Study of the Harmonic Analysis and Energy Transmission Mechanism of the Frequency Conversion Transformer
Abstract
:1. Introduction
2. Analytical Solutions of Framed Flux
3. Theoretical Analyses of Harmonic Components
3.1. Ideal Sine Wave Voltage Source
3.2. Arbitrary Waveform Voltage Source
4. Finite Element Simulation and Experimental Study
4.1. Finite Element Simulation
4.2. Test Platform
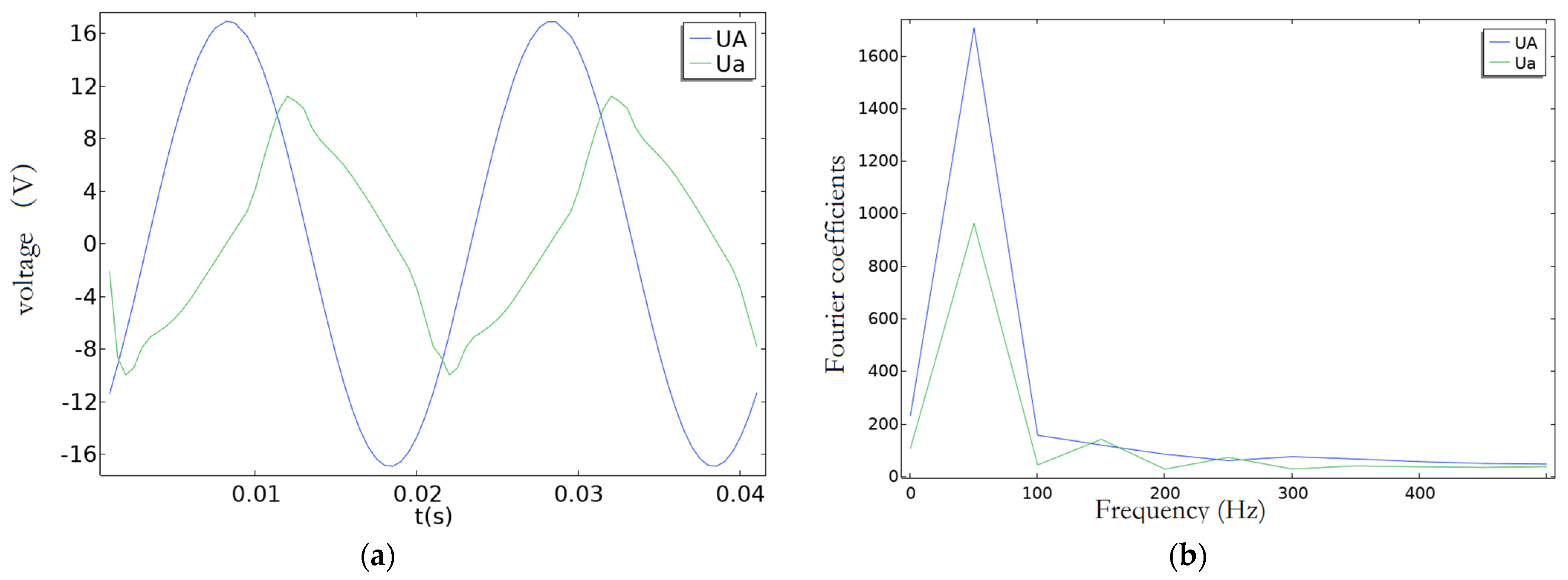
4.3. Test Results
- Magnetic flux distribution of cores with and without zero-sequence paths;
- 2.
- Harmonic components of frame-separated flux with zero sequence path.
5. Conclusions
Author Contributions
Funding
Institutional Review Board Statement
Acknowledgments
Conflicts of Interest
References
- Wang, X. Frequency division Transmission System. China Electr. Power 1995, 1, 2–6. [Google Scholar]
- Teng, Y.; Ning, L.; Li, G.; Wang, X.; Lu, M. Mechanical and Electrical Transient Calculation Method and Transient Characteristic Analysis of Power System with Frequency Division Wind Power. Autom. Electr. Power Syst. 2015, 39, 43–50. [Google Scholar]
- Wang, X.; Zhang, X.; Ning, L.; Zhu, W.; Wang, X. Frequency transmission in the offshore wind power grid application prospects and challenges. Electr. Power Eng. 2017, 4, 15–19. [Google Scholar]
- Follo, A.; Saborío-Romano, O.; Tedeschi, E.; Cutululis, N.A. Challenges in All-DC Offshore Wind Power Plants. Energies 2021, 14, 6057. [Google Scholar] [CrossRef]
- Huang, P.; Mao, C.; Wang, D. Electric Field Simulations and Analysis for High Voltage High Power Medium Frequency Transformer. Energies 2017, 10, 371. [Google Scholar] [CrossRef] [Green Version]
- Khan, M.R.; Iqbal, A.; Ilahi, F. Digital Simulation of Variable Frequency Transformer. In Proceedings of the 2010 Joint International Conference on Power Electronics, Drives and Energy Systems & 2010 Power India, New Delhi, India, 20–23 December 2010; pp. 1–6. [Google Scholar]
- Ambati, B.B.; Kanjiya, P.; Khadkikar, V.; El Moursi, M.S.; Kirtley, J.L. A Hierarchical Control Strategy with Fault Ride-Through Capability for Variable Frequency Transformer. IEEE Trans. Energy Convers. 2014, 30, 132–141. [Google Scholar] [CrossRef] [Green Version]
- Zhou, P.; Ji, Y.; Dai, C.; Jing, P.; Zhao, C.; Wang, D. Application of frequency conversion transformer in half wavelength frequency conversion tuning. J. Electr. Power Syst. Autom. 2019, 31, 71–76. [Google Scholar]
- Ambati, B.B.; Khadkikar, V. Variable Frequency Transformer Configuration for Decoupled Active-Reactive Powers Transfer Control. IEEE Trans. Energy Convers. 2016, 31, 906–914. [Google Scholar] [CrossRef]
- Guo, Q. Research and Design of New Structure Variable Frequency Transformer. Master’s Thesis, China University of Mining and Technology, Xuzhou, China, 2014. [Google Scholar]
- Pedram, E.; Ehsan, H.; Ahmad, M.; Mehdi, V. Derivation of a Low-Frequency Model for a 3D Wound Core Transformer. In Proceedings of the 2017 Iranian Conference on Electrical Engineering, Tehran, Iran, 2–4 May 2017; pp. 1319–1323. [Google Scholar]
- Yang, Y.; Xu, J.; Zhou, J. A Segmented Paper Modeling Method of Open Transformer with Three-Dimensional Wound Core by Introducing Equivalent Conductivities. In Proceedings of the 2019 IEEE Transportation Electrification Conference and Expo, Asia-Pacific, Seogwipo, Korea, 8–10 May 2019; pp. 1–6. [Google Scholar]
- Loizos, G.; Kefalas, T.D.; Kladas, A.G.; Souflaris, A.T. Flux Distribution Analysis in Three-Phase Si-Fe Wound Transformer Cores. IEEE Trans. Magn. 2010, 46, 594–597. [Google Scholar] [CrossRef]
- Odawara, S.; Yamamoto, S. Iron Loss Evaluation of Reactor Core with Air Gaps by Magnetic Field Analysis Under High-Frequency Excitation. IEEE Trans. Magn. 2015, 51, 8402404. [Google Scholar] [CrossRef]
- Guo, X.; Song, D.; Long, L.; Xie, H.; Guan, T. Analysis of Basic Characteristics of S13 Three-Dimensional Wound-Core Transformer. Transformer 2012, 49, 27–37. [Google Scholar]
- Wu, Z.; Su, Z.; Zhang, X. Research of Operation Principle and Application Effect of Power Transformer Common Magnetic Shunt. Transformer 2018, 55, 24–31. [Google Scholar]
- Su, Z.; Zhang, C.; Tan, L. Application of Active Part Magnetic Shunt Circuit on Magnetic Leakage Prevention of Single Phase Transformer and Effectiveness Evaluation. Transformer 2015, 52, 24–28. [Google Scholar]
- Nezhivenko, S.; Bagheri, M.; Phung, T. Three-Dimensional Vibration Analysis of Single-Phase Transformer Winding under Inter-Disc Fault. In Proceedings of the 2017 International Symposium on Electrical Insulating Materials, Toyohashi, Japan, 11–15 September 2017; pp. 512–515. [Google Scholar]
















| i | 3 | 9 | 15 | 21 | 6n − 3 |
|---|---|---|---|---|---|
| ωt | 2π/3, 4π/3 | 5π/9, 13π/9 | 8π/15, 22π/15 | 11π/21, 31π/21 | kπ/(6n − 3) |
| ki | 16.667% | 1.93% | 0.697% | 0.356% | Cos(kπ/(6n − 3))/(6n − 3) |
| zmin | ±0.866 | ±0.9848 | ±0.9945 | ±0.9972 | ±Sin(kπ/(6n − 3)) |
| Parameter | Value |
|---|---|
| Rated voltage | 400/10 |
| Rated current | 1.5/61 |
| Winding connection mode | Yd11 |
| There Is a Zero-Sequence Flux Path | No Zero-Sequence Flux Path | ||||||||
|---|---|---|---|---|---|---|---|---|---|
| U/p.u. | U/V | I/A | P/kw | U3h/V | U/p.u. | U/V | I/A | P/kw | I3h/A |
| 0.9 | 206.79 | 1.13 | 0.325 | 2.56 | 0.9 | 207.22 | 1.5 | 0.373 | 2.8 |
| 1 | 230.99 | 1.53 | 0.433 | 3.42 | 1 | 231 | 7.5 | 0.633 | 21.3 |
| 1.05 | 241.78 | 2.18 | 0.514 | 3.98 | 1.05 | 243.65 | 21.96 | 1.091 | 71.8 |
Publisher’s Note: MDPI stays neutral with regard to jurisdictional claims in published maps and institutional affiliations. |
© 2022 by the authors. Licensee MDPI, Basel, Switzerland. This article is an open access article distributed under the terms and conditions of the Creative Commons Attribution (CC BY) license (https://creativecommons.org/licenses/by/4.0/).
Share and Cite
Su, Z.; Luo, L.; Liu, J.; Li, Z.; Luo, H.; Zhao, P. Study of the Harmonic Analysis and Energy Transmission Mechanism of the Frequency Conversion Transformer. Energies 2022, 15, 519. https://doi.org/10.3390/en15020519
Su Z, Luo L, Liu J, Li Z, Luo H, Zhao P. Study of the Harmonic Analysis and Energy Transmission Mechanism of the Frequency Conversion Transformer. Energies. 2022; 15(2):519. https://doi.org/10.3390/en15020519
Chicago/Turabian StyleSu, Zhonghuan, Longfu Luo, Jun Liu, Zhongxiang Li, Hu Luo, and Peng Zhao. 2022. "Study of the Harmonic Analysis and Energy Transmission Mechanism of the Frequency Conversion Transformer" Energies 15, no. 2: 519. https://doi.org/10.3390/en15020519
APA StyleSu, Z., Luo, L., Liu, J., Li, Z., Luo, H., & Zhao, P. (2022). Study of the Harmonic Analysis and Energy Transmission Mechanism of the Frequency Conversion Transformer. Energies, 15(2), 519. https://doi.org/10.3390/en15020519

