Minimum Current Optimization of DBSRC Considering the Dead-Time Effect
Abstract
:1. Introduction
2. Resonant Converter Control
2.1. DBSRC Fundamental Characteristics
2.2. Inductor Current Minimization of DBSRC
3. Dead-Time Effect and Its Compensation under MCT
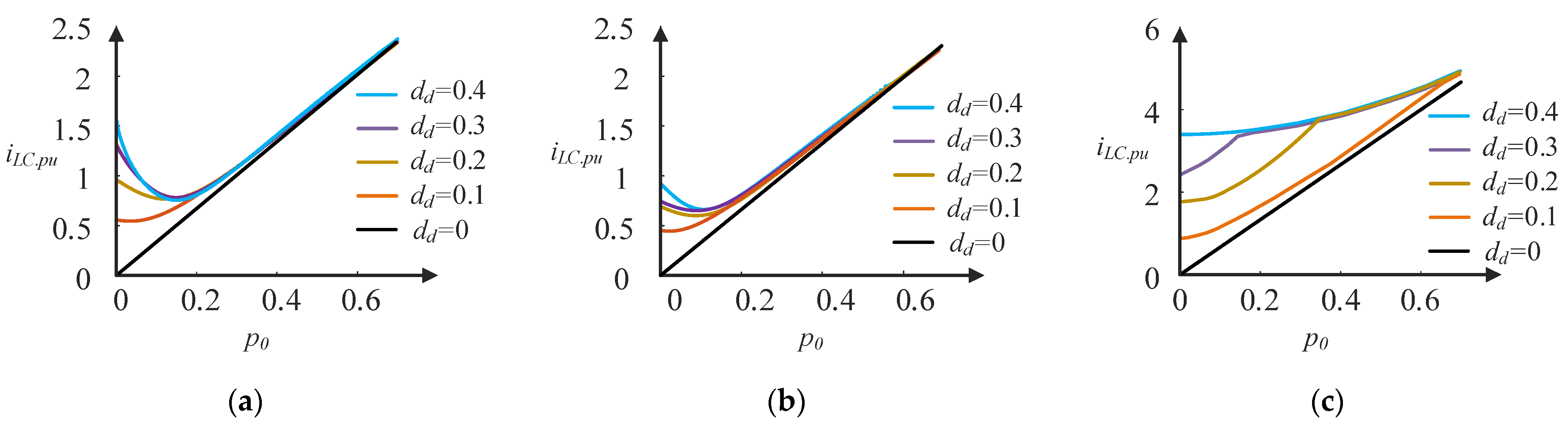
3.1. Effect of Dead-Time on the Half-Bridge Output Voltage
3.2. Effect of Dead-Time on Power Loss under MCT Strategy
3.2.1. The Effect of Dead-Time on the Full Power Range under Open-Loop Control
3.2.2. Effect of Dead-Time on RMS Current and Soft Switching under Closed-Loop Control
3.3. Minimum Current Trajectory with Dead-Time (MCT-d)
3.4. Comparison of MCT-d and MCT Optimization Effect
4. Simulation and Experiment
4.1. Current RMS Result
4.2. Soft-Switching Comparison under a Light Load
4.3. MCT and MCT-d Efficiency Curve
5. Conclusions
Author Contributions
Funding
Data Availability Statement
Conflicts of Interest
References
- De Doncker, R.W.A.A.; Divan, D.M.; Kheraluwala, M.H. A Three-Phase Soft-Switched High-Power-Density DC/DC Converter for High-Power Applications. IEEE Trans. Ind. Appl. 1991, 27, 63–73. [Google Scholar] [CrossRef]
- Kheraluwala, M.N.; Gascoigne, R.W.; Divan, D.M.; Baumann, E.D. Performance Characterization of a High-Power Dual Active Bridge DC-to-DC Converter. IEEE Trans. Ind. Appl. 1992, 28, 1294–1301. [Google Scholar] [CrossRef]
- Inoue, S.; Akagi, H. A Bidirectional Isolated DC–DC Converter as a Core Circuit of the Next-Generation Medium-Voltage Power Conversion System. IEEE Trans. Power Electron. 2007, 22, 535–542. [Google Scholar] [CrossRef]
- Shigenori, I.; Hirofumi, A. A Bidirectional DC–DC Converter for an Energy Storage System with Galvanic Isolation. IEEE Trans. Power Electron. 2007, 22, 2299–2306. [Google Scholar] [CrossRef]
- Oggier, G.G.; GarcÍa, G.O.; Oliva, A.R. Switching Control Strategy to Minimize Dual Active Bridge Converter Losses. IEEE Trans. Power Electron. 2009, 24, 1826–1838. [Google Scholar] [CrossRef]
- Zhao, B.; Song, Q.; Liu, W.; Sun, Y. Overview of Dual-Active-Bridge Isolated Bidirectional DC–DC Converter for High-Frequency-Link Power-Conversion System. IEEE Trans. Power Electron. 2014, 29, 4091–4106. [Google Scholar] [CrossRef]
- Zhao, B.; Song, Q.; Liu, W. Efficiency Characterization and Optimization of Isolated Bidirectional DC–DC Converter Based on Dual-Phase-Shift Control for DC Distribution Application. IEEE Trans. Power Electron. 2013, 28, 1711–1727. [Google Scholar] [CrossRef]
- Shao, S.; Chen, L.; Shan, Z.; Gao, F.; Chen, H.; Sha, D.; Dragičević, T. Modeling and Advanced Control of Dual-Active-Bridge DC–DC Converters: A Review. IEEE Trans. Power Electron. 2022, 37, 1524–1547. [Google Scholar] [CrossRef]
- Krismer, F.; Biela, J.; Kolar, J.W. A Comparative Evaluation of Isolated Bi-Directional DC/DC Converters with Wide Input and Output Voltage Range. In Proceedings of the Fourtieth IAS Annual Meeting. Conference Record of the 2005 Industry Applications Conference, Hong Kong, China, 2–6 October 2005; IEEE: Hong Kong, China, 2005; Volume 1, pp. 599–606. [Google Scholar]
- Luca, C.; Daniel, S.; Douglas, B.; Regan, Z.; Dragan, M.; Boris, J. Minimum Current Operation of Bidirectional Dual-Bridge Series Resonant DC/DC Converters. IEEE Trans. Power Electron. 2012, 27, 3266–3276. [Google Scholar] [CrossRef]
- Li, X.; Bhat Ashoka, K.S. Analysis and Design of High-Frequency Isolated Dual-Bridge Series Resonant DC/DC Converter. IEEE Trans. Power Electron. 2010, 25, 850–862. [Google Scholar] [CrossRef]
- Robert, L.; Florian, M.; De Doncker Rik, W. Comparison of Non-Resonant and Super-Resonant Dual-Active ZVS-Operated High-Power DC-DC Converters. In Proceedings of the 2009 13th European Conference on Power Electronics and Applications, Barcelona, Spain, 8–10 September 2009; pp. 1–10. [Google Scholar]
- Yang, B.; Ge, Q.; Zhao, L.; Zhou, Z. Analysis and Comparison of High Power Bidirectional Isolated DC/DC Converters for Power Electronic Transformer. In Proceedings of the 2018 21st International Conference on Electrical Machines and Systems (ICEMS), Jeju, Korea, 7–10 October 2018; pp. 2465–2470. [Google Scholar]
- Bez, F.; Han, W.; Corradini, L. A Low-Complexity Trajectory Controller for Reduced Conduction Losses in Series-Resonant Dual Half-Bridge Converters. IEEE Trans. Power Electron. 2018, 33, 9963–9974. [Google Scholar] [CrossRef]
- Bai, H.; Chris, M. Eliminate Reactive Power and Increase System Efficiency of Isolated Bidirectional Dual-Active-Bridge DC–DC Converters Using Novel Dual-Phase-Shift Control. IEEE Trans. Power Electron. 2008, 23, 2905–2914. [Google Scholar] [CrossRef]
- Han, W.; Corradini, L. General Closed-Form ZVS Analysis of Dual-Bridge Series Resonant DC–DC Converters. IEEE Trans. Power Electron. 2019, 34, 9289–9302. [Google Scholar] [CrossRef]
- Waffler, S.; Kolar, J.W. A Novel Low-Loss Modulation Strategy for High-Power Bidirectional Buck + Boost Converters. IEEE Trans. Power Electron. 2009, 24, 1589–1599. [Google Scholar] [CrossRef]
- Zhao, B.; Yu, Q.; Leng, Z.; Chen, X. Switched Z-Source Isolated Bidirectional DC–DC Converter and Its Phase-Shifting Shoot-Through Bivariate Coordinated Control Strategy. IEEE Trans. Ind. Electron. 2012, 59, 4657–4670. [Google Scholar] [CrossRef]
- Hou, N.; Song, W.; Wu, M. Minimum-Current-Stress Scheme of Dual Active Bridge DC–DC Converter with Unified Phase-Shift Control. IEEE Trans. Power Electron. 2016, 31, 8552–8561. [Google Scholar] [CrossRef]
- Yaqoob, M.; Loo, K.H.; Lai, Y.M. Extension of Soft-Switching Region of Dual-Active-Bridge Converter by a Tunable Resonant Tank. IEEE Trans. Power Electron. 2017, 32, 9093–9104. [Google Scholar] [CrossRef]
- Choi, W.; Rho, K.-M.; Cho, B.-H. Fundamental Duty Modulation of Dual-Active-Bridge Converter for Wide-Range Operation. IEEE Trans. Power Electron. 2016, 31, 4048–4064. [Google Scholar] [CrossRef]
- Bai, H.; Mi, C.C.; Gargies, S. The Short-Time-Scale Transient Processes in High-Voltage and High-Power Isolated Bidirectional DC–DC Converters. IEEE Trans. Power Electron. 2008, 23, 2648–2656. [Google Scholar] [CrossRef]
- Kadavelugu, A.; Baek, S.; Dutta, S.; Bhattacharya, S.; Das, M.; Agarwal, A.; Scofield, J. High-Frequency Design Considerations of Dual Active Bridge 1200 V SiC MOSFET DC-DC Converter. In Proceedings of the 2011 Twenty-Sixth Annual IEEE Applied Power Electronics Conference and Exposition (APEC), Fort Worth, TX, USA, 6–11 March 2011; pp. 314–320. [Google Scholar]
- Zhao, B.; Song, Q.; Liu, W.; Sun, Y. Dead-Time Effect of the High-Frequency Isolated Bidirectional Full-Bridge DC–DC Converter: Comprehensive Theoretical Analysis and Experimental Verification. IEEE Trans. Power Electron. 2014, 29, 1667–1680. [Google Scholar] [CrossRef]
- Xie, Y.; Sun, J.; Freudenberg, J.S. Power Flow Characterization of a Bidirectional Galvanically Isolated High-Power DC/DC Converter Over a Wide Operating Range. IEEE Trans. Power Electron. 2010, 25, 54–66. [Google Scholar] [CrossRef]
- Li, J.; Chen, Z.; Shen, Z.; Mattavelli, P.; Liu, J.; Boroyevich, D. An Adaptive Dead-Time Control Scheme for High-Switching-Frequency Dual-Active-Bridge Converter. In Proceedings of the 2012 Twenty-Seventh Annual IEEE Applied Power Electronics Conference and Exposition (APEC), Orlando, FL, USA, 19–23 March 2012; pp. 1355–1361. [Google Scholar]
- Yaqoob, M.; Loo, K.H.; Lai, Y.M. Modeling the Effect of Dead-Time on the Soft-Switching Characteristic of Variable-Frequency Modulated Series-Resonant DAB Converter. In Proceedings of the 2017 IEEE 18th Workshop on Control and Modeling for Power Electronics (COMPEL), Stanford, CA, USA, 9–12 July 2017; pp. 1–8. [Google Scholar]
- Teng, J.-H.; Liu, B.-H. Three-Stage Dead-Time Adjustment Scheme for Conversion Efficiency Enhancement of Phase-Shift Full-Bridge Converters at Light Loads. IEEE Trans. Ind. Electron. 2021, 68, 1210–1219. [Google Scholar] [CrossRef]
- Song, C.; Chen, A.; Chen, J.; Du, C.; Zhang, C. Dead-Time Effect Analysis of Dual Active Bridge DC-DC Converter with Dual-Phase-Shift Control. In Proceedings of the 2017 Chinese Automation Congress (CAC), Jinan, China, 20–22 October 2017; pp. 6545–6550. [Google Scholar]
- Jin, X.; Kong, L.; Deng, Z.; Li, H.; Gong, L.; Wang, Y. Improved Triple-Phase-Shift Control for DAB Converter to Minimize Current Stress with All-ZVS Operation Considering Dead-Time Effect. In Proceedings of the 2021 IEEE 12th Energy Conversion Congress Exposition-Asia (ECCE-Asia), Singapore, 24–27 May 2021; pp. 373–378. [Google Scholar]


















| p0 < pMCT | p0 ≥ pMCT | pMCT | |
|---|---|---|---|
| k < 1 | |||
| k ≥ 1 |
| Mode in Figure 6 | S1 (off) | S2 (on) | Current Paths in Figure 5 | On/Off Losses | Influence of Output Voltage |
|---|---|---|---|---|---|
| A | hard | soft | a-c-d | medium | none |
| B | soft | hard | a-b-d | medium | heavy |
| C | soft | soft | a-b-c-d | light | medium |
| D | hard | hard | a-c-b-d | heavy | medium |
| k < 1 | ta < tb | tb ≤ ta < tc | tc ≤ ta |
| Mode B | Mode D | Mode A | |
| k ≥ 1 | td < te | te ≤ td < tf | tf ≤ td |
| Mode A | Mode C | Mode B |
| vab RMS | vcd RMS | Phase Shift | Standardized Transmission Power | |
|---|---|---|---|---|
| k < 1, with dead-time | sin(πd1/2) | 1 | φ | p0 |
| k < 1, without dead-time | sin(πd1/2 − πdd/2) | 1 | φb = φ − πdd/2 | pb in Equation (9) |
| k ≥ 1, with dead-time | 1 | sin(πd2/2) | φ | p0 |
| k ≥ 1, without dead-time | 1 | sin(πd2/2 + πdd/2) | φf = φ − πdd/2 | pf in Equation (10) |
| p0 < pMCT-d | p0 ≥ pMCT-d | pMCT-d | |
|---|---|---|---|
| k < 1 | |||
| k ≥ 1 |
| Parameter | Value | Parameter | Value |
|---|---|---|---|
| Vdc1 | 100–200 V | Lr | 174 μH |
| Vdc2 | 100–200 V | Cr | 110 nF |
| nk | 1 | dead-time | 1 μs |
| fs | 40 kHz | Po | 2 kW |
Publisher’s Note: MDPI stays neutral with regard to jurisdictional claims in published maps and institutional affiliations. |
© 2022 by the authors. Licensee MDPI, Basel, Switzerland. This article is an open access article distributed under the terms and conditions of the Creative Commons Attribution (CC BY) license (https://creativecommons.org/licenses/by/4.0/).
Share and Cite
Yang, J.; Zhang, Y.; Wu, X. Minimum Current Optimization of DBSRC Considering the Dead-Time Effect. Energies 2022, 15, 8484. https://doi.org/10.3390/en15228484
Yang J, Zhang Y, Wu X. Minimum Current Optimization of DBSRC Considering the Dead-Time Effect. Energies. 2022; 15(22):8484. https://doi.org/10.3390/en15228484
Chicago/Turabian StyleYang, Jiawen, Yu Zhang, and Xinmi Wu. 2022. "Minimum Current Optimization of DBSRC Considering the Dead-Time Effect" Energies 15, no. 22: 8484. https://doi.org/10.3390/en15228484
APA StyleYang, J., Zhang, Y., & Wu, X. (2022). Minimum Current Optimization of DBSRC Considering the Dead-Time Effect. Energies, 15(22), 8484. https://doi.org/10.3390/en15228484

