||||||||
| V | 0.70 | 0.51 | 0.39 | 0.62 | −0.70 | 0.42 | −0.22 | 0.08 | −0.31 | 0.47 | −0.63 | −0.23 | 0.87 | 0.82 | 0.50 | 0.73 | 1.00 | ||||||||
| Ni | 0.74 | 0.66 | 0.48 | 0.69 | −0.69 | 0.42 | −0.52 | 0.28 | −0.08 | 0.50 | −0.62 | −0.01 | 0.76 | 0.84 | 0.66 | 0.72 | 0.89 | 1.00 | |||||||
| Sr | −0.08 | −0.15 | −0.36 | −0.37 | 0.47 | −0.26 | 0.51 | −0.67 | 0.16 | −0.61 | 0.41 | −0.30 | −0.37 | −0.33 | −0.20 | 0.11 | −0.09 | −0.24 | 1.00 | ||||||
| Ba | −0.26 | −0.21 | −0.68 | −0.81 | 0.71 | −0.38 | 0.73 | −0.60 | −0.03 | −0.53 | 0.91 | −0.09 | −0.56 | −0.72 | −0.19 | −0.18 | −0.51 | −0.54 | 0.58 | 1.00 | |||||
| Th | 0.72 | 0.89 | 0.06 | 0.64 | −0.54 | −0.02 | −0.23 | 0.01 | −0.28 | 0.19 | −0.07 | 0.62 | 0.46 | 0.58 | 0.60 | 0.77 | 0.26 | 0.39 | −0.04 | −0.09 | 1.00 | ||||
| U | 0.53 | 0.70 | −0.10 | 0.55 | −0.53 | −0.10 | −0.09 | 0.03 | −0.33 | 0.22 | 0.11 | 0.41 | 0.43 | 0.39 | 0.57 | 0.64 | 0.28 | 0.38 | −0.07 | 0.10 | 0.81 | 1.00 | |||
| B | 0.03 | −0.13 | −0.30 | 0.25 | −0.36 | −0.09 | 0.41 | −0.31 | −0.11 | 0.22 | 0.93 | −0.28 | 0.35 | 0.06 | 0.02 | 0.21 | 0.24 | −0.20 | 0.21 | 0.95 | 0.21 | 0.82 | 1.00 | ||
| Se | 0.72 | 0.59 | −0.24 | 0.20 | −0.39 | −0.05 | −0.04 | 0.36 | −0.45 | 0.84 | −0.22 | −0.24 | 0.74 | 0.81 | 0.71 | 0.56 | 0.74 | 0.97 | −0.44 | −0.52 | 0.30 | 0.18 | −0.34 | 1.00 | |
| ∑REE | 0.96 | 0.92 | 0.24 | 0.60 | −0.69 | 0.30 | −0.30 | 0.16 | −0.17 | 0.42 | −0.38 | 0.29 | 0.65 | 0.81 | 0.61 | 0.92 | 0.56 | 0.71 | −0.11 | −0.26 | 0.84 | 0.66 | −0.06 | 0.72 | 1.00 |
| Samples | Tl | In | Ge | Ga | Cd | V | Ni | Sr | Ba | Th | U | B | Se |
|---|---|---|---|---|---|---|---|---|---|---|---|---|---|
| GY3-H2 | 1.13 | 0.07 | 3.00 | 26.00 | 0.14 | 88.00 | 28.70 | 147.00 | 275.00 | 37.00 | 8.00 | - | - |
| GY3-H8 | 0.87 | 0.05 | 2.00 | 17.00 | 0.16 | 80.00 | 19.00 | 207.00 | 459.00 | 14.00 | 4.00 | - | - |
| GY3-H10 | 1.40 | 0.06 | - | - | 0.28 | - | 28.20 | 172.00 | 497.00 | - | - | - | - |
| GY3-H17 | 0.90 | 0.05 | 1.00 | 16.00 | 0.15 | 84.00 | 18.80 | 201.00 | 305.00 | 13.00 | 4.00 | - | - |
| GY3-H18 | 1.01 | 0.06 | 1.00 | 17.00 | 0.55 | 92.00 | 24.80 | 189.00 | 361.00 | 14.00 | 4.00 | - | - |
| GY3-H19 | 1.08 | 0.06 | 2.00 | 20.00 | 1.31 | 103.0 | 30.40 | 223.00 | 412.00 | 16.00 | 6.00 | - | - |
| GY3-H28 | 0.48 | 0.03 | 1.00 | 15.00 | 0.09 | 41.00 | 9.30 | 442.00 | 1409.00 | 14.00 | 5.00 | - | - |
| GY3-H29 | 0.26 | 0.02 | - | - | 0.08 | - | 5.50 | 580.00 | 1422.00 | - | - | - | - |
| GY3-H31 | 1.17 | 0.04 | - | - | 0.36 | - | 13.80 | 138.00 | 393.00 | - | - | - | - |
| Average of Guyou-3 | 0.92 | 0.05 | 1.67 | 18.50 | 0.35 | 81.33 | 19.83 | 255.44 | 614.78 | 18.00 | 5.17 | - | - |
| GY4-H7 | 0.53 | 0.04 | 1.00 | 11.80 | 0.11 | 64.60 | 13.80 | 135.00 | 214.00 | 8.10 | 3.90 | - | - |
| GY4-H9 | 1.40 | 0.07 | 3.00 | 24.00 | 0.50 | 128.0 | 45.00 | 181.00 | 344.00 | 17.00 | 5.00 | 100.00 | 1.31 |
| GY4-H11 | 0.86 | 0.06 | 1.00 | 23.00 | 0.50 | 106.0 | 25.00 | 174.00 | 360.00 | 16.00 | 4.00 | 103.00 | 0.46 |
| GY4-H31 | 0.91 | 0.06 | 1.00 | 21.00 | 0.50 | 89.00 | 26.50 | 670.00 | 393.00 | 17.00 | 4.00 | 106.00 | 0.49 |
| GY4-H37 | 0.64 | 0.05 | 1.10 | 14.40 | 0.12 | 72.50 | 21.00 | 153.00 | 317.00 | 11.00 | 3.80 | - | - |
| GY4-H40 | 0.87 | 0.06 | 1.00 | 22.00 | 0.50 | 88.00 | 21.00 | 322.00 | 428.00 | 18.00 | 5.00 | 133.00 | 0.37 |
| GY4-H42 | 1.23 | 0.06 | 2.00 | 22.00 | 0.50 | 113.0 | 26.50 | 445.00 | 490.00 | 16.00 | 6.00 | 201.00 | 0.34 |
| GY4-H44 | 0.84 | 0.05 | 2.00 | 17.00 | 0.50 | 82.00 | 23.50 | 384.00 | 361.00 | 13.00 | 3.00 | 92.00 | 0.34 |
| GY4-H47 | 0.99 | 0.06 | 1.50 | 16.40 | 0.11 | 74.50 | 13.80 | 239.00 | 363.00 | 12.70 | 3.20 | - | - |
| Average of Guyou-4 | 0.92 | 0.06 | 1.51 | 19.07 | 0.37 | 90.84 | 24.01 | 300.33 | 363.33 | 14.31 | 4.21 | 122.50 | 0.55 |
| Average of all samples | 0.92 | 0.05 | 1.57 | 18.84 | 0.36 | 87.04 | 21.92 | 277.89 | 489.06 | 15.79 | 4.59 | 122.50 | 0.55 |
| Samples | La | Ce | Pr | Nd | Sm | Eu | Gd | Tb | Dy | Ho | Er | Tm | Yb | Lu | Y |
|---|---|---|---|---|---|---|---|---|---|---|---|---|---|---|---|
| GY3-H2 | 57.3 | 84.56 | 13 | 45.4 | 7.9 | 1.41 | 7.8 | 1.03 | 5.2 | 1.15 | 2.7 | 0.44 | 3 | 0.47 | 24.3 |
| GY3-H8 | 33.9 | 66.9 | 7.6 | 28.4 | 5.2 | 1.21 | 5.3 | 0.67 | 3.3 | 0.7 | 1.6 | 0.25 | 1.6 | 0.24 | 15.4 |
| GY3-H10 | 42.5 | 80.2 | 9.1 | 32.9 | 5.8 | 1.31 | 5.7 | 0.72 | 3.4 | 0.75 | 1.7 | 0.27 | 1.8 | 0.27 | 15.8 |
| GY3-H17 | 33.9 | 64.5 | 7.3 | 27.1 | 5 | 1.11 | 4.9 | 0.66 | 3.2 | 0.71 | 1.7 | 0.26 | 1.8 | 0.27 | 15.7 |
| GY3-H18 | 35.8 | 69.6 | 7.9 | 28.9 | 5.2 | 1.16 | 5.3 | 0.67 | 3.3 | 0.73 | 1.7 | 0.26 | 1.8 | 0.27 | 16 |
| GY3-H19 | 41.2 | 78.6 | 9.1 | 32.5 | 5.8 | 1.28 | 5.7 | 0.73 | 3.6 | 0.78 | 1.8 | 0.28 | 1.9 | 0.29 | 16.8 |
| GY3-H28 | 37.5 | 68 | 7.7 | 26.8 | 4.5 | 1.33 | 4.4 | 0.53 | 2.4 | 0.49 | 1.1 | 0.17 | 1.1 | 0.17 | 11.1 |
| GY3-H29 | 27.3 | 49.6 | 5.6 | 19.1 | 3.3 | 1.17 | 3.4 | 0.42 | 2 | 0.44 | 1 | 0.16 | 1.1 | 0.17 | 10.1 |
| GY3-H31 | 29.1 | 54.5 | 6.2 | 22.2 | 3.9 | 0.92 | 3.9 | 0.5 | 2.5 | 0.55 | 1.3 | 0.2 | 1.3 | 0.21 | 11.5 |
| GY4-H7 | 19.7 | 41.1 | 4.7 | 17.1 | 3.1 | 0.67 | 3 | 0.39 | 2 | 0.45 | 1 | 0.15 | 1 | 0.16 | 8.9 |
| GY4-H9 | 40.8 | 85.1 | 9.6 | 36.2 | 6.8 | 1.5 | 6.6 | 0.84 | 3.9 | 0.76 | 2.1 | 0.32 | 2.04 | 0.32 | 16.7 |
| GY4-H11 | 40.2 | 81.4 | 9.2 | 34.2 | 6.4 | 1.4 | 6.4 | 0.79 | 3.6 | 0.7 | 2 | 0.31 | 2 | 0.3 | 17.2 |
| GY4-H31 | 37.6 | 75 | 8.3 | 30.7 | 5.7 | 1.2 | 5.6 | 0.71 | 3.4 | 0.63 | 1.8 | 0.28 | 1.79 | 0.28 | 15.2 |
| GY4-H37 | 30.6 | 58.1 | 6.7 | 24.8 | 4.4 | 1 | 4.5 | 0.57 | 3 | 0.66 | 1.5 | 0.22 | 1.5 | 0.23 | 13.7 |
| GY4-H40 | 37.7 | 78 | 8.4 | 30.7 | 5.8 | 1.2 | 5.9 | 0.72 | 3.3 | 0.64 | 1.8 | 0.28 | 1.75 | 0.26 | 15.4 |
| GY4-H42 | 37.9 | 76.2 | 8.5 | 30.8 | 5.6 | 1.2 | 5.6 | 0.68 | 3.2 | 0.62 | 1.8 | 0.26 | 1.74 | 0.26 | 15.2 |
| GY4-H44 | 33.4 | 66.6 | 7.6 | 27.9 | 5.2 | 1.2 | 5.4 | 0.68 | 3.2 | 0.61 | 1.8 | 0.26 | 1.72 | 0.26 | 15.8 |
| GY4-H47 | 37.8 | 71.7 | 8.1 | 28.7 | 5.1 | 1.1 | 5 | 0.65 | 3.3 | 0.73 | 1.7 | 0.26 | 1.7 | 0.26 | 15.8 |
| Samples | ∑REE (μg/g) | ∑LREE (μg/g) | ∑HREE (μg/g) | LREE/HREE | (La/Lu)N | (La/Yb)N | δEu | δCe | Ceanom |
|---|---|---|---|---|---|---|---|---|---|
| GY3-H2 | 231.36 | 209.57 | 46.09 | 4.55 | 13.06 | 12.88 | 0.55 | 0.88 | −0.15 |
| GY3-H8 | 156.87 | 143.21 | 29.06 | 4.93 | 15.13 | 14.28 | 0.70 | 1.15 | −0.03 |
| GY3-H10 | 186.42 | 171.81 | 30.41 | 5.65 | 16.86 | 15.92 | 0.70 | 1.14 | −0.04 |
| GY3-H17 | 152.41 | 138.91 | 29.20 | 4.76 | 13.45 | 12.70 | 0.69 | 1.14 | −0.04 |
| GY3-H18 | 162.59 | 148.56 | 30.03 | 4.95 | 14.20 | 13.41 | 0.68 | 1.15 | −0.04 |
| GY3-H19 | 183.56 | 168.48 | 31.88 | 5.28 | 15.22 | 14.62 | 0.68 | 1.15 | −0.04 |
| GY3-H28 | 156.19 | 145.83 | 21.46 | 6.80 | 23.62 | 22.98 | 0.91 | 1.14 | −0.05 |
| GY3-H29 | 114.76 | 106.07 | 18.79 | 5.65 | 17.20 | 16.73 | 1.07 | 1.16 | −0.05 |
| GY3-H31 | 127.28 | 116.82 | 21.96 | 5.32 | 14.84 | 15.09 | 0.72 | 1.14 | −0.05 |
| Average of Guyou-3 | 163.49 | 149.92 | 28.76 | 5.32 | 15.95 | 15.40 | 0.74 | 1.12 | −0.06 |
| GY4-H7 | 94.52 | 86.37 | 17.05 | 5.07 | 13.19 | 13.28 | 0.67 | 1.20 | −0.02 |
| GY4-H9 | 196.88 | 180.00 | 33.58 | 5.36 | 13.65 | 13.48 | 0.68 | 1.18 | −0.02 |
| GY4-H11 | 188.90 | 172.80 | 33.30 | 5.19 | 14.35 | 13.55 | 0.67 | 1.17 | −0.03 |
| GY4-H31 | 172.99 | 158.50 | 29.69 | 5.34 | 14.38 | 14.16 | 0.65 | 1.18 | −0.03 |
| GY4-H37 | 137.78 | 125.60 | 25.88 | 4.85 | 14.25 | 13.75 | 0.69 | 1.13 | −0.05 |
| GY4-H40 | 176.45 | 161.80 | 30.05 | 5.38 | 15.53 | 14.52 | 0.63 | 1.22 | −0.01 |
| GY4-H42 | 174.36 | 160.20 | 29.36 | 5.46 | 15.61 | 14.69 | 0.66 | 1.19 | −0.02 |
| GY4-H44 | 155.83 | 141.90 | 29.73 | 4.77 | 13.76 | 13.09 | 0.69 | 1.16 | −0.03 |
| GY4-H47 | 166.10 | 152.50 | 29.40 | 5.19 | 15.57 | 14.99 | 0.67 | 1.16 | −0.04 |
| Average of Guyou-4 | 162.65 | 148.85 | 28.67 | 5.18 | 14.48 | 13.95 | 0.67 | 1.18 | −0.03 |
| Average of all samples | 163.09 | 149.41 | 28.72 | 5.25 | 15.25 | 14.71 | 0.71 | 1.15 | −0.04 |
| Samples | CIA a | CaO/ (MgO·Al2O3) | (Fe2O3 + CaO + MgO)/ (SiO2 + Al2O3) | Paleowater Temperature (°C) | Th/U | V/V + Ni | Sr/Ba | Babio (μg/g) | P/Ti | TOC/S |
|---|---|---|---|---|---|---|---|---|---|---|
| GY3-H2 | 84.14 | 0.02 | 0.10 | 30.09 | 4.63 | 0.75 | 0.53 | 274.91 | 0.07 | 44.94 |
| GY3-H8 | 78.59 | 0.08 | 0.13 | 29.34 | 3.50 | 0.81 | 0.45 | 458.92 | 0.08 | 72.07 |
| GY3-H10 | 79.21 | 0.04 | 0.12 | 29.78 | - | - | 0.35 | 496.92 | 0.05 | 28.28 |
| GY3-H17 | 83.35 | 0.04 | 0.12 | 29.42 | 3.25 | 0.82 | 0.66 | 304.92 | 0.06 | 58.49 |
| GY3-H18 | 82.09 | 0.04 | 0.11 | 29.57 | 3.50 | 0.79 | 0.52 | 360.92 | 0.05 | 39.41 |
| GY3-H19 | 83.52 | 0.04 | 0.11 | 29.15 | 2.67 | 0.77 | 0.54 | 411.92 | 0.07 | 50.72 |
| GY3-H28 | 75.76 | 0.14 | 0.11 | 26.44 | 2.80 | 0.82 | 0.31 | 1408.93 | 0.11 | 118.91 |
| GY3-H29 | 68.70 | 0.37 | 0.15 | 24.73 | - | - | 0.41 | 1421.94 | 0.36 | 85.41 |
| GY3-H31 | 80.09 | 0.08 | 0.14 | 30.20 | - | - | 0.35 | 392.92 | 0.04 | 52.38 |
| Average of Guyou-3 | 79.49 | 0.09 | 0.12 | 28.74 | 3.39 | 0.79 | 0.46 | 614.70 | 0.10 | 61.18 |
| GY4-H7 | 85.61 | 0.10 | 0.13 | 30.24 | 2.08 | 0.82 | 0.63 | 213.92 | 0.03 | 94.46 |
| GY4-H9 | 82.53 | 0.03 | 0.12 | 29.67 | 3.40 | 0.74 | 0.53 | 343.91 | - | 25.41 |
| GY4-H11 | 86.76 | 0.03 | 0.10 | 29.75 | 4.00 | 0.81 | 0.48 | 359.91 | 0.08 | 83.30 |
| GY4-H31 | 86.68 | 0.06 | 0.10 | 23.61 | 4.25 | 0.77 | 1.70 | 392.91 | 0.09 | 63.74 |
| GY4-H37 | 81.79 | 0.09 | 0.12 | 30.01 | 2.89 | 0.78 | 0.48 | 316.92 | 0.06 | 79.74 |
| GY4-H40 | 85.18 | 0.05 | 0.14 | 27.92 | 3.60 | 0.81 | 0.75 | 427.91 | 0.09 | 53.95 |
| GY4-H42 | 82.80 | 0.04 | 0.11 | 26.40 | 2.67 | 0.81 | 0.91 | 489.91 | 0.09 | 42.54 |
| GY4-H44 | 87.42 | 0.09 | 0.20 | 27.15 | 4.33 | 0.78 | 1.06 | 360.92 | 0.07 | 16.20 |
| GY4-H47 | 79.98 | 0.07 | 0.10 | 28.95 | 3.97 | 0.84 | 0.66 | 362.92 | 0.05 | 66.37 |
| Average of Guyou-4 | 84.31 | 0.06 | 0.12 | 28.19 | 3.47 | 0.80 | 0.80 | 363.25 | 0.07 | 58.41 |
| Average of all samples | 81.90 | 0.08 | 0.12 | 28.47 | 3.44 | 0.79 | 0.63 | 488.97 | 0.08 | 59.80 |
| TOC | TI | ∑REE | (La/Yb)N | δEu | δCe | CIA | CaO/ (MgO·Al2O3) | (Fe2O3 + CaO + MgO)/ (SiO2 + Al2O3) | Paleowater Temperature | Th/U | V/V + Ni | Sr/Ba | Babio | P/Ti | |
|---|---|---|---|---|---|---|---|---|---|---|---|---|---|---|---|
| TOC | 1.00 | ||||||||||||||
| TI | 0.62 | 1.00 | |||||||||||||
| ∑REE | −0.89 | −0.45 | 1.00 | ||||||||||||
| (La/Yb)N | 0.38 | 0.60 | −0.15 | 1.00 | |||||||||||
| δEu | 0.58 | 0.49 | −0.52 | 0.67 | 1.00 | ||||||||||
| δCe | 0.28 | −0.10 | −0.48 | 0.10 | 0.23 | 1.00 | |||||||||
| CIA | −0.45 | −0.56 | 0.34 | −0.62 | −0.85 | 0.02 | 1.00 | ||||||||
| CaO/ (MgO·Al2 O3) | 0.54 | 0.40 | −0.59 | 0.42 | 0.91 | 0.14 | −0.77 | 1.00 | |||||||
| (Fe2O3 + CaO + MgO)/ (SiO2 + Al2O3) | 0.28 | −0.09 | −0.42 | −0.07 | 0.26 | 0.25 | −0.03 | 0.36 | 1.00 | ||||||
| Paleowater temperature | −0.10 | 0.02 | 0.11 | −0.39 | −0.48 | −0.27 | 0.24 | −0.50 | −0.12 | 1.00 | |||||
| Th/U | −0.61 | −0.53 | 0.62 | −0.28 | −0.42 | −0.43 | 0.32 | −0.35 | 0.10 | −0.17 | 1.00 | ||||
| V/V + Ni | 0.45 | 0.30 | −0.52 | 0.28 | 0.31 | 0.39 | −0.28 | 0.36 | −0.06 | 0.00 | −0.30 | 1.00 | |||
| Sr/Ba | −0.22 | −0.46 | 0.10 | −0.31 | −0.33 | 0.22 | 0.54 | −0.18 | 0.04 | −0.61 | 0.36 | −0.15 | 1.00 | ||
| Babio | 0.40 | 0.48 | −0.26 | 0.85 | 0.92 | 0.08 | −0.81 | 0.78 | 0.10 | −0.58 | −0.22 | 0.22 | −0.28 | 1.00 | |
| P/Ti | 0.21 | 0.16 | −0.26 | 0.34 | 0.82 | 0.07 | −0.70 | 0.91 | 0.22 | −0.62 | 0.19 | −0.13 | −0.09 | 0.77 | 1.00 |
Publisher’s Note: MDPI stays neutral with regard to jurisdictional claims in published maps and institutional affiliations. |
© 2022 by the authors. Licensee MDPI, Basel, Switzerland. This article is an open access article distributed under the terms and conditions of the Creative Commons Attribution (CC BY) license (https://creativecommons.org/licenses/by/4.0/).
Share and Cite
He, W.; Tao, S.; Hai, L.; Tao, R.; Wei, X.; Wang, L. Geochemistry of the Tanshan Oil Shale in Jurassic Coal Measures, Western Ordos Basin: Implications for Sedimentary Environment and Organic Matter Accumulation. Energies 2022, 15, 8535. https://doi.org/10.3390/en15228535
He W, Tao S, Hai L, Tao R, Wei X, Wang L. Geochemistry of the Tanshan Oil Shale in Jurassic Coal Measures, Western Ordos Basin: Implications for Sedimentary Environment and Organic Matter Accumulation. Energies. 2022; 15(22):8535. https://doi.org/10.3390/en15228535
Chicago/Turabian StyleHe, Wei, Shu Tao, Lianfu Hai, Rui Tao, Xiangcheng Wei, and Lei Wang. 2022. "Geochemistry of the Tanshan Oil Shale in Jurassic Coal Measures, Western Ordos Basin: Implications for Sedimentary Environment and Organic Matter Accumulation" Energies 15, no. 22: 8535. https://doi.org/10.3390/en15228535
APA StyleHe, W., Tao, S., Hai, L., Tao, R., Wei, X., & Wang, L. (2022). Geochemistry of the Tanshan Oil Shale in Jurassic Coal Measures, Western Ordos Basin: Implications for Sedimentary Environment and Organic Matter Accumulation. Energies, 15(22), 8535. https://doi.org/10.3390/en15228535
