Effect of Wettability Heterogeneity on Water-Gas Two-Phase Displacement Behavior in a Complex Pore Structure by Phase-Field Model
Abstract
1. Introduction
2. Numerical Models
2.1. Establishment of Heterogeneous Wetting Pore Models
2.2. Case Studies and Boundary Conditions
3. Results and Discussion
4. Conclusions
- (I)
- The surface fraction of gas-wetting and alternating wettability heterogeneity all present an essential effect on the fluid displacement path and invasion patterns, while the injecting flux rate has less influence in the capillary–viscous crossover flow regime.
- (II)
- Among various surface fractions of gas-wetting, a uniformly water-wet medium prefers to produce a higher gas-phase displacement efficiency.
- (III)
- For heterogeneous porous structures with the uniform gas-wetting distribution, the dalmatian wetting structure has a higher displacement efficiency than the mixed wetting structure during the immiscible two-phase displacement process.
- (IV)
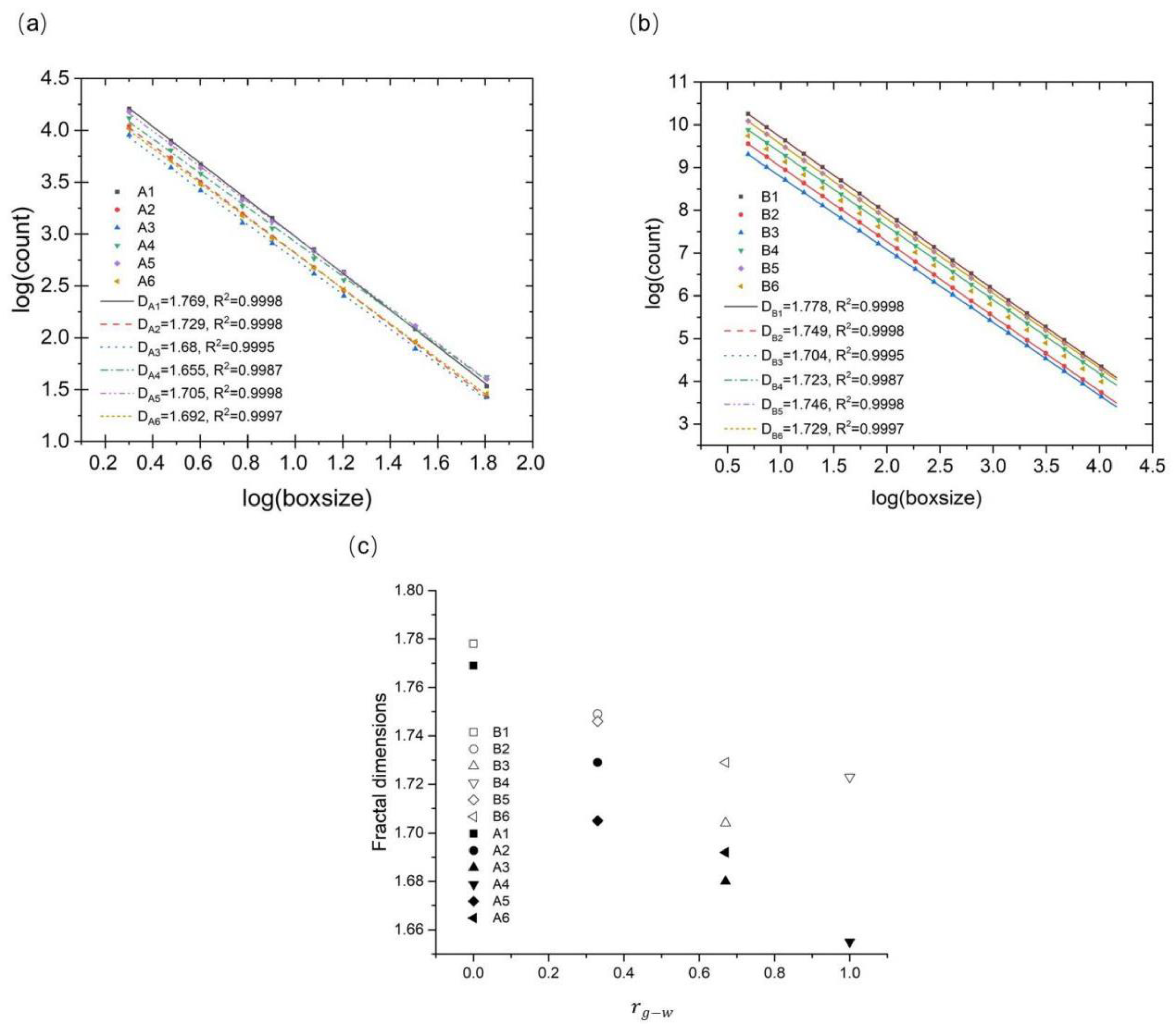
- The complexity of the two-phase fluid distribution, characterized by the fractal dimension and specific surface area, is sensitive to the wettability heterogeneity, while the spatial wettability correlation has a weaker impact.
Author Contributions
Funding
Data Availability Statement
Conflicts of Interest
References
- Lei, W.; Lu, X.; Liu, F.; Wang, M. Non-monotonic wettability effects on displacement in heterogeneous porous media. J. Fluid Mech. 2022, 942, R5. [Google Scholar] [CrossRef]
- Cai, J.; Jin, T.; Kou, J.; Zou, S.; Xiao, J.; Meng, Q. Lucas–Washburn Equation-Based Modeling of Capillary-Driven Flow in Porous Systems. Langmuir 2021, 37, 1623–1636. [Google Scholar] [CrossRef] [PubMed]
- Lei, W.; Liu, T.; Xie, C.; Yang, H.; Wu, T.; Wang, M. Enhanced oil recovery mechanism and recovery performance of micro-gel particle suspensions by microfluidic experiments. Energy Sci. Eng. 2020, 8, 986–998. [Google Scholar] [CrossRef]
- Lei, W.; Li, Q.; Yang, H.; Wu, T.; Wei, J.; Wang, M. Preferential flow control in heterogeneous porous media by concentration-manipulated rheology of microgel particle suspension. J. Pet. Sci. Eng. 2022, 212, 110275. [Google Scholar] [CrossRef]
- Xie, C.; Lei, W.; Balhoff, M.T.; Wang, M.; Chen, S. Self-adaptive preferential flow control using displacing fluid with dispersed polymers in heterogeneous porous media. J. Fluid Mech. 2021, 906, A10. [Google Scholar] [CrossRef]
- Zheng, J.; Lei, W.; Ju, Y.; Wang, M. Investigation of spontaneous imbibition behavior in a 3D pore space under reservoir condition by lattice Boltzmann method. J. Geophys. Res.-Solid Earth. 2021, 126, e2021JB021987. [Google Scholar] [CrossRef]
- Wang, W.; Kosakowski, G.; Kolditz, O. A parallel finite element scheme for thermo-hydro-mechanical (THM) coupled problems in porous media. Comput. Geosci-UK 2009, 35, 1631–1641. [Google Scholar] [CrossRef]
- Diao, Z.; Li, S.; Liu, W.; Liu, H.; Xia, Q. Numerical study of the effect of tortuosity and mixed wettability on spontaneous imbibition in heterogeneous porous media. Capillarity 2021, 4, 50–62. [Google Scholar] [CrossRef]
- Iglauer, S.; Al-Yaseri, A. Improving basalt wettability to de-risk CO2 geo-storage in basaltic formations. Adv. Geo-Energy Res. 2021, 5, 347–350. [Google Scholar] [CrossRef]
- Lei, W.; Xie, C.; Wu, T.; Wang, M. Transport mechanism of deformable micro-gel particle through micropores with mechanical properties characterized by AFM. Sci. Rep. 2019, 9, 1453. [Google Scholar] [CrossRef]
- Mohanty, K.K. Multiphase Flow in Porous Media: III. Oil Mobilization, Transverse Dispersion, and Wettability. In Proceedings of the SPE Annual Technical Conference and Exhibition, San Francisco, CA, USA, 5–8 October 1983. [Google Scholar]
- Valvatne, P.H.; Blunt, M.J. Predictive pore-scale modeling of two-phase flow in mixed wet media. Water Resour. Res. 2004, 40, 187. [Google Scholar] [CrossRef]
- Zou, S.; Armstrong, R.T.; Arns, J.Y.; Arns, C.H.; Hussain, F. Experimental and theoretical evidence for increased ganglion dynamics during fractional flow in mixed-wet porous media. Water Resour. Res. 2018, 54, 3277–3289. [Google Scholar] [CrossRef]
- Zou, S.; Liu, Y.; Cai, J.; Armstrong, R.T. Influence of capillarity on relative permeability in fractional flows. Water Resour. Res. 2020, 56, e2020WR027624. [Google Scholar] [CrossRef]
- Oliveira, M.F.S.; Lima, I.; Borghi, L.; Lopes, R.T. X-ray microtomography application in pore space reservoir rock. Appl. Radiat. Isotopes 2012, 70, 1376–1378. [Google Scholar] [CrossRef]
- Zhao, J.; Wen, D. Pore-scale simulation of wettability and interfacial tension effects on flooding process for enhanced oil recovery. Rsc. Adv. 2017, 7, 41391–41398. [Google Scholar] [CrossRef] [PubMed]
- Radke, C.J.; Kovscek, A.R.; Wong, H. A Pore-Level Scenario for the Development of Mixed Wettability in Oil Reservoirs. Aiche. J. 1992, 39, 1072–1085. [Google Scholar]
- Cai, J.; Li, C.; Song, K.; Zou, S.; Yang, Z.; Shen, Y.; Meng, Q.; Liu, Y. The influence of salinity and mineral components on spontaneous imbibition in tight sandstone. Fuel 2020, 269, 117087. [Google Scholar] [CrossRef]
- Heiba, A.; Davis, H.; Scriven, L. Effect of Wettability on Two-Phase Relative Permeabilities and Capillary Pressures. In Proceedings of the SPE Annual Technical Conference and Exhibition, San Francisco, CA, USA, 5–8 October 1983. [Google Scholar]
- Laroche, C.; Vizika, O.; Kalaydjian, F. Wettability heterogeneities in gas injection; experiments and modelling. Petrol. Geosci. 1999, 5, 65–69. [Google Scholar] [CrossRef]
- Armstrong, R.T.; Sun, C.; Mostaghimi, P. Multiscale Characterization of Wettability in Porous Media. Transp. Porous Med. 2021, 140, 215–240. [Google Scholar] [CrossRef]
- Javaheri, A.; Habibi, A.; Dehghanpour, H.; Wood, J.M. Imbibition oil recovery from tight rocks with dual-wettability behavior. J. Petrol. Sci. Eng. 2018, 167, 180–191. [Google Scholar] [CrossRef]
- Song, W.; Yao, J.; Wang, D.; Li, Y.; Sun, H.; Yang, Y.; Zhang, L. Nanoscale confined gas and water multiphase transport in nanoporous shale with dual surface wettability. Adv. Water Resour. 2019, 130, 300–313. [Google Scholar] [CrossRef]
- Cuiec, L.E. Evaluation of Reservoir Wettability and Its Effect on Oil Recovery. Interf. Phenom. Petrol. Recov. 1991, 13, 319–376. [Google Scholar]
- Masalmeh, S.K. The effect of wettability heterogeneity on capillary pressure and relative permeability. J. Petrol. Sci. Eng. 2003, 39, 399–408. [Google Scholar] [CrossRef]
- Basirat, F.; Yang, Z.; Niemi, A. Pore-scale modeling of wettability effects on CO2–brine displacement during geological storage. Adv. Water Resour. 2017, 109, 181–195. [Google Scholar] [CrossRef]
- Hu, R.; Wan, J.; Kim, Y.; Tokunaga, T.K. Wettability effects on supercritical CO2–brine immiscible displacement during drainage: Pore-scale observation and 3D simulation. Int. J. Greenh. Gas Con. 2017, 60, 129–139. [Google Scholar] [CrossRef]
- Laroche, C.; Vizika, O.; Kalaydjian, F. Network Modeling to Predict the Effect of Wettability Heterogeneities on Multiphase Flow. In Proceedings of the SPE annual technical conference and exhibition, Houston, TX, USA, 3–6 October 1999. [Google Scholar] [CrossRef]
- Wang, J.; Xiao, L.; Liao, G.; Zhang, Y.; Cui, Y.; Sun, Z.; Dong, Y.; Hu, L. NMR characterizing mixed wettability under intermediate-wet condition. Magn. Reson. Imaging 2019, 56, 156–160. [Google Scholar] [CrossRef]
- Zhao, B.; MacMinn, C.W.; Juanes, R. Wettability control on multiphase flow in patterned microfluidics. Proc. Natl. Acad. Sci. USA 2016, 113, 10251–10256. [Google Scholar] [CrossRef]
- Holtzman, R.; Segre, E. Wettability stabilizes fluid invasion into porous media via nonlocal, cooperative pore filling. Phys. Rev. Lett. 2015, 115, 164501. [Google Scholar] [CrossRef]
- Bakhshian, S.; Rabbani, H.S.; Hosseini, S.A.; Shokri, N. New insights into complex interactions between heterogeneity and wettability influencing two-phase flow in porous media. Geophys. Res. Lett. 2020, 47, e2020GL088187. [Google Scholar] [CrossRef]
- Primkulov, B.K.; Pahlavan, A.A.; Fu, X.; Zhao, B.; Macminn, C.W.; Juanes, R. Wettability and Lenormand’s diagram. J. Fluid Mech. 2021, 923, A34. [Google Scholar] [CrossRef]
- Avendano, J.; Lima, N.; Quevedo, A.; Carvalho, M. Effect of surface wettability on immiscible displacement in a microfluidic porous media. Energies 2019, 12, 664. [Google Scholar] [CrossRef]
- Starnoni, M.; Pokrajac, D. Numerical study of the effects of contact angle and viscosity ratio on the dynamics of snap-off through porous media. Adv. Water Resour. 2018, 111, 70–85. [Google Scholar] [CrossRef]
- Yamabe, H.; Tsuji, T.; Liang, Y.; Matsuoka, T. Lattice Boltzmann simulations of supercritical CO2-water drainage displacement in porous media: CO2 saturation and displacement mechanism. Environ. Sci. Technol. 2015, 49, 537–543. [Google Scholar] [CrossRef]
- Akbarabadi, M.; Saraji, S.; Piri, M.; Georgi, D.; Delshad, M. Nano-scale Experimental Investigation of In-situ Wettability and Spontaneous Imbibition in Ultra-tight Reservoir Rocks. Adv. Water Resour. 2017, 107, 160–179. [Google Scholar] [CrossRef]
- Murison, J.; Semin, B.T.; Baret, J.C.; Herminghaus, S.; Schroter, M.; Brinkmann, M.J.P. Wetting heterogeneity in mixed-wet porous media controls flow dissipation. Phys. Rev. A 2014, 2, 034002. [Google Scholar] [CrossRef]
- Cuetofelgueroso, L.; Juanes, R. Phase-field modeling of two-phase flow in porous media with partial wetting. In Proceedings of the Meeting of the Aps Division of Fluid Dynamics: American Physical Society, Pittsburgh, PA, USA, 24–26 November 2013. [Google Scholar]
- Tsuji, T.; Jiang, F.; Christensen, K.T. Characterization of immiscible fluid displacement processes with various capillary numbers and viscosity ratios in 3D natural sandstone. Adv. Water Resour. 2016, 95, 3–15. [Google Scholar] [CrossRef]
- Chang, C.; Kneafsey, T.J.; Wan, J.; Tokunaga, T.K.; Nakagawa, S. Impacts of Mixed-Wettability on Brine Drainage and Supercritical CO2 Storage Efficiency in a 2.5-D Heterogeneous Micromodel. Water Resour. Res. 2020, 55, e2019WR026789. [Google Scholar] [CrossRef]
- Rücker, M.; Bartels, W.B.; Singh, K.; Brussee, N.; Coorn, A.; van der Linde, H.A.; Bonnin, A.; Ott, H.; Hassanizadeh, S.M.; Blunt, M.J.; et al. The Effect of Mixed Wettability on Pore-Scale Flow Regimes Based on a Flooding Experiment in Ketton Limestone. Geophys. Res. Lett. 2019, 46, 3225–3234. [Google Scholar] [CrossRef]
- Foroughi, S.; Bijeljic, B.; Blunt, M.J. Pore-by-pore modeling, validation and prediction of waterflooding in oil-wet rocks using dynamic synchrotron data. Transp. Porous Med. 2021, 138, 285–308. [Google Scholar] [CrossRef]
- Foroughi, S.; Bijeljic, B.; Lin, Q.; Raeini, A.Q.; Blunt, M.J. Pore-by-pore modeling, analysis, and prediction of two-phase flow in mixed-wet rocks. Phys. Rev. E 2020, 102, 023302. [Google Scholar] [CrossRef]
- Garfi, G.; John, C.; Rücker, M.; Lin, Q.; Krevor, S. Determination of the spatial distribution of wetting in the pore networks of rocks. J. Colloid Interf. Sci. 2022, 613, 786–795. [Google Scholar] [CrossRef] [PubMed]
- Garfi, G.; John, C.M.; Lin, Q.; Berg, S.; Krevor, S. Fluid Surface Coverage Showing the Controls of Rock Mineralogy on the Wetting State. Geophys. Res. Lett. 2020, 47, e2019GL086380. [Google Scholar] [CrossRef]
- Aghaei, A.; Piri, M. Direct pore-to-core up-scaling of displacement processes: Dynamic pore network modeling and experimentation. J. Hydrol. 2015, 522, 488–509. [Google Scholar] [CrossRef]
- McDougall, S.R.S.; Sorbie, K.S. The Impact of Wettability on Waterflooding: Pore-Scale Simulation. SPE Res. Eng. 1995, 10, 208–213. [Google Scholar] [CrossRef]
- Cha, L.; Feng, Q.; Wang, S.; Xu, S.; Xie, C. Pore-Scale Modeling of Immiscible Displacement in Porous Media: The Effects of Dual Wettability. SPE J. 2022, 1–12. [Google Scholar] [CrossRef]
- Xie, C.; Zhang, J.; Bertola, V.; Wang, M. Droplet evaporation on a horizontal substrate under gravity field by mesoscopic modeling. J. Colloid Interf. Sci. 2016, 463, 317–323. [Google Scholar] [CrossRef]
- Xie, C.; Zhang, J.; Bertola, V.; Wang, M. Lattice Boltzmann modeling for multiphase viscoplastic fluid flow. J. Non-Newton Fluid 2016, 234, 118–128. [Google Scholar] [CrossRef]
- Amiri, H.A.A.; Hamouda, A.A. Pore-scale modeling of non-isothermal two phase flow in 2D porous media: Influences of viscosity, capillarity, wettability and heterogeneity. Int. J. Multiphas. Flow 2014, 61, 14–27. [Google Scholar] [CrossRef]
- Liu, J.; Ju, Y.; Zhang, Y.; Gong, W. Preferential Paths of Air-water Two-phase Flow in Porous Structures with Special Consideration of Channel Thickness Effects. Sci. Rep. 2019, 9, 16204. [Google Scholar] [CrossRef]
- Liu, J.; Ju, Y.; Zhang, Y.; Gong, W.; Chang, W. Thermal-hydro coupling model of immiscible two-phase flow in heterogeneous porous structures at high temperatures. Int. J. Therm. Sci. 2020, 156, 106465. [Google Scholar] [CrossRef]
- Sirivithayapakorn, S.; Keller, A. Transport of colloids in saturated porous media: A pore-scale observation of the size exclusion effect and colloid acceleration. Water Resour. Res. 2003, 39, 1255–1256. [Google Scholar] [CrossRef]
- Auset, M.; Keller, A.A. Pore-scale processes that control dispersion of colloids in saturated porous media. Water Resour. Res. 2004, 40, 114–125. [Google Scholar] [CrossRef]
- Wang, M.; Kang, Q. Modeling electrokinetic flows in microchannels using coupled lattice Boltzmann methods. J. Comput. Phys. 2010, 229, 728–744. [Google Scholar] [CrossRef]
- Yue, P.; Zhou, C.; Feng, J.J.; Ollivier-Gooch, C.F.; Hu, H.H. Phase-field simulations of interfacial dynamics in viscoelastic fluids using finite elements with adaptive meshing. J. Comput. Phys. 2006, 219, 47–67. [Google Scholar] [CrossRef]
- Prüss, J.; Simonett, G. Analytic Solutions for the Two-phase Navier-Stokes Equations with Surface Tension and Gravity. In Parabolic Problems; Springer: Basel, Switzerland, 2011; Volume 80, pp. 507–540. [Google Scholar]
- Zhang, C.; Oostrom, M.; Wietsma, T.W.; Grate, J.W.; Warner, M.G. Influence of Viscous and Capillary Forces on Immiscible Fluid Displacement: Pore-Scale Experiment Study in a Water-Wet Micromodel Demonstrating Viscous and Capillary Fingering. Energy Fuels 2011, 25, 3493–3505. [Google Scholar] [CrossRef]
- Lenormand, R.; Touboul, E.; Zarcone, C. Numerical models and experiments on immiscible displacements in porous media. J. Fluid Mech. 1988, 189, 165–187. [Google Scholar] [CrossRef]
- Sautel, M.; Elmaleh, H.; Leveiller, F. Comparison of Specific Surface Areas of a Micronized Drug Substance as Determined by Different Techniques. Stud. Surf. Sci. Catal. 2000, 128, 633–642. [Google Scholar]
- White, A.F. 7.4-Natural Weathering Rates of Silicate Minerals. In Treatise on Geochemistry; Holland, H.D., Turekian, K.K., Eds.; Elsevier: Oxford, UK, 2003; pp. 133–168. [Google Scholar]














| No. | qv (mL/min) | Wettability | μw (×10−3 Pa·s) | μgas (×10−5 Pa·s) | ρw (kg/m3) | ρa (kg/m3) | θ (ο) | σ (×10−2 N/m) | |
|---|---|---|---|---|---|---|---|---|---|
| A1 | 3 | 0 | Mixed | 1 | 1.81 | 1000 | 1.28 | 65.5/120 | 7.21 |
| B1 | 10 | ||||||||
| A2 | 3 | 1/3 | |||||||
| B2 | 10 | ||||||||
| A3 | 3 | 2/3 | |||||||
| B3 | 10 | ||||||||
| A4 | 3 | 1 | |||||||
| B4 | 10 | ||||||||
| A5 | 3 | 1/3 | Dalmatian | 1 | 1.81 | 1000 | 1.28 | 65.5/120 | 7.21 |
| B5 | 10 | ||||||||
| A6 | 3 | 2/3 | |||||||
| B6 | 10 |
Publisher’s Note: MDPI stays neutral with regard to jurisdictional claims in published maps and institutional affiliations. |
© 2022 by the authors. Licensee MDPI, Basel, Switzerland. This article is an open access article distributed under the terms and conditions of the Creative Commons Attribution (CC BY) license (https://creativecommons.org/licenses/by/4.0/).
Share and Cite
Gong, W.; Liu, J. Effect of Wettability Heterogeneity on Water-Gas Two-Phase Displacement Behavior in a Complex Pore Structure by Phase-Field Model. Energies 2022, 15, 7658. https://doi.org/10.3390/en15207658
Gong W, Liu J. Effect of Wettability Heterogeneity on Water-Gas Two-Phase Displacement Behavior in a Complex Pore Structure by Phase-Field Model. Energies. 2022; 15(20):7658. https://doi.org/10.3390/en15207658
Chicago/Turabian StyleGong, Wenbo, and Jinhui Liu. 2022. "Effect of Wettability Heterogeneity on Water-Gas Two-Phase Displacement Behavior in a Complex Pore Structure by Phase-Field Model" Energies 15, no. 20: 7658. https://doi.org/10.3390/en15207658
APA StyleGong, W., & Liu, J. (2022). Effect of Wettability Heterogeneity on Water-Gas Two-Phase Displacement Behavior in a Complex Pore Structure by Phase-Field Model. Energies, 15(20), 7658. https://doi.org/10.3390/en15207658
