Abstract
Poland remains the most coal-dependent economy in the EU. To minimize that problem, which is particularly clear and dangerous in the period of a shortage of fossil fuels, the Polish authorities have decided to establish various institutions, organizational and regulatory solutions. Their role is to support the development of renewable energy sources and local energy communities. The latter are to focus on optimizing the production and consumption of energy in pursuit of energy self-sufficiency on a local scale. One such institution, set up in Poland over the last several years, is the energy cooperative, which is intended to increase the efficient use of the potential of renewable energy sources in rural and urban–rural areas. The authors of this article verify the assumptions, for instance, the number, composition or production and members’ consumption profiles, under which such a relatively new institution has the chance to develop. A novelty in this research paper is that the interests of the entities composing a given energy cooperative may additionally be secured by the use of surplus generation for crypto-coin mining, and thus the storage of energy in virtual currency. A dedicated mathematical model in mixed-integer programming technology was used, enriched with respect to previous research, making it possible for members of the cooperative to achieve energy independence while maximizing self-consumption and using their excess energy for processing cryptocurrency. This is in line with the global trend of “greening”; the processes of acquiring electronic money.
1. Introduction
The period 2019–2022 featured high instability in the power sector, which was first caused by the COVID-19 pandemics affecting the behavior of market participants [1,2], and their demand [3,4], and then by a dramatic growth in the prices of energy carriers [5]. This particularly affects countries such as Poland, which heavily rely on fossil fuels for their energy mix. Such a situation forces local governments to look for decarbonization solutions [6,7] and market operators to build energy independence [8,9], seek alternatives to purchasing energy from their regular suppliers [10,11] and verify long-term methodologies and modeling [12], including in the area of tariffing [13]. The Polish energy sector, relying mainly on coal, is trying to evolve in the direction set by the EU in order to increase the share of renewable energy in the overall production balance, thus trying to reduce its dependence on gas or coal imports. The EU direction of energy-market transformation has been reflected not only in financial incentives offered to Polish prosumers [14,15], but also in Polish law, where, similarly to the EU provisions which promote energy communities, [16] and specify legislative requirements [17,18], two institutions were created that introduce the civil dimension of energy. These include energy clusters [19] and energy cooperatives [20]—the latter being the newest form of support for distributed civil energy—are the subject of consideration by the authors of this paper. They have already referred to the issue of development of energy cooperatives on several occasions, [21] the impact of storage and the capacity market [22], and the impact of the COVID pandemic, [2] as in their opinion these institutions have the potential both to increase the number of renewable energy sources (RES) plants in Poland and to use them effectively, mostly in rural areas, and can be a tool for long-lasting cooperation between energy producers and consumers in the area of local energy optimization. However, we still need to seek solutions that will make the energy cooperatives institutions secure the interests of their members, which will contribute to the development of this form of cooperation in rural areas.
One such measure is to find necessary solutions that would stabilize the supply-and-demand profile within the energy cooperative and the microgrid it may cover. Energy cooperatives are often based on multiple distributed sources, which can cause instability in the system frequency [23]. One of the methods of stabilizing grid operation is to use energy storage in the form of supercapacitors [24]. However, this solution only affects the system’s operating quality in the ultra-short-term dimension. Meanwhile, members of the cooperative need stabilization of the profile in the short- and medium-term (for example, based on energy storage [22]). An interesting example is the operating energy community in northern Texas, consisting of 10,000 homes, where the energy carrier used to cover the demand for heat and electricity is hydrogen [25]. Irrespective of the solutions for the physical storage of energy, a number of concepts have arisen among local communities based on virtual substitutes [26] and the tokenization of energy [27], blockchain billing mechanisms [28], sales automation without the participation of energy trading companies [29], trading platforms [30] and prosumer-support tools [31], which are becoming increasingly important and may be an interesting alternative to conventional solutions.
In the authors’ opinion, one of the most interesting and future-oriented ways of improving the operating efficiency of cooperatives seems to be to use the members’ energy surpluses for crypto-coin mining. The latter, even if they went through a difficult time in 2022 [32,33], may be an additional source of security for the interests of members of local communities as well as an additional guarantee of the profitability of an energy cooperative. At the same time, the combination of energy generation within an energy cooperative with crypto-coin mining will follow the trend of “greening”, the processes of electronic money acquisition [33]. In addition, it must be emphasized that the use of excess energy for mining may help to stabilize the resultant profile of the cooperative’s energy demand, and thus to reduce the balance of energy exchange with the distribution network, improving its performance parameters.
The objective of our paper is to check the generation configurations (number, type and capacity of sources) and consumption (profile and level of energy demand) in which it is possible to make an energy cooperative that uses excess energy for a constant supply of the “crypto-coin mining” and the storage of the energy in virtual currency cost-efficient (i.e., for its members to achieve energy independence within a specified time). An answer to the question of whether the energy cooperative will be a viable solution for potential members who wish to build their full energy independence while buffering the surpluses of generated energy in the form of crypto-currencies will be given. It is worth mentioning that crypto-coin mining needs a continuous inflow of energy that prevents the mining from being interrupted; such an interruption implies a loss, as it stops the computing processes.
The contribution of the paper to scientific literature lies in proving that the considerations over the profitability of energy communities [13], whose specific form is the energy cooperatives established in Polish rural areas, may be enriched with the analysis of additional ways of earning money on their surplus energy. On one hand, this may result in an increased tendency to invest in renewable energy sources and in more effective management of the surplus. At the same time, the load of distribution networks will decrease, and the degree of “greening” will improve [34].
The paper is structured as follows. The second section provides information on the specific nature of the institution of energy cooperative (where possible, the authors refer to earlier works, articles and research on energy cooperatives) and presents information about changes in the sources of energy used for crypto-coin mining. The next section (Materials and Methods) describes the output data and their selection, as well as the mathematical optimization method, which has been applied in the research process. In Section 4 (Results and Discussion), we present the research results, which are discussed step by step. The most important component of the research and analyses was to simulate the process of creating energy cooperatives in a form that ensures the principal objective function, which is to achieve energy independence for their members while maximizing self-consumption (i.e., minimizing the use of the network deposit) and using their excess energy for processing into a cryptocurrency. The final section presents conclusions, which summarize all the research and present its universal nature with reference to the issue of resilience and profitability of establishing the institutions that become part of the concept of energy communities, which is becoming increasingly recognized worldwide with the use of security taking the form of electronic currency.
It should be emphasized that the purpose of this article was not to verify the extent to which the acquisition of cryptocurrencies through the use of renewable energy sources owned by members of energy cooperatives may be sustainable in terms of energy or the environment. However, it remains unquestionable that the establishment of new energy cooperatives additionally protected by the acquisition of cryptocurrencies will contribute to the greening of their mining process.
2. Background
2.1. Operating Principles of Energy Cooperatives
The activity of an energy cooperative may only be conducted in the territory of a rural or urban-rural municipality or in no more than three such municipalities directly adjacent to each other [35,36]. The energy cooperative relies on [21]:
- The generation of electricity or biogas, or heat in RES systems;
- The balancing of the demand for the auxiliaries of the energy cooperative and its members.
In addition:
- 3.
- The total capacity of the cooperative’s RES system must cover no less than 70% of its auxiliaries;
- 4.
- The maximum capacity generated by the energy cooperative is not to exceed 10 MW (30 MW for heat);
- 5.
- The maximum membership is 999;
- 6.
- The energy cooperative generates electricity (as well as biogas or heat) exclusively for its auxiliaries and the auxiliaries of its members;
- 7.
- The cooperative discharges the surplus to the common distribution network. The billing of the provision and consumption of energy to and from the network is carried out in the system of discounts at the ratio of 1:0.6, i.e., with the possibility of the cooperative recovering 60% of previously produced (and unused) energy. In other words, for 1 MWh of energy generated by the cooperative and not used at a given moment by its members, i.e., discharged to the distribution network (which in this case acts as a virtual storage of energy not used by the cooperative), 0.6 MWh (600 kWh) of energy can be taken from the distribution network. This billing applies to electricity fed into and taken from the distribution network by all electricity producers and consumers who are members of the cooperative. According to Polish law, individual prosumers may benefit from discounts at the ratio of 1:0.8 or 1:0.7, depending on the capacity of their sources [20].
- 8.
- The “external” balancing of cooperatives with the seller and the distribution system operator takes place during the annual billing period;
- 9.
- The “internal” balancing of energy between the members of the cooperative is carried out within one hour. The sum of energy fed in at the same time is subtracted from the sum of energy taken out within an hour. Thus, for billing purposes only the result of this calculation is regarded as energy fed into or drawn from the network (depending on the result), while the rest is treated as self-consumption, which is not subject to the system of discounts or charges;
- 10.
- The internal billing model can be run for any period—e.g., from an hour to a year;
- 11.
- The difference in the amount of energy fed in or drawn out in the different phases is irrelevant, as the amount of energy is added to the total amount of energy fed in and drawn out in one hour and is thus balanced. Single-phase and three-phase systems are thus treated the same;
- 12.
- The surplus of energy fed into the network in relation to the energy drawn out at a given moment is accumulated in the network deposit during the annual billing period. After 12 months, the stock is reduced to zero.
2.2. Cryptocoin “Greening”
According to research, trade in cryptocurrencies causes a specific dilemma loop. On one hand, the cryptocurrency market has led to a global economic growth, which has attracted additional resources to expand smart and green technologies with the aim of decarbonizing economies. On the other hand, the trade in cryptocurrencies itself has led to an increased use of energy sources, which has resulted in increased greenhouse gas emissions and environmental degradation [27,37]. Almost all the most popular cryptocurrencies, such as Bitcoin (created in 2009), are produced via mining. Crypto-coin mining is a process that usually involves high energy consumption [38] due to the complex level of computations required [39]. According to the University of Cambridge, Bitcoin, the most common cryptocurrency, presently consumes a total of 145 TWh per year, which represents around 0.32% of global energy consumption, [40,41], significantly affecting CO2 emissions [42]. Other, even higher, estimates indicate that the Bitcoin business features an annual electricity consumption of more than 198 TWh, which is comparable to the consumption of a country such as Thailand. According to Digiconomist’s Bitcoin Energy Consumption Index, this translates into almost 95m tons of CO2 per year, which can be compared, for example, to the emissions of Nigeria [43]. Of course, in many countries political or legal decisions have been taken to reduce the energy consumption by the Blockchain and digital currencies [44], or even to ban the crypto-coin mining [45,46].
Alternative models with a low environmental impact have been developed to minimize the carbon footprint of the first digital currencies: the so-called green cryptocurrencies [47]. Ineffective expenses on energy and related greenhouse gas emissions run counter to the fundamental objective of digital currencies, which is to create a more accessible, equitable and sustainable system than traditional government-controlled currencies [48], which again leads us to refer to the dilemma loop mentioned above [41]. Groups of experts are currently debating the environmental pollution generated by the mining of crypto-coins, and whether the use of renewable energy for crypto-coin mining will solve the dilemma of sustainable development in the sector [49]. According to various reports (e.g., Cambridge Center for Alternative Finance), today, 25% to 60% of the capacity used to produce cryptocurrencies already come from RES (hydro, wind, solar, nuclear and carbon generation with the compensation of carbon dioxide emission, as defined in the Bitcoin Mining Council report for the third quarter of 2021)) [40,50,51], including from such unusual sources as geothermal [52]. However, given the natural (economic) incentives for miners to minimize energy costs, and the fact that in some countries clean energy is currently the cheapest (and most widely available) energy source, it is expected that the use of green energy for crypto-coin mining will grow rapidly. This applies in particular to countries that are strongly committed to decarbonization.
Thanks to its geographical flexibility, the process of crypto-coin mining can be located close to the energy generation source. This gives an exceptional opportunity to gain value from the unused generating capacity. Generators constrained by transmission availability can also find a new way to manage their surpluses. This additional income can accelerate the expansion of the renewable energy infrastructure. Crypto-coin mining can also help local companies manage distribution; given the flexibility of the location of crypto-coin miners, the excavators can be strategically placed where they will support the operation of the distribution system. Overall, crypto-coin mining can help balance distributed generation [53], absorb excess energy and enable the smoother operation of the network. An example of the use of green, renewable energy in the crypto-coin mining business might be a Canadian company using a local hydro power plant to supply its crypto-coin mining plant in northern Sweden. Crypto-coin miners use surplus capacity, which would otherwise be wasted, as it is not consumed by the local economy or residents [54]. Examples from the UK show that energy companies can make good profits from renewable energy surpluses by building data centers that redirect excess energy generation to energy-intensive computations (crypto-coin mining) [55].
The concept we present in this paper is relatively new and therefore has not been fully investigated yet. This is all the more so because our analyses do not focus on calculating the degree of “greening” of the crypto-mining process due to the use of RES generation, but we assume that the “greening” will take place only when it is profitable for the crypto-coin miners. This can be supported by the proper use of institutions for the development of renewable energy sources, such as energy cooperatives in Poland.
3. Materials and Methods
The study took account of the characteristics of energy producers and consumers in Polish rural areas as well as the formal conditions related to the operation of an energy cooperative. The analysis did not cover the structure of capital cost distribution per member of the cooperative or the amount of capital expenditure.
3.1. Optimization Process
The objective function analyzed in this article is the following: for members of an energy cooperative to obtain energy independence within a specified period while managing their generation surpluses in order to maximize self-consumption of energy and convert it into cryptocurrency. A dedicated mathematical model in the mixed integer programming technology (available also in “Supplementary Materials”) was used to develop the analytical scenarios and for modeling [56]. The model was written in GMPL and implemented using the GLPK library. The COIN-OR/CBC library was used to find a solution [57,58]. The optimization model is similar to the optimization model specified in detail in the authors’ previous works [21]. The principal differences between the model used in previous analyses and the present one are as follows:
- Change in the definition of the objective function; in the present case, the capacity of the source ensuring energy self-sufficiency is minimized;
current objective function in the terminology introduced in previous research papers [21]
where:
minimize objective: ProductionMultiplier;
subject to def_Production{h in Hours}:
Production[h] == ProductionMultiplier*ProductionProfile[h];
- Change in the definition of energy self-sufficiency; in the present case, self-sufficiency means the impossibility of purchasing electricity after the first quarter of the optimization horizon;
current objective function in the terminology introduced in previous research papers [59]
subject to constr_Independence{h in Hours: h>= 3*30*24}:
BuyFromNetwork[h] == 0;
The research was divided into three stages:
- Stage I is related to the calculation of generating-source capacity for each of the four technologies (wind, photovoltaics, water, agricultural biogas) and for each of the prosumers analyzed, so that the criterion of energy independence is met individually for each prosumer, taking account of the appropriate discount ratio.
- Stage II is the assessment of the results obtained at Stage I and the rationalization of scenarios for further analyses related to the aggregation of individual prosumers in cooperatives.
- Stage III is a multi-dimensional analysis assuming the establishment of energy cooperatives with the following assumptions: (i) multiplication of each prosumer, (ii) discrete mapping of the excess power and energy, (iii) use of generating sources in the technology confirmed at Stage II and the capacity determined at Stage I. This stage assumes the simulation mapping of the generated energy surpluses for the purpose of covering the supply of the cryptocurrency excavator in order to stabilize the demand profile and, at the same time, store surpluses in the form of cryptocurrencies, and assuming energy self-sufficiency after the first quarter of the analysis horizon.
It should be added that, from the point of view of the optimization model, the objec-tive function has changed. At Stage III, according to the terminology introduced in previ-ous research papers (in Section dedicated to the Optimization Model) [59], the current ob-jective function is as follows:
where:
where:
minimize objective: ConsumerMultiplier;
subject to def_EnergyBalance{h in Hours}:
ConsumerMultiplier*DemandFactor*EnergyDemand[h]
+
UnitCryptocurrencyExcavatorDemand
==
BuyFromNetwork[h]
+
ConsumerMultiplier*ProductionMultiplier*Production[h]
-
SendToNetwork[h]
+
PickUpFromNetwork[h];
;
- DemandFactor—demand reduction/oversizing;
- UnitCryptocurrencyExcavatorDemand—excavator’s hourly demand for energy;
- ProductionMultiplier—source size calculated at Stage I.
3.2. Main Assumptions
Within Stage I, the optimization process was carried out with a dedicated mathematical model and the implementation of the objective function, which was to determine the minimum capacity of the generating source at each prosumer to achieve energy self-sufficiency within one year. The design of the model included the following assumptions:
- The analyses used a prosumer billing model identical to the billing model of the energy cooperative—a net metering model in which the surplus of non-consumed energy feeds the virtual energy deposit taking into account the discount [59]; the discount ratio was 0.7 (for sources with a capacity of 10 to 50 kW) or 0.8 (for sources with a capacity of up to 10 kW);
- The analytical activities were based on a sample of 68 operators in rural areas. Data and hourly profiles of farms and service providers coinciding with the sample analyzed in previous research papers were used [59], except that at Stage I there is no division into cooperatives, and individual consumer time series were analyzed. A summary of the selected and most relevant data characterizing the population sample is presented in Table 1;
Table 1. List of selected parameters characterizing the demand side. - Actual generation profiles were used in hourly distribution for four technologies: photovoltaics, wind, water and agricultural biogas.
As part of Stage II, the evaluation of the results obtained at Stage I was carried out, covering in particular the reduction of the list of generating technologies to the three that can be most broadly applied in rural areas and whose profiles do not show any mutual similarity.
As part of Stage III, the establishment of energy cooperatives was simulated, with the following assumptions:
- A 15-year optimization horizon was adopted, identical to the length of the discount support system arising from the applicable regulations;
- It was assumed that the optimization period will begin on the first calendar day of year ‘n’; it should be emphasized that the date of January 1 was selected deliberately, as it corresponds to the worst scenario, in which the prosumer does not have any surplus energy accumulated in the network deposit due to the winter period. Thus, there is no “preference” or the possibility of using the surplus energy from previous billing periods. The assumption of an energy carte blanche seems to be the most appropriate;
- In the first quarter that the mechanism was used it was assumed that it is allowed to purchase electricity and deliver it from outside the network deposit given the insufficient amount of energy collected in that deposit (virtual energy storage). At the same time, in subsequent quarters the mathematical model blocks the possibility of drawing energy from outside the network deposit;
- If the energy stored in the network deposit is not used within 12 months of its introduction, the surplus is lost and according to the regulations may no longer be used;
- The annual data on electricity demand by individual prosumers were replicated in a 15-year horizon with a random night-day, multiplicative disturbance in the range of [0.85, 1.15] compared to the data from the first year; linear disturbance was applied only to the demand data;
- Mapping the presence of different types of renewable energy sources popular in rural areas, which will be used for the construction of cooperatives and whose purpose was confirmed at Stage II;
- We have assumed that the profile of electricity generation from different sources remains unchanged throughout the analysis horizon;
- We have applied a discrete reduction in the demand of each prosumer forming the cooperative to 90%, 80%, 70%, 60% and 50%, which made it possible to map the power and energy surpluses at the levels of 10%, 20%, 30%, 40% and 50%. The surplus energy was used to simulate the feeding of the cryptocurrency excavator. It should be emphasized that, in practice, the oversizing of generating sources and having surpluses is common, practiced and justified from the point of view, for instance, of the functioning of the discount model;
- Members of the cooperative jointly invest in a cryptocurrency excavator. The analyses did not cover the structure of capital cost distribution per member of the cooperative or the amount of capital expenditure.
- We used the actual profiles of energy consumption by a cryptocurrency excavator type: Bitmain Antminer S19j Pro with a capacity of 104 TH/s and average energy consumption of 3068 W/h [59] and we did not take account of voltage optimization [60].
- The energy cooperative will be established by replicating each prosumer profile in order to cover the demand taking the excavator operation into account. As a result, 1020 cooperatives were simulated, which are a combination of the following assumptions: (i) 68 prosumer profiles, (ii) three types of generating units, (iii) five surplus energy scenarios (10%, 20%, 30%, 40%, 50%) developed by simulating the reduction of the original level of energy demand to 90%, 80%, 70%, 60% and 50%.
4. Results and Discussion
As part of Stage I, the capacity of the generating source was obtained for each of the four technologies, namely photovoltaic, wind, water and agricultural biogas, which ensures coverage of the demand of each prosumer in the annual horizon. The capacity is a continuous variable, not a quantified variable, which is a simplification, as in fact the generating sources have a capacity that reflects a certain schedule. The continuous model comes down to the fact that, as a result, we assume the smallest possible source capacity (e.g., 292 kWp) as the correct capacity that meets the criteria and objective function, not the closest data-sheet capacity of the source (e.g., 300 kWp). The resulting levels of the minimum generating capacity of sources at individual prosumers, which fully cover their annual demand, are presented in Table 2.
Table 2.
Limit (minimum required) values of generating sources at prosumers which guarantee energy self-sufficiency.
At the preliminary stage of analysis, the selected generating sources were divided into generation technologies, namely: (i) SWPP (Small Water-Power Plant), (ii) PV, (iii) WIND, (iv) BIOGAS. The similarity between the level of annual generation for the same installed capacity and a typical biogas and water generation profile justifies limiting further analysis to this type of generating source, which is cheaper and more popular in rural areas. The analysis of average capacity differences for individual prosumer profiles between BIOGAS and: (i) SWPP, (ii) PV and (iii) WIND, related to the capacity value for BIOGAS, shows, respectively: (i) 1.2%, (ii) 14.4% and (iii) 7.3%. We can therefore conclude that the levels of capacity selected by the model and the profiles between generation using agricultural biogas and water sources are similar.
Moreover, the popularity of a given generation technology is also affected by the levels of capital expenditure. As the report indicates [61,62], the rank of the LCOE index of generation technologies identifies photovoltaics as the cheapest source, followed by wind and biogas power plants. Additionally, given the limited availability of small hydro power plants in Poland, at Stage II of the analyses, the catalog of sources was limited to (i) PV (a source of stochastic generation, most popular and covered by support and financing schemes and occurring in rural areas), (ii) WIND (a source of stochastic generation occurring in rural areas), (iii) BIOGAS (a source that is stable, operates in the base and occurs in rural areas).
Determination at Stage I of the capacity of the sources that ensure coverage of the needs of each prosumer, and narrowing down the catalog of generation technologies at Stage II enable us to visualize the distribution of the capacity quotient of the stochastic PV source related to the capacity of the biogas source of a given prosumer, and the capacity of the wind source related to the capacity of the biogas source of a given prosumer. This is illustrated in Figure 1.
Figure 1.
Distribution of the capacity quotient for individual types of generating sources.
The conclusion drawn from the analysis of the distributions indicated in Figure 1 is that it is possible to cover the electricity demand of each prosumer using each of the source types analyzed, whereas the capacity of a photovoltaic source must be on average 14.4% higher than that of the biogas source, and for the wind source it must be 7.3% higher.
The results of the experiments also allow us to conclude that the capacity of the generating source in kW is approximately equal to the product of constant and average annual energy demand measured in MW. Depending on the type of generation technology, this constant assumes different values, which are presented in Table 3.
where:
P = β × E
- P—source capacity in kW;
- E—average annual electricity demand in MWh;
Table 3.
Constant determining the relation between the source capacity and the average energy consumption by the prosumer.
Table 3.
Constant determining the relation between the source capacity and the average energy consumption by the prosumer.
| BIOGAS | WIND | PV | |
|---|---|---|---|
| β | 1.097837 | 1.182415 | 1.256971 |
A different source-capacity level corresponding to the same productivity translates into the level of investment costs, which is of practical importance and is taken into account by prosumers at the implementation stage. Economic analyses and the comparison of the level of capital expenditure were not the subject of these studies and publication, but in the authors’ opinion they may be interestingly elaborated in further scientific explorations.
Based on the narrowed catalog of generation technologies, we determined the optimum capacity adjusted to each of the consumption profiles analyzed, which is visualized in Figure 2.
Figure 2.
Source capacity by generation technology and average energy demand.
The Polish electricity market is a daily and hourly market, which means that energy prices and energy balancing are based on an hour. The prosumer’s annual demand for electricity is therefore not a sufficient criterion in terms of optimization and the objective function determined. The assumptions made at the preliminary stage in accordance with the applicable regulations indicate that the selection of generating source capacity must take account of the use of the network as the so-called energy deposit (virtual storage). Figure 3 shows a typical simulated filling rate of the network deposit for one of the prosumers analyzed and for each type of generation technology.
Figure 3.
Typical rate of filling of the network energy deposit based on the generation technology.
It is worth emphasizing that we can see the dynamics of the deposit-filling rate as well as seasonality within a year for the whole 15-year period of analyses (time intervals). The greatest amplitude of changes in the utilization of the deposit is visible for the stochastic generating sources: PV and WIND. The lowest utilization of the network deposit is visible for the biogas source. This illustration is important from the perspective of a possible extension of the area of further research to include network analyses and the assessment of the “harmfulness” of sources (particularly the stochastic ones) on energy distribution, stability of network operation, and analyses of the security of supply. It is also important to extend possible analyses to include the economic dimension and the cost constraints caused by the required storage of energy with various levels and profiles.
The relative filling of a network deposit is presented in Figure 4. The graph shows the distribution of the quotients of network-deposit filling for PV vs. BIOGAS and for WIND vs. BIOGAS, respectively.
Figure 4.
Distributions of relative filling of network deposits taking account of generation technologies.
The analysis of the chart leads to the conclusion that the prosumer’s use of wind sources to cover the electricity demand fills the network deposit on average 1.469 times more than the use of biogas. For PV, that use is on average 1.992 times higher than for an analogous source based on biogas. Another conclusion from the analysis is that the presence of distributed sources with a stochastic generation profile in the system should be supported by physical energy storage. This would mitigate the effect of physical energy exchange with the network.
The most important component of the research and analyses was to simulate the process of creating energy cooperatives with a form that ensures the principal objective function, which is to achieve energy independence for its members while maximizing self-consumption (i.e., minimizing the use of network deposit) and using their excess energy for processing into a cryptocurrency.
Each energy cooperative operating under applicable regulations (as a prosumer with a 0.6 discount ratio) uses the distribution network for virtual energy storage similarly to a single prosumer. The use of the network deposit for a group of up to 999 members [59] is significantly higher than shown in Figure 4 for a single prosumer. It therefore seems reasonable to deliberately modify the energy consumption profile at an energy cooperative and to use the surplus energy to feed cryptocurrency excavators with a flat consumption profile. Two objectives are thus achieved. Firstly, the adverse effect of stochastic generation sources on the distribution network is reduced and, secondly, the excess energy consumed is in fact converted (stored) into cryptocurrencies with a certain value.
Figure 5 shows the average filling rate of the network deposit (virtual network storage) for an energy cooperative with and without a cryptocurrency excavator, broken down by type of generating source. The colors indicate the test cases of demand reduction to 90%, 80%, 70%, 60% and 50%, which corresponds to energy surpluses of 10%, 20%, 30%, 40% and 50%, intended to cover the demand of the excavator.
Figure 5.
Average filling rate of the energy deposit for a cooperative with and without an excavator.
We have determined the factors illustrating the degree of load of the network energy deposit for each of the levels of demand reduction analyzed, the surplus energy obtained and the type of generating source, which are presented in Table 4.
Table 4.
Network deposit load factors.
The analysis of the data presented in Figure 5 and Table 3 leads to the conclusion that an example energy cooperative relying on PV sources and with 20% surplus energy, which is used to cover the energy consumption by the cryptocurrency excavator, generates a 71.4% load of the network energy deposit. A similar cooperative which does not allocate its surplus energy for crypto-mining loads the network deposit at 100%. If an energy cooperative has an excavator, this therefore stabilizes the consumption profile and considerably reduces the adverse impact on the operation of the distribution network, decreasing the use of network deposit, in the case analyzed, by as much as 28.6%. Depending on the type of generating source used and the generation surpluses owned, the unloading of the network deposit owing to crypto-mining ranges from 25.7.3% (PV, 10% surplus) to 45.8.8% (biogas, 50% surplus).
The collection of surplus energy in the network deposit by the energy cooperative is not a physical process; it consists in expanding the portfolio. It should be emphasized that the applicable regulatory model allows for accumulating the surplus on a rolling basis with a monthly interval for consecutive 12 months its introduction. After that period, according to the FIFO method, any electricity deposited and not used is permanently lost. From this point of view, it is important to properly map this mechanism in the mathematical model determining the objective function. Figure 6 shows an example diagram that illustrates the above mapping of the network deposit operation for one of the cooperatives. It includes the energy introduced into and drawn from the network deposit. The mathematical model is calibrated in such a way as to minimize the loss of any energy that could potentially remain in the network deposit after 12 months of its introduction without being used.
Figure 6.
Energy flow in the network deposit for an example energy cooperative using PV for a one-year period of analysis.
In analyzing the lines representing the processes of introducing energy into and drawing it from the network deposit, it should be emphasized that their shape is a derivative of the generation technology applied. In the case analyzed, in the first and last three months of the year, the amount of energy introduced is low, which correlates with the low number of sunny days in autumn and winter. The network deposit is heavily exploited in spring and summer. An illustration of the processes of introducing energy into and drawing it from the deposit for the entire 15-year period of analysis, for an example energy cooperative using PV, is shown in Figure 7.
Figure 7.
Energy flow in the network deposit for an example energy cooperative using PV for a 15-year period of analysis.
The analysis of the graph allows us to assess the level of energy accumulated in the network deposit, which is marked in black. There is a clear annual seasonality in the 15-year horizon, which comes from different levels of sun exposure and generation by photovoltaic sources. This effect, visible for the selected year of analyses in Figure 6, is reflected here in the long term.
The purpose of the analyses carried out as part of Stage III was to acquire useful implementation-related information that could be applied in designing the shape of energy cooperatives and used in intentional adjustment of the resultant energy demand profile of a given community and to optimally use surplus energy, which would consist in converting it into cryptocurrency.
The research focused on conducting empirical analyses, in which, according to the assumptions, we simulated the operation of 1020 energy cooperatives. The second step of the work, which may only be applied in practice, was to use the empirical dependencies to find a generalized dependency identifying the required number of members of an energy cooperative that have the preset generating capacity in one of the three generation technologies, which members will be able to cover the original energy demand increased by the demand of the cryptocurrency excavator, depending on their surplus energy.
Figure 8 shows the empirical dependency of the number of members of an energy cooperative as a function of the total capacity of their sources, divided by the type of generation technology and the level of available surplus energy. Each point in the chart represents one of the cooperatives analyzed.
Figure 8.
Empirical dependency of the number of cooperative members as a function of the capacity of generating sources.
The results indicate that a cooperative with a currency excavator can achieve energy self-sufficiency (understood as no need to draw energy from outside the network deposit) for each of the scenarios. The highest variance in the number of cooperative members as a function of the capacity of generating sources occurs for photovoltaics, with only 10% of the level of surplus energy covering the consumption of energy by the cryptocurrency excavator. An example of simulation indicates that self-sufficiency and the assumed target can be achieved, for example, by even a single prosumer with a 1000 kW wind-power plant.
The curves (hyperboles) obtained in empirical tests need to be generalized. To this end, for each of them, divided by source type and level of surplus energy, we have set coefficient α, which determines the shape of the curve according to the following dependency
where n(x) is the number of members of the cooperative and is the size of the source of each member of that cooperative.
n(x) = α/x
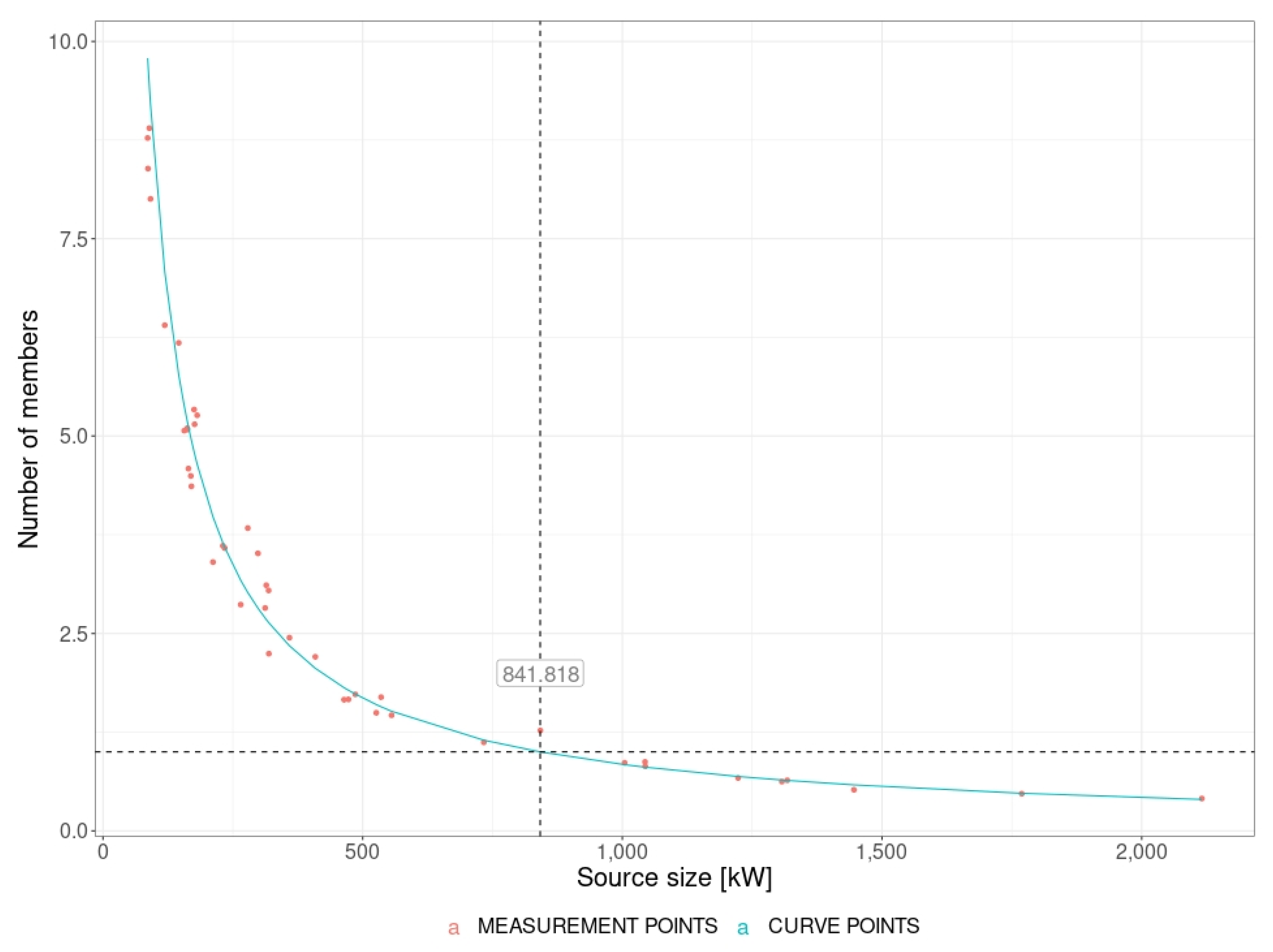
A sample curve for a wind source and 10% surplus energy is shown in Figure 9.
Figure 9.
Curve representing the dependency of the number of members of cooperative with a wind source and 10% surplus energy for crypto-coin mining.
The diagram marks the α coefficient of 841.818. It corresponds to the wind source capacity of 841.818 kW, which will cover the demand of the excavator and of a cooperative consisting of one of the prosumers analyzed, assuming that it has a 10% energy surplus. Table 5 presents the α coefficients for other types of generating units and surplus levels.
Table 5.
The α coefficients defining the shape of the curve.
The α coefficients were used to visualize the theoretical curves presented in Figure 10. This figure is a generalized illustration of the number of members that the energy cooperative should have in order to cover the energy demand of its members and the operation of one cryptocurrency excavator with the set capacity and technology of the generating source. Table 6 below shows the average error of estimating theoretical curves with respect to the measured data.
Figure 10.
Number of members of an energy cooperative and source size that covers the energy demand and the operation of one cryptocurrency excavator.
Table 6.
The average error of estimating theoretical curves with respect to the data measured. The error is expressed in the number of members of the cooperative.
The analysis of sample curves indicates that the objective (energy self-sufficiency and covering the demand of a cryptocurrency excavator) is achievable by, for example, a cooperative with five members with biogas generating sources of 30 kW each and 20% surplus energy. If the technology is changed to wind and photovoltaics, the capacity of each source must be 40 kW and 50 kW, respectively. The total capacity of generating sources in such cooperatives is a product of the capacity of a single source and the number of members of the cooperative, which is equal to 150 kW for biogas, 200 kW for wind and 250 kW for photovoltaics.
The research is part of a completely new and unexplored area combining energy independence in the local dimension with activities improving both the financial profitability of energy communities and the stabilization of the consumer profile. The energy consumption of excavators’ work is at odds with the idea of rational energy consumption; however, in combination with energy surpluses not used by members of the energy cooperative, it can be a useful tool for stabilizing the operation of the power system and generating an additional stream of revenue.
5. Conclusions and Limitations
This three-stage research was mostly theoretical. It resulted in determining the configurations of generation (number, type and capacity of sources) and consumption (profile and level of energy demand) sources for which at the same time the following is achieved: (i) Energy independence of the cooperative, (ii) minimization of energy exchange with the distribution network and improvement of network operating parameters and (iii) transformation of surplus energy into cryptocurrency.
The authors are of the opinion that the research is first of its kind, as the issues it raised and the modeling of a combination of building energy independence on a local scale with improving the impact of distributed renewable energy sources on the operation of the network and the storage of surplus energy in the form of cryptocurrencies, have not yet been the subject of analyses, research or publications.
The research was divided into stages. The outcomes of the first two stages are input data for the third, as part of which a scenario simulation study was carried out to create appropriate structures of energy cooperatives that ensure achievement of the assumed objective function. The results have been generalized, which allows them to be applied and possibly used in practice. This is because the process of setting up an energy cooperative to maximize the benefits of its creation should be based on a generalized scenario. Information on the optimum number of members of the cooperative will be acquired on the basis of principal data on generation technologies, source capacity, level of surplus energy, and the curve determined at Stage III.
The authors would like to emphasize that the research did not cover economic issues. These may be an interesting area for further scientific explorations and publications. What seems particularly interesting is the analysis of profitability and capital expenditure on the construction of generation sources and cryptocurrency excavators in the context of the observed levels and dynamics of energy prices and the value of cryptocurrencies. The economic dimension will be complementary to the results of technical analyses and will support possible application activities.
The article deliberately and consciously does not deal with the issues related to the analysis of investment outlays or the assessment of the impact of changes in production parameters within the given technology on the effect obtained. It seems particularly interesting to carry out analyses focusing on changing the production profile in photovoltaics thanks to the arrangement of modules in the east-west direction or using a tracer and the impact on the operation of the excavator. It would also be valuable to analyze the migration of a prosumer accounted for under the netbilling model to an energy cooperative accounted for using the netmetering model and to assess the rationality of such migration. Due to the size limitations of the article, the above-mentioned areas constitute the field of limitations for the analyses, and the elements indicated will constitute a further area of exploration of the authors’ team.
In addition, an interesting area of research is the construction of the concept and analysis of the fair distribution of benefits from the value generated thanks to crypto mining by cooperative members in combination with the varying degree of cooperative involvement, investment expenditure, and the degree of matching the recipient profile to the source profile. These are valuable elements from the point of view of further analyses.
Very intensive work is currently underway in the institutions of the European Union—both in the European Parliament and in the European Commission—to create a legal framework regarding both the functioning of cryptocurrencies and the processes of reducing the energy consumption of their extraction (mining) [63]. New EP initiatives aim to boost users’ confidence and support the development of digital services and alternative payment instruments by drafting rules on supervision, consumer protection and environmental sustainability of crypto-assets, including cryptocurrencies such as bitcoins [64]. This is in line with the work of the EC, which focuses on a more holistic approach to include crypto-asset mining in the EU taxonomy for sustainable activities by 2025 to reduce the carbon footprint [65]. Regardless of the direction of Community legislation in the future, all new paths and attempts to “green” mining cryptocurrencies and the functioning of blockchain (supported by research such as that presented in this article) will undoubtedly constitute added value for determining the direction of European policies in the field of energy and environmental protection, the development of new technologies and finance on a continental scale.
Supplementary Materials
The following supporting information can be downloaded at: https://www.mdpi.com/article/10.3390/en15218061/s1. The model presented in this study can be found here.
Author Contributions
Conceptualization. J.J., M.K. and M.S.; methodology. M.K.; formal analysis. J.J., M.K. and M.S.; investigation. M.K. and M.S.; resources. M.S.; writing—original draft preparation. J.J., M.K. and M.S.; writing—review and editing. J.J. and M.S.; visualization. M.K.; supervision. J.J. and M.S. All authors have read and agreed to the published version of the manuscript.
Funding
This research received no external funding.
Institutional Review Board Statement
Not applicable.
Informed Consent Statement
Not applicable.
Data Availability Statement
Data available in a publicly accessible repository that does not issue DOIs.
Conflicts of Interest
The authors declare no conflict of interest.
References
- Rutkowska-Tomaszewska, E.; Łakomiak, A.; Stanisławska, M. The Economic Effect of the Pandemic in the Energy Sector on the Example of Listed Energy Companies. Energies 2021, 15, 158. [Google Scholar] [CrossRef]
- Sołtysik, M.; Kozakiewicz, M.; Jasiński, J. Profitability of Prosumers According to Various Business Models—An Analysis in the Light of the COVID-19 Effect. Energies 2021, 14, 8488. [Google Scholar] [CrossRef]
- Kaczmarzewski, S.; Matuszewska, D.; Sołtysik, M. Analysis of Selected Service Industries in Terms of the Use of Photovoltaics before and during the COVID-19 Pandemic. Energies 2021, 15, 188. [Google Scholar] [CrossRef]
- Malec, M.; Kinelski, G.; Czarnecka, M. The Impact of COVID-19 on Electricity Demand Profiles: A Case Study of Selected Business Clients in Poland. Energies 2021, 14, 5332. [Google Scholar] [CrossRef]
- Guénette, J.D.; Khadan, J. The Energy Shock Could Sap Global Growth for Years. Available online: https://blogs.worldbank.org/developmenttalk/energy-shock-could-sap-global-growth-years (accessed on 23 September 2022).
- Wójcik-Jurkiewicz, M.; Czarnecka, M.; Kinelski, G.; Sadowska, B.; Bilińska-Reformat, K. Determinants of Decarbonisation in the Transformation of the Energy Sector: The Case of Poland. Energies 2021, 14, 1217. [Google Scholar] [CrossRef]
- Drożdż, W.; Kinelski, G.; Czarnecka, M.; Wójcik-Jurkiewicz, M.; Maroušková, A.; Zych, G. Determinants of Decarbonization—How to Realize Sustainable and Low Carbon Cities? Energies 2021, 14, 2640. [Google Scholar] [CrossRef]
- Kulpa, J.; Olczak, P.; Surma, T.; Matuszewska, D. Comparison of Support Programs for the Development of Photovoltaics in Poland: My Electricity Program and the RES Auction System. Energies 2021, 15, 121. [Google Scholar] [CrossRef]
- Kaczmarzewski, S.; Olczak, P.; Sołtysik, M. The Impact of Electricity Consumption Profile in Underground Mines to Cooperate with RES. Energies 2021, 14, 5775. [Google Scholar] [CrossRef]
- Lakomiak, A.; Zhichkin, K.A. Photovoltaics in Horticulture as an Opportunity to Reduce Operating Costs. A Case Study in Poland. J. Phys. Conf. Ser. 2019, 1399, 044088. [Google Scholar] [CrossRef]
- Czakon, W.; Mucha-Kuś, K.; Sołtysik, M. Coopetitive Platform: Common Benefits in Electricity and Gas Distribution. Energies 2021, 14, 7113. [Google Scholar] [CrossRef]
- Jaskólski, M.; Bućko, P. Modelling Long-Term Transition from Coal-Reliant to Low-Emission Power Grid and District Heating Systems in Poland. Energies 2021, 14, 8389. [Google Scholar] [CrossRef]
- Korab, R.; Kocot, H.; Majchrzak, H. Fixed Transmission Charges Based on the Degree of Network Utilization. Energies 2021, 14, 614. [Google Scholar] [CrossRef]
- Kuchmacz, J.; Mika, Ł. Description of Development of Prosumer Energy Sector in Poland. Polityka Energ.—Energy Policy J. 2018, 21, 5–20. [Google Scholar] [CrossRef]
- Rataj, M.; Berniak-Woźny, J.; Plebańska, M. Poland as the EU Leader in Terms of Photovoltaic Market Growth Dynamics—Behind the Scenes. Energies 2021, 14, 6987. [Google Scholar] [CrossRef]
- Ghiani, E.; Giordano, A.; Nieddu, A.; Rosetti, L.; Pilo, F. Planning of a Smart Local Energy Community: The Case of Berchidda Municipality (Italy). Energies 2019, 12, 4629. [Google Scholar] [CrossRef]
- Directive (EU) 2019/944 of the European Parliament and of the Council of 5 June 2019 on Common Rules for the Internal Market for Electricity and Amending Directive 2012/27/EU. European Union (OJ L 158, 14.6.2019). Available online: https://eur-lex.europa.eu/legal-content/EN/TXT/?uri=celex%3A32019L0944 (accessed on 25 October 2022).
- Proposal for a Directive of the European Parliament and of the Council on Common Rules for the Internal Market in Electricity (Recast) COM(2016) 864 Final/2—2016/0380(COD). Available online: https://eur-lex.europa.eu/legal-content/EN/TXT/?uri=CELEX%3A52016PC0864R%2801%29 (accessed on 11 November 2020).
- Tomaszewski, K. Energy Clusters in Poland: Towards Improving Energy Efficiency. In Concepts and Conditions (Klastry Energii w Polsce—W Kierunku Poprawy Bezpieczeństwa Energetycznego. Koncepcje i uwarunkowania); The Polish National Energy Conservation Agency: Warsaw, Poland, 2020; Volume 4/2019, pp. 68–78. [Google Scholar]
- Ustawa z Dnia 20 Lutego 2015 r. o Odnawialnych Źródłach Energii (Act of February 20, 2015 on Renewable Energy Sources) (Dz.U. 2020 Poz. 261). Available online: https://isap.sejm.gov.pl/isap.nsf/DocDetails.xsp?id=WDU20150000478 (accessed on 25 October 2022).
- Jasiński, J.; Kozakiewicz, M.; Sołtysik, M. Determinants of Energy Cooperatives’ Development in Rural Areas—Evidence from Poland. Energies 2021, 14, 319. [Google Scholar] [CrossRef]
- Jasiński, J.; Kozakiewicz, M.; Sołtysik, M. The Effectiveness of Energy Cooperatives Operating on the Capacity Market. Energies 2021, 14, 3226. [Google Scholar] [CrossRef]
- Korab, R.; Połomski, M.; Smołka, M. Evaluating the Risk of Exceeding the Normal Operating Conditions of a Low-Voltage Distribution Network Due to Photovoltaic Generation. Energies 2022, 15, 1969. [Google Scholar] [CrossRef]
- Alam, M.S.; Almehizia, A.A.; Al-Ismail, F.S.; Hossain, M.A.; Islam, M.A.; Shafiullah, M.; Ullah, A. Frequency Stabilization of AC Microgrid Clusters: An Efficient Fractional Order Supercapacitor Controller Approach. Energies 2022, 15, 5179. [Google Scholar] [CrossRef]
- Michaelides, E. Transition to Renewable Energy for Communities: Energy Storage Requirements and Dissipation. Energies 2022, 15, 5896. [Google Scholar] [CrossRef]
- Oh, E. Fair Virtual Energy Storage System Operation for Smart Energy Communities. Sustainability 2022, 14, 9413. [Google Scholar] [CrossRef]
- Surmann, A.; Chantrel, S.P.M.; Utz, M.; Kohrs, R.; Strüker, J. Empowering Consumers within Energy Communities to Acquire PV Assets through Self-Consumption. Electricity 2022, 3, 108–130. [Google Scholar] [CrossRef]
- Minuto, F.D.; Lanzini, A. Energy-Sharing Mechanisms for Energy Community Members under Different Asset Ownership Schemes and User Demand Profiles. Renew. Sustain. Energy Rev. 2022, 168, 112859. [Google Scholar] [CrossRef]
- Andoni, M.; Robu, V.; Flynn, D. Crypto-Control Your Own Energy Supply. Nature 2017, 548, 158. [Google Scholar] [CrossRef] [PubMed]
- Chain4Energy—Blockchain Solution for Energy Market. Available online: https://chain4.energy/ (accessed on 11 September 2022).
- Mannaro, K.; Pinna, A.; Marchesi, M. Crypto-Trading: Blockchain-Oriented Energy Market. In Proceedings of the 2017 AEIT International Annual Conference—IEEE, Cagliari, Italy, 20–22 September 2017; pp. 1–5. [Google Scholar]
- Gailey, A.; Haar, R. The Future of Cryptocurrency: 8 Experts Share Predictions for the Second Half of 2022. Available online: https://time.com/nextadvisor/investing/cryptocurrency/future-of-cryptocurrency/ (accessed on 5 September 2022).
- Labouré, M.; Deffrennes, N. Democratizing Finance: The Radical Promise of Fintech; Harvard University Press: Cambridge, MA, USA, 2022; ISBN 978-0-674-98722-7. [Google Scholar]
- Gola, C.; Sedlmeir, J. Addressing the Sustainability of Distributed Ledger Technology. Quest. Econ. E Finanza 2022. Available online: https://www.bancaditalia.it/pubblicazioni/qef/2022-0670/index.html?com.dotmarketing.htmlpage.language=1&dotcache=refresh (accessed on 25 October 2022). [CrossRef]
- Ustawa z Dnia 4 Października 2018 r. o Spółdzielniach Rolników (Act of October 4, 2018 on Farmers’ Cooperatives) (Dz. U. Poz. 2073). Available online: https://isap.sejm.gov.pl/isap.nsf/DocDetails.xsp?id=WDU20180002073 (accessed on 25 October 2022).
- Ustawa z Dnia 16 Września 1982 r.—Prawo Spółdzielcze (Act of September 16, 1982—Cooperative Law) (Dz. U. z 2018 r. Poz. 1285 Oraz z 2019 r. Poz. 730, 1080 i 1100). Available online: https://isap.sejm.gov.pl/isap.nsf/DocDetails.xsp?id=wdu19820300210 (accessed on 25 October 2022).
- Erdogan, S.; Ahmed, M.Y.; Sarkodie, S.A. Analyzing Asymmetric Effects of Cryptocurrency Demand on Environmental Sustainability. Environ. Sci. Pollut. Res. 2022, 29, 31723–31733. [Google Scholar] [CrossRef]
- Gallersdörfer, U.; Klaaßen, L.; Stoll, C. Energy Consumption of Cryptocurrencies Beyond Bitcoin. Joule 2020, 4, 1843–1846. [Google Scholar] [CrossRef]
- Schinckus, C.; Nguyen, C.P.; Ling, F.C.H. Crypto-Currencies Trading and Energy Consumption. Int. J. Energy Econ. Policy 2020, 10, 355–364. [Google Scholar] [CrossRef]
- Vaughan, C.; Samaties, P.; Kemp, B.; Sanaulla, F. How Crypto Mining Will Transform the Energy Industry. Implications of the Crypto Economy for the Electric System. Available online: https://www.rolandberger.com/publications/publication_pdf/roland_berger_crypto_mining_and_the_energy_industry.pdf (accessed on 17 August 2022).
- Miśkiewicz, R.; Matan, K.; Karnowski, J. The Role of Crypto Trading in the Economy, Renewable Energy Consumption and Ecological Degradation. Energies 2022, 15, 3805. [Google Scholar] [CrossRef]
- Mohsin, M.; Naseem, S.; Zia-ur-Rehman, M.; Baig, S.A.; Salamat, S. The Crypto-trade Volume, GDP, Energy Use, and Environmental Degradation Sustainability: An Analysis of the Top 20 Crypto-trader Countries. Int. J. Finance Econ. 2020, 1–17. [Google Scholar] [CrossRef]
- Bitcoin Energy Consumption Index. Available online: https://digiconomist.net/bitcoin-energy-consumption/ (accessed on 24 September 2022).
- Bindseil, U.; Papsdorf, P.; Schaaf, J. The Encrypted Threat: Bitcoin’s Social Cost and Regulatory Responses. SUERF Policy Note Issue No 262 2022. Available online: https://www.suerf.org/policynotes/38771/the-encrypted-threat-bitcoins-social-cost-and-regulatory-responses (accessed on 25 October 2022).
- Truby, J. Decarbonizing Bitcoin: Law and Policy Choices for Reducing the Energy Consumption of Blockchain Technologies and Digital Currencies. Energy Res. Soc. Sci. 2018, 44, 399–410. [Google Scholar] [CrossRef]
- Thedéen, E.; Risinger, B. Crypto-Assets Are a Threat to the Climate Transition—Energy-Intensive Mining Should Be Banned. Available online: https://www.fi.se/en/published/presentations/2021/crypto-assets-are-a-threat-to-the-climate-transition--energy-intensive-mining-should-be-banned/ (accessed on 13 October 2022).
- Lamba, A. Are Carbon Offsets the Key to Green Cryptocurrencies? PLoS Sustain. Transform. 2022, 1, e0000002. [Google Scholar] [CrossRef]
- The Iberdrola Group. What Are Green Cryptocurrencies and Why Are They Important? Available online: https://www.iberdrola.com/sustainability/green-cryptocurrencies (accessed on 20 August 2022).
- Náñez Alonso, S.L.; Jorge-Vázquez, J.; Echarte Fernández, M.Á.; Reier Forradellas, R.F. Cryptocurrency Mining from an Economic and Environmental Perspective. Analysis of the Most and Least Sustainable Countries. Energies 2021, 14, 4254. [Google Scholar] [CrossRef]
- Blandin, A.; Pieters, G.; Wu, Y.; Eisermann, T.; Dek, A.; Taylor, S.; Njoki, D. 3rd Global Cryptoasset Benchmarking Study; Judge Business School/Cambridge Centre for Alternative Finance: Cambridge, UK, 2020; p. 70. [Google Scholar]
- Smith, S.S. Crypto Power Usage Is Helping to Spur Renewable Energy Investments. Available online: https://www.forbes.com/sites/seansteinsmith/2022/06/05/crypto-power-usage-is-helping-to-spur-renewable-energy-investments/?sh=7a40585d2cb6 (accessed on 21 August 2022).
- Kumar, S. Review of Geothermal Energy as an Alternate Energy Source for Bitcoin Mining. J. Econ. Econ. Educ. Res. 2022, 23, 1–12. [Google Scholar]
- Eid, B.; Islam, M.R.; Shah, R.; Nahid, A.-A.; Kouzani, A.Z.; Mahmud, M.A.P. Enhanced Profitability of Photovoltaic Plants By Utilizing Cryptocurrency-Based Mining Load. IEEE Trans. Appl. Supercond. 2021, 31, 0602105. [Google Scholar] [CrossRef]
- Browne, R. Can Crypto Go Green? Major Companies Are Trying—But It’s Easier Said than Done. Available online: https://www.cnbc.com/2022/05/02/the-crypto-industry-wants-to-go-green-thats-easier-said-than-done.html (accessed on 20 August 2022).
- Pratty, F. Renewable Energy Companies Have a Lucrative New Side Hustle: Mining Bitcoin. Available online: https://sifted.eu/articles/renewable-energy-crypto-mining/ (accessed on 24 September 2022).
- Williams, H.P. Model Building in Mathematical Programming, 5th ed.; Wiley: Hoboken, NJ, USA, 2013; ISBN 978-1-118-44333-0. [Google Scholar]
- GLPK (GNU Linear Programming Kit). Available online: https://www.gnu.org/software/glpk/ (accessed on 18 November 2020).
- COIN-OR/CBC. Available online: https://projects.coin-or.org/Cbc (accessed on 18 November 2020).
- Kubera, G. Czy Kopanie Bitcoina Jest Wciąż Opłacalne? (EN: Is Bitcoin Mining Still Profitable?). Available online: https://www.computerworld.pl/news/Czy-kopanie-Bitcoina-jest-wciaz-oplacalne,433594.html (accessed on 7 September 2022).
- Gundaboina, L.; Badotra, S.; Bhatia, T.K.; Sharma, K.; Mehmood, G.; Fayaz, M.; Khan, I.U. Mining Cryptocurrency-Based Security Using Renewable Energy as Source. Secur. Commun. Netw. 2022, 2022, 4808703. [Google Scholar] [CrossRef]
- The International Renewable Energy Agency (IRENA). Renewable Power Generation Costs in 2021; IRENA: Zurich, Switzerland, 2022; p. 204. [Google Scholar]
- Vimmerstedt, L.; Akar, S.; Mirletz, B.; Sekar, A.; Stright, D.; Augustine, C.; Beiter, P.; Bhaskar, P.; Blair, N.; Cohen, S. Annual Technology Baseline: The 2022 Electricity Update. Available online: https://www.nrel.gov/docs/fy22osti/83064.pdf (accessed on 11 September 2022).
- Ferrari, V. The Regulation of Crypto-Assets in the EU—Investment and Payment Tokens under the Radar. Maastricht J. Eur. Comp. Law 2020, 27, 325–342. [Google Scholar] [CrossRef]
- Cryptocurrencies in the EU: New Rules to Boost Benefits and Curb Threats. Available online: https://www.europarl.europa.eu/news/en/press-room/20220309IPR25162/cryptocurrencies-in-the-eu-new-rules-to-boost-benefits-and-curb-threats (accessed on 17 October 2022).
- EU Taxonomy for Sustainable Activities. Available online: https://finance.ec.europa.eu/sustainable-finance/tools-and-standards/eu-taxonomy-sustainable-activities_en (accessed on 17 October 2022).
Publisher’s Note: MDPI stays neutral with regard to jurisdictional claims in published maps and institutional affiliations. |
© 2022 by the authors. Licensee MDPI, Basel, Switzerland. This article is an open access article distributed under the terms and conditions of the Creative Commons Attribution (CC BY) license (https://creativecommons.org/licenses/by/4.0/).









