Thermal Radiation Energy Performance on Stagnation-Point Flow in the Presence of Base Fluids Ethylene Glycol and Water over Stretching Sheet with Slip Boundary Condition
Abstract
1. Introduction
1.1. Theoretical to Experimental Perspective on Nanofluids
1.1.1. Volume Fraction and the Particle Size
| Researchers | Nanoparticle Size/Base-Fluid | Measurement | Thermal Conductivity (k) ↑ |
|---|---|---|---|
| Eastman et al. [31] | AlO (33)/water CuO (36)/water | transient hot-wire | for 5 vol % for 5 vol % |
| Murshed et al. [34] | TiO/deionised-water | transient hot-wire | for 5 vol % |
| Li and Peterson [32] | AlO (36)/water | SS method | for 6 vol % |
| Xuan and Li [37] | Cu (10)/water | transient hot-wire | for 3 vol % |
| Hwang et al. [38] | CuO (35.4)/water/EG | transient hot-wire | for 1 vol % |
| Liu et al. [39] | CuO (29)/EG | transient hot-wire | 23% for 5 vol% |
| Kri. et al. [40] | AlO(20)/water | Unspecified | 16% for 1 vol % |
| Wen and Ding [41] | TiO (34)/water | transient hot-wire | 6% for 0.66 vol % |
1.1.2. The Influence of Temperature on Nanofluid
2. Mathematical Formulation
3. Thermophysical Characteristics of Al2O3 and -Al2O3 Nanofluids
4. Non-Dimensionalization through Similarity Transformation
4.1. Momentum Equations
4.2. Energy Equations
4.3. Boundary Conditions
For Momentum equation
For Energy equation
4.4. Solution Methodology
Pseudo-Algorithm
5. Important Physical Characteristics
6. Discussion
7. Conclusions
- Both the momentum and the thermal boundary layer, thickness increase with increasing nanoparticle volume fraction of AlO and -AlO nanoparticles. The velocity of nanofluids -AlO, is greater than that of AlO, in a comparison of nanoparticles [16,45,46,47]. Nanofluids made from ethylene glycol move more quickly than those made from water.
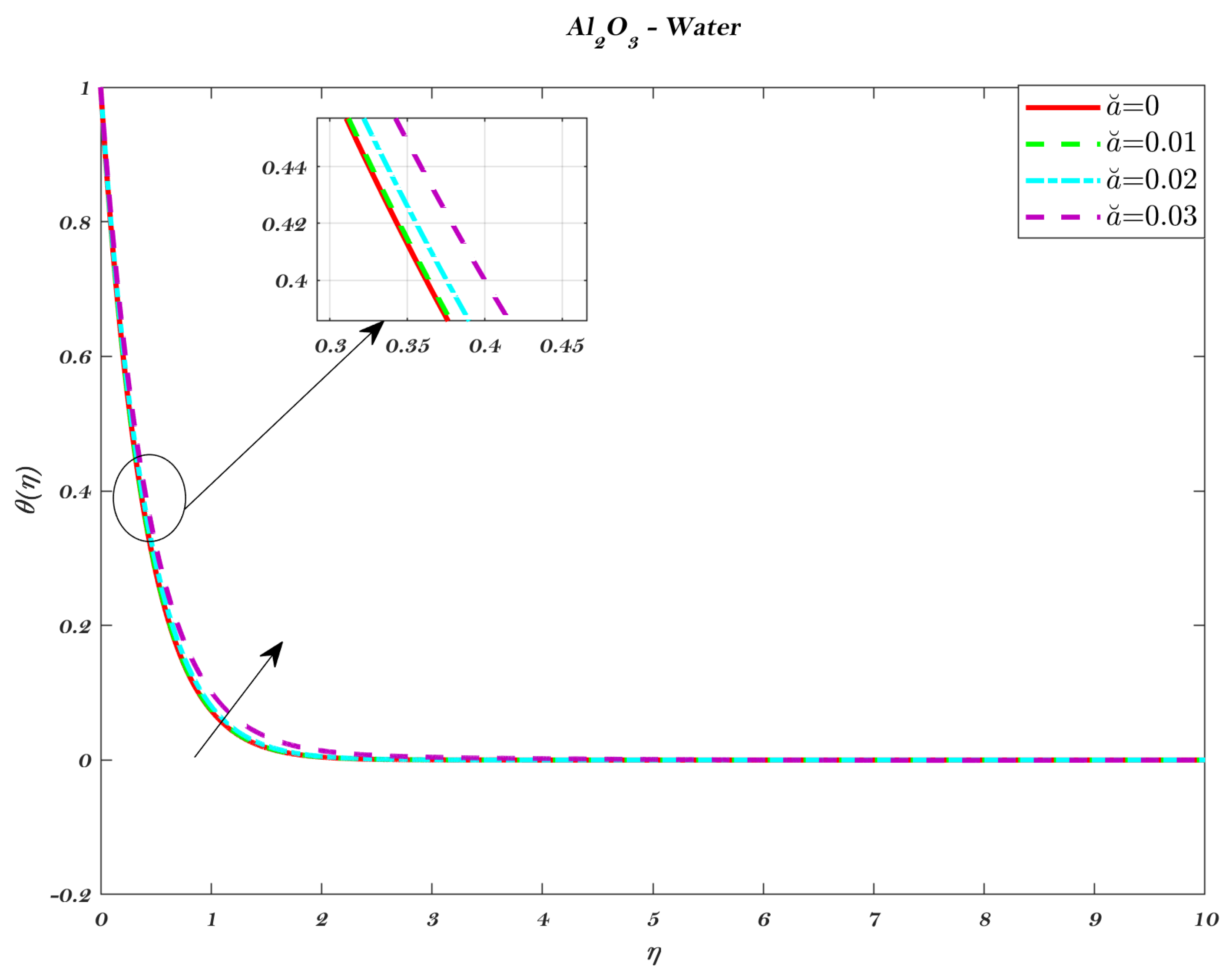
- However, in terms of the temperature distribution, -AlO-CHO (ethylene glycol) is greater than that of AlO-ethylene glycol, whereas that of AlO-water is more than that of -AlO-water. The temperature profile increased with increasing values of parameter R, indicating that the thermal boundary layer thickness increases with increasing thermal radiation. As a consequence, a higher radiation parameter causes more heat to be produced in the flow, resulting in an increase in the temperature profile of the fluid. Nanofluids that are based on ethylene glycol have a lower temperature profile than those based on water. There is potential for cooling applications of nanofluids based on ethylene glycol [16,45,47].
- When compared to AlO nanofluids, -AlO nanofluids have greater skin friction. The skin friction is greater for AlO-water than it is for AlO-ethylene glycol. However, -AlO nanoparticles exhibit the opposite tendency. The Nusselt number of ethylene glycol-based nanofluids is greater than that of water-based nanofluids. The Nusselt number for -AlO nanoparticles is greater than that of other nanoparticles.
Author Contributions
Funding
Institutional Review Board Statement
Informed Consent Statement
Data Availability Statement
Conflicts of Interest
Abbreviations
| x, y | Coordinate ⊥ to sheet (m) |
| , | Velocity components along x & y directions (ms) |
| T | Fluid’s local temperature (K) |
| Temperature far away from the sheet | |
| Solid Volume fraction | |
| Effective Nanofluid density (kg m) | |
| Pure fluid density (kg m) | |
| Nanoparticles density (kg m) | |
| Nanofluid’s effective dynamic viscosity (kg m s) | |
| Dynamic viscosity of pure fluid (kg m s) | |
| Nanofluid’s thermal conductivity (W m K) | |
| Base fluid’s thermal conductivity (W m K) | |
| Nanoparticles thermal conductivity (W m K) | |
| Prandtl number | |
| Slip parameter | |
| Permeability | |
| Dimensionless parameter | |
| stagnation-point flow term | |
| Radiative heat flux | |
| Skin Friction coefficient | |
| Reduced Skin Friction coefficient | |
| Reduced Nusselt number |
References
- Das, S.K.; Choi, S.U.; Yu, W.; Pradeep, T. Nanofluids: Science and Technology; John Wiley & Sons: Hoboken, NJ, USA, 2007. [Google Scholar]
- Wang, X.Q.; Mujumdar, A.S. A review on nanofluids-part I: Theoretical and numerical investigations. Braz. J. Chem. Eng. 2008, 25, 613–630. [Google Scholar] [CrossRef]
- Choi, S.; Eastman, J. Enhancing Thermal Conductivity of Fluids with Nanoparticles (No. ANL/MSD/CP-84938; CONF-951135-29); Argonne National Lab.: Argonne, IL, USA, 1995.
- Turkyilmazoglu, M. Dual and triple solutions for MHD slip flow of non-Newtonian fluid over a shrinking surface. Comput. Fluids 2012, 70, 53–58. [Google Scholar] [CrossRef]
- Kandelousi, M.S. KKL correlation for simulation of nanofluid flow and heat transfer in a permeable channel. Phys. Lett. A 2014, 378, 3331–3339. [Google Scholar] [CrossRef]
- Sheikholeslami, M.; Abelman, S.; Ganji, D.D. Numerical simulation of MHD nanofluid flow and heat transfer considering viscous dissipation. Int. J. Heat Mass Transf. 2014, 79, 212–222. [Google Scholar] [CrossRef]
- Sheikholeslami, M.; Abelman, S. Two-phase simulation of nanofluid flow and heat transfer in an annulus in the presence of an axial magnetic field. IEEE Trans. Nanotechnol. 2015, 14, 561–569. [Google Scholar] [CrossRef]
- Turkyilmazoglu, M. An analytical treatment for the exact solutions of MHD flow and heat over two–three dimensional deforming bodies. Int. J. Heat Mass Transf. 2015, 90, 781–789. [Google Scholar] [CrossRef]
- Turkyilmazoglu, M. A note on the correspondence between certain nanofluid flows and standard fluid flows. J. Heat Transf. 2015, 137, 024501. [Google Scholar] [CrossRef]
- Sheikholeslami, M.; Ellahi, R. Three dimensional mesoscopic simulation of magnetic field effect on natural convection of nanofluid. Int. J. Heat Mass Transf. 2015, 89, 799–808. [Google Scholar] [CrossRef]
- Jamaludin, A.; Naganthran, K.; Nazar, R.; Pop, I. Thermal radiation and MHD effects in the mixed convection flow of Fe3O4–water ferrofluid towards a nonlinearly moving surface. Processes 2020, 8, 95. [Google Scholar] [CrossRef]
- Jamaludin, A.; Naganthran, K.; Nazar, R.; Pop, I. MHD mixed convection stagnation-point flow of Cu-Al2O3/water hybrid nanofluid over a permeable stretching/shrinking surface with heat source/sink. Eur. J. Mech.-B/Fluids 2020, 84, 71–80. [Google Scholar] [CrossRef]
- Farajollahi, B.; Etemad, S.G.; Hojjat, M. Heat transfer of nanofluids in a shell and tube heat exchanger. Int. J. Heat Mass Transf. 2010, 53, 12–17. [Google Scholar] [CrossRef]
- Rehman, R.; Wahab, H.A.; Khan, U. Heat transfer analysis and entropy generation in the nanofluids composed by Aluminum and γ-Aluminum oxides nanoparticles. Case Stud. Therm. Eng. 2022, 31, 101812. [Google Scholar] [CrossRef]
- Soltanipour, H.; Choupani, P.; Mirzaee, I. Numerical analysis of heat transfer enhancement with the use of γ-Al2O3/water nanofluid and longitudinal ribs in a curved duct. Therm. Sci. 2012, 16, 469–480. [Google Scholar] [CrossRef]
- Hamad, M. Analytical solution of natural convection flow of a nanofluid over a linearly stretching sheet in the presence of magnetic field. Int. Commun. Heat Mass Transf. 2011, 38, 487–492. [Google Scholar] [CrossRef]
- Bridgman, P.W. The thermal conductivity of liquids. Proc. Natl. Acad. Sci. USA 1923, 9, 341–345. [Google Scholar] [CrossRef]
- Algehyne, E.A.; Wakif, A.; Rasool, G.; Saeed, A.; Ghouli, Z. Significance of Darcy-Forchheimer and Lorentz forces on radiative alumina-water nanofluid flows over a slippery curved geometry under multiple convective constraints: A renovated Buongiorno’s model with validated thermophysical correlations. Waves Random Complex Media 2022, 1–30. [Google Scholar] [CrossRef]
- Batool, S.; Rasool, G.; Alshammari, N.; Khan, I.; Kaneez, H.; Hamadneh, N. Numerical analysis of heat and mass transfer in micropolar nanofluids flow through lid driven cavity: Finite volume approach. Case Stud. Therm. Eng. 2022, 37, 102233. [Google Scholar] [CrossRef]
- Bhutta, M.S.; Xuebang, T.; Akram, S.; Yidong, C.; Ren, X.; Fasehullah, M.; Rasool, G.; Nazir, M.T. Development of novel hybrid 2D-3D graphene oxide diamond micro composite polyimide films to ameliorate electrical & thermal conduction. J. Ind. Eng. Chem. 2022, 114, 108–114. [Google Scholar]
- Sabir, Z.; Imran, A.; Umar, M.; Zeb, M.; Shoaib, M.; Raja, M.A.Z. A numerical approach for 2-D Sutterby fluid-flow bounded at a stagnation point with an inclined magnetic field and thermal radiation impacts. Therm. Sci. 2021, 25, 1975–1987. [Google Scholar] [CrossRef]
- Rehman, A.; Hussain, A.; Nadeem, S. Assisting and opposing stagnation point pseudoplastic nano liquid flow towards a flexible Riga sheet: A computational approach. Math. Probl. Eng. 2021, 2021, 6610332. [Google Scholar] [CrossRef]
- Ramesh, G.; Prasannakumara, B.; Gireesha, B.; Rashidi, M. Casson fluid flow near the stagnation point over a stretching sheet with variable thickness and radiation. J. Appl. Fluid Mech. 2016, 9, 1115-1022. [Google Scholar] [CrossRef]
- Baag, S.; Mishra, S.; Dash, G.; Acharya, M. Numerical investigation on MHD micropolar fluid flow toward a stagnation point on a vertical surface with heat source and chemical reaction. J. King Saud Univ.-Eng. Sci. 2017, 29, 75–83. [Google Scholar] [CrossRef]
- Gleiter, H. Nanocrystalline Materials and Nanometer-Sized Glasses. Europhys. News 1989, 20, 130–133. [Google Scholar] [CrossRef][Green Version]
- Keblinski, P.; Phillpot, S.; Choi, S.; Eastman, J. Mechanisms of heat flow in suspensions of nano-sized particles (nanofluids). Int. J. Heat Mass Transf. 2002, 45, 855–863. [Google Scholar] [CrossRef]
- Hamilton, R.L.; Crosser, O. Thermal conductivity of heterogeneous two-component systems. Ind. Eng. Chem. Fundam. 1962, 1, 187–191. [Google Scholar] [CrossRef]
- Horrocks, J.; McLaughlin, E. Thermal conductivity of simple molecules in the condensed state. Trans. Faraday Soc. 1960, 56, 206–212. [Google Scholar] [CrossRef]
- Duncan, A.; Peterson, G. Review of microscale heat transfer. Appl. Mech. Rev. 1994, 47, 397–428. [Google Scholar] [CrossRef]
- Luo, M.; Zhao, J.; Liu, L. Normal heat diffusion in many-body system via thermal photons. arXiv 2020, arXiv:2011.07588. [Google Scholar]
- Eastman, J.A.; Choi, S.; Li, S.; Yu, W.; Thompson, L. Anomalously increased effective thermal conductivities of ethylene glycol-based nanofluids containing copper nanoparticles. Appl. Phys. Lett. 2001, 78, 718–720. [Google Scholar] [CrossRef]
- Li, C.H.; Peterson, G. Experimental investigation of temperature and volume fraction variations on the effective thermal conductivity of nanoparticle suspensions (nanofluids). J. Appl. Phys. 2006, 99, 084314. [Google Scholar] [CrossRef]
- Lee, S.; Choi, S.S.; Li, S.; Eastman, J. Measuring thermal conductivity of fluids containing oxide nanoparticles. J. Heat Transf. 1999, 121, 280–289. [Google Scholar] [CrossRef]
- Murshed, S.; Leong, K.; Yang, C. Enhanced thermal conductivity of TiO2—Water based nanofluids. Int. J. Therm. Sci. 2005, 44, 367–373. [Google Scholar] [CrossRef]
- Patel, H.E.; Das, S.K.; Sundararajan, T.; Sreekumaran Nair, A.; George, B.; Pradeep, T. Thermal conductivities of naked and monolayer protected metal nanoparticle based nanofluids: Manifestation of anomalous enhancement and chemical effects. Appl. Phys. Lett. 2003, 83, 2931–2933. [Google Scholar] [CrossRef]
- Yu, W.; Xie, H.; Li, Y.; Chen, L. Experimental investigation on thermal conductivity and viscosity of aluminum nitride nanofluid. Particuology 2011, 9, 187–191. [Google Scholar] [CrossRef]
- Xuan, Y.; Li, Q. Investigation on convective heat transfer and flow features of nanofluids. J. Heat Transf. 2003, 125, 151–155. [Google Scholar] [CrossRef]
- Hwang, Y.; Ahn, Y.; Shin, H.; Lee, C.; Kim, G.; Park, H.; Lee, J. Investigation on characteristics of thermal conductivity enhancement of nanofluids. Curr. Appl. Phys. 2006, 6, 1068–1071. [Google Scholar] [CrossRef]
- Liu, M.S.; Lin, M.C.; Huang, I.T.; Wang, C.C. Enhancement of thermal conductivity with CuO for nanofluids. Chem. Eng. Technol. Ind. Chem.-Plant Equip.-Process Eng.-Biotechnol. 2006, 29, 72–77. [Google Scholar] [CrossRef]
- Krishnamurthy, S.; Bhattacharya, P.; Phelan, P.; Prasher, R. Enhanced mass transport in nanofluids. Nano Lett. 2006, 6, 419–423. [Google Scholar] [CrossRef]
- Wen, D.; Ding, Y. Natural convective heat transfer of suspensions of titanium dioxide nanoparticles (nanofluids). IEEE Trans. Nanotechnol. 2006, 5, 220–227. [Google Scholar]
- Das, S.K.; Putra, N.; Thiesen, P.; Roetzel, W. Temperature dependence of thermal conductivity enhancement for nanofluids. J. Heat Transf. 2003, 125, 567–574. [Google Scholar] [CrossRef]
- Chon, C.; Kihm, K. Thermal conductivity enhancement of nanofluids by Brownian motion. Trans.-Am. Soc. Mech. Eng. J. Heat Transf. 2005, 127, 810. [Google Scholar] [CrossRef]
- Murshed, S.; Leong, K.; Yang, C. Investigations of thermal conductivity and viscosity of nanofluids. Int. J. Therm. Sci. 2008, 47, 560–568. [Google Scholar] [CrossRef]
- Ganesh, N.V.; Hakeem, A.A.; Ganga, B. A comparative theoretical study on Al2O3 and γ-Al2O3 nanoparticles with different base fluids over a stretching sheet. Adv. Powder Technol. 2016, 27, 436–441. [Google Scholar] [CrossRef]
- Devi, S.; Kandasamy, R. Analysis of nonlinear two dimensional laminar natural flow and mixed convection over variable surface with free stream conditions. J. Comput. Appl. Math. 2002, 3, 107–116. [Google Scholar]
- Reza-E-Rabbi, S.; Ahmmed, S.F.; Arifuzzaman, S.; Sarkar, T.; Khan, M.S. Computational modelling of multiphase fluid flow behaviour over a stretching sheet in the presence of nanoparticles. Eng. Sci. Technol. Int. J. 2020, 23, 605–617. [Google Scholar] [CrossRef]
- Dogonchi, A.; Alizadeh, M.; Ganji, D. Investigation of MHD Go-water nanofluid flow and heat transfer in a porous channel in the presence of thermal radiation effect. Adv. Powder Technol. 2017, 28, 1815–1825. [Google Scholar] [CrossRef]
- Maiga, S.E.B.; Palm, S.J.; Nguyen, C.T.; Roy, G.; Galanis, N. Heat transfer enhancement by using nanofluids in forced convection flows. Int. J. Heat Fluid Flow 2005, 26, 530–546. [Google Scholar] [CrossRef]





















| Researchers | Nanoparticle Size/Base-Fluid | Measurement | Thermal Conductivity (k) ↑ |
|---|---|---|---|
| Das et al. [42] | AlO (38.4)/water | Temperature Oscillations | For 4 vol %: at C and 25% at C |
| Li and Peterson [32] | AlO (36)/water | SS method | For 2 vol %: at C and at C |
| Chon and Kihm [43] | AlO (47)/water AlO (150)/water | transient hot-wire | at C and at C at C and at C |
| Murshed et al. [44] | AlO (150)/DIW | transient hot-wire | For 1 vol %: at C |
| Density (kg/m) | (J/Kg K) | k (W/mK) | ||
|---|---|---|---|---|
| HO (Pure Water) | 998.3 | 4182 | 0.60 | 6.96 |
| CHO (Ethylene glycol) | 1116.6 | 2382 | 0.249 | 204 |
| AlO (Alumina) | 3970 | 765 | 40 | - |
Publisher’s Note: MDPI stays neutral with regard to jurisdictional claims in published maps and institutional affiliations. |
© 2022 by the authors. Licensee MDPI, Basel, Switzerland. This article is an open access article distributed under the terms and conditions of the Creative Commons Attribution (CC BY) license (https://creativecommons.org/licenses/by/4.0/).
Share and Cite
Abbas, I.; Hasnain, S.; Alatawi, N.A.; Saqib, M.; Mashat, D.S. Thermal Radiation Energy Performance on Stagnation-Point Flow in the Presence of Base Fluids Ethylene Glycol and Water over Stretching Sheet with Slip Boundary Condition. Energies 2022, 15, 7965. https://doi.org/10.3390/en15217965
Abbas I, Hasnain S, Alatawi NA, Saqib M, Mashat DS. Thermal Radiation Energy Performance on Stagnation-Point Flow in the Presence of Base Fluids Ethylene Glycol and Water over Stretching Sheet with Slip Boundary Condition. Energies. 2022; 15(21):7965. https://doi.org/10.3390/en15217965
Chicago/Turabian StyleAbbas, Imran, Shahid Hasnain, Nawal A. Alatawi, Muhammad Saqib, and Daoud S. Mashat. 2022. "Thermal Radiation Energy Performance on Stagnation-Point Flow in the Presence of Base Fluids Ethylene Glycol and Water over Stretching Sheet with Slip Boundary Condition" Energies 15, no. 21: 7965. https://doi.org/10.3390/en15217965
APA StyleAbbas, I., Hasnain, S., Alatawi, N. A., Saqib, M., & Mashat, D. S. (2022). Thermal Radiation Energy Performance on Stagnation-Point Flow in the Presence of Base Fluids Ethylene Glycol and Water over Stretching Sheet with Slip Boundary Condition. Energies, 15(21), 7965. https://doi.org/10.3390/en15217965

