Next Article in Journal
OpΕnergy: An Intelligent System for Monitoring EU Energy Strategy Using EU Open Data
Next Article in Special Issue
A Hybrid Experimental-Numerical Method to Support the Design of Multistage Pumps
Previous Article in Journal
Sustainable Development of Road Transport in the EU: Multi-Criteria Analysis of Countries’ Achievements
Previous Article in Special Issue
Experimental Study and Optimisation of a Non-Conventional Ignition System for Reciprocating Engines Operation with Hydrogen–Methane Blends, Syngas, and Biogas
 
 
Font Type:
Arial Georgia Verdana
Font Size:
Aa Aa Aa
Line Spacing:
Column Width:
Background:
Article

Preliminary Design of a Mini Gas Turbine via 1D Methodology

Department of Mechanical, Energy, Management and Transportation Engineering, University of Genoa, Via Montallegro 1, 16145 Genoa, Italy
*
Author to whom correspondence should be addressed.
Energies 2022, 15(21), 8293; https://doi.org/10.3390/en15218293
Submission received: 1 October 2022 / Revised: 24 October 2022 / Accepted: 31 October 2022 / Published: 6 November 2022

Abstract

To address the increasing interest towards more environmentally friendly naval transportation and the introduction of IMO2020 restrictions on pollutant emissions onboard ships, the present work details the preliminary design of a mini gas turbine engine, i.e., a gas turbine engine with an output power up to 5 MW, for onboard energy generation. In comparison to conventional propulsion systems, gas turbine units benefit from known compactness, which can be further enhanced by employing single-stage uncooled radial machines, according to similar works in the field. As such, the present paper aims to set up a complete procedure that allows a reliable and fast (i.e., requiring a limited computational effort) preliminary design of one-stage centrifugal compressors and radial turbines operating at a high pressure ratio via the use of classical one-dimensional theory. The aerodynamic design outputs in terms of forces and torques are then used to perform a preliminary mechanical design of the shaft by means of a one-dimensional finite element model with commercial software to estimate the corresponding shaft line stress. Despite some necessary geometrical and modeling simplification of the design problem, which results in the unavailability of detailed information on individual components, the employed procedure nevertheless allows a comprehensive overview of the possibilities in terms of maximum machine performance achievable at an early design stage with the associated limited computational requirements. The design procedure and the geometry achieved for the application are presented along with aerodynamic and structural results.

1. Introduction

Gas turbines (GT) are currently a renowned energy generation system, spanning the fields of inland energy generation [1,2], aircraft propulsion [3,4,5], and, according to the most recent examples in the literature, they seem to be valuable potential alternatives to conventional naval propulsion engines [6,7,8]. A general trend related to such engines towards the introduction of small-sized units can be seen. Inland-distributed generation in the context of the growing amount of renewable energy systems on the grid [1] and key applications such as clean water production via desalinization [9] would benefit from the use of compact combined heat and power (CHP) GT units, from both economic and performance perspectives. A similar need for compact machinery has been observed in the fields of aircraft propulsion [10] and naval onboard energy generation [11,12], where such machines are seen as valid options for compact layouts. Indeed, radial turbomachines benefit from their small overall dimensions, while maintaining interesting performance at low size [4,5,13]. The very first gas turbine engines designed for aviation were based mainly on radial turbomachines [3]. Similarly, gas turbines onboard naval ships mostly benefit from the higher power-to-weight ratio and lower startup times compared to diesel engines [14]. The development of gas turbine systems during the last three decades has shown both the high versatility of small units for distributed generation [15,16] and the high efficiency that is achievable by inland large power plants—up to 60% in combined cycle [17]. To achieve a good compromise between compactness and performance, radial GT units are often characterized by a high pressure ratio (PR) per stage [5,13]. Small units from Capstone realize up to 200 kW by regeneration and pressure ratios on the order of magnitude of four to—more rarely—five. Indeed, increasing this value poses additional aerodynamic challenges, such as transonic flow at compressor inlet near the blade tip [16] or at the turbine outlet [15]. Another remarkable commercial example is represented by Opra Turbines [18], which reach a declared nominal pressure ratio over six, achieved with single-stage radial components in a simple cycle. However, radial turbomachines exploiting PR > 5 in a single stage are rare in the field and require specific design. As an example, the following table (Table 1) summarizes two specific applications of a transonic centrifugal compressor (documented by Krain et al. [19,20]) and a centripetal high-PR turbine (see Jones [21], Sauret [22] for more detail).
The present work aims to set up a procedure that is able to provide a reliable and fast preliminary design of high-pressure-ratio centrifugal compressors and radial turbines for small-scale GTs, assessing the validity of classical, proven theory. This paper follows a previous analysis by the authors [23] concerning the potential application of mini gas turbine power units—ranging from 1 to 10 MW output—as main energy systems onboard ships. The potential of gas turbines as a technology was tested on a large-scale in the recent past on commercial passenger ships, i.e., the notorious case of Millennium Cruises [6], and is the object of promising recent studies on actual courses and modern vessel design [8,24]. Still, there seems to be little work in the field concerning smaller, compact, and modular solutions. Interestingly, the simple Brayton cycle reaches a local optimum efficiency for high temperatures between 1000 and 1200 K, with a PR around 6 [4], which can be realized by a single-stage, uncooled radial GT. Hence, previous works from the authors assessed the thermodynamic cycle and performances related to suitable cycles [11] and identified a proper window of applicability via statistical analysis on modern passenger ship [23]. More specifically, a mini gas turbine unit in combined cycle realizing 5 MW of net electrical power in CHP. The following sections will guide the reader from these findings to the design by means of classical one-dimensional models of the corresponding centrifugal compressor, the power turbine, and the mechanical shaft connecting the components that are properly designed to fulfill the power size and cycle requirements identified in the previous authors’ research. Such methodologies allow for the fast and reliable design and performance prediction of turbomachines [25,26]. A novelty of the present paper consists of the integration of aerodynamic and structural tools for the preliminary design of both the machines and the shaft required to operate them.

2. Thermodynamic Cycle

Thermodynamic cycle analysis has been largely explored in a previous work from the authors, where performances, estimated weight, and dimensions were compared against commercial engines onboard passenger ships [23]. The results identified a single-cycle mini gas turbine ranging from 4 to 5 MW net electric power (MWel), open to co-generation strategies as a competitive power unit in the field. In a combined cycle, the proposed plant could deliver up to 7 MWel while fully satisfying the onboard heat demand. Table 2 summarizes the design objectives derived from cycle design.
Rotational speed ω and target design efficiencies were chosen considering specific speed ( n s = ω · m ˙ / ρ r e f / ( Δ h i s 0.75 ) , where ρ r e f indicates the compressor rotor total outlet and turbine static exit density, respectively) via classical statistical maps reported in the work of Rodgers [27] and perfected by Van den Braembussche [28] for high-performance centrifugal impellers and similarly, from Glassman [29] and Baskharone [5] for axial and radial turbines. By employing thermodynamic cycle data, a suitable specific speed is selected by searching for the best compromise between machine performances. The calculated values of n s for the compressor and turbine are 0.35 and 0.68, respectively. The selected rotational speed should not compromise the mechanical integrity of both rotors, as the value reported in Table 2 falls close to and below other high-loaded applications in the field [18,20]. The design choice of a radial turbomachine type grants nearly undoubted advantages for the compressor in terms of compact design [13]. The pressure ratio reported in Table 2 was indeed chosen to allow for a single-stage unit at the cost of additional aerodynamic challenges—mainly, flow recirculation in the compressor due to strong adverse pressure gradients. It is worth noting that the same does not hold for the turbine; for increasing n s , axial gas turbines are usually capable of delivering more power at a higher efficiency [5]. However, at relatively low specific speeds (i.e., n s < 0.77 ) radial gas turbines are still a more efficient solution. Interestingly, the present evaluation— n s = 0.68 —also suggests the use of a radial turbine and predicts an efficiency range 7% higher than equivalent axial turbines for the same design target.

3. Compressor 1D Design

Centrifugal compressor design was largely based on the data presented in Table 2, which were used as boundary conditions for the implemented procedure. Calculations were carried out by means of an in-house code developed in Matlab, the logic of which is visualized in Figure 1 and summarized in the following:
  • From the working condition of the machine, inlet gas thermodynamic state and first guesses of the backsweep angle, impeller tip velocity, and radius are first computed;
  • Impeller inlet design is performed following the procedure highlighted by [13];
  • Impeller tip design is completed by employing the continuity equation at rotor outlet;
  • Loss correlations [30,31] are used in an internal loop to estimate impeller efficiency, up to stable convergence. An external loop updates the number of blades, looking for a good trade-off between efficiency and flow guidance at impeller outlet;
  • Upon convergence, diffuser design is performed either via a vaneless duct or wedges. The code returns the global performance of the machine, including the effect of both rotor and stator and the corresponding geometry for the application.
Backsweep angle was introduced in order to contain the action on the blade surface of Coriolis forces, responsible for the presence of the slip effect [13], which in the present work is accounted for by the classical model from Wiesner [32] for curved blades. The resulting blade bend allows for better machine efficiency at the expense of a slight radius increment. Indeed, the target PR is achieved by consecutively increasing the outlet radius up to the required value of the peripheral velocity [28]. Equations (1) and (2) describe the load factor as a function of the flow coefficient and the backsweep angle for an infinite and finite number of blades, respectively. By fixing the design values of other parameters into Equations (1) and (2), it is possible to determine the backsweep metal angle β 2 , M as a function of the number of blades. As can be seen from Figure 2, the required backsweep angle reduces as the number of blades grows due to better flow guidance. On the other hand, a high number of blades leads to increased aerodynamic losses in the channel. Hence, blade number is iterated based on impeller efficiency estimation.
ψ I N F = 2 1 ϕ 2 tan ( β 2 , M )
ψ = 2 1 ϕ 2 tan ( β 2 , M ) 2 cos ( β 2 , M ) Z r t 0.7
This number refers to the fractioning of the impeller outlet section and can be achieved by employing splitter blades, as required by the chosen slip model. Finally, impeller maximum tangential speed U and the corresponding diameter D for the specific application were achieved from the Euler work Equation [13].
ω 2 m ˙ π λ γ P t , 1 a t , 1 = M a 1 , s , r e l 3 ( s i n ( β 1 , s ) ) 2 c o s ( β 1 , s ) 1 + 1 2 ( γ 1 ) M a 1 , s , r e l 2 ( c o s ( β 1 , s ) ) 2 1 γ 1 + 3 2 = f ( M a 1 , s , r e l , β 1 , s )
Compressor inlet design was performed via Equation (3) (please refer to the list of symbols for more detail on the quantities involved), obtained by combining the definition of annulus area, continuity, and isentropic relations for compressible flow [13]. This relationship can be applied by following two possible approaches. For a given inlet relative flow angle near the shroud, the problem is already closed, and the equation can be solved to calculate the radius ratio from the factor λ = 1 r h r s 2 from the left-hand term. Otherwise, the value of β 1 , s maximizing f for a given M a can be found by employing partial derivatives. Both approaches require a target relative inlet Mach number at the shroud, which has been set from a sensitivity analysis performed on the code. The found values fall in the range of 1 to 1.5, in line with similar examples from the literature for radial compressors at high pressure ratios [19,20,28]. Finally, assuming null tangential velocity of the inlet flow, the code computes impeller inlet velocity components along the radial direction and completes velocity triangles accordingly. Outlet channel height is determined by the continuity equation, the target mass flow rate and the tip diameter calculated previously. To account for the effect of growing boundary layers along the channel, the code requires as input non-dimensional blockage factors to be calibrated at all sections. In the present work, the coefficients for rotor inlet and outlet follow standard practice from the literature [28] for high-performance compressors values range around 5% for impeller inlet and outlet. The program then estimates rotor isentropic total to total efficiency, following the work of Galvas [30] with addictions from Aungier [31] to include the effect of supersonic flows on performance. The employed loss correlations account for incidence, skin friction, diffusion, recirculation, and shocks (the corresponding equations are defined within the original references). Estimated performance affects total enthalpy at the impeller outlet, which is used to update the loss components iteratively and the velocity triangle, until convergence criteria are reached on efficiency variations. Finally, the code proceeds to stator design, either with a bladeless diffuser or wedges depending on user inputs: pressure coefficients and wedged angle from the literature [33,34]. The interposed vaneless space radius ratio is fixed at 1.10 [13] and flow is modeled via the logarithmic spiral approximation [35]. Impeller outlet flow angle is used to determine wedge geometry and the corresponding fluid properties at the outlet, while, in case of a vaneless diffuser, loss coefficients to account for frictional loss are introduced [28]. Diffuser design targets the pressure value set at turbine inlet from the thermodynamic cycle.
Given the demanding target application, the procedure described was tested and calibrated on a high-PR centrifugal compressor from the literature, documented by Krain et al. [19]. The results are presented in Table 3 and show fair robustness in both geometry and performance prediction, leading to its use for the target of the present work.
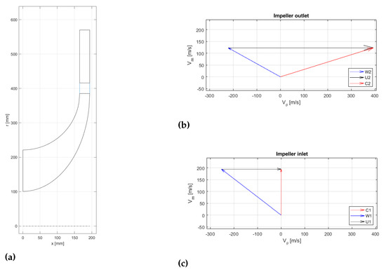
Design results are summarized in Figure 3 and Table 4. Here, channel geometry employs elliptical hub and shroud lines—following literature recommendations [13,28] for the impeller—and a wedge diffuser. This initial design shows that it is indeed possible to achieve the target pressure ratio with a relatively compact diameter. The corresponding velocity triangles at meanline are presented in Figure 3b,c.
A flow coefficient ϕ 2 and load factor ψ , equal to 0.2 and 1.41, respectively, are chosen in the upper limit of typical high-flow radial compressors [36]. Indeed, with a pressure ratio of 6.50, a backsweep angle of 45 , and N S 1 = 0.38 , total-to-total isentropic efficiency is estimated at 83% (specific speed definition from [28]), against a calculated value of 82.6%. The blade number converged to 26 in the present application, similar to existing examples in the literature [19]. Finally, the outlet diffuser radius found reached 570 mm, which determined a reasonable radial compactness of the machine.

4. Turbine 1D Design

Turbine preliminary design principally followed the work of Barsi et al. [15], with improvements to the rotor outlet: statistical tendencies were produced from similar radial turbines in the field and employed to determine nondimensional geometric ratios depending on a global parameter. Geometry was determined by means on an iterative procedure via an in-house Matlab program as described in Figure 4.
Inputs include gas inlet thermodynamic state, flow angle, operating point—set mass flow rate and rotational speed—target expansion ratio, total-total isentropic efficiency, and desired flow angle at outlet mean radius. The procedure also allows for the design of swept blades at the rotor inlet in a similar fashion to compressor impellers. However, the current geometry is expected to benefit from radial blades, aiming both to ease manufacturing and avoid bending stress for a significant mechanical benefit [15,29]. The desired stator inlet flow angle is set from a parallel work in the authors research group [37] concerning radial turbine combustors for power applications ranging between 1 and 10 MW.
From the boundary conditions, a first estimate of rotor inlet density and a corresponding specific speed are calculated, the latter of which is used to access the tendencies reported in Equations (4) to (12); the calculation sections are numbered from one to four from stator inlet to rotor outlet. All the reported equations are tendencies obtained from available data in the literature and a few commercial models [18,21,22,38,39]. Figure 5 highlights the rarity of this kind of turbine. For the desired application, the closest commercial gas turbine engine is the Opra OP16 [18], realizing 1.8 net MWel.
ψ = 2.611 · n s , i n + 2.975
D 1 D 3 = 0.704 · n s , i n + 1.068
D 2 D 3 = 0.622 · n s , i n + 1.312
D 4 , m l D 3 = 2.469 · n s , i n 0.490
b 1 D 3 = 0.079 · n s , i n + 0.027
b 4 D 3 = 1.071 · n s , i n 0.210
Z s t = 57.182 · n s , i n + 46.473
Z r t = 20.897 · n s , i n + 7.018
Δ X = 0.135 · n s , i n + 0.289
The automatic output of the tendencies is compared and corrected with known geometrical constraints from the literature at every iteration to avoid generating unreasonable shapes. These include hub-to-tip and inlet-to-shroud outlet radius ratios [13], vaneless space, and blade solidity, among others [40]. Rotor diameter is calculated from the load coefficient and target work, then employed to evaluate the dimensional coordinates (x,r) of the meridional channel nodes. At the rotor inlet, the classical Stanitz slip model [41] for radially straight blades is employed to estimate the optimal incidence angle [13,29]. The implemented model follows indications from Dixon [13], as the Coriolis forces at rotor inlet are governed by analogous relations to a compressor impeller outlet. At all sections, meanline analysis is performed to solve the energy equation and turbomachinery kinematics, while a density-based loop on continuity is used to determine static and total quantities according to isentropic flow relationships [13]. Rotor outlet 2D design is performed via the radial equilibrium equation (ISRE). The program employs an analytical solution of this classical equation, achieved by introducing the forced vortex law C θ ( r ) = k · r under the hypothesis of isentropic flow. Meanline tangential velocity is calculated via the desired rotor mean outlet angle from inputs, and the code expands the solution along the radius assuming negligible C r at turbine outlet. Using the forced vortex law is a design choice. The tangential velocity is set to be null at the blade outlet hub to prevent vortex breakdown, while a positive velocity component in the tangential direction is desirable to energize and stabilize boundary layers at the diffuser inlet. Following the 2D calculation, work exchange is verified by means of the Euler equation. In case of significant differences, this comparison drives small changes in turbine inlet diameter, which starts a new iteration of the procedure.
Turbine outlet diffuser design was carried out employing classical performance maps from the literature for axisymmetric conical diffusers [42]. Two different design choices are presented in Table 5, aiming for best performance and maximum compactness, respectively. The first solution consists of a very demanding diffuser, allowing for a lower turbine outlet pressure, as shown by the higher pressure coefficient, hence maximizing available work. However, pursuing maximum performance necessitates longer outlet channels, which for the current design were deemed as impractical, even when considering an ogive. On the other hand, the second diffuser, proposed in Table 5, represents a compromise between low inlet pressure, performance, and axial compactness, given the context of application [23]. Because of the reliance on maps, this information was used outside of the described procedure to achieve a fine calibration over the applied pressure boundary condition.
Analogously to the compressor, the turbine 1D design procedure was tested on a high-PR radial turbine from the literature [21], as documented in detail by Sauret [22]. The results are presented in Table 6 and show fairly good agreement with the reference literature. As such, the code was used to design the radial turbine suitable for a mini gas turbine in the present work; the results are summarized in Figure 6 and Table 7.
Interestingly, the calculated specific speed reflects the prediction of classical maps [5] for uncooled gas turbines, thus further suggesting the use of radial over axial architectures when in search of higher aerodynamic performances in the current application. The predicted rotor inlet relative flow angle is of −20 , achievable with a stator outlet angle of 69 , in line with literature recommendations [29,40]. Outlet absolute flow angle ranges from 0 at blade hub and does not overcome 10 near the tip. Overall, the turbine should operate with transonic flow between the stator and rotor due to high acceleration through the vanes, while rotor’s maximum outlet relative Mach number is predicted to be 0.8. However, the program does not include corrections due to profile or channel shapes choice, which can further influence flow guidance in transonic conditions, especially near the blade tip [29]. Nevertheless, the achieved meridional channel of Figure 6b is relatively compact and in line with gas turbines in the field with equivalent net power output [43]. Compared to more conventional radial turbomachines, such as micro GTs and turbochargers, the present design is still much larger [15], which poses additional challenges for rotor mechanical integrity. The design choice of an uncooled machine considered in this work allows for manufacturing simplicity at the cost of requiring heavy materials, such as nickel-based alloys, to survive at high temperatures. However, it is almost impossible to capture the 3D complex shape involved to accurately estimate mechanical stress with this design model, while the structural analysis of the radial turbine alone is projected in a future work employing 3D models, and the information presented so far allows for the stress analysis of the shaft.

5. Shaft Preliminary Design

A first design of the shaft was carried out by means of a simple static structural finite element (FE) analysis. The preliminary results presented will need to be verified and updated, accounting for the detailed analysis of the compressor, turbine, and shaft—including the size of the supports required by the dynamic analysis of the shaft line. The geometry essential for a structural analysis with the aid of FE simulation is chosen depending on the bearings adopted. For their choice, only the major load is first considered, which is the turbine torque M t transmitted towards the compressor and the electrical generator. An initial estimate of the corresponding shaft diameter D t , 0 can be calculated by considering the power balance of Equation (13) for a circular resisting section under torsional load by means of Equation (14) [44] and it will be verified under more comprehensive loads by new and complex FE model.
M t = m ˙ W ω
D t , 0 = 16 3 π · M t S F σ Y 3
Here, SF indicates the safety factor, normally ranging between two and three for gas turbine rotating components. The evaluation of Equations (13) and (14) yield M t = 7 kNm and D t , 0 = 77 mm by assuming generic steel as shaft material ( σ Y = 400 MPa) with a large SF = 3. The subsequent FE analysis allows for an update of this diameter considering all the loads known in the present design phase.
Figure 7 from Stefani et al. [45] plots the maximum allowable peripheral speed DN for different conditions and bearing categories relating to micro-GT plants. This has been applied to the bearing choice of the mini-GT at hand: the initial estimate of D t , 0 yields a tentative peripheral speed ( D N 0 = 1.15 · 10 6 mm rpm), which lies in the lowest range of micro-GTs. Although conventional high-precision rolling element bearings (in the red frame of Figure 7) might be an option for application, as far as peripheral speed is considered, the choice of sliding surface bearings (working in full hydrodynamic regime) is more justified, as the machine is more similar in size to conventional axial gas-turbines, which usually adopt such technical solution due to the much longer life and perceptibly higher load-carrying capacity. Therefore, the fluid film hydrodynamic bearings (highlighted by the blue frame in Figure 7) are recommended. Possible cutting-edge alternatives (in the green frame) such as foil and aerostatic or magnetic bearings, will be considered in the next future. Consequently, the shaft geometry must favor the hydrodynamic load-carrying capacity: a hollow shaft with large outer diameter D is well-suited for carrying the high torsional load, having a ratio between the inner and outer diameter (d/D) of less or equal than 0.65. The current choice lies near the upper bound, in agreement with several naval specifications advising a higher diameter for given strength. Figure 8 summarizes the proposed layout. The shaft is made up of a central part with a main diameter D and two lateral ones, representing the shoulders, housing the machines hubs. These are chosen so that the compressor and turbine shaft ends have diameters Dc and Dt, respectively, and by assuming shoulder fillet radii of 0.2 · D c , t for both machines and related stress concentration factors K equal to 1.5. Therefore, according to Muminović et al. [46], such assumptions yield D / D c = D / D t = 1.3 , which corresponds to a main shaft diameter of 100 mm with fillets r c = r t = 15 mm under the conservative assumption D t = D c . Such dimensions are reasonable, considering the turbine housing shaft end is submitted to M t , while the remaining end experiences a lower load.
Differently, no shaft shoulders are required for hydrodynamic bearings, so the journal diameter is not reduced at the shaft ends where the supports are located. An eventual reduction in the journal diameter related to bearing stability issues emerging from dynamical analysis will be updated in future design phase. The shaft ends serve as journals of the hydrodynamic supports. The axial dimensions are chosen to fit the expected size of the remaining components of the mini-GT unit. The corresponding FE model is depicted in Figure 9, including loads acting on the shaft line. A 2D simulation is carried out by means of commercial FE software (Ansys 2019 R3) and simple beam elements (BEAM188). The model includes proper constraints in the support locations, i.e., zero displacement at the compressor combined (axial/radial) bearing location, zero vertical displacement at the turbine radial bearing position, and zero rotation at the compressor side end. Impeller weights are simulated by the lumped forces F c and F t , while shaft weight is considered by imposing suitable distributed loads q, q c , and q t , as shown by Figure 9. These are calculated by assuming a high-temperature steel or alloy material having a reference volumetric mass of about 7.8 · 10 3 kg/m3. The proposed density is a reasonable overall value for nickel superalloys, in agreement with the work of Kutz [47], where values for such materials are reported in the range 7.0 8.5 · 10 3 kg/m3. After this preliminary design, more detailed analyses will allow us to choose more specifically the proper material for this application. Finally, compressor and turbine torques of M c = 3.80 kNm and M t = 7.00 kNm. respectively, are determined from the corresponding 1D design and Equation (13).
The pressure rise in the compressor and its sudden decrease in the turbine causes a force imbalance between the operating machines. The relevant axial loads in usual practice are partially compensated by sending pressurized air in the backdisk sealings [44] or by means of more sophisticated technical solutions [48]. For the present application, we propose that a small extraction of the mass flow exiting from the compressor is being used for sealing and force balance. Because the procedures described earlier for the 1D design of the turbine and compressor do not allow consistent simulation of the pressure variations, the axial forces exerted by both compressor and turbine are not known in the present design phase and they are ignored in the preliminary shaft design. After a detailed CFD (3D) simulation of the machine, the shaft structural analysis will be repeated, including these axial forces related to aerodynamic imbalance, which may perceptibly influence the stress distribution in the shaft. The mean operating temperatures of the uncooled compressor and turbine obtained averaging from rotor inlet to outlet are 200 and 700 C, respectively. The corresponding materials allowable for the application are expected to be titanium and nickel alloys, which allows for the assessment of the pertaining mass of the impellers at about 150 and 300 kg. Because the estimated weights ( F c = 1.47 kN and F t = 3.35 kN) exceed usual radial turbomachinery design applications [45], the proposed layout in Figure 8 introduces bearing supports for both machines. Albeit redundant, such a conservative solution aims to realize a balanced support for the heavy components.
By assuming a working temperature of the shaft made of alloy steel equal to 450 C (average between compressor and turbine values), its material properties may be the following [49]: Young modulus E = 180 GPa and Poisson ratio ν = 0.28 . Results of the FE structural analysis are presented in Figure 9, where the reference frame (x, y) is adopted to ease readability alongside the normalized coordinate ξ = x / L , L = 1577 mm being the total shaft length. A maximum displacement of 0.77 mm is measured at roughly ξ = 0.60 along the negative y axis. The shear force is negligible all over the shaft length and is then ignored. Therefore, the main stress source is torsion due to torque, which is presented in Figure 10a. Maximum shear stress is found to be constant, equal to τ m a x = 95 MPa in proximity of the turbine housing shaft part ( 0.7 < ξ < 0.77 ), which is the section with the minimum diameter D t .
As shown by the diagram in Figure 10b, the maximum absolute value of the bending stress is σ m a x = 27.3 MPa at ξ = 0.77 —the same as the maximum shear stress location. Therefore, this location can be identified as having the most relevant Von Mises stress σ V M = 167 MPa. Moreover, if considering stress concentration (K = 1.5) and assuming the bending stress in the shoulder section ( ξ = 0.7 ) as K σ m a x (a conservative choice, reasonably applicable as the shoulder is close to the location ξ = 0.77 ), the Von Mises stress reaches a σ V M K = 170 MPa. Because the reduction factor of the yield stress for a structural steel is roughly 0.7 at 450 C [50], if the shaft has the strength of an average alloy steel at room temperature ( σ y = 600 MPa), an approximate choice of its yield stress may be σ y = 400 MPa. Hence, the safety factor (SF) of the proposed design is 2.3, which lies in the permissible range of 2 < S F < 3 . To summarize, the present structural design can be carried out by considering the torque as a primary load if the axial force due to pressure imbalance into the operating machines is neglected. The results should be confirmed by simulating the pressure evolution in the compressor and turbine components by means of 3D CFD models to assess the shaft axial load reasonably.

6. Conclusions

The current context of naval propulsion and the increasing interest in more sustainable naval transport opens up the possibility of employing gas turbines as onboard engines and, more specifically, the use of smaller units in a modular layout. In the pursuit of compactness for onboard application, radial gas turbines seem to be a promising, yet challenging solution. Because the design of these kind of machines can become particularly complex as far as high pressure ratios are concerned, to reach the desired power, the present paper showed a preliminary procedure through in-house Matlab codes, that is able to achieve a reliable 1D machine design and allows a designer to assess a large number of configurations in a short time. Indeed, the developed codes proved to be able to facilitate the aerodynamic design of high-pressure-ratio compressors and turbines, as well as the static structural analysis of the shaft required to connect the components via a simple FE model of the shaft loads. Despite the lack of detailed information on the machines involved, the developed platform was capable of providing an overview of the required machine, by producing a preliminary geometry suitable to the application needs and assessing aerodynamic performance, structural integrity of the shaft, and a following tentative choice of bearings. This provides useful information during the preliminary design procedure, allowing for the discrimination of different options when considering new types of machines. Another achievement of the present work lies in the tendencies found for the main turbine design parameters, obtained from the available data in literature and few commercial models, to overcome an apparent lack of documentation related to high-pressure-ratio turbomachines. The procedure presented here allows for the definition of a preliminary architecture of a compressor and turbine, and it could be further extended in the future by integrating combustion chamber design. The natural subsequent step will be 3D design through commercial software, which will allow a more detailed perspective on the increase in the correlation’s reliability. Indeed, the results of CFD simulations could be used to find correlations properly suited for the present methods, i.e., equations based on a larger number of independent variables, which are exactly those taken into consideration for the 1D design procedure.

Author Contributions

Conceptualization, D.B., F.S. (Francesca Satta), F.S. (Fabrizio Stefani) and P.Z.; methodology, R.F., M.L., D.B. and F.S. (Fabrizio Stefani); software, R.F., M.L. and F.S. (Fabrizio Stefani); validation, R.F., M.L., F.S. (Fabrizio Stefani) and D.B.; formal analysis, R.F. and M.L.; resources, P.Z.; data curation, M.L. and D.B.; writing—original draft preparation, R.F., M.L. and F.S. (Fabrizio Stefani); writing—review and editing, D.B. and F.S. (Francesca Satta); visualization, M.L., R.F. and F.S. (Fabrizio Stefani); supervision, D.B. and F.S. (Francesca Satta); project administration, F.S. (Francesca Satta) and P.Z. All authors have read and agreed to the published version of the manuscript.

Funding

This research received no external funding.

Data Availability Statement

Data supporting the findings of the present study are available, upon reasonable request to the authors.

Conflicts of Interest

The authors declare no conflict of interest.

Abbreviations and Symbols

The following abbreviations and symbols are used in this manuscript:
aSpeed of sound
ARAspect ratio
bChannel height
CAbsolute flow velocity
C P Pressure coefficient
D,dDiameter, inner diameter (shaft), (subscr.) diffuser
DNBearing peripheral speed
EYoung’s modulus
el(subscr.) electric
FForce
FEFinite element
GTGas turbine
hEnthalpy, (subscr.) hub
inf(subscr.) infinite
is(subscr.) isentropic
K,kStress concentration factor, vortex law constant
Mass flow rate
MTorque, (subscr.) metal (angle)
MaMach number
ml(subscr.) meanline
MUMeasurement units
nrotations per minute
n s Specific speed ( N S 1 from [28])
N/RDiffuser aspect ratio
P,PRPressure, pressure ratio
qLinear weight [N/m]
rRadius, (subscr.) radial direction
rt(subscr.) Rotor
rel(subscr.) Relative reference frame
s(subscr.) Shroud, static
SFSafety Factor
stStator
TTemperature
t,tt,ts(subscr.) Total, total-to-total, total-to-static
trgt(subscr.) Target
UTangential velocity
VVelocity vector
VM(subscr.) Von Mises (stress)
WWork, relative velocity
y(subscr.) Yield (stress)
ZNumber of blades (vanes)
α Absolute flow angle
β Relative flow angle
γ Specific heat ratio
ϵ Tolerance
η Efficiency
θ Diffuser op. angle, (subscr.) tangntial direction
ν Poisson ratio
ξ Non-dimensional coordinate x/L
ρ        Fluid density
σ Mechanical stress
ϕ Flow coefficient
ψ Load coefficient
ω Rotational speed

References

  1. Souza, R.D.; Casisi, M.; Micheli, D.; Reini, M. A Review of Small–Medium Combined Heat and Power (CHP) Technologies and Their Role within the 100% Renewable Energy Systems Scenario. Energies 2021, 14, 5338. [Google Scholar] [CrossRef]
  2. Della Volpe, R. Macchine; Liguori: Napoli, Italy, 2015. [Google Scholar]
  3. Farokhi, S. Aircraft Propulsion, 2nd ed.; John Wiley and Sons Ltd.: The Atrium, Southern Gate; Chichester: West Sussex, UK, 2014. [Google Scholar]
  4. Cohen, H.E.; Rogers, G.F.C.; Saravanamuttoo, H.I.H. Gas Turbine Theory, 7th ed.; Pearson: Edinburgh Gate, Harlow, UK, 2017. [Google Scholar]
  5. Baskharone, E.A. Principles of Turbomachinery in Air-Breathing Engines; Cambridge University Press: Cambridge, UK, 2006. [Google Scholar]
  6. Sanneman, B.N. Pioneering Gas Turbine-Electric System in Cruise Ships: A performance update. Mar. Technol. Sname News 2004, 41, 161–166. [Google Scholar] [CrossRef]
  7. Haglind, F. A review on the use of gas and steam turbine combined cycles as prime movers for large ships. Part I: Background and design. Energy Convers. Manag. 2008, 49, 3458–3467. [Google Scholar] [CrossRef]
  8. Dotto, A.; Campora, U.; Satta, F. Feasibility study of an integrated COGES-DF engine power plant in LNG propulsion for a cruise-ferry. Energy Convers. Manag. 2021, 245, 114602. [Google Scholar] [CrossRef]
  9. Sokolova, E.V.; Sadeghi, K.; Ghazaie, S.H.; Barsi, D.; Satta, F.; Zunino, P. Feasibility of Hybrid Desalination Plants Coupled with Small Gas Turbine CHP Systems. Energies 2022, 15, 3618. [Google Scholar] [CrossRef]
  10. Balli, O.; Ekici, S.; Karakoc, H.T. Achieving a more efficient and greener combined heat and power system driven by a micro gas turbine engine: Issues, opportunities, and benefits in the presence of thermodynamic perspective. Int. J. Energy Res. 2021, 45, 8620–8638. [Google Scholar] [CrossRef]
  11. Barsi, D.; Costa, C.; Satta, F.; Zunino, P.; Busi, A.; Ghio, R.; Raffaeli, C.; Sabattini, A. Design of a Mini Combined Heat and Power Cycle for Naval Applications. J. Sustain. Dev. Energy Water Environ. Syst. 2020, 8, 281–292. [Google Scholar] [CrossRef]
  12. Barsi, D.; Costa, C.; Satta, F.; Zunino, P.; Sergeev, V.N. Feasibility of mini combined cycles for naval applications. In Proceedings of the EECE-2018 MATEC Web of Conferences, Saint-Petersburg, Russia, 19–20 November 2018. [Google Scholar]
  13. Dixon, S.L. Fluid Mechanics and Thermodynamics of Turbomachinery, 7th ed.; Elsevier: Waltham, MA, USA, 2014. [Google Scholar]
  14. Woodyard, D. Pounder’s Marine Diesel Engines and Gas Turbines, 9th ed.; Butterworth-Heinemann: Burlington, MA, USA, 2009. [Google Scholar]
  15. Barsi, D.; Perrone, A.; Ratto, L.; Simoni, D.; Zunino, P. Radial Inflow Turbine Design Through Multi-Disciplinary Optimisation Technique. In Proceedings of the ASME Turbo Expo 2015: Turbine Technical Conference and Exposition, Montreal, QC, Canada, 15–19 June 2015; ASME: Montreal, QC, Canada, 2015. [Google Scholar]
  16. Perrone, A.; Ratto, L.; Ricci, G.; Satta, F.; Zunino, P. Multi-Disciplinary Optimization of a Centrifugal Compressor for Micro-Turbine Applications. In Proceedings of the ASME Turbo Expo 2016: Turbomachinery Technical Conference and Exposition, Seoul, Korea, 13–17 June 2016; ASME: Seoul, Korea, 2016. [Google Scholar]
  17. Hansen, T. GE announces 60% efficient combined cycle. Electr. Light Power 1995, 73. Available online: https://www.osti.gov/biblio/96369 (accessed on 31 January 2020).
  18. Opra OP16. Opra Turbines Technical Datasheet. Available online: https://www.opraturbines.com/ (accessed on 31 January 2020).
  19. Krain, H.; Hoffmann, B.; Pak, H.Y. Aerodynamics of a Centrifugal Compressor Impeller With Transonic Inlet Conditions. In Proceedings of the International Gas Turbine and Aeroengine Congress and Exposition, Houston, TX, USA; 5–8 June 1995. [Google Scholar]
  20. Krain, H.; Hoffmann, B. Flow Study of a Redesigned High-Pressure-Ratio Centrifugal Compressor. J. Propuls. Power 2008, 24, 1117–1123. [Google Scholar] [CrossRef]
  21. Jones, A.C. Design and Test of a Small, High Pressure Ratio Radial Turbine. J. Turbomach.-Trans. Asme 1996, 118, 362–370. [Google Scholar] [CrossRef]
  22. Sauret, E. Open design of high pressure ratio radial-inflow turbine for academic validation. Sci. Eng. Fac. 2012, 7, 3183–3197. [Google Scholar]
  23. Barsi, D.; Luzzi, M.; Satta, F.; Zunino, P. On the Possible Introduction of Mini Gas Turbine Cycles Onboard Ships for Heat and Power Generation. Energies 2021, 14, 568. [Google Scholar] [CrossRef]
  24. Armellini, A.; Daniotti, S.; Pinamonti, P.; Reini, M. Evaluation of gas turbines as alternative energy production systems for a large cruise ship to meet new maritime regulations. Appl. Energy 2018, 211, 306–317. [Google Scholar] [CrossRef]
  25. Muppana, S.; Siddappaji, K.; Abdallah, S.; Turner, M. Low Fidelity Design and Analysis Parametric Tool for General Centrifugal Compressors. In Turbo Expo: Power for Land, Sea, and Air; Volume 2C: Turbomachinery; American Society of Mechanical Engineers (ASME): Two Park Avenue, NY, USA, 2019. [Google Scholar] [CrossRef]
  26. Reale, F.; Sannino, R. Numerical Modeling of Energy Systems Based on Micro Gas Turbine: A Review. Energies 2022, 15, 900. [Google Scholar] [CrossRef]
  27. Rodgers, C. Efficiency of Centrifugal Compressor Impellers. In Proceedings of the AGARD Conference Proceedings No.282—Centrifugal Compressors, Flow Phenomena and Performance, Brussels, Belgium, 7–9 May 1980; AGARD: Brussels, Belgium, 1980. [Google Scholar]
  28. Van den Braembussche, R. Design and Analysis of Centrifugal Compressors; ASME Press: Two Park Avenue, NY, USA; John Wiley & Sons, Inc.: Hoboken, NJ, USA, 2019. [Google Scholar]
  29. Glassman, A.J. Turbine Design and Application. NASA-sp-290; 1994. Available online: https://ntrs.nasa.gov/citations/19720019035 (accessed on 31 January 2020).
  30. Galvas, M.R. Computer Program for Predicting Off-Design Performance of Centrifugal Compressors. NASA technical note d-7487; 1973. Available online: https://ntrs.nasa.gov/citations/19740001912 (accessed on 31 January 2020).
  31. Aungier, R.H. Centrifugal Compressors: A Strategy for Aerodynamic Design and Analysis; ASME Press: Two Park Avenue, NY, USA, 2000. [Google Scholar]
  32. Wiesner, F. A review of slip factors for centrifugal compressors. J. Eng. Power 1967, 89, 558–572. [Google Scholar] [CrossRef]
  33. Reneau, L.R.; Johnston, J.P.; Kline, S.J. Performance and Design of Straight, Two-Dimensional Diffusers. J. Basic Eng. 1967, 89, 141–150. [Google Scholar] [CrossRef]
  34. Casey, M.; Robinson, C. Radial Flow Turbocompressors; Cambridge University Press: Cambridge, UK, 2021. [Google Scholar]
  35. Japikse, D. Centrifugal Compressor Design and Performance; Concepts Eti: White River Junction, VT, USA, 1996. [Google Scholar]
  36. Sato, T.; Oh, J.M.; Engeda, A.E. Experimental and Numerical Investigation of the Flow in a Vaneless Diffuser of a Centrifugal Compressor Stage. Part 1: Experimental Investigation. Proc. Inst. Mech. Eng. Part C J. Mech. Eng. Sci. 2005, 219, 1053–1059. [Google Scholar] [CrossRef]
  37. Pappalardo, J. Reverse Flow Combustor Design for a Flexible Fuel Micro Gas Turbine. Ph.D. Thesis, Dipartimento di Ingegneria Meccanica, Energetica, Gestionale e dei Trasporti, Università degli Studi di Genova, Genoa, Italy, 2021. Available online: http://hdl.handle.net/11567/1047033 (accessed on 15 November 2019).
  38. Simonyi, P.S.; Roelke, R.J.; Stabe, R.G.; Nowlin, B.C.; Dicicco, D. Aerodynamic Evaluation of Two Compact Radial-Inflow Turbine Rotors. In NASA tp-3514; 1995. Available online: https://ntrs.nasa.gov/citations/19960003236 (accessed on 31 January 2020).
  39. Noughabi, A.K.; Sammak, S. Detailed Design and Aerodynamic Performance Analysis of a Radial-Inflow Turbine. Appl. Sci. 2018, 8, 2207. [Google Scholar] [CrossRef]
  40. Simpson, A.; Spence, S.; Watterson, J.I.W. Numerical and Experimental Study of the Performance Effects of Varying Vaneless Space and Vane Solidity in Radial Turbine Stators. J. Turbomach.-Trans. Asme 2013, 135, 031001. [Google Scholar] [CrossRef]
  41. Stanitz, J.D. Some Theoretical Aerodynamic Investigations of Impellers in Radial- and Mixed-Flow Centrifugal Compressors. J. Fluids Eng. 1952, 74, 473–497. [Google Scholar] [CrossRef]
  42. Klomp, E.; Sovran, G. Experimentally determined optimum geometries for rectilinear diffusers with rectangular, conical or annular cross-section(Optimum geometry for rectilinear diffuser with rectangular, conical or annular cross section noting flow regime, performance characteristics and boundary layer effect). Fluid Mech. Iinternal Flow Proc. A Symp. Warren Mich. 1967, 20, 270–319. [Google Scholar]
  43. GE 4.6 MW Marine Gas Turbine. GE Technical Datasheet. Available online: https://www.geaviation.com/marine/ (accessed on 31 January 2020).
  44. Ghavami, P. Torsion in Circular Sections. In Mechanics of Materials; Springer: Cham, Switzerland, 2015; pp. 163–176. [Google Scholar] [CrossRef]
  45. Stefani, F.; Perrone, A.; Ratto, L.; Francesconi, R. Comparative Analysis of Bearings for Micro-GT: An Innovative Arrangement. In Bearing Technology; 2017; Available online: https://www.intechopen.com/books/5523 (accessed on 31 January 2020). [CrossRef]
  46. Muminović, A.J.; Saric, I.; Repci’c, N. Numerical Analysis of Stress Concentration Factors. Procedia Eng. 2015, 100, 707–713. [Google Scholar] [CrossRef]
  47. Kutz, M. Mechanical Engineers’ Handbook: Materials and Mechanical Design; John Wiley & Sons, Inc.: Hoboken, NJ, USA, 2005; Volume 1. [Google Scholar]
  48. Fabrizio Stefani, R.; Francesconi, A.P. FEM Design of a Cutting-Edge Support System for Micro-GT. Adv. Tribol. 2018, 2018, 9016906. [Google Scholar]
  49. Koul, A.K.; Tiku, A.; Bhanot, S.; Junkin, B. Physics of Failure Modelling at the Microstructural Level for Prognostics of Creep Failure in an Engine Turbine Blade. In Proceedings of the RTO AVT-144 Workshop on “Enhanced Aircraft Platform Availability Through Advanced Maintenance Concepts and Technologies”, Vilnius, Lithuania, 3–5 October 2006. [Google Scholar]
  50. Outinen, J.; Mäkeläinen, P. Mechanical properties of structural steel at elevated temperatures and after cooling down. Fire Mater. 2004, 28, 237–251. [Google Scholar] [CrossRef]
Figure 1. Centrifugal compressor 1D design workflow.
Figure 1. Centrifugal compressor 1D design workflow.
Energies 15 08293 g001
Figure 2. Load coefficient vs. backsweep angle, for a finite and infinite number of blades Z r t .
Figure 2. Load coefficient vs. backsweep angle, for a finite and infinite number of blades Z r t .
Energies 15 08293 g002
Figure 3. Compressor geometry: (a) meridional channel, impeller outlet (b) and inlet (c) velocity mean triangles. Subscripts: 1—impeller inlet; 2—impeller outlet.
Figure 3. Compressor geometry: (a) meridional channel, impeller outlet (b) and inlet (c) velocity mean triangles. Subscripts: 1—impeller inlet; 2—impeller outlet.
Energies 15 08293 g003
Figure 4. Centripetal turbine 1D design workflow.
Figure 4. Centripetal turbine 1D design workflow.
Energies 15 08293 g004
Figure 5. Example of statistical tendencies for high expansion ratio radial turbines: (a) inlet and (b) outlet channel heights. Subscripts: 1—stator inlet; 2—stator outlet; 3—rotor inlet; 4—rotor outlet.
Figure 5. Example of statistical tendencies for high expansion ratio radial turbines: (a) inlet and (b) outlet channel heights. Subscripts: 1—stator inlet; 2—stator outlet; 3—rotor inlet; 4—rotor outlet.
Energies 15 08293 g005
Figure 6. Turbine 1D design: (a) rotor inlet and (b) meanline rotor outlet velocity triangles, (c) meridional channel. Subscripts: 1—stator inlet; 2—stator outlet; 3—rotor inlet; 4—rotor outlet.
Figure 6. Turbine 1D design: (a) rotor inlet and (b) meanline rotor outlet velocity triangles, (c) meridional channel. Subscripts: 1—stator inlet; 2—stator outlet; 3—rotor inlet; 4—rotor outlet.
Energies 15 08293 g006
Figure 7. Admissible peripheral speed DN for candidate supports; dotted line shows the minimum allowable DN for micro-GT units [45].
Figure 7. Admissible peripheral speed DN for candidate supports; dotted line shows the minimum allowable DN for micro-GT units [45].
Energies 15 08293 g007
Figure 8. Layout of the shaft line, including compressor and turbine impellers with center of mass G c and G t and radial plain bearings; all dimension units are millimeters (mm).
Figure 8. Layout of the shaft line, including compressor and turbine impellers with center of mass G c and G t and radial plain bearings; all dimension units are millimeters (mm).
Energies 15 08293 g008
Figure 9. FE beam model and static scheme of the shaft line.
Figure 9. FE beam model and static scheme of the shaft line.
Energies 15 08293 g009
Figure 10. (a) Torque diagram and (b) bending stress diagram at the top of the beam.
Figure 10. (a) Torque diagram and (b) bending stress diagram at the top of the beam.
Energies 15 08293 g010
Table 1. Design characteristics of a high-PR centrifugal compressor and centripetal turbine. PR indicates the total-to-total and total-to-static pressure ratios as reported by Krain et al. [19] and Sauret [22], respectively.
Table 1. Design characteristics of a high-PR centrifugal compressor and centripetal turbine. PR indicates the total-to-total and total-to-static pressure ratios as reported by Krain et al. [19] and Sauret [22], respectively.
ParameterMUKrainJones
Pt,in[bar]1.015.80
Tt,in[K]293.151056.50
PR[ - ]6.105.73
[kg/s]2.550.33
n[rpm]50,000106,580
Main[ - ]1.300.99
η t t [%]84.0086.40
Table 2. Design parameters from gas cycle calculation [23].
Table 2. Design parameters from gas cycle calculation [23].
InputMUCompressorTurbine
Pt,in[bar]1.016.26
Tt,in[K]2931223
[kg/s]24.2024.56
PR[ - ]6.506.00
η t t [ - ]0.820.90
n[rpm]15,00015,000
Table 3. Centrifugal compressor design—procedure calibration [19]. Subscripts 1 and 2 indicate impeller inlet and outlet sections, respectively.
Table 3. Centrifugal compressor design—procedure calibration [19]. Subscripts 1 and 2 indicate impeller inlet and outlet sections, respectively.
r 1 , ml b 1 r 2 b 2 PR tt , 1 2 PR ts , 1 2 η is , 1 2
[mm][mm][mm][mm][ - ][ - ][%]
Ref.54.0048.00112.0010.206.105.7084.00
RC1D55.1045.10113.209.706.175.9784.70
% var.+2.00+6.30−1.10−4.90+1.20+0.85+3.40
Table 4. Centrifugal compressor design output Z r t specifies the overall number of impeller main and splitter blades. Subscripts: 1—rotor inlet; 2—rotor outlet; 3—diffuser inlet; 4—diffuser outlet.
Table 4. Centrifugal compressor design output Z r t specifies the overall number of impeller main and splitter blades. Subscripts: 1—rotor inlet; 2—rotor outlet; 3—diffuser inlet; 4—diffuser outlet.
ParameterMUValueParameterMUValueParameterMUValue
ϕ 2 [ - ]0.2 ψ [ - ]1.41 n s [ - ]0.46
α 1 [ ]0.00 r 2 [mm]377 Δ x / r 2 [ - ]0.52
β 1 , h [ ]39.53 b 2 / r 2 [ - ]0.0817 Z r t [ - ]13 + 13
β 1 , s [ ]60.73 r 1 , s / r 2 [ - ]0.59 Z d [ - ]27
β 2 , M [ ]45.00 r 1 , h / r 1 , s [ - ]0.46 r 4 [mm]570
α 2 [ ]73.00 α 4 [ ]37 r 3 / r 4 [ - ]1.40
Table 5. Outlet diffuser preliminary design. Parameters according to Dixon [13].
Table 5. Outlet diffuser preliminary design. Parameters according to Dixon [13].
P t 4 P 4 C P N / R in θ AR η D
[bar][bar][ - ][ - ][ ][ - ][ - ]
Diff11.070.740.831932.5088.60
Diff21.100.870.62552.0083.25
Table 6. Centripetal turbine design—procedure calibration [22]. Numeric convention is analogous to Figure 5.
Table 6. Centripetal turbine design—procedure calibration [22]. Numeric convention is analogous to Figure 5.
r 3 b 3 r 4 , ml b 4 PR ts , 1 4 U 3 / C sp
[mm][mm][mm][mm][ - ][ - ]
Ref.58.206.3526.0021.605.730.70
RT1D56.306.4024.2021.205.740.72
% var.−3.26+0.79−6.92−1.85+0.17+2.85
Table 7. Radial turbine design output: β 3 represents the optimal incidence angle [29] for a radial blade ( β 3 , M = 0 ).
Table 7. Radial turbine design output: β 3 represents the optimal incidence angle [29] for a radial blade ( β 3 , M = 0 ).
ParameterMUValueParameterMUValueParameterMUValue
ϕ 3 [ - ]0.34 ψ [ - ]1.98 n s [ - ]0.66
α 1 [ ]22.12 b 1 / r 3 [ - ]0.0794 Z r t [ - ]15
α 4 , m l [ ]1.50 Δ X / r 3 [ - ]0.68 Z s t [ - ]25
β 3 [ ]−20.00 r 4 , t / r 3 [ - ]0.63 r 2 / r 3 [ - ]1.05
r 3 [mm]424.92 r 4 , t / r 4 , h [ - ]0.40 r 2 / r 1 [ - ]0.81
Publisher’s Note: MDPI stays neutral with regard to jurisdictional claims in published maps and institutional affiliations.

Share and Cite

MDPI and ACS Style

Francesconi, R.; Luzzi, M.; Barsi, D.; Satta, F.; Stefani, F.; Zunino, P. Preliminary Design of a Mini Gas Turbine via 1D Methodology. Energies 2022, 15, 8293. https://doi.org/10.3390/en15218293

AMA Style

Francesconi R, Luzzi M, Barsi D, Satta F, Stefani F, Zunino P. Preliminary Design of a Mini Gas Turbine via 1D Methodology. Energies. 2022; 15(21):8293. https://doi.org/10.3390/en15218293

Chicago/Turabian Style

Francesconi, Ramon, Matteo Luzzi, Dario Barsi, Francesca Satta, Fabrizio Stefani, and Pietro Zunino. 2022. "Preliminary Design of a Mini Gas Turbine via 1D Methodology" Energies 15, no. 21: 8293. https://doi.org/10.3390/en15218293

APA Style

Francesconi, R., Luzzi, M., Barsi, D., Satta, F., Stefani, F., & Zunino, P. (2022). Preliminary Design of a Mini Gas Turbine via 1D Methodology. Energies, 15(21), 8293. https://doi.org/10.3390/en15218293

Note that from the first issue of 2016, this journal uses article numbers instead of page numbers. See further details here.

Article Metrics

Back to TopTop